Mathematical Markup Language (MathML) Version 4.0

W3C Working Draft

More details about this document
This version:
https://www.w3.org/TR/2025/WD-mathml4-20251218/
Latest published version:
https://www.w3.org/TR/mathml4/
Latest editor's draft:
https://w3c.github.io/mathml/
History:
https://www.w3.org/standards/history/mathml4/
Commit history
Editor:
David Carlisle (NAG)
Former editors:
Patrick Ion
Robert Miner (deceased)
Feedback:
GitHub w3c/mathml (pull requests, new issue, open issues)
Latest MathML Recommendation
https://www.w3.org/TR/MathML/

Abstract

This specification defines the Mathematical Markup Language, or MathML. MathML is a markup language for describing mathematical notation and capturing both its structure and content. The goal of MathML is to enable mathematics to be served, received, and processed on the World Wide Web, just as [HTML] has enabled this functionality for text.

This specification of the markup language MathML is intended primarily for a readership consisting of those who will be developing or implementing renderers or editors using it, or software that will communicate using MathML as a protocol for input or output. It is not a User's Guide but rather a reference document.

MathML can be used to encode both mathematical notation and mathematical content. About thirty-eight of the MathML tags describe abstract notational structures, while another about one hundred and seventy provide a way of unambiguously specifying the intended meaning of an expression. Additional chapters discuss how the MathML content and presentation elements interact, and how MathML renderers might be implemented and should interact with browsers. Finally, this document addresses the issue of special characters used for mathematics, their handling in MathML, their presence in Unicode, and their relation to fonts.

While MathML is human-readable, authors typically will use equation editors, conversion programs, and other specialized software tools to generate MathML. Several versions of such MathML tools exist, both freely available software and commercial products, and more are under development.

MathML was originally specified as an XML application and most of the examples in this specification assume that syntax. Other syntaxes are possible, most notably [HTML] specifies the syntax for MathML in HTML. Unless explicitly noted, the examples in this specification are also valid HTML syntax.

Status of This Document

This section describes the status of this document at the time of its publication. A list of current W3C publications and the latest revision of this technical report can be found in the W3C standards and drafts index.

Public discussion of MathML and issues of support through the W3C for mathematics on the Web takes place on the public mailing list of the Math Working Group (list archives). To subscribe send an email to www-math-request@w3.org with the word subscribe in the subject line. Alternatively, report an issue at this specification's GitHub repository.

A fuller discussion of the document's evolution can be found in I. Changes.

Some sections are collapsed and may be expanded to reveal more details. The following button may be used to expand all such sections.

This document was published by the Math Working Group as a Working Draft using the Recommendation track.

Publication as a Working Draft does not imply endorsement by W3C and its Members.

This is a draft document and may be updated, replaced, or obsoleted by other documents at any time. It is inappropriate to cite this document as other than a work in progress.

This document was produced by a group operating under the W3C Patent Policy. W3C maintains a public list of any patent disclosures made in connection with the deliverables of the group; that page also includes instructions for disclosing a patent. An individual who has actual knowledge of a patent that the individual believes contains Essential Claim(s) must disclose the information in accordance with section 6 of the W3C Patent Policy.

This document is governed by the 18 August 2025 W3C Process Document.

Issue summary

1. Introduction

This section is non-normative.

1.1 Mathematics and its Notation

Mathematics and its notations have evolved over several centuries, or even millennia. To the experienced reader, mathematical notation conveys a large amount of information quickly and compactly. And yet, while the symbols and arrangements of the notations have a deep correspondence to the semantic structure and meaning of the mathematics being represented, the notation and semantics are not the same. The semantic symbols and structures are subtly distinct from those of the notation.

Thus, there is a need for a markup language which can represent both the traditional displayed notations of mathematics, as well as its semantic content. While the traditional rendering is useful to sighted readers, the markup language must also support accessibility. The semantic forms must support a variety of computational purposes. Both forms should be appropriate to all educational levels from elementary to research.

1.2 Overview

MathML is a markup language for describing mathematics. It uses XML syntax when used standalone or within other XML, or HTML syntax when used within HTML documents. Conceptually, MathML consists of two main strains of markup: Presentation markup is used to display mathematical expressions; and Content markup is used to convey mathematical meaning. These two strains, along with other external representations, can be combined using parallel markup.

This specification is organized as follows: 2. MathML Fundamentals discusses Fundamentals common to Presentation and Content markup; 3. Presentation Markup and 4. Content Markup cover Presentation and Content markup, respectively; 5. Annotating MathML: intent discusses how markup may be annotated, particularly for accessibility; 6. Annotating MathML: semantics discusses how markup may be annotated so that Presentation, Content and other formats may be combined; 7. Interactions with the Host Environment addresses how MathML interacts with applications; Finally, a discussion of special symbols, and issues regarding characters, entities and fonts, is given in 8. Characters, Entities and Fonts.

1.3 Relation to MathML Core

The specification of MathML is developed in two layers. MathML Core ([MathML-Core]) covers (most of) Presentation Markup, with the focus being the precise details of displaying mathematics in web browsers. MathML Full, this specification, extends MathML Core primarily by defining Content MathML, in 4. Content Markup. It also defines extensions to Presentation MathML consisting of additional attributes, elements or enhanced syntax of attributes. These are defined for compatibility with legacy MathML, as well as to cover 3.1.7 Linebreaking of Expressions, 3.6 Elementary Math and other aspects not included in level 1 of MathML Core but which may be incorporated into future versions of MathML Core.

This specification covers both MathML Core and its extensions; features common to both are indicated with , whereas extensions are indicated with .

It is intended that MathML Full is a proper superset of MathML Core. Moreover, it is intended that any valid Core Markup be considered as valid Full Markup as well. It is also intended that an otherwise conforming implementation of MathML Core, which also implements parts or all of the extensions of MathML Full, should continue to be considered a conforming implementation of MathML Core.

1.4 MathML Notes

In addition to these two specifications, the Math WG group has developed the non-normative Notes on MathML that contains additional examples and information to help understand best practices when using MathML.

2. MathML Fundamentals

2.1 MathML Syntax and Grammar

2.1.1 General Considerations

The basic ‘syntax’ of MathML is defined using XML syntax, but other syntaxes that can encode labeled trees are possible. Notably the HTML parser may also be used with MathML. Upon this, we layer a ‘grammar’, being the rules for allowed elements, the order in which they can appear, and how they may be contained within each other, as well as additional syntactic rules for the values of attributes. These rules are defined by this specification, and formalized by a RelaxNG schema [RELAXNG-SCHEMA] in A. Parsing MathML. Derived schema in other formats, DTD (Document Type Definition) and XML Schema [XMLSchemas] are also provided.

MathML's character set consists of any Unicode characters [Unicode] allowed by the syntax being used. (See for example [XML] or [HTML].) The use of Unicode characters for mathematics is discussed in 8. Characters, Entities and Fonts.

The following sections discuss the general aspects of the MathML grammar as well as describe the syntaxes used for attribute values.

2.1.2 MathML and Namespaces

An XML namespace [Namespaces] is a collection of names identified by a URI. The URI for the MathML namespace is:

http://www.w3.org/1998/Math/MathML

To declare a namespace when using the XML serialisation of MathML, one uses an xmlns attribute, or an attribute with an xmlns prefix.

<math xmlns="http://www.w3.org/1998/Math/MathML">
  <mrow>...</mrow>
</math>

When the xmlns attribute is used as a prefix, it declares a prefix which can then be used to explicitly associate other elements and attributes with a particular namespace. When embedding MathML within HTML using XML syntax, one might use:

<body xmlns:m="http://www.w3.org/1998/Math/MathML">
  ...
  <m:math><m:mrow>...</m:mrow></m:math>
  ...
</body>

HTML does not support namespace extensibility in the same way. The HTML parser has in-built knowledge of the HTML, SVG, and MathML namespaces. xmlns attributes are just treated as normal attributes. Thus, when using the HTML serialisation of MathML, prefixed element names must not be used. xmlns=http://www.w3.org/1998/Math/MathML may be used on the math element; it will be ignored by the HTML parser. If a MathML expression is likely to be in contexts where it may be parsed by an XML parser or an HTML parser, it SHOULD use the following form to ensure maximum compatibility:

<math xmlns="http://www.w3.org/1998/Math/MathML">
  ...
</math>

2.1.3 Children versus Arguments

There are presentation elements that conceptually accept only a single argument, but which for convenience have been written to accept any number of children; then we infer an mrow containing those children which acts as the argument to the element in question; see 3.1.3.1 Inferred <mrow>s.

In the detailed discussions of element syntax given with each element throughout the MathML specification, the number of arguments required and their order, as well as other constraints on the content, are specified. This information is also tabulated for the presentation elements in 3.1.3 Required Arguments.

2.1.4 MathML and Rendering

Web Platform implementations of [MathML-Core] should follow the detailed layout rules specified in that document.

This document only recommends (i.e., does not require) specific ways of rendering Presentation MathML; this is in order to allow for medium-dependent rendering and for implementations not using the CSS based Web Platform.

2.1.5 MathML Attribute Values

MathML elements take attributes with values that further specialize the meaning or effect of the element. Attribute names are shown in a monospaced font throughout this document. The meanings of attributes and their allowed values are described within the specification of each element. The syntax notation explained in this section is used in specifying allowed values.

2.1.5.1 Syntax notation used in the MathML specification

To describe the MathML-specific syntax of attribute values, the following conventions and notations are used for most attributes in the present document.

Notation What it matches
boolean As defined in [MathML-Core], a string that is an ASCII case-insensitive match to true or false.
unsigned-integer As defined in [MathML-Core], an integer, whose first character is neither U+002D HYPHEN-MINUS character (-) nor U+002B PLUS SIGN (+).
positive-integer An unsigned-integer not consisting solely of "0"s (U+0030), representing a positive integer
integer an optional "-" (U+002D), followed by an unsigned-integer, and representing an integer
number an optional prefix of "-" (U+002D), followed by an unsigned-number, representing a terminating decimal number (a type of rational number)
unsigned-number value as defined in [CSS-VALUES-3] number, whose first character is neither U+002D HYPHEN-MINUS character (-) nor U+002B PLUS SIGN (+), representing a non-negative terminating decimal number (a type of rational number)
character a single non-whitespace character
string an arbitrary, nonempty and finite, string of characters
length a length, as explained below, 2.1.5.2 Length Valued Attributes
namedspace a named length, namedspace, as explained in 2.1.5.2 Length Valued Attributes
color a color, using the syntax specified by [CSS-Color-3]
id an identifier, unique within the document; must satisfy the NAME syntax of the XML recommendation [XML]
idref an identifier referring to another element within the document; must satisfy the NAME syntax of the XML recommendation [XML]
URI a Uniform Resource Identifier [RFC3986]. Note that the attribute value is typed in the schema as anyURI which allows any sequence of XML characters. Systems needing to use this string as a URI must encode the bytes of the UTF-8 encoding of any characters not allowed in URI using %HH encoding where HH are the byte value in hexadecimal. This ensures that such an attribute value may be interpreted as an IRI, or more generally a LEIRI; see [IRI].
italicized word values as explained in the text for each attribute; see 2.1.5.3 Default values of attributes
"literal" quoted symbol, literally present in the attribute value (e.g. "+" or '+')

The ‘types’ described above, except for string, may be combined into composite patterns using the following operators. The whole attribute value must be delimited by single (') or double (") quotation marks in the marked up document. Note that double quotation marks are often used in this specification to mark up literal expressions; an example is the "-" in line 5 of the table above.

In the table below a form f means an instance of a type described in the table above. The combining operators are shown in order of precedence from highest to lowest:

Notation What it matches
(f) same f
f? an optional instance of f
f* zero or more instances of f, with separating whitespace characters
f+ one or more instances of f, with separating whitespace characters
f1f2 fn one instance of each form fi, in sequence, with no separating whitespace
f1,f2, ,fn one instance of each form fi, in sequence, with separating whitespace characters (but no commas)
f1|f2| |fn any one of the specified forms fi

The notation we have chosen here is in the style of the syntactical notation of the RelaxNG used for MathML's basic schema, A. Parsing MathML.

Since some applications are inconsistent about normalization of whitespace, for maximum interoperability it is advisable to use only a single whitespace character for separating parts of a value. Moreover, leading and trailing whitespace in attribute values should be avoided.

For compatibility with HTML, attributes defined with an enumerated list of string values are to be compared as ASCII case-insensitive.

For most numerical attributes, only those in a subset of the expressible values are sensible; values outside this subset are not errors, unless otherwise specified, but rather are rounded up or down (at the discretion of the renderer) to the closest value within the allowed subset. The set of allowed values may depend on the renderer, and is not specified by MathML.

If a numerical value within an attribute value syntax description is declared to allow a minus sign ('-'), e.g., number or integer, it is not a syntax error when one is provided in cases where a negative value is not sensible. Instead, the value should be handled by the processing application as described in the preceding paragraph. An explicit plus sign ('+') is not allowed as part of a numerical value except when it is specifically listed in the syntax (as a quoted '+' or "+"), and its presence can change the meaning of the attribute value (as documented with each attribute which permits it).

2.1.5.2 Length Valued Attributes

Most presentation elements have attributes that accept values representing lengths to be used for size, spacing or similar properties. [MathML-Core] accepts lengths only in the <length-percentage> syntax defined in [CSS-VALUES-3]. MathML Full extends length syntax by accepting also a namedspace being an ASCII case-insensitive match to one of:

Positive spaceNegative spaceValue
veryverythinmathspace negativeveryverythinmathspace ±1/18 em
verythinmathspace negativeverythinmathspace ±2/18 em
thinmathspace negativethinmathspace ±3/18 em
mediummathspace negativemediummathspace ±4/18 em
thickmathspace negativethickmathspace ±5/18 em
verythickmathspace negativeverythickmathspace ±6/18 em
veryverythickmathspace negativeveryverythickmathspace ±7/18 em

In MathML 3, the attributes on mpadded allowed three pseudo-units, height, depth, and width (taking the place of one of the usual CSS units) denoting the original dimensions of the content. It also allowed a deprecated usage with lengths specified as a number without a unit which was interpreted as a multiple of the reference value. These forms are considered invalid in MathML 4.

2.1.5.2.1 Additional notes about units

Two additional aspects of relative units must be clarified, however. First, some elements such as 3.4 Script and Limit Schemata or mfrac implicitly switch to smaller font sizes for some of their arguments. Similarly, mstyle can be used to explicitly change the current font size. In such cases, the effective values of an em or ex inside those contexts will be different than outside. The second point is that the effective value of an em or ex used for an attribute value can be affected by changes to the current font size. Thus, attributes that affect the current font size, such as mathsize and scriptlevel, must be processed before evaluating other length valued attributes.

2.1.5.3 Default values of attributes

Default values for MathML attributes are, in general, given along with the detailed descriptions of specific elements in the text. Default values shown in plain text in the tables of attributes for an element are literal, but when italicized are descriptions of how default values can be computed.

Default values described as inherited are taken from the rendering environment, as described in 3.3.4 Style Change <mstyle>, or in some cases (which are described individually) taken from the values of other attributes of surrounding elements, or from certain parts of those values. The value used will always be one which could have been specified explicitly, had it been known; it will never depend on the content or attributes of the same element, only on its environment. (What it means when used may, however, depend on those attributes or the content.)

Default values described as automatic should be computed by a MathML renderer in a way which will produce a high-quality rendering; how to do this is not usually specified by the MathML specification. The value computed will always be one which could have been specified explicitly, had it been known, but it will usually depend on the element content and possibly on the context in which the element is rendered.

Other italicized descriptions of default values which appear in the tables of attributes are explained individually for each attribute.

The single or double quotes which are required around attribute values in an XML start tag are not shown in the tables of attribute value syntax for each element, but are around attribute values in examples in the text, so that the pieces of code shown are correct.

Note that, in general, there is no mechanism in MathML to simulate the effect of not specifying attributes which are inherited or automatic. Giving the words inherited or automatic explicitly will not work, and is not generally allowed. Furthermore, the mstyle element (3.3.4 Style Change <mstyle>) can even be used to change the default values of presentation attributes for its children.

Note also that these defaults describe the behavior of MathML applications when an attribute is not supplied; they do not indicate a value that will be filled in by an XML parser, as is sometimes mandated by DTD-based specifications.

In general, there are a number of properties of MathML rendering that may be thought of as overall properties of a document, or at least of sections of a large document. Examples might be mathsize (the math font size: see 3.2.2 Mathematics style attributes common to token elements), or the behavior in setting limits on operators such as integrals or sums (e.g., movablelimits or displaystyle), or upon breaking formulas over lines (e.g. linebreakstyle); for such attributes see several elements in 3.2 Token Elements. These may be thought to be inherited from some such containing scope. Just above we have mentioned the setting of default values of MathML attributes as inherited or automatic; there is a third source of global default values for behavior in rendering MathML, a MathML operator dictionary. A default example is provided in B. Operator Dictionary. This is also discussed in 3.2.5.6.1 The operator dictionary and examples are given in 3.2.5.2.1 Dictionary-based attributes.

2.1.6 Attributes Shared by all MathML Elements

In addition to the attributes described specifically for each element, the attributes in the following table are allowed on every MathML element. Also allowed are attributes from the xml namespace, such as xml:lang, and attributes from namespaces other than MathML, which are ignored by default.

Name values default
id id none
Establishes a unique identifier associated with the element to support linking, cross-references and parallel markup. See xref and 6.9 Parallel Markup.
xref idref none
References another element within the document. See id and 6.9 Parallel Markup.
class string none
Associates the element with a set of style classes for use with [CSS21]. See 7.5 Using CSS with MathML for discussion of the interaction of MathML and CSS.
style string none
Associates style information with the element for use with [CSS21]. See 7.5 Using CSS with MathML for discussion of the interaction of MathML and CSS.
href URI none
Can be used to establish the element as a hyperlink to the specified URI. Note that this is not supported on all elements in MathML Core, but is supported on the a element.

All MathML presentation elements accept intent and arg attributes to support specifying intent. These are more fully described in 5. Annotating MathML: intent.

Name values default
intent intent expression none
The intent attribute is more fully described in 5. Annotating MathML: intent. It may be used on presentation elements to give information about the intended meaning of the expression, mainly for guiding audio or braille accessible renderings.
arg name none
The arg attribute is more fully described in 5. Annotating MathML: intent. It may be used to name an element to be referenced from an intent expression on an ancestor element.

See also 3.2.2 Mathematics style attributes common to token elements for a list of MathML attributes which can be used on most presentation token elements.

2.1.7 Collapsing Whitespace in Input

In MathML, as in XML, whitespace means simple spaces, tabs, newlines, or carriage returns, i.e., characters with hexadecimal Unicode codes U+0020, U+0009, U+000A, or U+000D, respectively; see also the discussion of whitespace in Section 2.3 of [XML].

MathML ignores whitespace occurring outside token elements. Non-whitespace characters are not allowed there. Whitespace occurring within the content of token elements, except for <cs>, is normalized as follows. All whitespace at the beginning and end of the content is removed, and whitespace internal to content of the element is collapsed canonically, i.e., each sequence of 1 or more whitespace characters is replaced with one space character (U+0020, sometimes called a blank character).

For example, <mo> ( </mo> is equivalent to <mo>(</mo>, and

 <mtext>
Theorem
1:
 </mtext>
Theorem 1:

is equivalent to <mtext>Theorem 1:</mtext> or <mtext>Theorem&#x20;1:</mtext>.

Authors wishing to encode white space characters at the start or end of the content of a token, or in sequences other than a single space, without having them ignored, must use non-breaking space U+00A0 (or nbsp) or other non-marking characters that are not trimmed. For example, compare the above use of an mtext element with

 <mtext>
&#x00A0;<!--nbsp-->Theorem &#x00A0;<!--nbsp-->1:
 </mtext>
 Theorem  1:

When the first example is rendered, there is nothing before Theorem, one Unicode space character between Theorem and 1:, and nothing after 1:. In the second example, a single space character is to be rendered before Theorem; two spaces, one a Unicode space character and one a Unicode no-break space character, are to be rendered before 1:; and there is nothing after the 1:.

Note that the value of the xml:space attribute is not relevant in this situation since XML processors pass whitespace in tokens to a MathML processor; it is the requirements of MathML processing which specify that whitespace is trimmed and collapsed.

For whitespace occurring outside the content of the token elements mi, mn, mo, ms, mtext, ci, cn, cs, csymbol and annotation, an mspace element should be used, as opposed to an mtext element containing only whitespace entities.

2.2 The Top-Level <math> Element

MathML specifies a single top-level or root math element, which encapsulates each instance of MathML markup within a document. All other MathML content must be contained in a math element; in other words, every valid MathML expression is wrapped in outer <math> tags. The math element must always be the outermost element in a MathML expression; it is an error for one math element to contain another. These considerations also apply when sub-expressions are passed between applications, such as for cut-and-paste operations; see 7.3 Transferring MathML.

The math element can contain an arbitrary number of child elements. They render by default as if they were contained in an mrow element.

2.2.1 Attributes

The math element accepts any of the common presentation attributess specified in Mathematics attributes common to presentation elements, along with the common attributes specified in 2.1.6 Attributes Shared by all MathML Elements. In particular, it accepts the dir attribute for setting the overall directionality; the math element is usually the most useful place to specify the directionality (see 3.1.5 Directionality for further discussion). Note that the dir attribute defaults to ltr on the math element (but inherits on all other elements which accept the dir attribute); this provides for backward compatibility with MathML 2.0 which had no notion of directionality. Also, it accepts the mathbackground attribute in the same sense as mstyle and other presentation elements to set the background color of the bounding box, rather than specifying a default for the attribute (see 3.1.9 Attributes common to presentation elements).

In addition to those attributes, the math element accepts:

Name values default
display "block" | "inline" inline
specifies whether the enclosed MathML expression should be rendered as a separate vertical block (in display style) or inline, aligned with adjacent text. When display=block, displaystyle is initialized to true, whereas when display=inline, displaystyle is initialized to false; in both cases scriptlevel is initialized to 0 (see 3.1.6 Displaystyle and Scriptlevel). Moreover, when the math element is embedded in a larger document, a block math element should be treated as a block element as appropriate for the document type (typically as a new vertical block), whereas an inline math element should be treated as inline (typically exactly as if it were a sequence of words in normal text). In particular, this applies to spacing and linebreaking: for instance, there should not be spaces or line breaks inserted between inline math and any immediately following punctuation. When the display attribute is missing, a rendering agent is free to initialize as appropriate to the context.
Comparisons are ASCII case-insensitive, where all matching strings are allowed as values.
maxwidth length available width
specifies the maximum width to be used for linebreaking. The default is the maximum width available in the surrounding environment. If that value cannot be determined, the renderer should assume an infinite rendering width.
overflow "linebreak" | "scroll" | "elide" | "truncate" | "scale" linebreak
specifies the preferred handing in cases where an expression is too long to fit in the allowed width. See the discussion below.
Comparisons are ASCII case-insensitive, where all matching strings are allowed as values.
altimg URI none
provides a URI referring to an image to display as a fall-back for user agents that do not support embedded MathML.
altimg-width length width of altimg
specifies the width to display altimg, scaling the image if necessary; see altimg-height.
altimg-height length height of altimg
specifies the height to display altimg, scaling the image if necessary; if only one of the attributes altimg-width and altimg-height are given, the scaling should preserve the image's aspect ratio; if neither attribute is given, the image should be shown at its natural size.
altimg-valign length | "top" | "middle" | "bottom" 0ex
specifies the vertical alignment of the image with respect to adjacent inline material. A positive value of altimg-valign shifts the bottom of the image above the current baseline, while a negative value lowers it. The keyword "top" aligns the top of the image with the top of adjacent inline material; "center" aligns the middle of the image to the middle of adjacent material; "bottom" aligns the bottom of the image to the bottom of adjacent material (not necessarily the baseline). This attribute only has effect when display=inline. By default, the bottom of the image aligns to the baseline.
Comparisons are ASCII case-insensitive, where all matching strings are allowed as values.
alttext string none
provides a textual alternative as a fall-back for user agents that do not support embedded MathML or images.
cdgroup URI none
specifies a CD group file that acts as a catalogue of CD bases for locating OpenMath content dictionaries of csymbol, annotation, and annotation-xml elements in this math element; see 4.2.3 Content Symbols <csymbol>. When no cdgroup attribute is explicitly specified, the document format embedding this math element may provide a method for determining CD bases. Otherwise the system must determine a CD base; in the absence of specific information http://www.openmath.org/cd is assumed as the CD base for all csymbol, annotation, and annotation-xml elements. This is the CD base for the collection of standard CDs maintained by the OpenMath Society.

In cases where size negotiation is not possible or fails (for example in the case of an expression that is too long to fit in the allowed width), the overflow attribute is provided to suggest a processing method to the renderer. Allowed values are:

Value Meaning
"linebreak" The expression will be broken across several lines. See 3.1.7 Linebreaking of Expressions for further discussion.
"scroll" The window provides a viewport into the larger complete display of the mathematical expression. Horizontal or vertical scroll bars are added to the window as necessary to allow the viewport to be moved to a different position.
"elide" The display is abbreviated by removing enough of it so that the remainder fits into the window. For example, a large polynomial might have the first and last terms displayed with + ... + between them. Advanced renderers may provide a facility to zoom in on elided areas.
"truncate" The display is abbreviated by simply truncating it at the right and bottom borders. It is recommended that some indication of truncation is made to the viewer.
"scale" The fonts used to display the mathematical expression are chosen so that the full expression fits in the window. Note that this only happens if the expression is too large. In the case of a window larger than necessary, the expression is shown at its normal size within the larger window.

3. Presentation Markup

3.1 Introduction

This chapter specifies the presentation elements of MathML, which can be used to describe the layout structure of mathematical notation.

Most of Presentation Markup is included in [MathML-Core]. That specification should be consulted for the precise details of displaying the elements and attributes that are part of core when displayed in web browsers. Outside of web browsers, MathML presentation elements only suggest (i.e. do not require) specific ways of rendering in order to allow for medium-dependent rendering and for individual preferences of style. Non browser-based renderers are free to use their own layout rules as long as the renderings are intelligible.

The names used for presentation elements are suggestive of their visual layout. However, mathematical notation has a long history of being reused as new concepts are developed. Because of this, an element such as mfrac may not actually be a fraction and the intent attribute should be used to provide information for auditory renderings.

This chapter describes all of the presentation elements and attributes of MathML along with examples that might clarify usage.

3.1.1 Presentation MathML Structure

The presentation elements are meant to express the syntactic structure of mathematical notation in much the same way as titles, sections, and paragraphs capture the higher-level syntactic structure of a textual document. Because of this, a single row of identifiers and operators will often be represented by multiple nested mrow elements rather than a single mrow. For example, x+a/b typically is represented as:

<mrow>
  <mi> x </mi>
  <mo> + </mo>
  <mrow>
    <mi> a </mi>
    <mo> / </mo>
    <mi> b </mi>
  </mrow>
</mrow>
x + a / b

Similarly, superscripts are attached to the full expression constituting their base rather than to the just preceding character. This structure permits better-quality rendering of mathematics, especially when details of the rendering environment, such as display widths, are not known ahead of time to the document author. It also greatly eases automatic interpretation of the represented mathematical structures.

Certain characters are used to name identifiers or operators that in traditional notation render the same as other symbols or are rendered invisibly. For example, the characters U+2146, U+2147 and U+2148 represent differential d, exponential e and imaginary i, respectively and are semantically distinct from the same letters used as simple variables. Likewise, the characters U+2061, U+2062, U+2063 and U+2064 represent function application, invisible times, invisible comma and invisible plus . These usually render invisibly but represent significant information that may influence visual spacing and linebreaking, and may have distinct spoken renderings. Accordingly, authors should use these characters (or corresponding entities) wherever applicable.

The complete list of MathML entities is described in [Entities].

3.1.2 Terminology Used In This Chapter

The presentation elements are divided into two classes. Token elements represent individual symbols, names, numbers, labels, etc. Layout schemata build expressions out of parts and can have only elements as content. These are subdivided into General Layout, Script and Limit, Tabular Math and Elementary Math schemata. There are also a few empty elements used only in conjunction with certain layout schemata.

All individual symbols in a mathematical expression should be represented by MathML token elements (e.g., <mn>24</mn>). The primary MathML token element types are identifiers (mi, e.g. variables or function names), numbers (mn), and operators (mo, including fences, such as parentheses, and separators, such as commas). There are also token elements used to represent text or whitespace that has more aesthetic than mathematical significance and other elements representing string literals for compatibility with computer algebra systems.

The layout schemata specify the way in which sub-expressions are built into larger expressions such as fraction and scripted expressions. Layout schemata attach special meaning to the number and/or positions of their children. A child of a layout schema is also called an argument of that element. As a consequence of the above definitions, the content of a layout schema consists exactly of a sequence of zero or more elements that are its arguments.

3.1.3 Required Arguments

Many of the elements described herein require a specific number of arguments (always 1, 2, or 3). In the detailed descriptions of element syntax given below, the number of required arguments is implicitly indicated by giving names for the arguments at various positions. A few elements have additional requirements on the number or type of arguments, which are described with the individual element. For example, some elements accept sequences of zero or more arguments — that is, they are allowed to occur with no arguments at all.

Note that MathML elements encoding rendered space do count as arguments of the elements in which they appear. See 3.2.7 Space <mspace/> for a discussion of the proper use of such space-like elements.

3.1.3.1 Inferred <mrow>s

The elements listed in the following table as requiring 1* argument (msqrt, mstyle, merror, mpadded, mphantom, menclose, mtd, mscarry, and math) conceptually accept a single argument, but actually accept any number of children. If the number of children is 0 or is more than 1, they treat their contents as a single inferred mrow formed from all their children, and treat this mrow as the argument.

For example,

<msqrt>
  <mo> - </mo>
  <mn> 1 </mn>
</msqrt>
- 1

is treated as if it were

<msqrt>
  <mrow>
    <mo> - </mo>
    <mn> 1 </mn>
  </mrow>
</msqrt>
- 1

This feature allows MathML data not to contain (and its authors to leave out) many mrow elements that would otherwise be necessary.

3.1.3.2 Table of argument requirements

For convenience, here is a table of each element's argument count requirements and the roles of individual arguments when these are distinguished. An argument count of 1* indicates an inferred mrow as described above. Although the math element is not a presentation element, it is listed below for completeness.

Element Required argument count Argument roles (when these differ by position)
mrow 0 or more
mfrac 2 numerator denominator
msqrt 1*
mroot 2 base index
mstyle 1*
merror 1*
mpadded 1*
mphantom 1*
mfenced 0 or more
menclose 1*
msub 2 base subscript
msup 2 base superscript
msubsup 3 base subscript superscript
munder 2 base underscript
mover 2 base overscript
munderover 3 base underscript overscript
mmultiscripts 1 or more base (subscript superscript)* [<mprescripts/> (presubscript presuperscript)*]
mtable 0 or more rows 0 or more mtr elements
mtr 0 or more 0 or more mtd elements
mtd 1*
mstack 0 or more
mlongdiv 3 or more divisor result dividend (msrow | msgroup | mscarries | msline)*
msgroup 0 or more
msrow 0 or more
mscarries 0 or more
mscarry 1*
maction 1 or more depend on actiontype attribute
math 1*

3.1.4 Elements with Special Behaviors

Certain MathML presentation elements exhibit special behaviors in certain contexts. Such special behaviors are discussed in the detailed element descriptions below. However, for convenience, some of the most important classes of special behavior are listed here.

Certain elements are considered space-like; these are defined in 3.2.7 Space <mspace/>. This definition affects some of the suggested rendering rules for mo elements (3.2.5 Operator, Fence, Separator or Accent <mo>).

Certain elements, e.g. msup, are able to embellish operators that are their first argument. These elements are listed in 3.2.5 Operator, Fence, Separator or Accent <mo>, which precisely defines an embellished operator and explains how this affects the suggested rendering rules for stretchy operators.

3.1.5 Directionality

In the notations familiar to most readers, both the overall layout and the textual symbols are arranged from left to right (LTR). Yet, as alluded to in the introduction, mathematics written in Hebrew or in locales such as Morocco or Persia, the overall layout is used unchanged, but the embedded symbols (often Hebrew or Arabic) are written right to left (RTL). Moreover, in most of the Arabic speaking world, the notation is arranged entirely RTL; thus a superscript is still raised, but it follows the base on the left rather than the right.

MathML 3.0 therefore recognizes two distinct directionalities: the directionality of the text and symbols within token elements and the overall directionality represented by Layout Schemata. These two facets are discussed below.

Note

Probably need to add a little discussion of vertical languages here (and their current lack of support)

3.1.5.1 Overall Directionality of Mathematics Formulas

The overall directionality for a formula, basically the direction of the Layout Schemata, is specified by the dir attribute on the containing math element (see 2.2 The Top-Level <math> Element). The default is ltr. When dir=rtl is used, the layout is simply the mirror image of the conventional European layout. That is, shifts up or down are unchanged, but the progression in laying out is from right to left.

For example, in a RTL layout, sub- and superscripts appear to the left of the base; the surd for a root appears at the right, with the bar continuing over the base to the left. The layout details for elements whose behavior depends on directionality are given in the discussion of the element. In those discussions, the terms leading and trailing are used to specify a side of an object when which side to use depends on the directionality; i.e. leading means left in LTR but right in RTL. The terms left and right may otherwise be safely assumed to mean left and right.

The overall directionality is usually set on the math, but may also be switched for an individual subexpression by using the dir attribute on mrow or mstyle elements. When not specified, all elements inherit the directionality of their container.


Comparisons of dir are ASCII case-insensitive, where all matching strings are allowed as values.
3.1.5.2 Bidirectional Layout in Token Elements

The text directionality comes into play for the MathML token elements that can contain text (mtext, mo, mi, mn and ms) and is determined by the Unicode properties of that text. A token element containing exclusively LTR or RTL characters is displayed straightforwardly in the given direction. When a mixture of directions is involved, such as RTL Arabic and LTR numbers, the Unicode bidirectional algorithm [Bidi] should be applied. This algorithm specifies how runs of characters with the same direction are processed and how the runs are (re)ordered. The base, or initial, direction is given by the overall directionality described above (3.1.5.1 Overall Directionality of Mathematics Formulas) and affects how weakly directional characters are treated and how runs are nested. (The dir attribute is thus allowed on token elements to specify the initial directionality that may be needed in rare cases.) Any mglyph or malignmark elements appearing within a token element are effectively neutral and have no effect on ordering.

The important thing to notice is that the bidirectional algorithm is applied independently to the contents of each token element; each token element is an independent run of characters.

Other features of Unicode and scripts that should be respected are ‘mirroring’ and ‘glyph shaping’. Some Unicode characters are marked as being mirrored when presented in a RTL context; that is, the character is drawn as if it were mirrored or replaced by a corresponding character. Thus an opening parenthesis, ‘(’, in RTL will display as ‘)’. Conversely, the solidus (/ U+002F) is not marked as mirrored. Thus, an Arabic author that desires the slash to be reversed in an inline division should explicitly use reverse solidus (\ U+005C) or an alternative such as the mirroring DIVISION SLASH (U+2215).

Additionally, calligraphic scripts such as Arabic blend, or connect sequences of characters together, changing their appearance. As this can have a significant impact on readability, as well as aesthetics, it is important to apply such shaping if possible. Glyph shaping, like directionality, applies to each token element's contents individually.

Note that for the transfinite cardinals represented by Hebrew characters, the code points U+2135-U+2138 (ALEF SYMBOL, BET SYMBOL, GIMEL SYMBOL, DALET SYMBOL) should be used in MathML, not the alphabetic look-alike code points. These code points are strong left-to-right.

3.1.6 Displaystyle and Scriptlevel

So-called ‘displayed’ formulas, those appearing on a line by themselves, typically make more generous use of vertical space than inline formulas, which should blend into the adjacent text without intruding into neighboring lines. For example, in a displayed summation, the limits are placed above and below the summation symbol, while when it appears inline the limits would appear in the sub- and superscript position. For similar reasons, sub- and superscripts, nested fractions and other constructs typically display in a smaller size than the main part of the formula. MathML implicitly associates with every presentation node a displaystyle and scriptlevel reflecting whether a more expansive vertical layout applies and the level of scripting in the current context.

These values are initialized by the math element according to the display attribute. They are automatically adjusted by the various script and limit schemata elements, and the elements mfrac and mroot, which typically set displaystyle false and increment scriptlevel for some or all of their arguments. (See the description for each element for the specific rules used.) They also may be set explicitly via the displaystyle and scriptlevel attributes which are allowed on all presentation elements, see 3.1.9 Attributes common to presentation elements. If set explicitly, the setting applies to the current element and will be used as the default for child elements unless set by further application of these rules. Note that if scriptlevel is used with a + or - sign then the effective scriptlevel is incremented or decremented by the value. If scriptlevel is used with an unsigned integer, the effective scriptlevel is set to that value. In all other cases, the values are inherited from the node's parent.

The displaystyle affects the amount of vertical space used to lay out a formula: when true, the more spacious layout of displayed equations is used, whereas when false a more compact layout of inline formula is used. This primarily affects the interpretation of the largeop and movablelimits attributes of the mo element. However, more sophisticated renderers are free to use this attribute to render more or less compactly.

The main effect of scriptlevel is to control the font size. Typically, the higher the scriptlevel, the smaller the font size. (Non-visual renderers can respond to the font size in an analogous way for their medium.) Whenever the scriptlevel is changed, whether automatically or explicitly, the current font size is multiplied by the value of scriptsizemultiplier to the power of the change in scriptlevel. However, changes to the font size due to scriptlevel changes should never reduce the size below scriptminsize to prevent scripts becoming unreadably small. The default scriptsizemultiplier is approximately the square root of 1/2 whereas scriptminsize defaults to 8 points; these values may be changed on any presentation element; see MathML Core Attributes">. Note that the scriptlevel attribute allows arbitrary values of scriptlevel to be obtained, including negative values which result in increased font sizes.

The changes to the font size due to scriptlevel should be viewed as being imposed from ‘outside’ the node. This means that the effect of scriptlevel is applied before an explicit mathsize (see 3.2.2 Mathematics style attributes common to token elements) on a token child of mfrac. Thus, the mathsize effectively overrides the effect of scriptlevel. However, that change to scriptlevel changes the current font size, which affects the meaning of an em length (see 2.1.5.2 Length Valued Attributes) and so the scriptlevel still may have an effect in such cases. Note also that since mathsize is not constrained by scriptminsize, such direct changes to font size can result in scripts smaller than scriptminsize.

Note that direct changes to current font size, whether by CSS or by the mathsize attribute (see 3.2.2 Mathematics style attributes common to token elements), have no effect on the value of scriptlevel.

TeX's \displaystyle, \textstyle, \scriptstyle, and \scriptscriptstyle correspond to displaystyle and scriptlevel as true and 0, false and 0, false and 1, and false and 2, respectively. Thus, math's display=block corresponds to \displaystyle, while display=inline corresponds to \textstyle.

3.1.7 Linebreaking of Expressions

3.1.7.1 Control of Linebreaks

MathML provides support for both automatic and manual (forced) linebreaking of expressions to break excessively long expressions into several lines. All such linebreaks take place within mrow (including inferred mrow; see 3.1.3.1 Inferred <mrow>s) or mfenced. The breaks typically take place at mo elements and also, for backwards compatibility, at mspace. Renderers may also choose to place automatic linebreaks at other points such as between adjacent mi elements or even within a token element such as a very long mn element. MathML does not provide a means to specify such linebreaks, but if a renderer chooses to linebreak at such a point, it should indent the following line according to the indentation attributes that are in effect at that point.

Automatic linebreaking occurs when the containing math element has overflow=linebreak and the display engine determines that there is not enough space available to display the entire formula. The available width must therefore be known to the renderer. Like font properties, one is assumed to be inherited from the environment in which the MathML element lives. If no width can be determined, an infinite width should be assumed. Inside of an mtable, each column has some width. This width may be specified as an attribute or determined by the contents. This width should be used as the line wrapping width for linebreaking, and each entry in an mtable is linewrapped as needed.

Forced linebreaks are specified by using linebreak=newline on an mo or mspace element. Both automatic and manual linebreaking can occur within the same formula.

Automatic linebreaking of subexpressions of mfrac, msqrt, mroot and menclose and the various script elements is not required. Renderers are free to ignore forced breaks within those elements if they choose.

Attributes on mo and possibly on mspace elements control linebreaking and indentation of the following line. The aspects of linebreaking that can be controlled are:

  • Where — attributes determine the desirability of a linebreak at a specific operator or space, in particular whether a break is required or inhibited. These can only be set on mo and mspace elements. (See 3.2.5.2.2 Linebreaking attributes.)

  • Operator Display/Position — when a linebreak occurs, determines whether the operator will appear at the end of the line, at the beginning of the next line, or in both positions; and how much vertical space should be added after the linebreak. These attributes can be set on mo elements or inherited from mstyle or math elements. (See 3.2.5.2.2 Linebreaking attributes.)

  • Indentation — determines the indentation of the line following a linebreak, including indenting so that the next line aligns with some point in a previous line. These attributes can be set on mo elements or inherited from mstyle or math elements. (See 3.2.5.2.3 Indentation attributes.)

When a math element appears in an inline context, it may obey whatever paragraph flow rules are employed by the document's text rendering engine. Such rules are necessarily outside of the scope of this specification. Alternatively, it may use the value of the math element's overflow attribute. (See 2.2.1 Attributes.)

3.1.7.2 Examples of Linebreaking

The following example demonstrates forced linebreaks and forced alignment:

<mrow>
 <mrow>
  <mi>f</mi><mo>&#x2061;<!--ApplyFunction--></mo><mo>(</mo><mi>x</mi><mo>)</mo>
 </mrow>
 <mo id='eq1-equals'>=</mo>
 <mrow>
  <msup>
   <mrow><mo>(</mo><mrow><mi>x</mi><mo>+</mo><mn>1</mn></mrow><mo>)</mo></mrow>
   <mn>4</mn>
  </msup>
  <mo linebreak='newline' linebreakstyle='before'
      indentalign='id' indenttarget='eq1-equals'>=</mo>
  <mrow>
   <msup><mi>x</mi><mn>4</mn></msup>
   <mo id='eq1-plus'>+</mo>
   <mrow>
    <mn>4</mn><mo>&#x2062;<!--InvisibleTimes--></mo><msup><mi>x</mi><mn>3</mn></msup>
   </mrow>
   <mo>+</mo>
   <mrow>
    <mn>6</mn><mo>&#x2062;<!--InvisibleTimes--></mo><msup><mi>x</mi><mn>2</mn></msup>
   </mrow>
   <mo linebreak='newline' linebreakstyle='before'
       indentalignlast='id' indenttarget='eq1-plus'>+</mo>
   <mrow>
    <mn>4</mn><mo>&#x2062;<!--InvisibleTimes--></mo><mi>x</mi>
   </mrow>
   <mo>+</mo>
   <mn>1</mn>
  </mrow>
 </mrow>
</mrow>

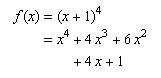
This displays as

example with equal and plus signs aligned

Note that because indentalignlast defaults to indentalign, in the above example indentalign could have been used in place of indentalignlast. Also, the specifying linebreakstyle='before' is not needed because that is the default value.

3.1.8 Summary of Presentation Elements

3.1.8.1 Token Elements
mi identifier
mn number
mo operator, fence, or separator
mtext text
mspace space
ms string literal

Additionally, the mglyph element may be used within Token elements to represent non-standard symbols as images.

3.1.8.2 General Layout Schemata
mrow and a group any number of sub-expressions horizontally
mfrac form a fraction from two sub-expressions
msqrt form a square root (radical without an index)
mroot form a radical with specified index
mstyle style change
merror enclose a syntax error message from a preprocessor
mpadded adjust space around content
mphantom make content invisible but preserve its size
mfenced surround content with a pair of fences
menclose enclose content with a stretching symbol such as a long division sign
3.1.8.3 Script and Limit Schemata
msub attach a subscript to a base
msup attach a superscript to a base
msubsup attach a subscript-superscript pair to a base
munder attach an underscript to a base
mover attach an overscript to a base
munderover attach an underscript-overscript pair to a base
mmultiscripts attach prescripts and tensor indices to a base
3.1.8.4 Tables and Matrices
mtable table or matrix
mtr row in a table or matrix
mtd one entry in a table or matrix
maligngroup and malignmark alignment markers
3.1.8.5 Elementary Math Layout
mstack columns of aligned characters
mlongdiv similar to msgroup, with the addition of a divisor and result
msgroup a group of rows in an mstack that are shifted by similar amounts
msrow a row in an mstack
mscarries row in an mstack whose contents represent carries or borrows
mscarry one entry in an mscarries
msline horizontal line inside of mstack
3.1.8.6 Enlivening Expressions
maction bind actions to a sub-expression

3.1.9 Attributes common to presentation elements

In addition to the attributes listed in 2.1.6 Attributes Shared by all MathML Elements, all MathML presentation elements accept the following classes of attribute. In MathML 3, these were restricted to be set only on mstyle elements, but to better align with [MathML-Core] which removes special treatment of mstyle, they are now allowed on any presentation element.

3.1.9.1 MathML Core Attributes

Presentation elements also accept all the Global Attributes specified by [MathML-Core].

These attributes include the following attributes that are primarily intended for visual media. They are not expected to affect the intended semantics of displayed expressions. The first two are for use in highlighting or drawing attention to the affected subexpressions. For example, a red "x" is not assumed to be semantically different than a black "x", in contrast to variables with different mathvariant values (see 3.2.2 Mathematics style attributes common to token elements). The remaining two override some default rules for layout of expressions. See 3.1.6 Displaystyle and Scriptlevel for more information

Name values default
mathcolor color inherited
Specifies the foreground color to use when drawing the components of this element, such as the content for token elements or any lines, surds, or other decorations. It also establishes the default mathcolor used for child elements when used on a layout element.
mathbackground color | "transparent" transparent
Specifies the background color to be used to fill in the bounding box of the element and its children. The default, "transparent", lets the background color, if any, used in the current rendering context to show through.
scriptlevel ( "+" | "-" )? unsigned-integer inherited
Changes the displaystyle in effect for the children. See 3.1.6 Displaystyle and Scriptlevel.
displaystyle "true" | "false" inherited
Changes the displaystyle in effect for the children. See 3.1.6 Displaystyle and Scriptlevel.
Comparisons are ASCII case-insensitive, where all matching strings are allowed as values.
3.1.9.2 MathML Full-only Attributes

These attributes can also be set on any MathML Presentation element.

Name values default
scriptsizemultiplier number 0.71
Specifies the multiplier to be used to adjust font size due to changes in scriptlevel. See 3.1.6 Displaystyle and Scriptlevel.
scriptminsize length 8pt
Specifies the minimum font size allowed due to changes in scriptlevel. Note that this does not limit the font size due to changes to mathsize. See 3.1.6 Displaystyle and Scriptlevel.
infixlinebreakstyle "before" | "after" | "duplicate" before
Specifies the default linebreakstyle to use for infix operators; see 3.2.5.2.2 Linebreaking attributes.
Comparisons are ASCII case-insensitive, where all matching strings are allowed as values.
decimalcharacter character .
Specifies the character used to determine the alignment point within mstack when the "decimalpoint" value is used to specify the alignment. The default, ".", is the decimal separator used to separate the integral and decimal fractional parts of floating point numbers in many countries. (See 3.6 Elementary Math and 3.5.4 Alignment Markers <maligngroup/>, <malignmark/>).
3.1.9.2.1 Attributes

If scriptlevel is changed incrementally by an element that also sets certain other attributes, the overall effect of the changes may depend on the order in which they are processed. In such cases, the attributes in the following list should be processed in the following order, regardless of the order in which they occur in the XML-format attribute list of the start tag: scriptsizemultiplier, scriptminsize, scriptlevel, mathsize.

Since MathML expressions are often embedded in a textual data format such as HTML, the MathML renderer should inherit the foreground color used in the context in which the MathML appears. Note, however, that MathML (in contrast to [MathML-Core]) doesn't specify the mechanism by which style information is inherited from the rendering environment. See 3.2.2 Mathematics style attributes common to token elements for more details.

Note that the suggested MathML visual rendering rules do not define the precise extent of the region whose background is affected by the mathbackground attribute, except that, when the content does not have negative dimensions and its drawing region should not overlap with other drawing due to surrounding negative spacing, should lie behind all the drawing done to render the content, and should not lie behind any of the drawing done to render surrounding expressions. The effect of overlap of drawing regions caused by negative spacing on the extent of the region affected by the mathbackground attribute is not defined by these rules.

3.2 Token Elements

Token elements in presentation markup are broadly intended to represent the smallest units of mathematical notation which carry meaning. Tokens are roughly analogous to words in text. However, because of the precise, symbolic nature of mathematical notation, the various categories and properties of token elements figure prominently in MathML markup. By contrast, in textual data, individual words rarely need to be marked up or styled specially.

Token elements represent identifiers (mi), numbers (mn), operators (mo), text (mtext), strings (ms) and spacing (mspace). The mglyph element may be used within token elements to represent non-standard symbols by images. Preceding detailed discussion of the individual elements, the next two subsections discuss the allowable content of token elements and the attributes common to them.

3.2.1 Token Element Content Characters, <mglyph/>

Character data in MathML markup is only allowed to occur as part of the content of token elements. Whitespace between elements is ignored. With the exception of the empty mspace element, token elements can contain any sequence of zero or more Unicode characters, or mglyph or malignmark elements. The mglyph element is used to represent non-standard characters or symbols by images; the malignmark element establishes an alignment point for use within table constructs, and is otherwise invisible (see 3.5.4 Alignment Markers <maligngroup/>, <malignmark/>).

Characters can be either represented directly as Unicode character data, or indirectly via numeric or character entity references. Unicode contains a number of look-alike characters. See [MathML-Notes] for a discussion of which characters are appropriate to use in which circumstance.

Token elements (other than mspace) should be rendered as their content, if any (i.e. in the visual case, as a closely-spaced horizontal row of standard glyphs for the characters or images for the mglyphs in their content). An mspace element is rendered as a blank space of a width determined by its attributes. Rendering algorithms should also take into account the mathematics style attributes as described below, and modify surrounding spacing by rules or attributes specific to each type of token element. The directional characteristics of the content must also be respected (see 3.1.5.2 Bidirectional Layout in Token Elements).

3.2.1.1 Using images to represent symbols <mglyph/>
Note: mglyph is not in MathML-Core

mglyph is not supported in [MathML-Core]. In a Web Platform Context it is recommended that the HTML img element is used. This is allowed in token elements when MathML is embedded in (X)HTML.

For existing MathML using mglyph a Javascript polyfill is provided for Web documents that implements mglyph using img.

3.2.1.1.1 Description

The mglyph element provides a mechanism for displaying images to represent non-standard symbols. It may be used within the content of the token elements mi, mn, mo, mtext or ms where existing Unicode characters are not adequate.

Unicode defines a large number of characters used in mathematics and, in most cases, glyphs representing these characters are widely available in a variety of fonts. Although these characters should meet almost all users needs, MathML recognizes that mathematics is not static and that new characters and symbols are added when convenient. Characters that become well accepted will likely be eventually incorporated by the Unicode Consortium or other standards bodies, but that is often a lengthy process.

Note that the glyph's src attribute uniquely identifies the mglyph; two mglyphs with the same values for src should be considered identical by applications that must determine whether two characters/glyphs are identical.

3.2.1.1.2 Attributes

The mglyph element accepts the attributes listed in 3.1.9 Attributes common to presentation elements, but note that mathcolor has no effect. The background color, mathbackground, should show through if the specified image has transparency.

mglyph also accepts the additional attributes listed here.

Name values default
src URI required
Specifies the location of the image resource; it may be a URI relative to the base-URI of the source of the MathML, if any.
width length from image
Specifies the desired width of the glyph; see height.
height length from image
Specifies the desired height of the glyph. If only one of width and height are given, the image should be scaled to preserve the aspect ratio; if neither are given, the image should be displayed at its natural size.
valign length 0ex
Specifies the baseline alignment point of the image with respect to the current baseline. A positive value shifts the bottom of the image above the current baseline while a negative value lowers it. A value of 0 (the default) means that the baseline of the image is at the bottom of the image.
alt string required
Provides an alternate name for the glyph. If the specified image can't be found or displayed, the renderer may use this name in a warning message or some unknown glyph notation. The name might also be used by an audio renderer or symbol processing system and should be chosen to be descriptive.
3.2.1.1.3 Example

The following example illustrates how a researcher might use the mglyph construct with a set of images to work with braid group notation.

<mrow>
  <mi><mglyph src="my-braid-23" alt="2 3 braid"/></mi>
  <mo>+</mo>
  <mi><mglyph src="my-braid-132" alt="1 3 2 braid"/></mi>
  <mo>=</mo>
  <mi><mglyph src="my-braid-13" alt="1 3 braid"/></mi>
</mrow>

This might render as:

\includegraphics{image/braids}

3.2.2 Mathematics style attributes common to token elements

In addition to the attributes defined for all presentation elements (3.1.9 Attributes common to presentation elements), MathML includes two mathematics style attributes as well as a directionality attribute valid on all presentation token elements, as well as the math and mstyle elements; dir is also valid on mrow elements. The attributes are:

Name values default
mathvariant "normal" | "bold" | "italic" | "bold-italic" | "double-struck" | "bold-fraktur" | "script" | "bold-script" | "fraktur" | "sans-serif" | "bold-sans-serif" | "sans-serif-italic" | "sans-serif-bold-italic" | "monospace" | "initial" | "tailed" | "looped" | "stretched" normal (except on <mi>)
Specifies the logical class of the token. Note that this class is more than styling, it typically conveys semantic intent; see the discussion below.
Comparisons are ASCII case-insensitive, where all matching strings are allowed as values.
mathsize "small" | "normal" | "big" | length inherited
Specifies the size to display the token content. The values small and big choose a size smaller or larger than the current font size, but leave the exact proportions unspecified; normal is allowed for completeness, but since it is equivalent to 100% or 1em, it has no effect.
Comparisons are ASCII case-insensitive, where all matching strings are allowed as values.
dir "ltr" | "rtl" inherited
specifies the initial directionality for text within the token: ltr (Left To Right) or rtl (Right To Left). This attribute should only be needed in rare cases involving weak or neutral characters; see 3.1.5.1 Overall Directionality of Mathematics Formulas for further discussion. It has no effect on mspace.
Comparisons are ASCII case-insensitive, where all matching strings are allowed as values.

The mathvariant attribute defines logical classes of token elements. Each class provides a collection of typographically-related symbolic tokens. Each token has a specific meaning within a given mathematical expression and, therefore, needs to be visually distinguished and protected from inadvertent document-wide style changes which might change its meaning. Each token is identified by the combination of the mathvariant attribute value and the character data in the token element.

When MathML rendering takes place in an environment where CSS is available, the mathematics style attributes can be viewed as predefined selectors for CSS style rules. See 7.5 Using CSS with MathML for discussion of the interaction of MathML and CSS. Also, see [MathMLforCSS] for discussion of rendering MathML by CSS and a sample CSS style sheet. When CSS is not available, it is up to the internal style mechanism of the rendering application to visually distinguish the different logical classes. Most MathML renderers will probably want to rely on some degree on additional, internal style processing algorithms. In particular, the mathvariant attribute does not follow the CSS inheritance model; the default value is normal (non-slanted) for all tokens except for mi with single-character content. See 3.2.3 Identifier <mi> for details.

Renderers have complete freedom in mapping mathematics style attributes to specific rendering properties. However, in practice, the mathematics style attribute names and values suggest obvious typographical properties, and renderers should attempt to respect these natural interpretations as far as possible. For example, it is reasonable to render a token with the mathvariant attribute set to sans-serif in Helvetica or Arial. However, rendering the token in a Times Roman font could be seriously misleading and should be avoided.

In principle, any mathvariant value may be used with any character data to define a specific symbolic token. In practice, only certain combinations of character data and mathvariant values will be visually distinguished by a given renderer. For example, there is no clear-cut rendering for a "fraktur alpha" or a "bold italic Kanji" character, and the mathvariant values "initial", "tailed", "looped", and "stretched" are appropriate only for Arabic characters.

Certain combinations of character data and mathvariant values are equivalent to assigned Unicode code points that encode mathematical alphanumeric symbols. These Unicode code points are the ones in the Arabic Mathematical Alphabetic Symbols block U+1EE00 to U+1EEFF, Mathematical Alphanumeric Symbols block U+1D400 to U+1D7FF, listed in the Unicode standard, and the ones in the Letterlike Symbols range U+2100 to U+214F that represent "holes" in the alphabets in the SMP, listed in 8.2 Mathematical Alphanumeric Symbols. These characters are described in detail in section 2.2 of UTR #25. The description of each such character in the Unicode standard provides an unstyled character to which it would be equivalent except for a font change that corresponds to a mathvariant value. A token element that uses the unstyled character in combination with the corresponding mathvariant value is equivalent to a token element that uses the mathematical alphanumeric symbol character without the mathvariant attribute. Note that the appearance of a mathematical alphanumeric symbol character should not be altered by surrounding mathvariant or other style declarations.

Renderers should support those combinations of character data and mathvariant values that correspond to Unicode characters, and that they can visually distinguish using available font characters. Renderers may ignore or support those combinations of character data and mathvariant values that do not correspond to an assigned Unicode code point, and authors should recognize that support for mathematical symbols that do not correspond to assigned Unicode code points may vary widely from one renderer to another.

Since MathML expressions are often embedded in a textual data format such as HTML, the surrounding text and the MathML must share rendering attributes such as font size, so that the renderings will be compatible in style. For this reason, most attribute values affecting text rendering are inherited from the rendering environment, as shown in the default column in the table above. (In cases where the surrounding text and the MathML are being rendered by separate software, e.g. a browser and a plug-in, it is also important for the rendering environment to provide the MathML renderer with additional information, such as the baseline position of surrounding text, which is not specified by any MathML attributes.) Note, however, that MathML doesn't specify the mechanism by which style information is inherited from the rendering environment.

If the requested mathsize of the current font is not available, the renderer should approximate it in the manner likely to lead to the most intelligible, highest quality rendering. Note that many MathML elements automatically change the font size in some of their children; see the discussion in 3.1.6 Displaystyle and Scriptlevel.

3.2.2.1 Embedding HTML in MathML

MathML can be combined with other formats as described in 7.4 Combining MathML and Other Formats. The recommendation is to embed other formats in MathML by extending the MathML schema to allow additional elements to be children of the mtext element or other leaf elements as appropriate to the role they serve in the expression (see 3.2.3 Identifier <mi>, 3.2.4 Number <mn>, and 3.2.5 Operator, Fence, Separator or Accent <mo>). The directionality, font size, and other font attributes should inherit from those that would be used for characters of the containing leaf element (see 3.2.2 Mathematics style attributes common to token elements).

Here is an example of embedding SVG inside of mtext in an HTML context:

<mtable>
 <mtr>
  <mtd>
   <mtext><input type="text" placeholder="what shape is this?"/></mtext>
  </mtd>
 </mtr>
 <mtr>
  <mtd>
   <mtext>
    <svg xmlns="http://www.w3.org/2000/svg" width="4cm" height="4cm" viewBox="0 0 400 400">
     <rect x="1" y="1" width="398" height="398" style="fill:none; stroke:blue"/>
     <path d="M 100 100 L 300 100 L 200 300 z" style="fill:red; stroke:blue; stroke-width:3"/>
    </svg>
   </mtext>
  </mtd>
 </mtr>
</mtable>

3.2.3 Identifier <mi>

3.2.3.1 Description

An mi element represents a symbolic name or arbitrary text that should be rendered as an identifier. Identifiers can include variables, function names, and symbolic constants. A typical graphical renderer would render an mi element as its content (see 3.2.1 Token Element Content Characters, <mglyph/>), with no extra spacing around it (except spacing associated with neighboring elements).

Not all mathematical identifiers are represented by mi elements — for example, subscripted or primed variables should be represented using msub or msup respectively. Conversely, arbitrary text playing the role of a term (such as an ellipsis in a summed series) should be represented using an mi element.

It should be stressed that mi is a presentation element, and as such, it only indicates that its content should be rendered as an identifier. In the majority of cases, the contents of an mi will actually represent a mathematical identifier such as a variable or function name. However, as the preceding paragraph indicates, the correspondence between notations that should render as identifiers and notations that are actually intended to represent mathematical identifiers is not perfect. For an element whose semantics is guaranteed to be that of an identifier, see the description of ci in 4. Content Markup.

3.2.3.2 Attributes

mi elements accept the attributes listed in 3.2.2 Mathematics style attributes common to token elements, but in one case with a different default value:

Name values default
mathvariant "normal" | "bold" | "italic" | "bold-italic" | "double-struck" | "bold-fraktur" | "script" | "bold-script" | "fraktur" | "sans-serif" | "bold-sans-serif" | "sans-serif-italic" | "sans-serif-bold-italic" | "monospace" | "initial" | "tailed" | "looped" | "stretched" (depends on content; described below)
Specifies the logical class of the token. The default is normal (non-slanted) unless the content is a single character, in which case it would be italic.
Comparisons are ASCII case-insensitive, where all matching strings are allowed as values.

Note that for purposes of determining equivalences of Math Alphanumeric Symbol characters (see 8.2 Mathematical Alphanumeric Symbols) the value of the mathvariant attribute should be resolved first, including the special defaulting behavior described above.

3.2.3.3 Examples
<mi>x</mi>
x
<mi>D</mi>
D
<mi>sin</mi>
sin
<mi mathvariant='script'>L</mi>
L
<mi></mi>

An mi element with no content is allowed; <mi></mi> might, for example, be used by an expression editor to represent a location in a MathML expression which requires a term (according to conventional syntax for mathematics) but does not yet contain one.

Identifiers include function names such as sin. Expressions such as sin x should be written using the character U+2061 (entity af or ApplyFunction) as shown below; see also the discussion of invisible operators in 3.2.5 Operator, Fence, Separator or Accent <mo>.

<mrow>
  <mi> sin </mi>
  <mo> &#x2061;<!--ApplyFunction--> </mo>
  <mi> x </mi>
</mrow>
sin x

Miscellaneous text that should be treated as a term can also be represented by an mi element, as in:

<mrow>
  <mn> 1 </mn>
  <mo> + </mo>
  <mi></mi>
  <mo> + </mo>
  <mi> n </mi>
</mrow>
1 + + n

When an mi is used in such exceptional situations, explicitly setting the mathvariant attribute may give better results than the default behavior of some renderers.

The names of symbolic constants should be represented as mi elements:

<mi> π </mi>
<mi></mi>
<mi></mi>
π

3.2.4 Number <mn>

3.2.4.1 Description

An mn element represents a numeric literal or other data that should be rendered as a numeric literal. Generally speaking, a numeric literal is a sequence of digits, perhaps including a decimal point, representing an unsigned integer or real number. A typical graphical renderer would render an mn element as its content (see 3.2.1 Token Element Content Characters, <mglyph/>), with no extra spacing around them (except spacing from neighboring elements such as mo). mn elements are typically rendered in an unslanted font.

The mathematical concept of a number can be quite subtle and involved, depending on the context. As a consequence, not all mathematical numbers should be represented using mn; examples of mathematical numbers that should be represented differently are shown below, and include complex numbers, ratios of numbers shown as fractions, and names of numeric constants.

Conversely, since mn is a presentation element, there are a few situations where it may be desirable to include arbitrary text in the content of an mn that should merely render as a numeric literal, even though that content may not be unambiguously interpretable as a number according to any particular standard encoding of numbers as character sequences. As a general rule, however, the mn element should be reserved for situations where its content is actually intended to represent a numeric quantity in some fashion. For an element whose semantics are guaranteed to be that of a particular kind of mathematical number, see the description of cn in 4. Content Markup.

3.2.4.2 Attributes

mn elements accept the attributes listed in 3.2.2 Mathematics style attributes common to token elements.

3.2.4.3 Examples
<mn> 2 </mn>
2
<mn> 0.123 </mn>
0.123
<mn> 1,000,000 </mn>
1,000,000
<mn> 2.1e10 </mn>
2.1e10
<mn> 0xFFEF </mn>
0xFFEF
<mn> MCMLXIX </mn>
MCMLXIX
<mn> twenty-one </mn>
twenty-one
3.2.4.4 Numbers that should not be written using <mn> alone

Many mathematical numbers should be represented using presentation elements other than mn alone; this includes complex numbers, negative numbers, ratios of numbers shown as fractions, and names of numeric constants.

3.2.4.4.1 Examples of complex representations of numbers
<mrow>
  <mn> 2 </mn>
  <mo> + </mo>
  <mrow>
    <mn> 3 </mn>
    <mo> &#x2062;<!--InvisibleTimes--> </mo>
    <mi></mi>
  </mrow>
</mrow>
2 + 3
<mfrac> <mn> 1 </mn> <mn> 2 </mn> </mfrac>
1 2
<mrow><mo>-</mo><mn>2</mn></mrow>
-2
<mi> π </mi>
π
<mi></mi>

3.2.5 Operator, Fence, Separator or Accent <mo>

3.2.5.1 Description

An mo element represents an operator or anything that should be rendered as an operator. In general, the notational conventions for mathematical operators are quite complicated, and therefore MathML provides a relatively sophisticated mechanism for specifying the rendering behavior of an mo element. As a consequence, in MathML the list of things that should render as an operator includes a number of notations that are not mathematical operators in the ordinary sense. Besides ordinary operators with infix, prefix, or postfix forms, these include fence characters such as braces, parentheses, and absolute value bars; separators such as comma and semicolon; and mathematical accents such as a bar or tilde over a symbol. We will use the term "operator" in this chapter to refer to operators in this broad sense.

Typical graphical renderers show all mo elements as the content (see 3.2.1 Token Element Content Characters, <mglyph/>), with additional spacing around the element determined by its attributes and further described below. Renderers without access to complete fonts for the MathML character set may choose to render an mo element as not precisely the characters in its content in some cases. For example, <mo> ≤ </mo> might be rendered as <= to a terminal. However, as a general rule, renderers should attempt to render the content of an mo element as literally as possible. That is, <mo> ≤ </mo> and <mo> &lt;= </mo> should render differently. The first one should render as a single character representing a less-than-or-equal-to sign, and the second one as the two-character sequence <=.

A key feature of the mo element is that its default attribute values are set on a case-by-case basis from an operator dictionary as explained below. In particular, default value for stretch, symmetric and accent can usually be found in the operator dictionary and therefore need not be specified on each mo element.

Note that some mathematical operators are represented not by mo elements alone, but by mo elements embellished with (for example) surrounding superscripts; this is further described below. Conversely, as presentation elements, mo elements can contain arbitrary text, even when that text has no standard interpretation as an operator; for an example, see the discussion Mixing text and mathematics in 3.2.6 Text <mtext>. See also 4. Content Markup for definitions of MathML content elements that are guaranteed to have the semantics of specific mathematical operators.

Note also that linebreaking, as discussed in 3.1.7 Linebreaking of Expressions, usually takes place at operators (either before or after, depending on local conventions). Thus, mo accepts attributes to encode the desirability of breaking at a particular operator, as well as attributes describing the treatment of the operator and indentation in case a linebreak is made at that operator.

3.2.5.2 Attributes

mo elements accept the attributes listed in 3.2.2 Mathematics style attributes common to token elements and the additional attributes listed here. Since the display of operators is so critical in mathematics, the mo element accepts a large number of attributes; these are described in the next three subsections.

Most attributes get their default values from an enclosing mstyle element, math element, from the containing document, or from 3.2.5.6.1 The operator dictionary. When a value that is listed as inherited is not explicitly given on an mo, mstyle element, math element, or found in the operator dictionary for a given mo element, the default value shown in parentheses is used.

3.2.5.2.1 Dictionary-based attributes
Name values default
form "prefix" | "infix" | "postfix" set by position of operator in an mrow
Specifies the role of the operator in the enclosing expression. This role and the operator content affect the lookup of the operator in the operator dictionary which affects the spacing and other default properties; see 3.2.5.6.2 Default value of the form attribute.
Comparisons are ASCII case-insensitive, where all matching strings are allowed as values.
lspace length set by dictionary (thickmathspace)
Specifies the leading space appearing before the operator; see 3.2.5.6.4 Spacing around an operator. (Note that before is on the right in a RTL context; see 3.1.5 Directionality.)
rspace length set by dictionary (thickmathspace)
Specifies the trailing space appearing after the operator; see 3.2.5.6.4 Spacing around an operator. (Note that after is on the left in a RTL context; see 3.1.5 Directionality.)
stretchy boolean set by dictionary (false)
Specifies whether the operator should stretch to the size of adjacent material; see 3.2.5.7 Stretching of operators, fences and accents.
symmetric boolean set by dictionary (false)
Specifies whether the operator should be kept symmetric around the math axis when stretchy. Note this property only applies to vertically stretched symbols. See 3.2.5.7 Stretching of operators, fences and accents.
maxsize length set by dictionary (unbounded)
Specifies the maximum size of the operator when stretchy; see 3.2.5.7 Stretching of operators, fences and accents. If not given, the maximum size is unbounded. Unitless or percentage values indicate a multiple of the reference size, being the size of the unstretched glyph. MathML 4 deprecates "infinity" as possible value as it is the same as not providing a value.
minsize length set by dictionary (100%)
Specifies the minimum size of the operator when stretchy; see 3.2.5.7 Stretching of operators, fences and accents. Unitless or percentage values indicate a multiple of the reference size, being the size of the unstretched glyph.
largeop boolean set by dictionary (false)
Specifies whether the operator is considered a ‘large’ operator, that is, whether it should be drawn larger than normal when displaystyle=true (similar to using TeX's \displaystyle). Examples of large operators include U+222B and U+220F (entities int and prod). See 3.1.6 Displaystyle and Scriptlevel for more discussion.
movablelimits boolean set by dictionary (false)
Specifies whether under- and overscripts attached to this operator ‘move’ to the more compact sub- and superscript positions when displaystyle is false. Examples of operators that typically have movablelimits=true are U+2211 and U+220F (entitites sum, prod), as well as lim. See 3.1.6 Displaystyle and Scriptlevel for more discussion.
accent boolean set by dictionary (false)
Specifies whether this operator should be treated as an accent (diacritical mark) when used as an underscript or overscript; see munder, mover and munderover.
Note: for compatibility with MathML Core, use accent=true on the enclosing mover and munderover in place of this attribute.
3.2.5.2.2 Linebreaking attributes

The following attributes affect when a linebreak does or does not occur, and the appearance of the linebreak when it does occur.

Name values default
linebreak "auto" | "newline" | "nobreak" | "goodbreak" | "badbreak" auto
Specifies the desirability of a linebreak occurring at this operator: the default auto indicates the renderer should use its default linebreaking algorithm to determine whether to break; newline is used to force a linebreak; for automatic linebreaking, nobreak forbids a break; goodbreak suggests a good position; badbreak suggests a poor position.
Comparisons are ASCII case-insensitive, where all matching strings are allowed as values.
lineleading length inherited (100%)
Specifies the amount of vertical space to use after a linebreak. For tall lines, it is often clearer to use more leading at linebreaks. Rendering agents are free to choose an appropriate default.
linebreakstyle "before" | "after" | "duplicate" | "infixlinebreakstyle" set by dictionary (before)
Specifies whether a linebreak occurs ‘before’ or ‘after’ the operator when a linebreak occurs on this operator; or whether the operator is duplicated. before causes the operator to appear at the beginning of the new line (but possibly indented); after causes it to appear at the end of the line before the break. duplicate places the operator at both positions. infixlinebreakstyle uses the value that has been specified for infix operators; this value (one of before, after or duplicate) can be specified by the application or bound by mstyle (before corresponds to the most common style of linebreaking).
Comparisons are ASCII case-insensitive, where all matching strings are allowed as values.
linebreakmultchar string inherited (&InvisibleTimes;)
Specifies the character used to make an &InvisibleTimes; operator visible at a linebreak. For example, linebreakmultchar="·" would make the multiplication visible as a center dot.

linebreak values on adjacent mo and mspace elements do not interact; linebreak=nobreak on an mo does not, in itself, inhibit a break on a preceding or following (possibly nested) mo or mspace element and does not interact with the linebreakstyle attribute value of the preceding or following mo element. It does prevent breaks from occurring on either side of the mo element in all other situations.

3.2.5.2.3 Indentation attributes

The following attributes affect indentation of the lines making up a formula. Primarily these attributes control the positioning of new lines following a linebreak, whether automatic or manual. However, indentalignfirst and indentshiftfirst also control the positioning of a single line formula without any linebreaks. When these attributes appear on mo or mspace they apply if a linebreak occurs at that element. When they appear on mstyle or math elements, they determine defaults for the style to be used for any linebreaks occurring within. Note that except for cases where heavily marked-up manual linebreaking is desired, many of these attributes are most useful when bound on an mstyle or math element.

Note that since the rendering context, such as the available width and current font, is not always available to the author of the MathML, a renderer may ignore the values of these attributes if they result in a line in which the remaining width is too small to usefully display the expression or if they result in a line in which the remaining width exceeds the available linewrapping width.

Name values default
indentalign "left" | "center" | "right" | "auto" | "id" inherited (auto)
Specifies the positioning of lines when linebreaking takes place within an mrow; see below for discussion of the attribute values.
Comparisons are ASCII case-insensitive, where all matching strings are allowed as values.
indentshift length inherited (0)
Specifies an additional indentation offset relative to the position determined by indentalign. When the value is a percentage value, the value is relative to the horizontal space that a MathML renderer has available, this is the current target width as used for linebreaking as specified in 3.1.7 Linebreaking of Expressions. Note: numbers without units were allowed in MathML 3 and treated similarly to percentage values, but unitless numbers are deprecated in MathML 4.
indenttarget idref inherited (none)
Specifies the id of another element whose horizontal position determines the position of indented lines when indentalign=id. Note that the identified element may be outside of the current math element, allowing for inter-expression alignment, or may be within invisible content such as mphantom; it must appear before being referenced, however. This may lead to an id being unavailable to a given renderer or in a position that does not allow for alignment. In such cases, the indentalign should revert to auto.
indentalignfirst "left" | "center" | "right" | "auto" | "id" | "indentalign" inherited (indentalign)
Specifies the indentation style to use for the first line of a formula; the value indentalign (the default) means to indent the same way as used for the general line.
Comparisons are ASCII case-insensitive, where all matching strings are allowed as values.
indentshiftfirst length | "indentshift" inherited (indentshift)
Specifies the offset to use for the first line of a formula; the value indentshift (the default) means to use the same offset as used for the general line. It is ASCII case-insensitive. Percentage values and numbers without unit are interpreted as described for indentshift.
indentalignlast "left" | "center" | "right" | "auto" | "id" | "indentalign" inherited (indentalign)
Specifies the indentation style to use for the last line when a linebreak occurs within a given mrow; the value indentalign (the default) means to indent the same way as used for the general line. When there are exactly two lines, the value of this attribute should be used for the second line in preference to indentalign.
Comparisons are ASCII case-insensitive, where all matching strings are allowed as values.
indentshiftlast length | "indentshift" inherited (indentshift)
Specifies the offset to use for the last line when a linebreak occurs within a given mrow; the value indentshift (the default) means to indent the same way as used for the general line. It is ASCII case-insensitive. When there are exactly two lines, the value of this attribute should be used for the second line in preference to indentshift. Percentage values and numbers without unit are interpreted as described for indentshift.

The legal values of indentalign are:

Value Meaning
left Align the left side of the next line to the left side of the line wrapping width
center Align the center of the next line to the center of the line wrapping width
right Align the right side of the next line to the right side of the line wrapping width
auto (default) indent using the renderer's default indenting style; this may be a fixed amount or one that varies with the depth of the element in the mrow nesting or some other similar method.
id Align the left side of the next line to the left side of the element referenced by the idref (given by indenttarget); if no such element exists, use auto as the indentalign value
3.2.5.3 Examples with ordinary operators
<mo>+</mo>
+
<mo>&lt;</mo>
<
<mo></mo>
<mo>&lt;=</mo>
<=
<mo>++</mo>
++
<mo></mo>
<mo>.NOT.</mo>
.NOT.
<mo>and</mo>
and
<mo>&#x2062;<!--InvisibleTimes--></mo>
3.2.5.4 Examples with fences and separators

Note that the mo elements in these examples don't need explicit stretchy or symmetric attributes, since these can be found using the operator dictionary as described below. Some of these examples could also be encoded using the mfenced element described in 3.3.8 Expression Inside Pair of Fences <mfenced>.

(a+b)

<mrow>
  <mo> ( </mo>
  <mrow>
    <mi> a </mi>
    <mo> + </mo>
    <mi> b </mi>
  </mrow>
  <mo> ) </mo>
</mrow>
( a + b )

[0,1)

<mrow>
  <mo> [ </mo>
  <mrow>
    <mn> 0 </mn>
    <mo> , </mo>
    <mn> 1 </mn>
  </mrow>
  <mo> ) </mo>
</mrow>
[ 0 , 1 )

f(x,y)

<mrow>
  <mi> f </mi>
  <mo> &#x2061;<!--ApplyFunction--> </mo>
  <mrow>
    <mo> ( </mo>
    <mrow>
      <mi> x </mi>
      <mo> , </mo>
      <mi> y </mi>
    </mrow>
    <mo> ) </mo>
  </mrow>
</mrow>
f ( x , y )
3.2.5.5 Invisible operators

Certain operators that are invisible in traditional mathematical notation should be represented using specific characters (or entity references) within mo elements, rather than simply by nothing. The characters used for these invisible operators are:

Character Entity name Short name
U+2061 ApplyFunction af
U+2062 InvisibleTimes it
U+2063 InvisibleComma ic
U+2064
3.2.5.5.1 Examples

The MathML representations of the examples in the above table are:

<mrow>
  <mi> f </mi>
  <mo> &#x2061;<!--ApplyFunction--> </mo>
  <mrow>
    <mo> ( </mo>
    <mi> x </mi>
    <mo> ) </mo>
  </mrow>
</mrow>
f ( x )
<mrow>
  <mi> sin </mi>
  <mo> &#x2061;<!--ApplyFunction--> </mo>
  <mi> x </mi>
</mrow>
sin x
<mrow>
  <mi> x </mi>
  <mo> &#x2062;<!--InvisibleTimes--> </mo>
  <mi> y </mi>
</mrow>
x y
<msub>
  <mi> m </mi>
  <mrow>
    <mn> 1 </mn>
    <mo> &#x2063;<!--InvisibleComma--> </mo>
    <mn> 2 </mn>
  </mrow>
</msub>
m 1 2
<mrow>
  <mn> 2 </mn>
  <mo> &#x2064; </mo>
  <mfrac>
    <mn> 3 </mn>
    <mn> 4 </mn>
  </mfrac>
</mrow>
2 3 4
3.2.5.6 Detailed rendering rules for <mo> elements

Typical visual rendering behaviors for mo elements are more complex than for the other MathML token elements, so the rules for rendering them are described in this separate subsection.

Note that, like all rendering rules in MathML, these rules are suggestions rather than requirements. The description below is given to make the intended effect of the various rendering attributes as clear as possible. Detailed layout rules for browser implementations for operators are given in MathML Core.

3.2.5.6.1 The operator dictionary

Many mathematical symbols, such as an integral sign, a plus sign, or a parenthesis, have a well-established, predictable, traditional notational usage. Typically, this usage amounts to certain default attribute values for mo elements with specific contents and a specific form attribute. Since these defaults vary from symbol to symbol, MathML anticipates that renderers will have an operator dictionary of default attributes for mo elements (see B. Operator Dictionary) indexed by each mo element's content and form attribute. If an mo element is not listed in the dictionary, the default values shown in parentheses in the table of attributes for mo should be used, since these values are typically acceptable for a generic operator.

Some operators are overloaded, in the sense that they can occur in more than one form (prefix, infix, or postfix), with possibly different rendering properties for each form. For example, + can be either a prefix or an infix operator. Typically, a visual renderer would add space around both sides of an infix operator, while only in front of a prefix operator. The form attribute allows specification of which form to use, in case more than one form is possible according to the operator dictionary and the default value described below is not suitable.

3.2.5.6.2 Default value of the form attribute

The form attribute does not usually have to be specified explicitly, since there are effective heuristic rules for inferring the value of the form attribute from the context. If it is not specified, and there is more than one possible form in the dictionary for an mo element with given content, the renderer should choose which form to use as follows (but see the exception for embellished operators, described later):

  • If the operator is the first argument in an mrow with more than one argument (ignoring all space-like arguments (see 3.2.7 Space <mspace/>) in the determination of both the length and the first argument), the prefix form is used;

  • if it is the last argument in an mrow with more than one argument (ignoring all space-like arguments), the postfix form is used;

  • if it is the only element in an implicit or explicit mrow and if it is in a script position of one of the elements listed in 3.4 Script and Limit Schemata, the postfix form is used;

  • in all other cases, including when the operator is not part of an mrow, the infix form is used.

Note that the mrow discussed above may be inferred; see 3.1.3.1 Inferred <mrow>s.

Opening fences should have form="prefix", and closing fences should have form="postfix"; separators are usually infix, but not always, depending on their surroundings. As with ordinary operators, these values do not usually need to be specified explicitly.

If the operator does not occur in the dictionary with the specified form, the renderer should use one of the forms that is available there, in the order of preference: infix, postfix, prefix; if no forms are available for the given mo element content, the renderer should use the defaults given in parentheses in the table of attributes for mo.

3.2.5.6.3 Exception for embellished operators

There is one exception to the above rules for choosing an mo element's default form attribute. An mo element that is embellished by one or more nested subscripts, superscripts, surrounding text or whitespace, or style changes behaves differently. It is the embellished operator as a whole (this is defined precisely, below) whose position in an mrow is examined by the above rules and whose surrounding spacing is affected by its form, not the mo element at its core; however, the attributes influencing this surrounding spacing are taken from the mo element at the core (or from that element's dictionary entry).

For example, the +4 in a+4b should be considered an infix operator as a whole, due to its position in the middle of an mrow, but its rendering attributes should be taken from the mo element representing the +, or when those are not specified explicitly, from the operator dictionary entry for <mo form="infix"> + </mo>. The precise definition of an embellished operator is:

  • an mo element;

  • or one of the elements msub, msup, msubsup, munder, mover, munderover, mmultiscripts, mfrac, or semantics (6.5 The <semantics> element), whose first argument exists and is an embellished operator;

  • or one of the elements mstyle, mphantom, or mpadded, such that an mrow containing the same arguments would be an embellished operator;

  • or an maction element whose selected sub-expression exists and is an embellished operator;

  • or an mrow whose arguments consist (in any order) of one embellished operator and zero or more space-like elements.

Note that this definition permits nested embellishment only when there are no intervening enclosing elements not in the above list.

The above rules for choosing operator forms and defining embellished operators are chosen so that in all ordinary cases it will not be necessary for the author to specify a form attribute.

3.2.5.6.4 Spacing around an operator

The amount of horizontal space added around an operator (or embellished operator), when it occurs in an mrow, can be directly specified by the lspace and rspace attributes. Note that lspace and rspace should be interpreted as leading and trailing space, in the case of RTL direction. By convention, operators that tend to bind tightly to their arguments have smaller values for spacing than operators that tend to bind less tightly. This convention should be followed in the operator dictionary included with a MathML renderer.

Some renderers may choose to use no space around most operators appearing within subscripts or superscripts, as is done in TeX.

Non-graphical renderers should treat spacing attributes, and other rendering attributes described here, in analogous ways for their rendering medium. For example, more space might translate into a longer pause in an audio rendering.

3.2.5.7 Stretching of operators, fences and accents

Four attributes govern whether and how an operator (perhaps embellished) stretches so that it matches the size of other elements: stretchy, symmetric, maxsize, and minsize. If an operator has the attribute stretchy=true, then it (that is, each character in its content) obeys the stretching rules listed below, given the constraints imposed by the fonts and font rendering system. In practice, typical renderers will only be able to stretch a small set of characters, and quite possibly will only be able to generate a discrete set of character sizes.

There is no provision in MathML for specifying in which direction (horizontal or vertical) to stretch a specific character or operator; rather, when stretchy=true it should be stretched in each direction for which stretching is possible and reasonable for that character. It is up to the renderer to know in which directions it is reasonable to stretch a character, if it can stretch the character. Most characters can be stretched in at most one direction by typical renderers, but some renderers may be able to stretch certain characters, such as diagonal arrows, in both directions independently.

The minsize and maxsize attributes limit the amount of stretching (in either direction). These two attributes are given as multipliers of the operator's normal size in the direction or directions of stretching, or as absolute sizes using units. For example, if a character has maxsize=300%, then it can grow to be no more than three times its normal (unstretched) size.

The symmetric attribute governs whether the height and depth above and below the axis of the character are forced to be equal (by forcing both height and depth to become the maximum of the two). An example of a situation where one might set symmetric=false arises with parentheses around a matrix not aligned on the axis, which frequently occurs when multiplying non-square matrices. In this case, one wants the parentheses to stretch to cover the matrix, whereas stretching the parentheses symmetrically would cause them to protrude beyond one edge of the matrix. The symmetric attribute only applies to characters that stretch vertically (otherwise it is ignored).

If a stretchy mo element is embellished (as defined earlier in this section), the mo element at its core is stretched to a size based on the context of the embellished operator as a whole, i.e. to the same size as if the embellishments were not present. For example, the parentheses in the following example (which would typically be set to be stretchy by the operator dictionary) will be stretched to the same size as each other, and the same size they would have if they were not underlined and overlined, and furthermore will cover the same vertical interval:

<mrow>
  <munder>
    <mo> ( </mo>
    <mo> _ </mo>
  </munder>
  <mfrac>
    <mi> a </mi>
    <mi> b </mi>
  </mfrac>
  <mover>
    <mo> ) </mo>
    <mo></mo>
  </mover>
</mrow>
( _ a b )

Note that this means that the stretching rules given below must refer to the context of the embellished operator as a whole, not just to the mo element itself.

3.2.5.7.1 Example of stretchy attributes

This shows one way to set the maximum size of a parenthesis so that it does not grow, even though its default value is stretchy=true.

<mrow>
  <mo maxsize="100%">(</mo>
  <mfrac>
    <msup><mi>a</mi><mn>2</mn></msup>
    <msup><mi>b</mi><mn>2</mn></msup>
  </mfrac>
  <mo maxsize="100%">)</mo>
</mrow>
( a2 b2 )

The above should render as (\frac{a^2}{b^2}) as opposed to the default rendering \left(\frac{a^2}{b^2}\right).

Note that each parenthesis is sized independently; if only one of them had maxsize=100%, they would render with different sizes.

3.2.5.7.2 Vertical Stretching Rules

The general rules governing stretchy operators are:

  • If a stretchy operator is a direct sub-expression of an mrow element, or is the sole direct sub-expression of an mtd element in some row of a table, then it should stretch to cover the height and depth (above and below the axis) of the non-stretchy direct sub-expressions in the mrow element or table row, unless stretching is constrained by minsize or maxsize attributes.

  • In the case of an embellished stretchy operator, the preceding rule applies to the stretchy operator at its core.

  • The preceding rules also apply in situations where the mrow element is inferred.

  • The rules for symmetric stretching only apply if symmetric=true and if the stretching occurs in an mrow or in an mtr whose rowalign value is either baseline or axis.

The following algorithm specifies the height and depth of vertically stretched characters:

  1. Let maxheight and maxdepth be the maximum height and depth of the non-stretchy siblings within the same mrow or mtr. Let axis be the height of the math axis above the baseline.

    Note that even if a minsize or maxsize value is set on a stretchy operator, it is not used in the initial calculation of the maximum height and depth of an mrow.

  2. If symmetric=true, then the computed height and depth of the stretchy operator are:

    height=max(maxheight-axis, maxdepth+axis) + axis
    depth =max(maxheight-axis, maxdepth+axis) - axis

    Otherwise the height and depth are:

    height= maxheight
    depth = maxdepth
  3. If the total size = height+depth is less than minsize or greater than maxsize, increase or decrease both height and depth proportionately so that the effective size meets the constraint.

By default, most vertical arrows, along with most opening and closing fences are defined in the operator dictionary to stretch by default.

In the case of a stretchy operator in a table cell (i.e. within an mtd element), the above rules assume each cell of the table row containing the stretchy operator covers exactly one row. (Equivalently, the value of the rowspan attribute is assumed to be 1 for all the table cells in the table row, including the cell containing the operator.) When this is not the case, the operator should only be stretched vertically to cover those table cells that are entirely within the set of table rows that the operator's cell covers. Table cells that extend into rows not covered by the stretchy operator's table cell should be ignored. See 3.5.3.2 Attributes for details about the rowspan attribute.

3.2.5.7.3 Horizontal Stretching Rules
  • If a stretchy operator, or an embellished stretchy operator, is a direct sub-expression of an munder, mover, or munderover element, or if it is the sole direct sub-expression of an mtd element in some column of a table (see mtable), then it, or the mo element at its core, should stretch to cover the width of the other direct sub-expressions in the given element (or in the same table column), given the constraints mentioned above.

  • In the case of an embellished stretchy operator, the preceding rule applies to the stretchy operator at its core.

By default, most horizontal arrows and some accents stretch horizontally.

In the case of a stretchy operator in a table cell (i.e. within an mtd element), the above rules assume each cell of the table column containing the stretchy operator covers exactly one column. (Equivalently, the value of the columnspan attribute is assumed to be 1 for all the table cells in the table row, including the cell containing the operator.) When this is not the case, the operator should only be stretched horizontally to cover those table cells that are entirely within the set of table columns that the operator's cell covers. Table cells that extend into columns not covered by the stretchy operator's table cell should be ignored. See 3.5.3.2 Attributes for details about the rowspan attribute.

The rules for horizontal stretching include mtd elements to allow arrows to stretch for use in commutative diagrams laid out using mtable. The rules for the horizontal stretchiness include scripts to make examples such as the following work:

<mrow>
  <mi> x </mi>
  <munder>
    <mo></mo>
    <mtext> maps to </mtext>
  </munder>
  <mi> y </mi>
</mrow>
x maps to y
3.2.5.7.4 Rules Common to both Vertical and Horizontal Stretching

If a stretchy operator is not required to stretch (i.e. if it is not in one of the locations mentioned above, or if there are no other expressions whose size it should stretch to match), then it has the standard (unstretched) size determined by the font and current mathsize.

If a stretchy operator is required to stretch, but all other expressions in the containing element (as described above) are also stretchy, all elements that can stretch should grow to the maximum of the normal unstretched sizes of all elements in the containing object, if they can grow that large. If the value of minsize or maxsize prevents that, then the specified (min or max) size is used.

For example, in an mrow containing nothing but vertically stretchy operators, each of the operators should stretch to the maximum of all of their normal unstretched sizes, provided no other attributes are set that override this behavior. Of course, limitations in fonts or font rendering may result in the final, stretched sizes being only approximately the same.

3.2.6 Text <mtext>

3.2.6.1 Description

An mtext element is used to represent arbitrary text that should be rendered as itself. In general, the mtext element is intended to denote commentary text.

Note that text with a clearly defined notational role might be more appropriately marked up using mi or mo.

An mtext element can also contain renderable whitespace, i.e. invisible characters that are intended to alter the positioning of surrounding elements. In non-graphical media, such characters are intended to have an analogous effect, such as introducing positive or negative time delays or affecting rhythm in an audio renderer. However, see 2.1.7 Collapsing Whitespace in Input.

3.2.6.2 Attributes

mtext elements accept the attributes listed in 3.2.2 Mathematics style attributes common to token elements.

See also the warnings about the legal grouping of space-like elements in 3.2.7 Space <mspace/>, and about the use of such elements for tweaking in [MathML-Notes].

3.2.6.3 Examples
<mrow>
  <mtext> Theorem 1: </mtext>
  <mtext> &#x2009;<!--ThinSpace--> </mtext>
  <mtext> &#x205F;<!--ThickSpace-->&#x205F;<!--ThickSpace--> </mtext>
  <mtext> /* a comment */ </mtext>
</mrow>
Theorem 1:    /* a comment */

3.2.7 Space <mspace/>

3.2.7.1 Description

An mspace empty element represents a blank space of any desired size, as set by its attributes. It can also be used to make linebreaking suggestions to a visual renderer. Note that the default values for attributes have been chosen so that they typically will have no effect on rendering. Thus, the mspace element is generally used with one or more attribute values explicitly specified.

Note the warning about the legal grouping of space-like elements given below, and the warning about the use of such elements for tweaking in [MathML-Notes]. See also the other elements that can render as whitespace, namely mtext, mphantom, and maligngroup.

3.2.7.2 Attributes

In addition to the attributes listed below, mspace elements accept the attributes described in 3.2.2 Mathematics style attributes common to token elements, but note that mathvariant and mathcolor have no effect and that mathsize only affects the interpretation of units in sizing attributes (see 2.1.5.2 Length Valued Attributes). mspace also accepts the indentation attributes described in 3.2.5.2.3 Indentation attributes.

Name values default
width length 0em
Specifies the desired width of the space.
height length 0ex
Specifies the desired height (above the baseline) of the space.
depth length 0ex
Specifies the desired depth (below the baseline) of the space.

Linebreaking was originally specified on mspace in MathML2, but much greater control over linebreaking and indentation was add to mo in MathML 3. Linebreaking on mspace is deprecated in MathML 4.

3.2.7.3 Examples
<mspace height="3ex" depth="2ex"/>
3.2.7.4 Definition of space-like elements

A number of MathML presentation elements are space-like in the sense that they typically render as whitespace, and do not affect the mathematical meaning of the expressions in which they appear. As a consequence, these elements often function in somewhat exceptional ways in other MathML expressions. For example, space-like elements are handled specially in the suggested rendering rules for mo given in 3.2.5 Operator, Fence, Separator or Accent <mo>. The following MathML elements are defined to be space-like:

  • an mtext element that is empty or all of whose characters are Unicode spacing characters;

  • an mspace, maligngroup, or malignmark element;

  • an mstyle, mphantom, or mpadded element, all of whose direct sub-expressions are space-like;

  • a semantics element whose first argument exists and is space-like;

  • an maction element whose selected sub-expression exists and is space-like;

  • an mrow all of whose direct sub-expressions are space-like.

Note that an mphantom is not automatically defined to be space-like, unless its content is space-like. This is because operator spacing is affected by whether adjacent elements are space-like. Since the mphantom element is primarily intended as an aid in aligning expressions, operators adjacent to an mphantom should behave as if they were adjacent to the contents of the mphantom, rather than to an equivalently sized area of whitespace.

3.2.8 String Literal <ms>

3.2.8.1 Description

The ms element is used to represent string literals in expressions meant to be interpreted by computer algebra systems or other systems containing programming languages. By default, string literals are displayed surrounded by double quotes, with no extra spacing added around the string. As explained in 3.2.6 Text <mtext>, ordinary text embedded in a mathematical expression should be marked up with mtext, or in some cases mo or mi, but never with ms.

Note that the string literals encoded by ms are made up of characters, mglyphs and malignmarks rather than ASCII strings. For example, <ms>&amp;</ms> represents a string literal containing a single character, &, and <ms>&amp;amp;</ms> represents a string literal containing 5 characters, the first one of which is &.

The content of ms elements should be rendered with visible escaping of certain characters in the content, including at least the left and right quoting characters, and preferably whitespace other than individual space characters. The intent is for the viewer to see that the expression is a string literal, and to see exactly which characters form its content. For example, <ms>double quote is "</ms> might be rendered as "double quote is \"".

Like all token elements, ms does trim and collapse whitespace in its content according to the rules of 2.1.7 Collapsing Whitespace in Input, so whitespace intended to remain in the content should be encoded as described in that section.

3.2.8.2 Attributes

ms elements accept the attributes listed in 3.2.2 Mathematics style attributes common to token elements, and additionally:

Name values default
lquote string U+0022 (entity quot)
Specifies the opening quote to enclose the content (not necessarily ‘left quote’ in RTL context).
rquote string U+0022 (entity quot)
Specifies the closing quote to enclose the content (not necessarily ‘right quote’ in RTL context).

3.3 General Layout Schemata

Besides tokens there are several families of MathML presentation elements. One family of elements deals with various scripting notations, such as subscript and superscript. Another family is concerned with matrices and tables. The remainder of the elements, discussed in this section, describe other basic notations such as fractions and radicals, or deal with general functions such as setting style properties and error handling.

3.3.1 Horizontally Group Sub-Expressions <mrow>, <a>

3.3.1.1 Description

An mrow or a element is used to group together any number of sub-expressions, usually consisting of one or more mo elements acting as operators on one or more other expressions that are their operands.

Several elements automatically treat their arguments as if they were contained in an mrow element. See the discussion of inferred mrows in 3.1.3 Required Arguments. See also mfenced (3.3.8 Expression Inside Pair of Fences <mfenced>), which can effectively form an mrow containing its arguments separated by commas.

mrow elements are typically rendered visually as a horizontal row of their arguments, left to right in the order in which the arguments occur within a context with LTR directionality, or right to left within a context with RTL directionality. The dir attribute can be used to specify the directionality for a specific mrow, otherwise it inherits the directionality from the context. For aural agents, the arguments would be rendered audibly as a sequence of renderings of the arguments. The description in 3.2.5 Operator, Fence, Separator or Accent <mo> of suggested rendering rules for mo elements assumes that all horizontal spacing between operators and their operands is added by the rendering of mo elements (or, more generally, embellished operators), not by the rendering of the mrows they are contained in.

MathML provides support for both automatic and manual linebreaking of expressions (that is, to break excessively long expressions into several lines). All such linebreaks take place within mrows, whether they are explicitly marked up in the document, or inferred (see 3.1.3.1 Inferred <mrow>s), although the control of linebreaking is effected through attributes on other elements (see 3.1.7 Linebreaking of Expressions).

In MathML 4 mrow and a have identical behavior, however ahas been added for compatibility with MathML Core. MathML Core only supprts the href attribute on the a element.

3.3.1.2 Attributes

mrow elements accept the attribute listed below in addition to those listed in 3.1.9 Attributes common to presentation elements.

Name values default
dir "ltr" | "rtl" inherited
specifies the overall directionality ltr (Left To Right) or rtl (Right To Left) to use to layout the children of the row. See 3.1.5.1 Overall Directionality of Mathematics Formulas for further discussion.
Comparisons are ASCII case-insensitive, where all matching strings are allowed as values.
3.3.1.3 Proper grouping of sub-expressions using <mrow>

Sub-expressions should be grouped by the document author in the same way as they are grouped in the mathematical interpretation of the expression; that is, according to the underlying syntax tree of the expression. Specifically, operators and their mathematical arguments should occur in a single mrow; more than one operator should occur directly in one mrow only when they can be considered (in a syntactic sense) to act together on the interleaved arguments, e.g. for a single parenthesized term and its parentheses, for chains of relational operators, or for sequences of terms separated by + and -. A precise rule is given below.

Proper grouping has several purposes: it improves display by possibly affecting spacing; it allows for more intelligent linebreaking and indentation; and it simplifies possible semantic interpretation of presentation elements by computer algebra systems, and audio renderers.

Although improper grouping will sometimes result in suboptimal renderings, and will often make interpretation other than pure visual rendering difficult or impossible, any grouping of expressions using mrow is allowed in MathML syntax; that is, renderers should not assume the rules for proper grouping will be followed.

3.3.1.3.1 <mrow> of one argument

MathML renderers are required to treat an mrow element containing exactly one argument as equivalent in all ways to the single argument occurring alone, provided there are no attributes on the mrow element. If there are attributes on the mrow element, no requirement of equivalence is imposed. This equivalence condition is intended to simplify the implementation of MathML-generating software such as template-based authoring tools. It directly affects the definitions of embellished operator and space-like element and the rules for determining the default value of the form attribute of an mo element; see 3.2.5 Operator, Fence, Separator or Accent <mo> and 3.2.7 Space <mspace/>. See also the discussion of equivalence of MathML expressions in D.1 MathML Conformance.

3.3.1.3.2 Precise rule for proper grouping

A precise rule for when and how to nest sub-expressions using mrow is especially desirable when generating MathML automatically by conversion from other formats for displayed mathematics, such as TeX, which don't always specify how sub-expressions nest. When a precise rule for grouping is desired, the following rule should be used:

Two adjacent operators, possibly embellished, possibly separated by operands (i.e. anything other than operators), should occur in the same mrow only when the leading operator has an infix or prefix form (perhaps inferred), the following operator has an infix or postfix form, and the operators have the same priority in the operator dictionary (B. Operator Dictionary). In all other cases, nested mrows should be used.

When forming a nested mrow (during generation of MathML) that includes just one of two successive operators with the forms mentioned above (which means that either operator could in principle act on the intervening operand or operands), it is necessary to decide which operator acts on those operands directly (or would do so, if they were present). Ideally, this should be determined from the original expression; for example, in conversion from an operator-precedence-based format, it would be the operator with the higher precedence.

Note that the above rule has no effect on whether any MathML expression is valid, only on the recommended way of generating MathML from other formats for displayed mathematics or directly from written notation.

(Some of the terminology used in stating the above rule is defined in 3.2.5 Operator, Fence, Separator or Accent <mo>.)

3.3.1.4 Examples

As an example, 2x+y-z should be written as:

<mrow>
  <mrow>
    <mn> 2 </mn>
    <mo> &#x2062;<!--InvisibleTimes--> </mo>
    <mi> x </mi>
  </mrow>
  <mo> + </mo>
  <mi> y </mi>
  <mo> - </mo>
  <mi> z </mi>
</mrow>
2 x + y - z

The proper encoding of (x, y) furnishes a less obvious example of nesting mrows:

<mrow>
  <mo> ( </mo>
  <mrow>
    <mi> x </mi>
    <mo> , </mo>
    <mi> y </mi>
  </mrow>
  <mo> ) </mo>
</mrow>
( x , y )

In this case, a nested mrow is required inside the parentheses, since parentheses and commas, thought of as fence and separator operators, do not act together on their arguments.

Hyperref links that are compatible with MathML Core may be specified by using the <a> element rather than <mrow>:

<a href="https://openmath.org/cd/transc1.html#arccsch">
  <mi>arccsch</mi>
  <mrow>
    <mo>(</mo>
    <mi>z</mi>
    <mo>)</mo>
  </mrow>
</a>
arccsch ( z )

3.3.2 Fractions <mfrac>

3.3.2.1 Description

The mfrac element is used for fractions. It can also be used to mark up fraction-like objects such as binomial coefficients and Legendre symbols. The syntax for mfrac is

<mfrac> numerator denominator </mfrac>

The mfrac element sets displaystyle to false, or if it was already false increments scriptlevel by 1, within numerator and denominator. (See 3.1.6 Displaystyle and Scriptlevel.)

3.3.2.2 Attributes

mfrac elements accept the attributes listed below in addition to those listed in 3.1.9 Attributes common to presentation elements. The fraction line, if any, should be drawn using the color specified by mathcolor.

Name values default
linethickness length | "thin" | "medium" | "thick" medium
Specifies the thickness of the horizontal fraction bar, or rule. The default value is medium; thin is thinner, but visible; thick is thicker. The exact thickness of these is left up to the rendering agent. However, if OpenType Math fonts are available then the renderer should set medium to the value MATH.MathConstants.fractionRuleThickness (the default in MathML-Core).
Comparisons are ASCII case-insensitive, where all matching strings are allowed as values.
Note: MathML Core only allows <length-percentage> values.
numalign "left" | "center" | "right" center
Specifies the alignment of the numerator over the fraction.
Comparisons are ASCII case-insensitive, where all matching strings are allowed as values.
denomalign "left" | "center" | "right" center
Specifies the alignment of the denominator under the fraction.
Comparisons are ASCII case-insensitive, where all matching strings are allowed as values.
bevelled boolean false
Specifies whether the fraction should be displayed in a bevelled style (the numerator slightly raised, the denominator slightly lowered and both separated by a slash), rather than "build up" vertically. See below for an example.

Thicker lines (e.g. linethickness="thick") might be used with nested fractions; a value of "0" renders without the bar such as for binomial coefficients.

In a RTL directionality context, the numerator leads (on the right), the denominator follows (on the left) and the diagonal line slants upwards going from right to left (see 3.1.5.1 Overall Directionality of Mathematics Formulas for clarification). Although this format is an established convention, it is not universally followed; for situations where a forward slash is desired in a RTL context, alternative markup, such as an mo within an mrow should be used.

3.3.2.3 Examples

Here is an example which makes use of different values of linethickness:

<mfrac linethickness="3px">
  <mrow>
    <mo> ( </mo>
      <mfrac linethickness="0">
        <mi> a </mi>
        <mi> b </mi>
      </mfrac>
    <mo> ) </mo>
    <mfrac>
      <mi> a </mi>
      <mi> b </mi>
    </mfrac>
  </mrow>
  <mfrac>
    <mi> c </mi>
    <mi> d </mi>
  </mfrac>
</mfrac>
( a b ) a b c d

This example illustrates bevelled fractions:

<mfrac>
  <mn> 1 </mn>
  <mrow>
    <msup>
      <mi> x </mi>
      <mn> 3 </mn>
    </msup>
    <mo> + </mo>
    <mfrac>
      <mi> x </mi>
      <mn> 3 </mn>
    </mfrac>
  </mrow>
</mfrac>
<mo> = </mo>
<mfrac bevelled="true">
  <mn> 1 </mn>
  <mrow>
    <msup>
      <mi> x </mi>
      <mn> 3 </mn>
    </msup>
    <mo> + </mo>
    <mfrac>
      <mi> x </mi>
      <mn> 3 </mn>
    </mfrac>
  </mrow>
</mfrac>
\frac{{1}}{{x^3 + \frac{{x}}{{3}}}} = \raisebox{{1ex}}{{$1$}}\!\left/ \!\raisebox{{-1ex}}{{$x^3+\frac{{x}}{{3}}$}} \right.

A more generic example is:

<mfrac>
  <mrow>
    <mn> 1 </mn>
    <mo> + </mo>
    <msqrt>
      <mn> 5 </mn>
    </msqrt>
  </mrow>
  <mn> 2 </mn>
</mfrac>
1 + 5 2

3.3.3 Radicals <msqrt>, <mroot>

3.3.3.1 Description

These elements construct radicals. The msqrt element is used for square roots, while the mroot element is used to draw radicals with indices, e.g. a cube root. The syntax for these elements is:

<msqrt> base </msqrt>
<mroot> base index </mroot>

The mroot element requires exactly 2 arguments. However, msqrt accepts a single argument, possibly being an inferred mrow of multiple children; see 3.1.3 Required Arguments. The mroot element increments scriptlevel by 2, and sets displaystyle to false, within index, but leaves both attributes unchanged within base. The msqrt element leaves both attributes unchanged within its argument. (See 3.1.6 Displaystyle and Scriptlevel.)

Note that in a RTL directionality, the surd begins on the right, rather than the left, along with the index in the case of mroot.

3.3.3.2 Attributes

msqrt and mroot elements accept the attributes listed in 3.1.9 Attributes common to presentation elements. The surd and overbar should be drawn using the color specified by mathcolor.

3.3.3.3 Examples

Square roots and cube roots

<mrow>
  <mrow>
    <msqrt>
      <mi>x</mi>
    </msqrt>
    <mroot>
      <mi>x</mi>
      <mn>3</mn>
    </mroot>
  <mrow>
  <mo>=</mo>
  <msup>
    <mi>x</mi>
    <mrow>
      <mrow>
        <mn>1</mn>
        <mo>/</mo>
        <mn>2</mn>
      </mrow>
      <mo>+</mo>
      <mrow>
        <mn>1</mn>
        <mo>/</mo>
        <mn>3</mn>
      </mrow>
    </mrow>
  </msup>
</mrow>
x x 3 = x 1 / 2 + 1 / 3

3.3.4 Style Change <mstyle>

3.3.4.1 Description

The mstyle element is used to make style changes that affect the rendering of its contents. As a presentation element, it accepts the attributes described in 3.1.9 Attributes common to presentation elements. Additionally, it can be given any attribute accepted by any other presentation element, except for the attributes described below.

The mstyle element accepts a single argument, possibly being an inferred mrow of multiple children; see 3.1.3 Required Arguments.

Loosely speaking, the effect of the mstyle element is to change the default value of an attribute for the elements it contains. Style changes work in one of several ways, depending on the way in which default values are specified for an attribute. The cases are:

  • Some attributes, such as displaystyle or scriptlevel (explained below), are inherited from the surrounding context when they are not explicitly set. Specifying such an attribute on an mstyle element sets the value that will be inherited by its child elements. Unless a child element overrides this inherited value, it will pass it on to its children, and they will pass it to their children, and so on. But if a child element does override it, either by an explicit attribute setting or automatically (as is common for scriptlevel), the new (overriding) value will be passed on to that element's children, and then to their children, etc, unless it is again overridden.

  • Other attributes, such as linethickness on mfrac, have default values that are not normally inherited. That is, if the linethickness attribute is not set on the mfrac element, it will normally use the default value of medium, even if it was contained in a larger mfrac element that set this attribute to a different value. For attributes like this, specifying a value with an mstyle element has the effect of changing the default value for all elements within its scope. The net effect is that setting the attribute value with mstyle propagates the change to all the elements it contains directly or indirectly, except for the individual elements on which the value is overridden. Unlike in the case of inherited attributes, elements that explicitly override this attribute have no effect on this attribute's value in their children. Note that setting these attributes are not supported in [MathML-Core]

  • Another group of attributes, such as stretchy and form, are computed from operator dictionary information, position in the enclosing mrow, and other similar data. For these attributes, a value specified by an enclosing mstyle overrides the value that would normally be computed. Note that setting these attributes are not supported in [MathML-Core]

Note that attribute values inherited from an mstyle in any manner affect a descendant element in the mstyle's content only if that attribute is not given a value by the descendant element. On any element for which the attribute is set explicitly, the value specified overrides the inherited value. The only exception to this rule is when the attribute value is documented as specifying an incremental change to the value inherited from that element's context or rendering environment.

Note also that the difference between inherited and non-inherited attributes set by mstyle, explained above, only matters when the attribute is set on some element within the mstyle's contents that has descendants also setting it. Thus it never matters for attributes, such as mathsize, which can only be set on token elements (or on mstyle itself).

MathML specifies that when the attributes height, depth or width are specified on an mstyle element, they apply only to mspace elements, and not to the corresponding attributes of mglyph, mpadded, or mtable. Similarly, when rowalign or columnalign are specified on an mstyle element, they apply only to the mtable element, and not the mtr, mtd, and maligngroup elements. When the lspace attribute is set with mstyle, it applies only to the mo element and not to mpadded. To be consistent, the voffset attribute of the mpadded element can not be set on mstyle. When the align attribute is set with mstyle, it applies only to the munder, mover, and munderover elements, and not to the mtable and mstack elements. The attributes src and alt on mglyph, and actiontype on maction, cannot be set on mstyle.

As a presentation element, mstyle directly accepts the mathcolor and mathbackground attributes. Thus, the mathbackground specifies the color to fill the bounding box of the mstyle element itself; it does not specify the default background color.

3.3.4.2 Examples

In a continued fraction, the nested fractions should not shrink. Instead, they should remain the same size. This can be accomplished by resetting displaystyle and scriptlevel for the children of each mfrac using mstyle as shown below:

<mrow>
  <mi>π</mi>
  <mo>=</mo>
  <mfrac>
    <mstyle displaystyle="true" scriptlevel="0"> <mn>4</mn> </mstyle>
    <mstyle displaystyle="true" scriptlevel="0">
      <mn>1</mn>
      <mo>+</mo>
      <mfrac>
        <mstyle displaystyle="true" scriptlevel="0">
          <msup> <mn>1</mn> <mn>2</mn> </msup>
        </mstyle>
        <mstyle displaystyle="true" scriptlevel="0">
          <mn>2</mn>
          <mo>+</mo>
          <mfrac>
            <mstyle displaystyle="true" scriptlevel="0">
              <msup> <mn>3</mn> <mn>2</mn> </msup>
            </mstyle>
            <mstyle displaystyle="true" scriptlevel="0">
              <mn>2</mn>
              <mo>+</mo>
              <mfrac>
                <mstyle displaystyle="true" scriptlevel="0">
                  <msup> <mn>5</mn> <mn>2</mn> </msup>
                </mstyle>
                <mstyle displaystyle="true" scriptlevel="0">
                  <mn>2</mn>
                  <mo>+</mo>
                  <mfrac>
                    <mstyle displaystyle="true" scriptlevel="0">
                      <msup> <mn>7</mn> <mn>2</mn> </msup>
                    </mstyle>
                    <mstyle displaystyle="true" scriptlevel="0">
                      <mn>2</mn>
                      <mo>+</mo>
                      <mo></mo>
                    </mstyle>
                  </mfrac>
                </mstyle>
              </mfrac>
            </mstyle>
          </mfrac>
        </mstyle>
      </mfrac>
    </mstyle>
  </mfrac>
</mrow>
π = 4 1 + 1 2 2 + 3 2 2 + 5 2 2 + 7 2 2 +

3.3.5 Error Message <merror>

3.3.5.1 Description

The merror element displays its contents as an error message. This might be done, for example, by displaying the contents in red, flashing the contents, or changing the background color. The contents can be any expression or expression sequence.

merror accepts a single argument possibly being an inferred mrow of multiple children; see 3.1.3 Required Arguments.

The intent of this element is to provide a standard way for programs that generate MathML from other input to report syntax errors in their input. Since it is anticipated that preprocessors that parse input syntaxes designed for easy hand entry will be developed to generate MathML, it is important that they have the ability to indicate that a syntax error occurred at a certain point. See D.2 Handling of Errors.

The suggested use of merror for reporting syntax errors is for a preprocessor to replace the erroneous part of its input with an merror element containing a description of the error, while processing the surrounding expressions normally as far as possible. By this means, the error message will be rendered where the erroneous input would have appeared, had it been correct; this makes it easier for an author to determine from the rendered output what portion of the input was in error.

No specific error message format is suggested here, but as with error messages from any program, the format should be designed to make as clear as possible (to a human viewer of the rendered error message) what was wrong with the input and how it can be fixed. If the erroneous input contains correctly formatted subsections, it may be useful for these to be preprocessed normally and included in the error message (within the contents of the merror element), taking advantage of the ability of merror to contain arbitrary MathML expressions rather than only text.

3.3.5.2 Attributes

merror elements accept the attributes listed in 3.1.9 Attributes common to presentation elements.

3.3.5.3 Example

If a MathML syntax-checking preprocessor received the input

<mfraction>
  <mrow> <mn> 1 </mn> <mo> + </mo> <msqrt> <mn> 5 </mn> </msqrt> </mrow>
  <mn> 2 </mn>
</mfraction>

which contains the non-MathML element mfraction (presumably in place of the MathML element mfrac), it might generate the error message

<merror>
  <mtext> Unrecognized element: mfraction; arguments were:&#xa0;</mtext>
  <mrow> <mn> 1 </mn> <mo> + </mo> <msqrt> <mn> 5 </mn> </msqrt> </mrow>
  <mtext>&#xa0;and&#xa0;</mtext>
  <mn> 2 </mn>
</merror>
Unrecognized element: mfraction; arguments were:  1 + 5  and  2

Note that the preprocessor's input is not, in this case, valid MathML, but the error message it outputs is valid MathML.

3.3.6 Adjust Space Around Content <mpadded>

3.3.6.1 Description

An mpadded element renders the same as its child content, but with the size of the child's bounding box and the relative positioning point of its content modified according to mpadded's attributes. It does not rescale (stretch or shrink) its content. The name of the element reflects the typical use of mpadded to add padding, or extra space, around its content. However, mpadded can be used to make more general adjustments of size and positioning, and some combinations, e.g. negative padding, can cause the content of mpadded to overlap the rendering of neighboring content. See [MathML-Notes] for warnings about several potential pitfalls of this effect.

The mpadded element accepts a single argument which may be an inferred mrow of multiple children; see 3.1.3 Required Arguments.

It is suggested that audio renderers add (or shorten) time delays based on the attributes representing horizontal space (width and lspace).

3.3.6.2 Attributes

mpadded elements accept the attributes listed below in addition to those specified in 3.1.9 Attributes common to presentation elements.

Name values default
height length same as content
Sets or increments the height of the mpadded element. See below for discussion.
depth length same as content
Sets or increments the depth of the mpadded element. See below for discussion.
width length same as content
Sets or increments the width of the mpadded element. See below for discussion.
lspace length 0em
Sets the horizontal position of the child content. See below for discussion.
voffset length 0em
Sets the vertical position of the child content. See below for discussion.
Note: mpadded lengths in MathML 3

While [MathML-Core] supports the above attributes, it only allows the value to be a valid <length-percentage>. As described in length MathML 4 extends this syntax to allow namedspace.

MathML 3 also allowed additional extensions:

  • A leading "+" or "-" denoted a relative increment or decrement from the default value. This is not supported however the same fuunctionality is now available in standard CSS <length-percentage> syntax: height="calc(100%+10pt)".
  • MathML 3 also specified the pseudo-units height, depth and width. These are not supported in MathML 4 however the main use cases are addressed using percentage values, height="0.5height" is equivalent to height="50%.

These attributes specify the size of the bounding box of the mpadded element relative to the size of the bounding box of its child content, and specify the position of the child content of the mpadded element relative to the natural positioning of the mpadded element. The typographical layout parameters determined by these attributes are described in the next subsection. Depending on the form of the attribute value, a dimension may be set to a new value, or specified relative to the child content's corresponding dimension. Values may be given as multiples or percentages of any of the dimensions of the normal rendering of the child content using so-called pseudo-units, or they can be set directly using standard units, see 2.1.5.2 Length Valued Attributes.

The corresponding dimension is set to the following length value. specifying a length that would produce a net negative value for these attributes has the same effect as setting the attribute to zero. In other words, the effective bounding box of an mpadded element always has non-negative dimensions. However, negative values are allowed for the relative positioning attributes lspace and voffset.

3.3.6.3 Meanings of size and position attributes

The content of an mpadded element defines a fragment of mathematical notation, such as a character, fraction, or expression, that can be regarded as a single typographical element with a natural positioning point relative to its natural bounding box.

The size of the bounding box of an mpadded element is defined as the size of the bounding box of its content, except as modified by the mpadded element's height, depth, and width attributes. The natural positioning point of the child content of the mpadded element is located to coincide with the natural positioning point of the mpadded element, except as modified by the lspace and voffset attributes. Thus, the size attributes of mpadded can be used to expand or shrink the apparent bounding box of its content, and the position attributes of mpadded can be used to move the content relative to the bounding box (and hence also neighboring elements). Note that MathML doesn't define the precise relationship between "ink", bounding boxes and positioning points, which are implementation specific. Thus, absolute values for mpadded attributes may not be portable between implementations.

The height attribute specifies the vertical extent of the bounding box of the mpadded element above its baseline. Increasing the height increases the space between the baseline of the mpadded element and the content above it, and introduces padding above the rendering of the child content. Decreasing the height reduces the space between the baseline of the mpadded element and the content above it, and removes space above the rendering of the child content. Decreasing the height may cause content above the mpadded element to overlap the rendering of the child content, and should generally be avoided.

The depth attribute specifies the vertical extent of the bounding box of the mpadded element below its baseline. Increasing the depth increases the space between the baseline of the mpadded element and the content below it, and introduces padding below the rendering of the child content. Decreasing the depth reduces the space between the baseline of the mpadded element and the content below it, and removes space below the rendering of the child content. Decreasing the depth may cause content below the mpadded element to overlap the rendering of the child content, and should generally be avoided.

The width attribute specifies the horizontal distance between the positioning point of the mpadded element and the positioning point of the following content. Increasing the width increases the space between the positioning point of the mpadded element and the content that follows it, and introduces padding after the rendering of the child content. Decreasing the width reduces the space between the positioning point of the mpadded element and the content that follows it, and removes space after the rendering of the child content. Setting the width to zero causes following content to be positioned at the positioning point of the mpadded element. Decreasing the width should generally be avoided, as it may cause overprinting of the following content.

The lspace attribute ("leading" space; see 3.1.5.1 Overall Directionality of Mathematics Formulas) specifies the horizontal location of the positioning point of the child content with respect to the positioning point of the mpadded element. By default they coincide, and therefore absolute values for lspace have the same effect as relative values. Positive values for the lspace attribute increase the space between the preceding content and the child content, and introduce padding before the rendering of the child content. Negative values for the lspace attributes reduce the space between the preceding content and the child content, and may cause overprinting of the preceding content, and should generally be avoided. Note that the lspace attribute does not affect the width of the mpadded element, and so the lspace attribute will also affect the space between the child content and following content, and may cause overprinting of the following content, unless the width is adjusted accordingly.

The voffset attribute specifies the vertical location of the positioning point of the child content with respect to the positioning point of the mpadded element. Positive values for the voffset attribute raise the rendering of the child content above the baseline. Negative values for the voffset attribute lower the rendering of the child content below the baseline. In either case, the voffset attribute may cause overprinting of neighboring content, which should generally be avoided. Note that the voffset attribute does not affect the height or depth of the mpadded element, and so the voffset attribute will also affect the space between the child content and neighboring content, and may cause overprinting of the neighboring content, unless the height or depth is adjusted accordingly.

MathML renderers should ensure that, except for the effects of the attributes, the relative spacing between the contents of the mpadded element and surrounding MathML elements would not be modified by replacing an mpadded element with an mrow element with the same content, even if linebreaking occurs within the mpadded element. MathML does not define how non-default attribute values of an mpadded element interact with the linebreaking algorithm.

3.3.6.4 Examples

The effects of the size and position attributes are illustrated below. The following diagram illustrates the use of lspace and voffset to shift the position of child content without modifying the mpadded bounding box.

illustration of the use of mpadded to shift the position of child content without modifying the bounding box

The corresponding MathML is:

<mrow>
  <mi>x</mi>
  <mpadded lspace="0.2em" voffset="0.3ex">
    <mi>y</mi>
  </mpadded>
  <mi>z</mi>
</mrow>
x y z

The next diagram illustrates the use of width, height and depth to modifying the mpadded bounding box without changing the relative position of the child content.

illustration of the use of mpadded to modifying its bounding box without shifting the relative location of its child content

The corresponding MathML is:

<mrow>
  <mi>x</mi>
  <mpadded width="190%" height="calc(100% +0.3ex)" depth="calc(100% +0.3ex)">
    <mi>y</mi>
  </mpadded>
  <mi>z</mi>
</mrow>

The final diagram illustrates the generic use of mpadded to modify both the bounding box and relative position of child content.

illustration of the use of mpadded to modify both the bounding box size and position of child content

The corresponding MathML is:

<mrow>
  <mi>x</mi>
  <mpadded lspace="0.3em" width="calc(100% +0.6em)">
    <mi>y</mi>
  </mpadded>
  <mi>z</mi>
</mrow>

3.3.7 Making Sub-Expressions Invisible <mphantom>

3.3.7.1 Description

The mphantom element renders invisibly, but with the same size and other dimensions, including baseline position, that its contents would have if they were rendered normally. mphantom can be used to align parts of an expression by invisibly duplicating sub-expressions.

The mphantom element accepts a single argument possibly being an inferred mrow of multiple children; see 3.1.3 Required Arguments.

Note that it is possible to wrap both an mphantom and an mpadded element around one MathML expression, as in <mphantom><mpadded attribute-settings> ... </mpadded></mphantom>, to change its size and make it invisible at the same time.

MathML renderers should ensure that the relative spacing between the contents of an mphantom element and the surrounding MathML elements is the same as it would be if the mphantom element were replaced by an mrow element with the same content. This holds even if linebreaking occurs within the mphantom element.

For the above reason, mphantom is not considered space-like (3.2.7 Space <mspace/>) unless its content is space-like, since the suggested rendering rules for operators are affected by whether nearby elements are space-like. Even so, the warning about the legal grouping of space-like elements may apply to uses of mphantom.

3.3.7.2 Attributes

mphantom elements accept the attributes listed in 3.1.9 Attributes common to presentation elements (the mathcolor has no effect).

3.3.7.3 Examples

There is one situation where the preceding rules for rendering an mphantom may not give the desired effect. When an mphantom is wrapped around a subsequence of the arguments of an mrow, the default determination of the form attribute for an mo element within the subsequence can change. (See the default value of the form attribute described in 3.2.5 Operator, Fence, Separator or Accent <mo>.) It may be necessary to add an explicit form attribute to such an mo in these cases. This is illustrated in the following example.

In this example, mphantom is used to ensure alignment of corresponding parts of the numerator and denominator of a fraction:

<mfrac>
  <mrow>
    <mi> x </mi>
    <mo> + </mo>
    <mi> y </mi>
    <mo> + </mo>
    <mi> z </mi>
  </mrow>
  <mrow>
    <mi> x </mi>
    <mphantom>
      <mo form="infix"> + </mo>
      <mi> y </mi>
    </mphantom>
    <mo> + </mo>
    <mi> z </mi>
  </mrow>
</mfrac>
x + y + z x + y + z

This would render as something like

\frac{x+y+x}{x\phantom{{}+y}+z}

rather than as

\frac{x+y+z}{x+z}

The explicit attribute setting form="infix" on the mo element inside the mphantom sets the form attribute to what it would have been in the absence of the surrounding mphantom. This is necessary since otherwise, the + sign would be interpreted as a prefix operator, which might have slightly different spacing.

Alternatively, this problem could be avoided without any explicit attribute settings, by wrapping each of the arguments <mo>+</mo> and <mi>y</mi> in its own mphantom element, i.e.

<mfrac>
  <mrow>
    <mi> x </mi>
    <mo> + </mo>
    <mi> y </mi>
    <mo> + </mo>
    <mi> z </mi>
  </mrow>
  <mrow>
    <mi> x </mi>
    <mphantom>
      <mo> + </mo>
    </mphantom>
    <mphantom>
      <mi> y </mi>
    </mphantom>
    <mo> + </mo>
    <mi> z </mi>
  </mrow>
</mfrac>
x + y + z x + y + z

3.3.8 Expression Inside Pair of Fences <mfenced>

3.3.8.1 Description

The mfenced element provides a convenient form in which to express common constructs involving fences (i.e. braces, brackets, and parentheses), possibly including separators (such as comma) between the arguments.

For example, <mfenced> <mi>x</mi> </mfenced> renders as (x) and is equivalent to

<mrow> <mo> ( </mo> <mi>x</mi> <mo> ) </mo> </mrow>
( x )

and <mfenced> <mi>x</mi> <mi>y</mi> </mfenced> renders as (x, y) and is equivalent to

<mrow>
  <mo> ( </mo>
  <mrow> <mi>x</mi> <mo>,</mo> <mi>y</mi> </mrow>
  <mo> ) </mo>
</mrow>
( x , y )

Individual fences or separators are represented using mo elements, as described in 3.2.5 Operator, Fence, Separator or Accent <mo>. Thus, any mfenced element is completely equivalent to an expanded form described below.

A renderer that supports this recommendation is required to render either of these forms in exactly the same way. Note that while mfenced might be more convenient for authors or authoring software, only the expanded form using mrow is supported in [MathML-Core].

In general, an mfenced element can contain zero or more arguments, and will enclose them between fences in an mrow; if there is more than one argument, it will insert separators between adjacent arguments, using an additional nested mrow around the arguments and separators for proper grouping (3.3.1 Horizontally Group Sub-Expressions <mrow>, <a>). The general expanded form is shown below. The fences and separators will be parentheses and comma by default, but can be changed using attributes, as shown in the following table.

3.3.8.2 Attributes

mfenced elements accept the attributes listed below in addition to those specified in 3.1.9 Attributes common to presentation elements. The delimiters and separators should be drawn using the color specified by mathcolor.

Name values default
open string (
Specifies the opening delimiter. Since it is used as the content of an mo element, any whitespace will be trimmed and collapsed as described in 2.1.7 Collapsing Whitespace in Input.
close string )
Specifies the closing delimiter. Since it is used as the content of an mo element, any whitespace will be trimmed and collapsed as described in 2.1.7 Collapsing Whitespace in Input.
separators string ,
Specifies a sequence of zero or more separator characters, optionally separated by whitespace. Each pair of arguments is displayed separated by the corresponding separator (none appears after the last argument). If there are too many separators, the excess are ignored; if there are too few, the last separator is repeated. Any whitespace within separators is ignored.

A generic mfenced element, with all attributes explicit, looks as follows:

<mfenced open="opening-fence"
         close="closing-fence"
         separators="sep#1 sep#2 ... sep#(n-1)" >
  arg#1
  ...
  arg#n
</mfenced>

In an RTL directionality context, since the initial text direction is RTL, characters in the open and close attributes that have a mirroring counterpart will be rendered in that mirrored form. In particular, the default values will render correctly as a parenthesized sequence in both LTR and RTL contexts.

The general mfenced element shown above is equivalent to the following expanded form:

<mrow>
  <mo fence="true"> opening-fence </mo>
  <mrow>
    arg#1
    <mo separator="true"> sep#1 </mo>
    ...
    <mo separator="true"> sep#(n-1) </mo>
    arg#n
  </mrow>
  <mo fence="true"> closing-fence </mo>
</mrow>

Each argument except the last is followed by a separator. The inner mrow is added for proper grouping, as described in 3.3.1 Horizontally Group Sub-Expressions <mrow>, <a>.

When there is only one argument, the above form has no separators; since <mrow> arg#1 </mrow> is equivalent to arg#1 (as described in 3.3.1 Horizontally Group Sub-Expressions <mrow>, <a>), this case is also equivalent to:

<mrow>
  <mo fence="true"> opening-fence </mo>
    arg#1
  <mo fence="true"> closing-fence </mo>
</mrow>

If there are too many separator characters, the extra ones are ignored. If separator characters are given, but there are too few, the last one is repeated as necessary. Thus, the default value of separators="," is equivalent to separators=",,", separators=",,,", etc. If there are no separator characters provided but some are needed, for example if separators=" " or "" and there is more than one argument, then no separator elements are inserted at all — that is, the elements <mo separator="true"> sep#i </mo> are left out entirely. Note that this is different from inserting separators consisting of mo elements with empty content.

Finally, for the case with no arguments, i.e.

<mfenced open="opening-fence"
 close="closing-fence"
 separators="anything" >
</mfenced>

the equivalent expanded form is defined to include just the fences within an mrow:

<mrow>
  <mo fence="true"> opening-fence </mo>
  <mo fence="true"> closing-fence </mo>
</mrow>

Note that not all fenced expressions can be encoded by an mfenced element. Such exceptional expressions include those with an embellished separator or fence or one enclosed in an mstyle element, a missing or extra separator or fence, or a separator with multiple content characters. In these cases, it is necessary to encode the expression using an appropriately modified version of an expanded form. As discussed above, it is always permissible to use the expanded form directly, even when it is not necessary. In particular, authors cannot be guaranteed that MathML preprocessors won't replace occurrences of mfenced with equivalent expanded forms.

Note that the equivalent expanded forms shown above include attributes on the mo elements that identify them as fences or separators. Since the most common choices of fences and separators already occur in the operator dictionary with those attributes, authors would not normally need to specify those attributes explicitly when using the expanded form directly. Also, the rules for the default form attribute (3.2.5 Operator, Fence, Separator or Accent <mo>) cause the opening and closing fences to be effectively given the values form="prefix" and form="postfix" respectively, and the separators to be given the value form="infix".

Note that it would be incorrect to use mfenced with a separator of, for instance, +, as an abbreviation for an expression using + as an ordinary operator, e.g.

<mrow>
  <mi>x</mi> <mo>+</mo> <mi>y</mi> <mo>+</mo> <mi>z</mi>
</mrow>
x + y + z

This is because the + signs would be treated as separators, not infix operators. That is, it would render as if they were marked up as <mo separator="true">+</mo>, which might therefore render inappropriately.

3.3.8.3 Examples
<mfenced>
  <mrow>
    <mi> a </mi>
    <mo> + </mo>
    <mi> b </mi>
  </mrow>
</mfenced>

Note that the above mrow is necessary so that the mfenced has just one argument. Without it, this would render incorrectly as (a, +, b).

<mfenced open="[">
  <mn> 0 </mn>
  <mn> 1 </mn>
</mfenced>
<mrow>
  <mi> f </mi>
  <mo> &#x2061;<!--ApplyFunction--> </mo>
  <mfenced>
    <mi> x </mi>
    <mi> y </mi>
  </mfenced>
</mrow>

3.3.9 Enclose Expression Inside Notation <menclose>

3.3.9.1 Description

The menclose element renders its content inside the enclosing notation specified by its notation attribute. menclose accepts a single argument possibly being an inferred mrow of multiple children; see 3.1.3 Required Arguments.

3.3.9.2 Attributes

menclose elements accept the attributes listed below in addition to those specified in 3.1.9 Attributes common to presentation elements. The notations should be drawn using the color specified by mathcolor.

The values allowed for notation are open-ended. Conforming renderers may ignore any value they do not handle, although renderers are encouraged to render as many of the values listed below as possible.

Name values default
notation (actuarial | phasorangle | box | roundedbox | circle | left | right | top | bottom | updiagonalstrike | downdiagonalstrike | verticalstrike | horizontalstrike | northeastarrow | madruwb | text ) + do nothing
Specifies a space separated list of notations to be used to enclose the children. See below for a description of each type of notation. MathML 4 deprecates the use of longdiv and radical. These notations duplicate functionality provided by mlongdiv and msqrt respectively; those elements should be used instead. The default has been changed so that if no notation is given, or if it is an empty string, then menclose should not draw.
Comparisons are ASCII case-insensitive, where all matching strings are allowed as values.

Any number of values can be given for notation separated by whitespace; all of those given and understood by a MathML renderer should be rendered. Each should be rendered as if the others were not present; they should not nest one inside of the other. For example, notation="circle box" should result in circle and a box around the contents of menclose; the circle and box may overlap. This is shown in the first example below. Of the predefined notations, only phasorangle is affected by the directionality (see 3.1.5.1 Overall Directionality of Mathematics Formulas):

When notation is specified as actuarial, the contents are drawn enclosed by an actuarial symbol. A similar result can be achieved with the value top right.

The values box, roundedbox, and circle should enclose the contents as indicated by the values. The amount of distance between the box, roundedbox, or circle, and the contents are not specified by MathML, and left to the renderer. In practice, paddings on each side of 0.4em in the horizontal direction and .5ex in the vertical direction seem to work well.

The values left, right, top and bottom should result in lines drawn on those sides of the contents. The values northeastarrow, updiagonalstrike, downdiagonalstrike, verticalstrike and horizontalstrike should result in the indicated strikeout lines being superimposed over the content of the menclose, e.g. a strikeout that extends from the lower left corner to the upper right corner of the menclose element for updiagonalstrike, etc.

The value northeastarrow is a recommended value to implement because it can be used to implement TeX's \cancelto command. If a renderer implements other arrows for menclose, it is recommended that the arrow names are chosen from the following full set of names for consistency and standardization among renderers:

  • uparrow

  • rightarrow

  • downarrow

  • leftarrow

  • northwestarrow

  • southwestarrow

  • southeastarrow

  • northeastarrow

  • updownarrow

  • leftrightarrow

  • northwestsoutheastarrow

  • northeastsouthwestarrow

The value madruwb should generate an enclosure representing an Arabic factorial (‘madruwb’ is the transliteration of the Arabic مضروب for factorial). This is shown in the third example below.

The baseline of an menclose element is the baseline of its child (which might be an implied mrow).

3.3.9.3 Examples

An example of using multiple attributes is

<menclose notation='circle box'>
  <mi> x </mi><mo> + </mo><mi> y </mi>
</menclose>
[Image of a circle and box around x plus y]

An example of using menclose for actuarial notation is

<msub>
  <mi>a</mi>
  <mrow>
    <menclose notation='actuarial'>
      <mi>n</mi>
    </menclose>
    <mo>&#x2063;<!--InvisibleComma--></mo>
    <mi>i</mi>
  </mrow>
</msub>
[image of actuarial notation for a angle n at i]

An example of phasorangle, which is used in circuit analysis, is:

<mi>C</mi>
<mrow>
  <menclose notation='phasorangle'>
    <mrow>
      <mo></mo>
      <mfrac>
        <mi>π</mi>
        <mn>2</mn>
      </mfrac>
    </mrow>
  </menclose>
</mrow>
[image of phasorangle notation for the angle negative pi over 2]

An example of madruwb is:

<menclose notation="madruwb">
  <mn>12</mn>
</menclose>
[Image of 12 factorial in Arabic style]

3.4 Script and Limit Schemata

The elements described in this section position one or more scripts around a base. Attaching various kinds of scripts and embellishments to symbols is a very common notational device in mathematics. For purely visual layout, a single general-purpose element could suffice for positioning scripts and embellishments in any of the traditional script locations around a given base. However, in order to capture the abstract structure of common notation better, MathML provides several more specialized scripting elements.

In addition to sub-/superscript elements, MathML has overscript and underscript elements that place scripts above and below the base. These elements can be used to place limits on large operators, or for placing accents and lines above or below the base. The rules for rendering accents differ from those for overscripts and underscripts, and this difference can be controlled with the accent and accentunder attributes, as described in the appropriate sections below.

Rendering of scripts is affected by the scriptlevel and displaystyle attributes, which are part of the environment inherited by the rendering process of every MathML expression, and are described in 3.1.6 Displaystyle and Scriptlevel.

MathML also provides an element for attachment of tensor indices. Tensor indices are distinct from ordinary subscripts and superscripts in that they must align in vertical columns. Also, all the upper scripts should be baseline-aligned and all the lower scripts should be baseline-aligned. Tensor indices can also occur in prescript positions. Note that ordinary scripts follow the base (on the right in LTR context, but on the left in RTL context); prescripts precede the base (on the left (right) in LTR (RTL) context).

Because presentation elements should be used to describe the abstract notational structure of expressions, it is important that the base expression in all scripting elements (i.e. the first argument expression) should be the entire expression that is being scripted, not just the trailing character. For example, (x+y)2 should be written as:

<msup>
  <mrow>
    <mo> ( </mo>
    <mrow>
      <mi> x </mi>
      <mo> + </mo>
      <mi> y </mi>
    </mrow>
    <mo> ) </mo>
  </mrow>
  <mn> 2 </mn>
</msup>
( x + y ) 2

3.4.1 Subscript <msub>

3.4.1.1 Description

The msub element attaches a subscript to a base using the syntax

<msub> base subscript </msub>

It increments scriptlevel by 1, and sets displaystyle to false, within subscript, but leaves both attributes unchanged within base. (See 3.1.6 Displaystyle and Scriptlevel.)

3.4.1.2 Attributes

msub elements accept the attributes listed below in addition to those specified in 3.1.9 Attributes common to presentation elements.

Name values default
subscriptshift length automatic
Specifies the minimum amount to shift the baseline of subscript down; the default is for the rendering agent to use its own positioning rules.

3.4.2 Superscript <msup>

3.4.2.1 Description

The msup element attaches a superscript to a base using the syntax

<msup> base superscript </msup>

It increments scriptlevel by 1, and sets displaystyle to false, within superscript, but leaves both attributes unchanged within base. (See 3.1.6 Displaystyle and Scriptlevel.)

3.4.2.2 Attributes

msup elements accept the attributes listed below in addition to those specified in 3.1.9 Attributes common to presentation elements.

Name values default
superscriptshift length automatic
Specifies the minimum amount to shift the baseline of superscript up; the default is for the rendering agent to use its own positioning rules.

3.4.3 Subscript-superscript Pair <msubsup>

3.4.3.1 Description

The msubsup element is used to attach both a subscript and superscript to a base expression.

<msubsup> base subscript superscript </msubsup>

It increments scriptlevel by 1, and sets displaystyle to false, within subscript and superscript, but leaves both attributes unchanged within base. (See 3.1.6 Displaystyle and Scriptlevel.)

Note that both scripts are positioned tight against the base as shown here x12 versus the staggered positioning of nested scripts as shown here x12; the latter can be achieved by nesting an msub inside an msup.

3.4.3.2 Attributes

msubsup elements accept the attributes listed below in addition to those specified in 3.1.9 Attributes common to presentation elements.

Name values default
subscriptshift length automatic
Specifies the minimum amount to shift the baseline of subscript down; the default is for the rendering agent to use its own positioning rules.
superscriptshift length automatic
Specifies the minimum amount to shift the baseline of superscript up; the default is for the rendering agent to use its own positioning rules.
3.4.3.3 Examples

The msubsup is most commonly used for adding sub-/superscript pairs to identifiers as illustrated above. However, another important use is placing limits on certain large operators whose limits are traditionally displayed in the script positions even when rendered in display style. The most common of these is the integral. For example,

\int\nolimits_0^1 \eulere^x \,\diffd x

would be represented as

<mrow>
  <msubsup>
    <mo></mo>
    <mn> 0 </mn>
    <mn> 1 </mn>
  </msubsup>
  <mrow>
    <msup>
      <mi></mi>
      <mi> x </mi>
    </msup>
    <mo> &#x2062;<!--InvisibleTimes--> </mo>
    <mrow>
      <mo></mo>
      <mi> x </mi>
    </mrow>
  </mrow>
</mrow>
0 1 x x

3.4.4 Underscript <munder>

3.4.4.1 Description

The munder element attaches an accent or limit placed under a base using the syntax

<munder> base underscript </munder>

It always sets displaystyle to false within the underscript, but increments scriptlevel by 1 only when accentunder is false. Within base, it always leaves both attributes unchanged. (See 3.1.6 Displaystyle and Scriptlevel.)

If base is an operator with movablelimits=true (or an embellished operator whose mo element core has movablelimits=true), and displaystyle=false, then underscript is drawn in a subscript position. In this case, the accentunder attribute is ignored. This is often used for limits on symbols such as U+2211 (entity sum).

3.4.4.2 Attributes

munder elements accept the attributes listed below in addition to those specified in 3.1.9 Attributes common to presentation elements.

Name values default
accentunder boolean automatic
Specifies whether underscript is drawn as an accent or as a limit. An accent is drawn the same size as the base (without incrementing scriptlevel) and is drawn closer to the base.
align "left" | "right" | "center" center
Specifies whether the script is aligned left, center, or right under/over the base. As specified in 3.2.5.7.3 Horizontal Stretching Rules, the core of underscripts that are embellished operators should stretch to cover the base, but the alignment is based on the entire underscript.
Comparisons are ASCII case-insensitive, where all matching strings are allowed as values.

The default value of accentunder is false, unless underscript is an mo element or an embellished operator (see 3.2.5 Operator, Fence, Separator or Accent <mo>). If underscript is an mo element, the value of its accent attribute is used as the default value of accentunder. If underscript is an embellished operator, the accent attribute of the mo element at its core is used as the default value. As with all attributes, an explicitly given value overrides the default.

[MathML-Core] does not support the accent attribute on 3.2.5 Operator, Fence, Separator or Accent <mo>. For compatibility with MathML Core, the accentunder should be set on munder.

3.4.4.3 Examples

An example demonstrating how accentunder affects rendering:

<mrow>
  <munder accentunder="true">
    <mrow>
      <mi> x </mi>
      <mo> + </mo>
      <mi> y </mi>
      <mo> + </mo>
      <mi> z </mi>
    </mrow>
    <mo></mo>
  </munder>
  <mtext>&#x00A0;<!--nbsp-->versus&#x00A0;<!--nbsp--></mtext>
  <munder accentunder="false">
    <mrow>
      <mi> x </mi>
      <mo> + </mo>
      <mi> y </mi>
      <mo> + </mo>
      <mi> z </mi>
    </mrow>
    <mo></mo>
  </munder>
</mrow>
x + y + z  versus  x + y + z

3.4.5 Overscript <mover>

3.4.5.1 Description

The mover element attaches an accent or limit placed over a base using the syntax

<mover> base overscript </mover>

It always sets displaystyle to false within overscript, but increments scriptlevel by 1 only when accent is false. Within base, it always leaves both attributes unchanged. (See 3.1.6 Displaystyle and Scriptlevel.)

If base is an operator with movablelimits=true (or an embellished operator whose mo element core has movablelimits=true), and displaystyle=false, then overscript is drawn in a superscript position. In this case, the accent attribute is ignored. This is often used for limits on symbols such as U+2211 (entity sum).

3.4.5.2 Attributes

mover elements accept the attributes listed below in addition to those specified in 3.1.9 Attributes common to presentation elements.

Name values default
accent boolean automatic
Specifies whether overscript is drawn as an accent or as a limit. An accent is drawn the same size as the base (without incrementing scriptlevel) and is drawn closer to the base.
align "left" | "right" | "center" center
Specifies whether the script is aligned left, center, or right under/over the base. As specified in 3.2.5.7.3 Horizontal Stretching Rules, the core of overscripts that are embellished operators should stretch to cover the base, but the alignment is based on the entire overscript.
Comparisons are ASCII case-insensitive, where all matching strings are allowed as values.

The difference between an accent versus limit is shown in the examples.

The default value of accent is false, unless overscript is an mo element or an embellished operator (see 3.2.5 Operator, Fence, Separator or Accent <mo>). If overscript is an mo element, the value of its accent attribute is used as the default value of accent for mover. If overscript is an embellished operator, the accent attribute of the mo element at its core is used as the default value.

[MathML-Core] does not support the accent attribute on 3.2.5 Operator, Fence, Separator or Accent <mo>. For compatibility with MathML Core, the accentunder should be set on munder.

3.4.5.3 Examples

Two examples demonstrating how accent affects rendering:

<mrow>
  <mover accent="true">
    <mi> x </mi>
    <mo> ^ </mo>
  </mover>
  <mtext>&#x00A0;<!--nbsp-->versus&#x00A0;<!--nbsp--></mtext>
  <mover accent="false">
    <mi> x </mi>
    <mo> ^ </mo>
  </mover>
</mrow>
x ^  versus  x ^
<mrow>
  <mover accent="true">
    <mrow>
      <mi> x </mi>
      <mo> + </mo>
      <mi> y </mi>
      <mo> + </mo>
      <mi> z </mi>
    </mrow>
    <mo></mo>
  </mover>
  <mtext>&#x00A0;<!--nbsp-->versus&#x00A0;<!--nbsp--></mtext>
  <mover accent="false">
    <mrow>
      <mi> x </mi>
      <mo> + </mo>
      <mi> y </mi>
      <mo> + </mo>
      <mi> z </mi>
    </mrow>
    <mo></mo>
  </mover>
</mrow>
x + y + z  versus  x + y + z

3.4.6 Underscript-overscript Pair <munderover>

3.4.6.1 Description

The munderover element attaches accents or limits placed both over and under a base using the syntax

<munderover> base underscript overscript </munderover>

It always sets displaystyle to false within underscript and overscript, but increments scriptlevel by 1 only when accentunder or accent, respectively, are false. Within base, it always leaves both attributes unchanged. (see 3.1.6 Displaystyle and Scriptlevel).

If base is an operator with movablelimits=true (or an embellished operator whose mo element core has movablelimits=true), and displaystyle=false, then underscript and overscript are drawn in a subscript and superscript position, respectively. In this case, the accentunder and accent attributes are ignored. This is often used for limits on symbols such as U+2211 (entity sum).

3.4.6.2 Attributes

munderover elements accept the attributes listed below in addition to those specified in 3.1.9 Attributes common to presentation elements.

Name values default
accent boolean automatic
Specifies whether overscript is drawn as an accent or as a limit. An accent is drawn the same size as the base (without incrementing scriptlevel) and is drawn closer to the base.
accentunder boolean automatic
Specifies whether underscript is drawn as an accent or as a limit. An accent is drawn the same size as the base (without incrementing scriptlevel) and is drawn closer to the base.
align "left" | "right" | "center" center
Specifies whether the scripts are aligned left, center, or right under/over the base. As specified in 3.2.5.7.3 Horizontal Stretching Rules, the core of underscripts and overscripts that are embellished operators should stretch to cover the base, but the alignment is based on the entire underscript or overscript.
Comparisons are ASCII case-insensitive, where all matching strings are allowed as values.

The munderover element is used instead of separate munder and mover elements so that the underscript and overscript are vertically spaced equally in relation to the base and so that they follow the slant of the base as shown in the example.

The defaults for accent and accentunder are computed in the same way as for munder and mover, respectively.

3.4.6.3 Examples

This example shows the difference between nesting munder inside mover and using munderover when movablelimits=true and in displaystyle (which renders the same as msubsup).

<mstyle displaystyle="false">
  <mover>
    <munder>
      <mo></mo>
      <mi>i</mi>
    </munder>
    <mi>n</mi>
  </mover>
  <mo>+</mo>
  <munderover>
    <mo></mo>
    <mi>i</mi>
    <mi>n</mi>
  </munderover>
</mstyle>
i n + i n

3.4.7 Prescripts and Tensor Indices <mmultiscripts>, <mprescripts/>

3.4.7.1 Description

Presubscripts and tensor notations are represented by a single element, mmultiscripts, using the syntax:

<mmultiscripts>
 base
 (subscript superscript)*
 [ <mprescripts/> (presubscript presuperscript)* ]
</mmultiscripts>

This element allows the representation of any number of vertically-aligned pairs of subscripts and superscripts, attached to one base expression. It supports both postscripts and prescripts. Missing scripts must be represented by a valid empty element denoting the empty subterm, such as <mrow/>. (The element <none/> was used in earlier MathML releases, but was equivalent to an empty <mrow/>). All of the upper scripts should be baseline-aligned and all the lower scripts should be baseline-aligned.

The prescripts are optional, and when present are given after the postscripts. This order was chosen because prescripts are relatively rare compared to tensor notation.

The argument sequence consists of the base followed by zero or more pairs of vertically-aligned subscripts and superscripts (in that order) that represent all of the postscripts. This list is optionally followed by an empty element mprescripts and a list of zero or more pairs of vertically-aligned presubscripts and presuperscripts that represent all of the prescripts. The pair lists for postscripts and prescripts are displayed in the same order as the directional context (i.e. left-to-right order in LTR context). If no subscript or superscript should be rendered in a given position, then an empty element <mrow/> should be used in that position. For each sub- and superscript pair, horizontal-alignment of the elements in the pair should be towards the base of the mmultiscripts. That is, pre-scripts should be right aligned, and post-scripts should be left aligned.

The base, subscripts, superscripts, the optional separator element mprescripts, the presubscripts, and the presuperscripts are all direct sub-expressions of the mmultiscripts element, i.e. they are all at the same level of the expression tree. Whether a script argument is a subscript or a superscript, or whether it is a presubscript or a presuperscript is determined by whether it occurs in an even-numbered or odd-numbered argument position, respectively, ignoring the empty element mprescripts itself when determining the position. The first argument, the base, is considered to be in position 1. The total number of arguments must be odd, if mprescripts is not given, or even, if it is.

The empty element mprescripts is only allowed as direct sub-expression of mmultiscripts.

3.4.7.2 Attributes

Same as the attributes of msubsup. See 3.4.3.2 Attributes.

The mmultiscripts element increments scriptlevel by 1, and sets displaystyle to false, within each of its arguments except base, but leaves both attributes unchanged within base. (See 3.1.6 Displaystyle and Scriptlevel.)

3.4.7.3 Examples

This example of a hypergeometric function demonstrates the use of pre and post subscripts:

<mrow>
  <mmultiscripts>
    <mi> F </mi>
    <mn> 1 </mn>
    <mrow/>
    <mprescripts/>
    <mn> 0 </mn>
    <mrow/>
  </mmultiscripts>
  <mo> &#x2061;<!--ApplyFunction--> </mo>
  <mrow>
    <mo> ( </mo>
    <mrow>
      <mo> ; </mo>
      <mi> a </mi>
      <mo> ; </mo>
      <mi> z </mi>
    </mrow>
    <mo> ) </mo>
  </mrow>
</mrow>
F 1 0 ( ; a ; z )

This example shows a tensor. In the example, k and l are different indices

<mmultiscripts>
  <mi> R </mi>
  <mi> i </mi>
  <mrow/>
  <mrow/>
  <mi> j </mi>
  <mi> k </mi>
  <mrow/>
  <mi> l </mi>
  <mrow/>
</mmultiscripts>
R i j k l

This example demonstrates alignment towards the base of the scripts:

<mmultiscripts>
  <mi>  X </mi>
  <mn> 123 </mn>
  <mn> 1 </mn>
  <mprescripts/>
  <mn> 123 </mn>
  <mn> 1 </mn>
</mmultiscripts>
X 123 1 123 1

This final example of mmultiscripts shows how the binomial coefficient can be displayed in Arabic style

<mstyle dir="rtl">
  <mmultiscripts><mo>&#x0644;</mo>
    <mn>12</mn><mrow/>
    <mprescripts/>
    <mrow/><mn>5</mn>
  </mmultiscripts>
</mstyle>
ل 12 5

3.5 Tabular Math

Matrices, arrays and other table-like mathematical notation are marked up using mtable, mtr and mtd elements. These elements are similar to the table, tr and td elements of HTML, except that they provide specialized attributes for the fine layout control necessary for commutative diagrams, block matrices and so on.

While the two-dimensional layouts used for elementary math such as addition and multiplication are somewhat similar to tables, they differ in important ways. For layout and for accessibility reasons, the mstack and mlongdiv elements discussed in 3.6 Elementary Math should be used for elementary math notations.

3.5.1 Table or Matrix <mtable>

3.5.1.1 Description

A matrix or table is specified using the mtable element. Inside of the mtable element, only mtr elements may appear.

Table rows that have fewer columns than other rows of the same table (whether the other rows precede or follow them) are effectively padded on the right (or left in RTL context) with empty mtd elements so that the number of columns in each row equals the maximum number of columns in any row of the table. Note that the use of mtd elements with non-default values of the rowspan or columnspan attributes may affect the number of mtd elements that should be given in subsequent mtr elements to cover a given number of columns.

MathML does not specify a table layout algorithm. In particular, it is the responsibility of a MathML renderer to resolve conflicts between the width attribute and other constraints on the width of a table, such as explicit values for columnwidth attributes, and minimum sizes for table cell contents. For a discussion of table layout algorithms, see Cascading Style Sheets, level 2.

3.5.1.2 Attributes

mtable elements accept the attributes listed below in addition to those specified in 3.1.9 Attributes common to presentation elements. Any rules drawn as part of the mtable should be drawn using the color specified by mathcolor.

Name values default
align ("top" | "bottom" | "center" | "baseline" | "axis"), rownumber? axis
specifies the vertical alignment of the table with respect to its environment. axis means to align the vertical center of the table on the environment's axis. (The axis of an equation is an alignment line used by typesetters. It is the line on which a minus sign typically lies.) center and baseline both mean to align the center of the table on the environment's baseline. top or bottom aligns the top or bottom of the table on the environment's baseline. If the align attribute value ends with a rownumber, the specified row (counting from 1 for the top row), rather than the table as a whole, is aligned in the way described above with the exceptions noted below. If rownumber is negative, it counts rows from the bottom. When the value of rownumber is out of range or not an integer, it is ignored. If a row number is specified and the alignment value is baseline or axis, the row's baseline or axis is used for alignment. Note this is only well defined when the rowalign value is baseline or axis; MathML does not specify how baseline or axis alignment should occur for other values of rowalign.
Comparisons are ASCII case-insensitive, where all matching strings are allowed as values.
rowalign ("top" | "bottom" | "center" | "baseline" | "axis") + baseline
specifies the vertical alignment of the cells with respect to other cells within the same row: top aligns the tops of each entry across the row; bottom aligns the bottoms of the cells, center centers the cells; baseline aligns the baselines of the cells; axis aligns the axis of each cells. (See the note below about multiple values.)
Comparisons are ASCII case-insensitive, where all matching strings are allowed as values.
columnalign ("left" | "center" | "right") + center
specifies the horizontal alignment of the cells with respect to other cells within the same column: left aligns the left side of the cells; center centers each cells; right aligns the right side of the cells. (See the note below about multiple values.)
Comparisons are ASCII case-insensitive, where all matching strings are allowed as values.
alignmentscope (boolean) + true
[this attribute is described with the alignment elements, maligngroup and malignmark, in 3.5.4 Alignment Markers <maligngroup/>, <malignmark/>.]
columnwidth ("auto" | length | "fit") + auto
specifies how wide a column should be: auto means that the column should be as wide as needed; an explicit length means that the column is exactly that wide and the contents of that column are made to fit by linewrapping or clipping at the discretion of the renderer; fit means that the page width remaining after subtracting the auto or fixed width columns is divided equally among the fit columns. If insufficient room remains to hold the contents of the fit columns, renderers may linewrap or clip the contents of the fit columns. Note that when the columnwidth is specified as a percentage, the value is relative to the width of the table, not as a percentage of the default (which is auto). That is, a renderer should try to adjust the width of the column so that it covers the specified percentage of the entire table width. (See the note below about multiple values.)
Comparisons are ASCII case-insensitive, where all matching strings are allowed as values.
width "auto" | length auto
specifies the desired width of the entire table and is intended for visual user agents. When the value is a percentage value, the value is relative to the horizontal space that a MathML renderer has available, this is the current target width as used for linebreaking as specified in 3.1.7 Linebreaking of Expressions; this allows the author to specify, for example, a table being full width of the display. When the value is an ASCII case-insensitive match of auto, the MathML renderer should calculate the table width from its contents using whatever layout algorithm it chooses. Note: numbers without units were allowed in MathML 3 and treated similarly to percentage values, but unitless numbers are deprecated in MathML 4.
rowspacing (length) + 1.0ex
specifies how much space to add between rows. (See the note below about multiple values.)
columnspacing (length) + 0.8em
specifies how much space to add between columns. (See the note below about multiple values.)
rowlines ("none" | "solid" | "dashed") + none
specifies whether and what kind of lines should be added between each row: none means no lines; solid means solid lines; dashed means dashed lines (how the dashes are spaced is implementation dependent). (See the note below about multiple values.)
Comparisons are ASCII case-insensitive, where all matching strings are allowed as values.
columnlines ("none" | "solid" | "dashed") + none
specifies whether and what kind of lines should be added between each column: none means no lines; solid means solid lines; dashed means dashed lines (how the dashes are spaced is implementation dependent). (See the note below about multiple values.)
Comparisons are ASCII case-insensitive, where all matching strings are allowed as values.
frame "none" | "solid" | "dashed" none
specifies whether and what kind of lines should be drawn around the table. none means no lines; solid means solid lines; dashed means dashed lines (how the dashes are spaced is implementation dependent).
Comparisons are ASCII case-insensitive, where all matching strings are allowed as values.
framespacing length, length 0.4em 0.5ex
specifies the additional spacing added between the table and frame, if frame is not none. The first value specifies the spacing on the right and left; the second value specifies the spacing above and below.
equalrows boolean false
specifies whether to force all rows to have the same total height.
equalcolumns boolean false
specifies whether to force all columns to have the same total width.
displaystyle boolean false
specifies the value of displaystyle within each cell (scriptlevel is not changed); see 3.1.6 Displaystyle and Scriptlevel.

In the above specifications for attributes affecting rows (respectively, columns, or the gaps between rows or columns), the notation (...)+ means that multiple values can be given for the attribute as a space separated list (see 2.1.5 MathML Attribute Values). In this context, a single value specifies the value to be used for all rows (resp., columns or gaps). A list of values are taken to apply to corresponding rows (resp., columns or gaps) in order, that is starting from the top row for rows or first column (left or right, depending on directionality) for columns. If there are more rows (resp., columns or gaps) than supplied values, the last value is repeated as needed. If there are too many values supplied, the excess are ignored.

Note that none of the areas occupied by lines frame, rowlines and columnlines, nor the spacing framespacing, rowspacing or columnspacing are counted as rows or columns.

The displaystyle attribute is allowed on the mtable element to set the inherited value of the attribute. If the attribute is not present, the mtable element sets displaystyle to false within the table elements. (See 3.1.6 Displaystyle and Scriptlevel.)

3.5.1.3 Examples

A 3 by 3 identity matrix could be represented as follows:

<mrow>
  <mo> ( </mo>
  <mtable>
    <mtr>
      <mtd> <mn>1</mn> </mtd>
      <mtd> <mn>0</mn> </mtd>
      <mtd> <mn>0</mn> </mtd>
    </mtr>
    <mtr>
      <mtd> <mn>0</mn> </mtd>
      <mtd> <mn>1</mn> </mtd>
      <mtd> <mn>0</mn> </mtd>
    </mtr>
    <mtr>
      <mtd> <mn>0</mn> </mtd>
      <mtd> <mn>0</mn> </mtd>
      <mtd> <mn>1</mn> </mtd>
    </mtr>
  </mtable>
  <mo> ) </mo>
</mrow>
( 1 0 0 0 1 0 0 0 1 )

Note that the parentheses must be represented explicitly; they are not part of the mtable element's rendering. This allows use of other surrounding fences, such as brackets, or none at all.

3.5.2 Row in Table or Matrix <mtr>

3.5.2.1 Description

An mtr element represents one row in a table or matrix. An mtr element is only allowed as a direct sub-expression of an mtable element, and specifies that its contents should form one row of the table. Each argument of mtr is placed in a different column of the table, starting at the leftmost column in a LTR context or rightmost column in a RTL context.

As described in 3.5.1 Table or Matrix <mtable>, mtr elements are effectively padded with mtd elements when they are shorter than other rows in a table.

3.5.2.2 Attributes

mtr elements accept the attributes listed below in addition to those specified in 3.1.9 Attributes common to presentation elements.

Name values default
rowalign "top" | "bottom" | "center" | "baseline" | "axis" inherited
overrides, for this row, the vertical alignment of cells specified by the rowalign attribute on the mtable.
Comparisons are ASCII case-insensitive, where all matching strings are allowed as values.
columnalign ("left" | "center" | "right") + inherited
overrides, for this row, the horizontal alignment of cells specified by the columnalign attribute on the mtable.
Comparisons are ASCII case-insensitive, where all matching strings are allowed as values.
3.5.2.3 Equation Numbering

Earlier versions of MathML specified an mlabeledtr element for numbered equations. In an mlabeledtr, the first mtd represents the equation number and the remaining elements in the row the equation being numbered. The side and minlabelspacing attributes of mtable determines the placement of the equation number. This element was not widely implemented and is not specified in the current version, it is still valid in the Legacy Schema.

In larger documents with many numbered equations, automatic numbering becomes important. While automatic equation numbering and automatically resolving references to equation numbers is outside the scope of MathML, these problems can be addressed by the use of style sheets or other means. In a CSS context, one could use an empty mtd as the first child of a mtr and use CSS counters and generated content to fill in the equation number using a CSS style such as

body {counter-reset: eqnum;}
mtd.eqnum {counter-increment: eqnum;}
mtd.eqnum:before {content: "(" counter(eqnum) ")"}

3.5.3 Entry in Table or Matrix <mtd>

3.5.3.1 Description

An mtd element represents one entry, or cell, in a table or matrix. An mtd element is only allowed as a direct sub-expression of an mtr element.

The mtd element accepts a single argument possibly being an inferred mrow of multiple children; see 3.1.3 Required Arguments.

3.5.3.2 Attributes

mtd elements accept the attributes listed below in addition to those specified in 3.1.9 Attributes common to presentation elements.

Name values default
rowspan positive-integer 1
causes the cell to be treated as if it occupied the number of rows specified. The corresponding mtd in the following rowspan-1 rows must be omitted. The interpretation corresponds with the similar attributes for HTML tables.
columnspan positive-integer 1
causes the cell to be treated as if it occupied the number of columns specified. The following rowspan-1 mtds must be omitted. The interpretation corresponds with the similar attributes for HTML tables.
rowalign "top" | "bottom" | "center" | "baseline" | "axis" inherited
specifies the vertical alignment of this cell, overriding any value specified on the containing mrow and mtable. See the rowalign attribute of mtable.
Comparisons are ASCII case-insensitive, where all matching strings are allowed as values.
columnalign "left" | "center" | "right" inherited
specifies the horizontal alignment of this cell, overriding any value specified on the containing mrow and mtable. See the columnalign attribute of mtable.
Comparisons are ASCII case-insensitive, where all matching strings are allowed as values.

3.5.4 Alignment Markers <maligngroup/>, <malignmark/>

Note: malignmark and maligngroup are not in MathML-Core

malignmark and maligngroup are not supported in [MathML-Core]. For most purposes it is recommended that alignment is implemented directly using mtable columns. As noted in the following section these elements may be futher simplified or removed in a future version of MathML.

For existing MathML using malignmark a Javascript polyfill is provided.

3.5.4.1 Removal Notice

With one significant exception, <maligngroup/> and <malignmark/> have had minimal adoption and implementation. The one exception only uses the basics of alignment. Because of this, alignment in MathML is significantly simplified to align with the current usage and make future implementation simplier. In particular, the following simplifications are made:

  • the attributes for <maligngroup/> and <malignmark/> have been removed.
  • The groupalign attribute previously allowed on mtable, mtr, and mlabeledtr is removed
  • <malignmark/> used to be allowed anywhere, including inside of token elements; it is now allowed in only the locations that <maligngroup/> is allowed (see below)
3.5.4.2 Description

Alignment markers are space-like elements (see 3.2.7 Space <mspace/>) that can be used to vertically align specified points within a column of MathML expressions by the automatic insertion of the necessary amount of horizontal space between specified sub-expressions.

The discussion that follows will use the example of a set of simultaneous equations that should be rendered with vertical alignment of the coefficients and variables of each term, by inserting spacing somewhat like that shown here:

8.44x + 55.7y = -0
3.14x 50.7y = −1.1

If the example expressions shown above were arranged in a column but not aligned, they would appear as:

8.44x + 55.7y = 0
3.1x 50.7y = −1.1

The expressions whose parts are to be aligned (each equation, in the example above) must be given as the table elements (i.e. as the mtd elements) of one column of an mtable. To avoid confusion, the term table cell rather than table element will be used in the remainder of this section.

All interactions between alignment elements are limited to the mtable column they arise in. That is, every column of a table specified by an mtable element acts as an alignment scope that contains within it all alignment effects arising from its contents. It also excludes any interaction between its own alignment elements and the alignment elements inside any nested alignment scopes it might contain.

If there is only one alignment point, an alternative is to use linebreaking and indentation attributes on mo elements as described in 3.1.7 Linebreaking of Expressions.

An mtable element can be given the attribute alignmentscope=false to cause its columns not to act as alignment scopes. This is discussed further at the end of this section. Otherwise, the discussion in this section assumes that this attribute has its default value of true.

3.5.4.3 Specifying alignment groups

Each part of expression to be aligned should be in an maligngroup. The point of alignment is the left edge (right edge if for RTL) of the element that follows an maligngroup element unless an malignmark element is between maligngroup elements. In that case, the left edge (right edge if for RTL) of the element that follows the malignmark is the point of alignment for that group.

If maligngroup or maligngroup occurs outside of an mtable, they are rendered with zero width.

In the example above, each equation would have one maligngroup element before each coefficient, variable, and operator on the left-hand side, one before the = sign, and one before the constant on the right-hand side because these are the parts that should be aligned.

In general, a table cell containing n maligngroup elements contains n alignment groups, with the ith group consisting of the elements entirely after the ith maligngroup element and before the (i+1)-th; no element within the table cell's content should occur entirely before its first maligngroup element.

Note that the division into alignment groups does not necessarily fit the nested expression structure of the MathML expression containing the groups — that is, it is permissible for one alignment group to consist of the end of one mrow, all of another one, and the beginning of a third one, for example. This can be seen in the MathML markup for the example given at the end of this section.

Although alignment groups need not coincide with the nested expression structure of layout schemata, there are nonetheless restrictions on where maligngroup and malignmark elements are allowed within a table cell. These elements may only be contained within elements (directly or indirectly) of the following types (which are themselves contained in the table cell):

  • an mrow element, including an inferred mrow such as the one formed by a multi-child mtd element, but excluding mrow which contains a change of direction using the dir attribute;

  • an mstyle element , but excluding those which change direction using the dir attribute;

  • an mphantom element;

  • an mfenced element;

  • an maction element, though only its selected sub-expression is checked;

  • a semantics element.

These restrictions are intended to ensure that alignment can be unambiguously specified, while avoiding complexities involving things like overscripts, radical signs and fraction bars. They also ensure that a simple algorithm suffices to accomplish the desired alignment.

For the table cells that are divided into alignment groups, every element in their content must be part of exactly one alignment group, except for the elements from the above list that contain maligngroup elements inside them and the maligngroup elements themselves. This means that, within any table cell containing alignment groups, the first complete element must be an maligngroup element, though this may be preceded by the start tags of other elements. This requirement removes a potential confusion about how to align elements before the first maligngroup element, and makes it easy to identify table cells that are left out of their column's alignment process entirely.

It is not required that the table cells in a column that are divided into alignment groups each contain the same number of groups. If they don't, zero-width alignment groups are effectively added on the right side (or left side, in a RTL context) of each table cell that has fewer groups than other table cells in the same column.

Note

Do we want to tighten this so that all rows have the same number of maligngroup elements?

3.5.4.4 Table cells that are not divided into alignment groups
Note

Do we still want to allow rows without maligngroup as described in this section?

Expressions in a column that are to have no alignment groups should contain no maligngroup elements. Expressions with no alignment groups are aligned using only the columnalign attribute that applies to the table column as a whole. If such an expression is wider than the column width needed for the table cells containing alignment groups, all the table cells containing alignment groups will be shifted as a unit within the column as described by the columnalign attribute for that column. For example, a column heading with no internal alignment could be added to the column of two equations given above by preceding them with another table row containing an mtext element for the heading, and using the default columnalign="center" for the table, to produce:

equations with aligned variables
      8.44x + 55.7y = -0      
3.14x 50.7y = −1.1

or, with a shorter heading,

some equations
8.44x + 55.7y = -0
3.14x 50.7y = −1.1
3.5.4.5 Specifying alignment points using <malignmark/>

An malignmark element anywhere within the alignment group (except within another alignment scope wholly contained inside it) overrides alignment at the start of an maligngroup element.

The malignmark element indicates that the alignment point should occur on the left edge (right edge in a RTL context) of the following element.

Note

Can malignmark elements occur inside of tokens?

When an malignmark element is provided within an alignment group, it should only occur within the elements allowed for maligngroup (see 3.5.4.3 Specifying alignment groups). If there is more than one malignmark element in an alignment group, all but the first one will be ignored. MathML applications may wish to provide a mode in which they will warn about this situation, but it is not an error, and should trigger no warnings by default. The rationale for this is that it would be inconvenient to have to remove all unnecessary malignmark elements from automatically generated data.

3.5.4.6 MathML representation of an alignment example

The above rules are sufficient to explain the MathML representation of the example given near the start of this section.

One way to represent that in MathML is:

<mtable groupalign="{decimalpoint left left decimalpoint left left decimalpoint}">
  <mtr>
    <mtd>
      <mrow>
        <mrow>
          <mrow>
            <maligngroup/>
            <mn> 8.44 </mn>
            <mo> &#x2062;<!--InvisibleTimes--> </mo>
            <maligngroup/>
            <mi> x </mi>
          </mrow>
          <maligngroup/>
          <mo> + </mo>
          <mrow>
            <maligngroup/>
            <mn> 55 </mn>
            <mo> &#x2062;<!--InvisibleTimes--> </mo>
            <maligngroup/>
            <mi> y </mi>
          </mrow>
        </mrow>
        <maligngroup/>
        <mo> = </mo>
        <maligngroup/>
        <mn> 0 </mn>
      </mrow>
    </mtd>
    </mtr>
    <mtr>
      <mtd>
        <mrow>
          <mrow>
            <mrow>
              <maligngroup/>
              <mn> 3.1 </mn>
              <mo> &#x2062;<!--InvisibleTimes--> </mo>
              <maligngroup/>
              <mi> x </mi>
            </mrow>
            <maligngroup/>
            <mo> - </mo>
            <mrow>
              <maligngroup/>
              <mn> 0.7 </mn>
              <mo> &#x2062;<!--InvisibleTimes--> </mo>
              <maligngroup/>
              <mi> y </mi>
            </mrow>
          </mrow>
          <maligngroup/>
          <mo> = </mo>
          <maligngroup/>
          <mrow>
            <mo> - </mo>
            <mn> 1.1 </mn>
          </mrow>
        </mrow>
      </mtd>
    </mtr>
  </mtable>
alignat example
3.5.4.7 A simple alignment algorithm

A simple algorithm by which a MathML renderer can perform the alignment specified in this section is given here. Since the alignment specification is deterministic (except for the definition of the left and right edges of a character), any correct MathML alignment algorithm will have the same behavior as this one. Each mtable column (alignment scope) can be treated independently; the algorithm given here applies to one mtable column, and takes into account the alignment elements and the columnalign attribute described under mtable (3.5.1 Table or Matrix <mtable>). In an RTL context, switch left and right edges in the algorithm.

Note

This algorithm should be verified by an implementation.

  1. A rendering is computed for the contents of each table cell in the column, using zero width for all maligngroup and malignmark elements. The final rendering will be identical except for horizontal shifts applied to each alignment group and/or table cell.
  2. For each alignment group, the horizontal positions of the left edge, alignment point (if specified by malignmark, otherwise the left edge), and right edge are noted, allowing the width of the group on each side of the alignment point (left and right) to be determined. The sum of these two side-widths, i.e. the sum of the widths to the left and right of the alignment point, will equal the width of the alignment group.
  3. Each column of alignment groups is scanned. The ith scan covers the ith alignment group in each table cell containing any alignment groups. Table cells with no alignment groups, or with fewer than i alignment groups, are ignored. Each scan computes two maximums over the alignment groups scanned: the maximum width to the left of the alignment point, and the maximum width to the right of the alignment point, of any alignment group scanned.
  4. The sum of all the maximum widths computed (two for each column of alignment groups) gives one total width, which will be the width of each table cell containing alignment groups. Call the maximum number of alignment groups in one cell n; each such cell is divided into 2n horizontally adjacent sections, called L(i) and R(i) for i from 1 to n, using the 2n maximum side-widths computed above; for each i, the width of all sections called L(i) is the maximum width of any cell's ith alignment group to the left of its alignment point, and the width of all sections called R(i) is the maximum width of any cell's ith alignment group to the right of its alignment point.
  5. Each alignment group is then shifted horizontally as a block to a unique position that places: in the section called L(i) that part of the ith group to the left of its alignment point; in the section called R(i) that part of the ith group to the right of its alignment point. This results in the alignment point of each ith group being on the boundary between adjacent sections L(i) and R(i), so that all alignment points of ith groups have the same horizontal position.

The widths of the table cells that contain no alignment groups were computed as part of the initial rendering, and may be different for each cell, and different from the single width used for cells containing alignment groups. The maximum of all the cell widths (for both kinds of cells) gives the width of the table column as a whole.

The position of each cell in the column is determined by the applicable part of the value of the columnalign attribute of the innermost surrounding mtable, mtr, or mtd element that has an explicit value for it, as described in the sections on those elements. This may mean that the cells containing alignment groups will be shifted within their column, in addition to their alignment groups having been shifted within the cells as described above, but since each such cell has the same width, it will be shifted the same amount within the column, thus maintaining the vertical alignment of the alignment points of the corresponding alignment groups in each cell.

3.6 Elementary Math

Mathematics used in the lower grades such as two-dimensional addition, multiplication, and long division tends to be tabular in nature. However, the specific notations used varies among countries much more than for higher level math. Furthermore, elementary math often presents examples in some intermediate state and MathML must be able to capture these intermediate or intentionally missing partial forms. Indeed, these constructs represent memory aids or procedural guides, as much as they represent ‘mathematics’.

The elements used for basic alignments in elementary math are:

mstack

align rows of digits and operators

msgroup

groups rows with similar alignment

msrow

groups digits and operators into a row

msline

draws lines between rows of the stack

mscarries

annotates the following row with optional borrows/carries and/or crossouts

mscarry

a borrow/carry and/or crossout for a single digit

mlongdiv

specifies a divisor and a quotient for long division, along with a stack of the intermediate computations

mstack and mlongdiv are the parent elements for all elementary math layout. Any children of mstack, mlongdiv, and msgroup, besides msrow, msgroup, mscarries and msline, are treated as if implicitly surrounded by an msrow (see 3.6.4 Rows in Elementary Math <msrow> for more details about rows).

Since the primary use of these stacking constructs is to stack rows of numbers aligned on their digits, and since numbers are always formatted left-to-right, the columns of an mstack are always processed left-to-right; the overall directionality in effect (i.e. the dir attribute) does not affect to the ordering of display of columns or carries in rows and, in particular, does not affect the ordering of any operators within a row (see 3.1.5 Directionality).

These elements are described in this section followed by examples of their use. In addition to two-dimensional addition, subtraction, multiplication, and long division, these elements can be used to represent several notations used for repeating decimals.

A very simple example of two-dimensional addition is shown below:

<mstack>
  <mn>424</mn>
  <msrow> <mo>+</mo> <mn>33</mn> </msrow>
  <msline/>
</mstack>
\begin{array}{r}   424 \\   +33 \\   \hline \end{array}

Many more examples are given in 3.6.8 Elementary Math Examples.

3.6.1 Stacks of Characters <mstack>

3.6.1.1 Description

mstack is used to lay out rows of numbers that are aligned on each digit. This is common in many elementary math notations such as 2D addition, subtraction, and multiplication.

The children of an mstack represent rows, or groups of them, to be stacked each below the previous row; there can be any number of rows. An msrow represents a row; an msgroup groups a set of rows together so that their horizontal alignment can be adjusted together; an mscarries represents a set of carries to be applied to the following row; an msline represents a line separating rows. Any other element is treated as if implicitly surrounded by msrow.

Each row contains ‘digits’ that are placed into columns. (see 3.6.4 Rows in Elementary Math <msrow> for further details). The stackalign attribute together with the position and shift attributes of msgroup, mscarries, and msrow determine to which column a character belongs.

The width of a column is the maximum of the widths of each ‘digit’ in that column — carries do not participate in the width calculation; they are treated as having zero width. If an element is too wide to fit into a column, it overflows into the adjacent column(s) as determined by the charalign attribute. If there is no character in a column, its width is taken to be the width of a 0 in the current language (in many fonts, all digits have the same width).

The method for laying out an mstack is:

  1. The ‘digits’ in a row are determined.

  2. All of the digits in a row are initially aligned according to the stackalign value.

  3. Each row is positioned relative to that alignment based on the position attribute (if any) that controls that row.

  4. The maximum width of the digits in a column are determined and shorter and wider entries in that column are aligned according to the charalign attribute.

  5. The width and height of the mstack element are computed based on the rows and columns. Any overflow from a column is not used as part of that computation.

  6. The baseline of the mstack element is determined by the align attribute.

3.6.1.2 Attributes

mstack elements accept the attributes listed below in addition to those specified in 3.1.9 Attributes common to presentation elements.

Name values default
align ("top" | "bottom" | "center" | "baseline" | "axis"), rownumber? baseline
specifies the vertical alignment of the mstack with respect to its environment. The legal values and their meanings are the same as that for mtable's align attribute.
Comparisons are ASCII case-insensitive, where all matching strings are allowed as values.
stackalign "left" | "center" | "right" | "decimalpoint" decimalpoint
specifies which column is used to horizontally align the rows. For left, rows are aligned flush on the left; similarly for right, rows are flush on the right; for center, the middle column (or to the right of the middle, for an even number of columns) is used for alignment. Rows with non-zero position, or affected by a shift, are treated as if the requisite number of empty columns were added on the appropriate side; see 3.6.3 Group Rows with Similar Positions <msgroup> and 3.6.4 Rows in Elementary Math <msrow>. For decimalpoint, the column used is the left-most column in each row that contains the decimalpoint character specified using the decimalcharacter attribute of mstyle (default "."). If there is no decimalpoint character in the row, an implied decimalpoint character is assumed on the right of the first number in the row. see decimalpoint for a discussion of decimalpoint.
Comparisons are ASCII case-insensitive, where all matching strings are allowed as values.
charalign "left" | "center" | "right" right
specifies the horizontal alignment of digits within a column. If the content is larger than the column width, then it overflows the opposite side from the alignment. For example, for right, the content will overflow on the left side; for center, it overflows on both sides. This excess does not participate in the column width calculation, nor does it participate in the overall width of the mstack. In these cases, authors should take care to avoid collisions between column overflows.
Comparisons are ASCII case-insensitive, where all matching strings are allowed as values.
charspacing length | "loose" | "medium" | "tight" medium
specifies the amount of space to put between each column. Larger spacing might be useful if carries are not placed above or are particularly wide. The keywords loose, medium, and tight automatically adjust spacing to when carries or other entries in a column are wide. The three values allow authors to some flexibility in choosing what the layout looks like without having to figure out what values work well. In all cases, the spacing between columns is a fixed amount and does not vary between different columns.
Comparisons are ASCII case-insensitive, where all matching strings are allowed as values.

3.6.2 Long Division <mlongdiv>

3.6.2.1 Description

Long division notation varies quite a bit around the world, although the heart of the notation is often similar. mlongdiv is similar to mstack and used to layout long division. The first two children of mlongdiv are the divisor and the result of the division, in that order. The remaining children are treated as if they were children of mstack. The placement of these and the lines and separators used to display long division are controlled by the longdivstyle attribute.

The result or divisor may be an elementary math element or may be an empty <mrow/> (the specific empty element <none/> used in MathML 3 is not used in this specification). In particular, if msgroup is used, the elements in that group may or may not form their own mstack or be part of the dividend's mstack, depending upon the value of the longdivstyle attribute. For example, in the US style for division, the result is treated as part of the dividend's mstack, but divisor is not. MathML does not specify when the result and divisor form their own mstack, nor does it specify what should happen if msline or other elementary math elements are used for the result or divisor and they do not participate in the dividend's mstack layout.

In the remainder of this section on elementary math, anything that is said about mstack applies to mlongdiv unless stated otherwise.

3.6.2.2 Attributes

mlongdiv elements accept all of the attributes that mstack elements accept (including those specified in 3.1.9 Attributes common to presentation elements), along with the attribute listed below.

The values allowed for longdivstyle are open-ended. Conforming renderers may ignore any value they do not handle, although renderers are encouraged to render as many of the values listed below as possible. Any rules drawn as part of division layout should be drawn using the color specified by mathcolor.

Name values default
longdivstyle "lefttop" | "stackedrightright" | "mediumstackedrightright" | "shortstackedrightright" | "righttop" | "left/\right" | "left)(right" | ":right=right" | "stackedleftleft" | "stackedleftlinetop" lefttop
Controls the style of the long division layout. The names are meant as a rough mnemonic that describes the position of the divisor and result in relation to the dividend.
Comparisons are ASCII case-insensitive, where all matching strings are allowed as values.

See 3.6.8.3 Long Division for examples of how these notations are drawn. The values listed above are used for long division notations in different countries around the world:

lefttop

a notation that is commonly used in the United States, Great Britain, and elsewhere

stackedrightright

a notation that is commonly used in France and elsewhere

mediumrightright

a notation that is commonly used in Russia and elsewhere

shortstackedrightright

a notation that is commonly used in Brazil and elsewhere

righttop

a notation that is commonly used in China, Sweden, and elsewhere

left/\right

a notation that is commonly used in Netherlands

left)(right

a notation that is commonly used in India

:right=right

a notation that is commonly used in Germany

stackedleftleft

a notation that is commonly used in Arabic countries

stackedleftlinetop

a notation that is commonly used in Arabic countries

3.6.3 Group Rows with Similar Positions <msgroup>

3.6.3.1 Description

msgroup is used to group rows inside of the mstack and mlongdiv elements that have a similar position relative to the alignment of stack. If not explicitly given, the children representing the stack in mstack and mlongdiv are treated as if they are implicitly surrounded by an msgroup element.

3.6.3.2 Attributes

msgroup elements accept the attributes listed below in addition to those specified in 3.1.9 Attributes common to presentation elements.

Name values default
position integer 0
specifies the horizontal position of the rows within this group relative to the position determined by the containing msgroup (according to its position and shift attributes). The resulting position value is relative to the column specified by stackalign of the containing mstack or mlongdiv. Positive values move each row towards the tens digit, like multiplying by a power of 10, effectively padding with empty columns on the right; negative values move towards the ones digit, effectively padding on the left. The decimal point is counted as a column and should be taken into account for negative values.
shift integer 0
specifies an incremental shift of position for successive children (rows or groups) within this group. The value is interpreted as with position, but specifies the position of each child (except the first) with respect to the previous child in the group.

3.6.4 Rows in Elementary Math <msrow>

3.6.4.1 Description

An msrow represents a row in an mstack. In most cases it is implied by the context, but is useful explicitly for putting multiple elements in a single row, such as when placing an operator "+" or "-" alongside a number within an addition or subtraction.

If an mn element is a child of msrow (whether implicit or not), then the number is split into its digits and the digits are placed into successive columns. Any other element, with the exception of mstyle is treated effectively as a single digit occupying the next column. An mstyle is treated as if its children were directly the children of the msrow, but with their style affected by the attributes of the mstyle. The empty element <mrow/> may be used to create an empty column.

Note that a row is considered primarily as if it were a number, which is always displayed left-to-right, and so the directionality used to display the columns is always left-to-right; textual bidirectionality within token elements (other than mn) still applies, as does the overall directionality within any children of the msrow (which end up treated as single digits); see 3.1.5 Directionality.

3.6.4.2 Attributes

msrow elements accept the attributes listed below in addition to those specified in 3.1.9 Attributes common to presentation elements.

Name values default
position integer 0
specifies the horizontal position of the rows within this group relative to the position determined by the containing msgroup (according to its position and shift attributes). The resulting position value is relative to the column specified by stackalign of the containing mstack or mlongdiv. Positive values move each row towards the tens digit, like multiplying by a power of 10, effectively padding with empty columns on the right; negative values move towards the ones digit, effectively padding on the left. The decimal point is counted as a column and should be taken into account for negative values.

3.6.5 Carries, Borrows, and Crossouts <mscarries>

3.6.5.1 Description

The mscarries element is used for various annotations such as carries, borrows, and crossouts that occur in elementary math. The children are associated with elements in the following row of the mstack. It is an error for mscarries to be the last element of an mstack or mlongdiv element. Each child of the mscarries applies to the same column in the following row. As these annotations are used to adorn what are treated as numbers, the attachment of carries to columns proceeds from left to right; the overall directionality does not apply to the ordering of the carries, although it may apply to the contents of each carry; see 3.1.5 Directionality.

Each child of mscarries other than mscarry or <mrow/> is treated as if implicitly surrounded by mscarry; the element <mrow/> is used when no carry for a particular column is needed. The element <none/> was used in earlier MathML releases, but was equivalent to an empty <mrow/>. The mscarries element sets displaystyle to false, and increments scriptlevel by 1, so the children are typically displayed in a smaller font. (See 3.1.6 Displaystyle and Scriptlevel.) It also changes the default value of scriptsizemultiplier. The effect is that the inherited value of scriptsizemultiplier should still override the default value, but the default value, inside mscarries, should be 0.6. scriptsizemultiplier can be set on the mscarries element, and the value should override the inherited value as usual.

If two rows of carries are adjacent to each other, the first row of carries annotates the second (following) row as if the second row had location=n. This means that the second row, even if it does not draw, visually uses some (undefined by this specification) amount of space when displayed.

3.6.5.2 Attributes

mscarries elements accept the attributes listed below in addition to those specified in 3.1.9 Attributes common to presentation elements.

Name values default
position integer 0
specifies the horizontal position of the rows within this group relative to the position determined by the containing msgroup (according to its position and shift attributes). The resulting position value is relative to the column specified by stackalign of the containing mstack or mlongdiv. The interpretation of the value is the same as position for msgroup or msrow, but it alters the association of each carry with the column below. For example, position=1 would cause the rightmost carry to be associated with the second digit column from the right.
location "w" | "nw" | "n" | "ne" | "e" | "se" | "s" | "sw" n
specifies the location of the carry or borrow relative to the character below it in the associated column. Compass directions are used for the values; the default is to place the carry above the character.
Comparisons are ASCII case-insensitive, where all matching strings are allowed as values.
crossout ("none" | "updiagonalstrike" | "downdiagonalstrike" | "verticalstrike" | "horizontalstrike")* none
specifies how the column content below each carry is "crossed out"; one or more values may be given and all values are drawn. If none is given with other values, it is ignored. See 3.6.8 Elementary Math Examples for examples of the different values. The crossout is only applied for columns which have a corresponding mscarry. The crossouts should be drawn using the color specified by mathcolor.
Comparisons are ASCII case-insensitive, where all matching strings are allowed as values.
scriptsizemultiplier number inherited (0.6)
specifies the factor to change the font size by. See 3.1.6 Displaystyle and Scriptlevel for a description of how this works with the scriptsize attribute.

3.6.6 A Single Carry <mscarry>

3.6.6.1 Description

mscarry is used inside of mscarries to represent the carry for an individual column. A carry is treated as if its width were zero; it does not participate in the calculation of the width of its corresponding column; as such, it may extend beyond the column boundaries. Although it is usually implied, the element may be used explicitly to override the location and/or crossout attributes of the containing mscarries. It may also be useful with <mrow/> as its content in order to display no actual carry, but still enable a crossout due to the enclosing mscarries to be drawn for the given column.

3.6.6.2 Attributes

The mscarry element accepts the attributes listed below in addition to those specified in 3.1.9 Attributes common to presentation elements.

Name values default
location "w" | "nw" | "n" | "ne" | "e" | "se" | "s" | "sw" inherited
specifies the location of the carry or borrow relative to the character in the corresponding column in the row below it. Compass directions are used for the values.
Comparisons are ASCII case-insensitive, where all matching strings are allowed as values.
crossout ("none" | "updiagonalstrike" | "downdiagonalstrike" | "verticalstrike" | "horizontalstrike")* inherited
specifies how the column content associated with the carry is "crossed out"; one or more values may be given and all values are drawn. If none is given with other values, it is essentially ignored. The crossout should be drawn using the color specified by mathcolor.
Comparisons are ASCII case-insensitive, where all matching strings are allowed as values.

3.6.7 Horizontal Line <msline/>

3.6.7.1 Description

msline draws a horizontal line inside of an mstack element. The position, length, and thickness of the line are specified as attributes. If the length is specified, the line is positioned and drawn as if it were a number with the given number of digits.

3.6.7.2 Attributes

msline elements accept the attributes listed below in addition to those specified in 3.1.9 Attributes common to presentation elements. The line should be drawn using the color specified by mathcolor.

Name values default
position integer 0
specifies the horizontal position of the rows within this group relative to the position determined by the containing msgroup (according to its position and shift attributes). The resulting position value is relative to the column specified by stackalign of the containing mstack or mlongdiv. Positive values move towards the tens digit (like multiplying by a power of 10); negative values move towards the ones digit. The decimal point is counted as a column and should be taken into account for negative values. Note that since the default line length spans the entire mstack, the position has no effect unless the length is specified as non-zero.
length unsigned-integer 0
Specifies the number of columns that should be spanned by the line. A value of '0' (the default) means that all columns in the row are spanned (in which case position and stackalign have no effect).
leftoverhang length 0
Specifies an extra amount that the line should overhang on the left of the leftmost column spanned by the line.
rightoverhang length 0
Specifies an extra amount that the line should overhang on the right of the rightmost column spanned by the line.
mslinethickness length | "thin" | "medium" | "thick" medium
Specifies how thick the line should be drawn. The line should have height=0, and depth=mslinethickness so that the top of the msline is on the baseline of the surrounding context (if any). (See 3.3.2 Fractions <mfrac> for discussion of the thickness keywords medium, thin and thick.)
Comparisons are ASCII case-insensitive, where all matching strings are allowed as values.

3.6.8 Elementary Math Examples

3.6.8.1 Addition and Subtraction

Two-dimensional addition, subtraction, and multiplication typically involve numbers, carries/borrows, lines, and the sign of the operation.

Below is the example shown at the start of the section: the digits inside the mn elements each occupy a column as does the "+". <mrow/> is used to fill in the column under the "4" and make the "+" appear to the left of all of the operands. Notice that no attributes are given on msline causing it to span all of the columns.

<mstack>
  <mn>424</mn>
  <msrow> <mo>+</mo> <mrow/> <mn>33</mn> </msrow>
  <msline/>
</mstack>
\begin{array}{@{}r@{}}    424 \\   +\phantom0 33 \\   \hline \end{array}

The next example illustrates how to put an operator on the right. Placing the operator on the right is standard in the Netherlands and some other countries. Notice that although there are a total of four columns in the example, because the default alignment is on the implied decimal point to the right of the numbers, it is not necessary to pad or shift any row.

<mstack>
  <mn>123</mn>
  <msrow> <mn>456</mn> <mo>+</mo> </msrow>
  <msline/>
  <mn>579</mn>
</mstack>
\begin{array}{l}   123 \\   456+ \\   \hline   579 \end{array}

The following two examples illustrate the use of mscarries, mscarry and using <mrow/> to fill in a column. The examples also illustrate two different ways of displaying a borrow.

<mstack>
  <mscarries crossout='updiagonalstrike'>
    <mn>2</mn>  <mn>12</mn>  <mscarry crossout='none'> <mrow/> </mscarry>
  </mscarries>
  <mn>2,327</mn>
  <msrow> <mo>-</mo> <mn> 1,156</mn> </msrow>
  <msline/>
  <mn>1,171</mn>
</mstack>
<mstack>
  <mscarries location='nw'>
    <mrow/>
    <mscarry crossout='updiagonalstrike' location='n'> <mn>2</mn> </mscarry>
    <mn>1</mn>
    <mrow/>
  </mscarries>
  <mn>2,327</mn>
  <msrow> <mo>-</mo> <mn> 1,156</mn> </msrow>
  <msline/>
  <mn>1,171</mn>
</mstack>

The MathML for the second example uses mscarry because a crossout should only happen on a single column:

The next example of subtraction shows a borrowed amount that is underlined (the example is from a Swedish source). There are two things to notice: an menclose is used in the carry, and <mrow/> is used for the empty element so that mscarry can be used to create a crossout.

<mstack>
  <mscarries>
    <mscarry crossout='updiagonalstrike'><mrow/></mscarry>
    <menclose notation='bottom'> <mn>10</mn> </menclose>
  </mscarries>
  <mn>52</mn>
  <msrow> <mo>-</mo> <mn> 7</mn> </msrow>
  <msline/>
  <mn>45</mn>
</mstack>
\begin{array}{r} \underbar{\scriptsize 10}\!\\ 5\llap{$/$}2\\ {}-{}7\\ \hline 45 \end{array}
3.6.8.2 Multiplication

Below is a simple multiplication example that illustrates the use of msgroup and the shift attribute. The first msgroup is implied and doesn't change the layout. The second msgroup could also be removed, but msrow would be needed for last two children. They msrow would need to set the position or shift attributes, or would add <mrow/> elements to pad the digits on the right.

<mstack>
  <msgroup>
    <mn>123</mn>
    <msrow><mo>×</mo><mn>321</mn></msrow>
  </msgroup>
  <msline/>
  <msgroup shift="1">
    <mn>123</mn>
    <mn>246</mn>
    <mn>369</mn>
  </msgroup>
  <msline/>
</mstack>

The following is a more complicated example of multiplication that has multiple rows of carries. It also (somewhat artificially) includes commas (",") as digit separators. The encoding includes these separators in the spacing attribute value, along non-ASCII values.

<mstack>
  <mscarries><mn>1</mn><mn>1</mn><mrow/></mscarries>
  <mscarries><mn>1</mn><mn>1</mn><mrow/></mscarries>
  <mn>1,234</mn>
  <msrow><mo>×</mo><mn>4,321</mn></msrow>
  <msline/>

  <mscarries position='2'>
    <mn>1</mn>
    <mrow/>
    <mn>1</mn>
    <mn>1</mn>
    <mn>1</mn>
    <mrow/>
    <mn>1</mn>
  </mscarries>
  <msgroup shift="1">
    <mn>1,234</mn>
    <mn>24,68</mn>
    <mn>370,2</mn>
    <msrow position="1"> <mn>4,936</mn> </msrow>
  </msgroup>
  <msline/>

  <mn>5,332,114</mn>
</mstack>
\begin{array}{r}  {}_1 {\hspace{0.05em}}_1\phantom{0} \\  {}_1 {\hspace{0.05em}}_1\phantom{0} \\   1,234 \\   \times 4,321 \\   \hline  {}_1 \phantom{,} {\hspace{0.05em \,}}_1 {\hspace{0.05em}}_1  {\hspace{0.05em}}_1 \phantom{,} {\hspace{0.05em \,}}_1 \phantom{00} \\   1,234 \\   24,68\phantom{0} \\   370,2\phantom{00} \\   4,936\phantom{,000} \\   \hline   5,332,114 \end{array}
3.6.8.3 Long Division

The notation used for long division varies considerably among countries. Most notations share the common characteristics of aligning intermediate results and drawing lines for the operands to be subtracted. Minus signs are sometimes shown for the intermediate calculations, and sometimes they are not. The line that is drawn varies in length depending upon the notation. The most apparent difference among the notations is that the position of the divisor varies, as does the location of the quotient, remainder, and intermediate terms.

The layout used is controlled by the longdivstyle attribute. Below are examples for the values listed in 3.6.2.2 Attributes.

lefttop stackedrightright mediumstackedrightright shortstackedrightright righttop
left/\right left)(right :right=right stackedleftleft stackedleftlinetop

The MathML for the first example is shown below. It illustrates the use of nested msgroups and how the position is calculated in those usages.

<mlongdiv longdivstyle="lefttop">
  <mn> 3 </mn>
  <mn> 435.3</mn>

  <mn> 1306</mn>

  <msgroup position="2" shift="-1">
    <msgroup>
      <mn> 12</mn>
      <msline length="2"/>
    </msgroup>
    <msgroup>
      <mn> 10</mn>
      <mn> 9</mn>
      <msline length="2"/>
    </msgroup>
    <msgroup>
      <mn> 16</mn>
      <mn> 15</mn>
      <msline length="2"/>
      <mn> 1.0</mn>           <!-- aligns on '.', not the right edge ('0') -->
    </msgroup>
    <msgroup position='-1'>   <!-- extra shift to move to the right of the "." -->
      <mn> 9</mn>
      <msline length="3"/>
      <mn> 1</mn>
    </msgroup>
  </msgroup>
</mlongdiv>

With the exception of the last example, the encodings for the other examples are the same except that the values for longdivstyle differ and that a "," is used instead of a "." for the decimal point. For the last example, the only difference from the other examples besides a different value for longdivstyle is that Arabic numerals have been used in place of Latin numerals, as shown below.

<mstyle decimalpoint="٫">
  <mlongdiv longdivstyle="stackedleftlinetop">
    <mn> ٣ </mn>
    <mn> ٤٣٥٫٣</mn>

    <mn> ١٣٠٦</mn>
    <msgroup position="2" shift="-1">
      <msgroup>
        <mn> ١٢</mn>
        <msline length="2"/>
      </msgroup>
      <msgroup>
        <mn> ١٠</mn>
        <mn> ٩</mn>
        <msline length="2"/>
      </msgroup>
      <msgroup>
        <mn> ١٦</mn>
        <mn> ١٥</mn>
        <msline length="2"/>
        <mn> ١٫٠</mn>
      </msgroup>
      <msgroup position='-1'>
        <mn> ٩</mn>
        <msline length="3"/>
        <mn> ١</mn>
      </msgroup>
    </msgroup>
  </mlongdiv>
</mstyle>
3.6.8.4 Repeating decimal

Decimal numbers that have digits that repeat infinitely such as 1/3 (.3333...) are represented using several notations. One common notation is to put a horizontal line over the digits that repeat (in Portugal an underline is used). Another notation involves putting dots over the digits that repeat. The MathML for these involves using mstack, msrow, and msline in a straightforward manner. These notations are shown below:

<mstack stackalign="right">
  <msline length="1"/>
  <mn> 0.3333 </mn>
</mstack>
0.33333 \overline{3}
<mstack stackalign="right">
  <msline length="6"/>
  <mn> 0.142857 </mn>
</mstack>
0.\overline{142857}
<mstack stackalign="right">
  <mn> 0.142857 </mn>
  <msline length="6"/>
</mstack>
0.\underline{142857}
<mstack stackalign="right">
  <msrow> <mo>.</mo> <mrow/><mrow/><mrow/><mrow/> <mo>.</mo> </msrow>
  <mn> 0.142857 </mn>
</mstack>
0.\dot{1}4285\dot{7}

3.7 Enlivening Expressions

3.7.1 Bind Action to Sub-Expression

The maction element provides a mechanism for binding actions to expressions. This element accepts any number of sub-expressions as arguments and the type of action that should happen is controlled by the actiontype attribute. MathML 3 predefined the four actions: toggle, statusline, statusline, and input. However, because the ability to implement any action depends very strongly on the platform, MathML 4 no longer predefines what these actions do. Furthermore, in the web environment events connected to javascript to perform actions are a more powerful solution, although maction provides a convenient wrapper element on which to attach such an event.

Linking to other elements, either locally within the math element or to some URL, is not handled by maction. Instead, it is handled by adding a link directly on a MathML element as specified in 7.4.4 Linking.

3.7.1.1 Attributes

maction elements accept the attributes listed below in addition to those specified in 3.1.9 Attributes common to presentation elements.

By default, MathML applications that do not recognize the specified actiontype , or if the actiontype attribute is not present, should render the selected sub-expression as defined below. If no selected sub-expression exists, it is a MathML error; the appropriate rendering in that case is as described in D.2 Handling of Errors.

Name values default
actiontype string
Specifies what should happen for this element. The values allowed are open-ended. Conforming renderers may ignore any value they do not handle.
selection positive-integer 1
Specifies which child should be used for viewing. Its value should be between 1 and the number of children of the element. The specified child is referred to as the selected sub-expression of the maction element. If the value specified is out of range, it is an error. When the selection attribute is not specified (including for action types for which it makes no sense), its default value is 1, so the selected sub-expression will be the first sub-expression.

If a MathML application responds to a user command to copy a MathML sub-expression to the environment's clipboard (see 7.3 Transferring MathML), any maction elements present in what is copied should be given selection values that correspond to their selection state in the MathML rendering at the time of the copy command.

When a MathML application receives a mouse event that may be processed by two or more nested maction elements, the innermost maction element of each action type should respond to the event.

The actiontype values are open-ended. If another value is given and it requires additional attributes, which should begin with "data-" or in XML they may be in a different namespace.

<maction actiontype="highlight" data-color="red" data-background="yellow"> expression </maction>

In the example, non-standard data attributes are being used to pass additional information to renderers that support them. The data-color attributes might change the color of the characters in the presentation, while the data-background attribute might change the color of the background behind the characters.

3.8 Semantics and Presentation

MathML uses the semantics element to allow specifying semantic annotations to presentation MathML elements; these can be content MathML or other notations. As such, semantics should be considered part of both presentation MathML and content MathML. All MathML processors should process the semantics element, even if they only process one of those subsets.

In semantic annotations a presentation MathML expression is typically the first child of the semantics element. However, it can also be given inside of an annotation-xml element inside the semantics element. If it is part of an annotation-xml element, then encoding=application/mathml-presentation+xml or encoding=MathML-Presentation may be used and presentation MathML processors should use this value for the presentation.

See 6. Annotating MathML: semantics for more details about the semantics and annotation-xml elements.

4. Content Markup

4.1 Introduction

4.1.1 The Purpose of Content Markup

The purpose of Content Markup is to provide an explicit encoding of the underlying mathematical meaning of an expression, rather than any particular notation for the expression. Mathematical notation is at times ambiguous, context-dependent, and varies from community to community. In many cases, it is preferable to work directly with the underlying, formal, mathematical objects. Content Markup provides a rigorous, extensible semantic framework and a markup language for this purpose.

By encoding the underlying mathematical structure explicitly, without regard to how it is presented, it is possible to interchange information more precisely between systems that semantically process mathematical objects. Important application areas include computer algebra systems, automatic reasoning systems, industrial and scientific applications, multi-lingual translation systems, mathematical search, automated scoring of online assessments, and interactive textbooks.

This chapter presents an overview of basic concepts used to define Content Markup, describes a core collection of elements that comprise Strict Content Markup, and defines a full collection of elements to support common mathematical idioms. Strict Content Markup encodes general expression trees in a semantically rigorous way, while the full set of Content MathML elements provides backward-compatibility with previous versions of Content Markup. The correspondence between full Content Markup and Strict Content Markup is defined in F. The Strict Content MathML Transformation, which details an algorithm to translate arbitrary Content Markup into Strict Content Markup.

4.1.2 Content Expressions

Content MathML represents mathematical objects as expression trees. In general, an expression tree is constructed by applying an operator to a sequence of sub-expressions. For example, the sum x+y can be constructed as the application of the addition operator to two arguments x and y, and the expression cos(π) as the application of the cosine function to the number π.

The terminal nodes in an expression tree represent basic mathematical objects such as numbers, variables, arithmetic operations, and so on. The internal nodes in the tree represent function application or other mathematical constructions that build up compound objects.

MathML defines a relatively small number of commonplace mathematical constructs, chosen to be sufficient in a wide range of applications. In addition, it provides a mechanism to refer to concepts outside of the collection it defines, allowing them to be represented as well.

The defined set of content elements is designed to be adequate for simple coding of formulas typically used from kindergarten through the first two years of college in the United States, that is, up to A-Level or Baccalaureate level in Europe.

The primary role of the MathML content element set is to encode the mathematical structure of an expression independent of the notation used to present it. However, rendering issues cannot be ignored. There are many different approaches to render Content MathML formulae, ranging from native implementations of the MathML elements, to declarative notation definitions, to XSLT style sheets. Because rendering requirements for Content MathML vary widely, MathML does not provide a normative rendering specification. Instead, typical renderings are suggested by way of examples given using presentation markup.

4.1.3 Expression Concepts

The basic building blocks of Content MathML expressions are numbers, identifiers, and symbols. These building blocks are combined using function application and binding operators.

In the expression x+2, the numeral 2 represents a number with a fixed value. Content MathML uses the cn element to represent numerical quantities. The identifier x is a mathematical variable, that is, an identifier that represents a quantity with no predetermined value. Content MathML uses the ci element to represent variable identifiers.

The plus sign is an identifier that represents a fixed, externally defined object, namely, the addition function. Such an identifier is called a symbol, to distinguish it from a variable. Common elementary functions and operators are all symbols in this sense. Content MathML uses the csymbol element to represent symbols.

The fundamental way to combine numbers, variables, and symbols is function application. Content MathML distinguishes between the function itself (which may be a symbol such as the sine function, a variable such as f, or some other expression) and the result of applying the function to its arguments. The apply element groups the function with its arguments syntactically, and represents the expression that results from applying the function to its arguments.

4.1.4 Variable Binding

In an expression, variables may be described as bound or free variables. Bound variables have a special role within the scope of a binding expression, and may be renamed consistently within that scope without changing the meaning of the expression. Free variables are those that are not bound within an expression. Content MathML differentiates between the application of a function to a free variable (e.g. f(x)) and an operation that binds a variable within a binding scope. The bind element is used to delineate the binding scope of a bound variable and to group the binding operator with its bound variables, which are supplied using the bvar element.

In Strict Content markup, the only way to perform variable binding is to use the bind element. In non-Strict Content markup, other markup elements are provided that more closely resemble well-known idiomatic notations, such as limit-style notations for sums and integrals. These constructs may implicitly bind variables, such as the variable of integration, or the index variable in a sum. MathML uses the term qualifier element to refer to those elements used to represent the auxiliary data required by these constructs.

Expressions involving qualifiers follow one of a small number of idiomatic patterns, each of which applies to a class of similar binding operators. For example, sums and products are in the same class because they use index variables following the same pattern. The Content MathML operator classes are described in detail in 4.3.4 Operator Classes.

4.1.5 Strict Content MathML

Beginning in MathML 3, Strict Content MathML is defined as a minimal subset of Content MathML that is sufficient to represent the meaning of mathematical expressions using a uniform structure. The full Content MathML element set retains backward compatibility with MathML 2, and strikes a pragmatic balance between verbosity and formality.

Content MathML provides a considerable number of predefined functions encoded as empty elements (e.g. sin, log, etc.) and a variety of constructs for forming compound objects (e.g. set, interval, etc.). In contrast, Strict Content MathML represents all known functions using a single element (csymbol) with an attribute that points to its definition in an extensible content dictionary, and uses only apply and bind elements to build up compound expressions. Token elements such as cn and ci are considered part of Strict Content MathML, but with a more restricted set of attributes and with content restricted to text.

The formal semantics of Content MathML expressions are given by specifying equivalent Strict Content MathML expressions, which all have formal semantics defined in terms of content dictionaries. The exact correspondence between each non-Strict Content MathML structure and its Strict Content MathML equivalent is described in terms of rewrite rules that are used as part of the transformation algorithm given in F. The Strict Content MathML Transformation.

The algorithm described in F. The Strict Content MathML Transformation is complete in the sense that it gives every Content MathML expression a specific meaning in terms of a Strict Content MathML expression. In some cases, it gives a specific strict interpretation to an expression whose meaning was not sufficiently specified in MathML 2. The goal of this algorithm is to be faithful to natural mathematical intuitions, however, some edge cases may remain where the specific interpretation given by the algorithm may be inconsistent with earlier expectations.

A conformant MathML processor need not implement this algorithm. The existence of these transformation rules does not imply that a system must treat equivalent expressions identically. In particular, systems may give different presentation renderings for expressions that the transformation rules imply are mathematically equivalent. In general, Content MathML does not define any expectations for the computational behavior of the expressions it encodes, including, but not limited to, the equivalence of any specific expressions.

Strict Content MathML is designed to be compatible with OpenMath, a standard for representing formal mathematical objects and semantics. Strict Content MathML is an XML encoding of OpenMath Objects in the sense of [OpenMath]. The following table gives the correspondence between Strict Content MathML elements and their OpenMath equivalents.

Strict Content MathML OpenMath
cn OMI, OMF
csymbol OMS
ci OMV
cs OMSTR
apply OMA
bind OMBIND
bvar OMBVAR
share OMR
semantics OMATTR
annotation, annotation-xml OMATP, OMFOREIGN
cerror OME
cbytes OMB

4.1.6 Content Dictionaries

Any method to formalize the meaning of mathematical expressions must be extensible, that is, it must provide the ability to define new functions and symbols to expand the domain of discourse. Content MathML uses the csymbol element to represent new symbols, and uses Content Dictionaries to describe their mathematical semantics. The association between a symbol and its semantic description is accomplished using the attributes of the csymbol element to point to the definition of the symbol in a Content Dictionary.

The correspondence between operator elements in Content MathML and symbol definitions in Content Dictionaries is given in E.3 The Content MathML Operators. These definitions for predefined MathML operator symbols refer to Content Dictionaries developed by the OpenMath Society [OpenMath] in conjunction with the W3C Math Working Group. It is important to note that this information is informative, not normative. In general, the precise mathematical semantics of predefined symbols are not fully specified by the MathML Recommendation, and the only normative statements about symbol semantics are those present in the text of this chapter. The semantic definitions provided by the OpenMath Content Dictionaries are intended to be sufficient for most applications, and are generally compatible with the semantics specified for analogous constructs in this Recommendation. However, in contexts where highly precise semantics are required (e.g. communication between computer algebra systems, within formal systems such as theorem provers, etc.) it is the responsibility of the relevant community of practice to verify, extend or replace definitions provided by OpenMath Content Dictionaries as appropriate.

4.2 Content MathML Elements Encoding Expression Structure

In this section we will present the elements for encoding the structure of content MathML expressions. These elements are the only ones used for the Strict Content MathML encoding. Concretely, we have

Full Content MathML allows further elements presented in 4.3 Content MathML for Specific Structures and 4.3 Content MathML for Specific Structures, and allows a richer content model presented in this section. Differences in Strict and non-Strict usage of are highlighted in the sections discussing each of the Strict element below.

4.2.1 Numbers <cn>

Schema Fragment (Strict) Schema Fragment (Full)
Class Cn Cn
Attributes CommonAtt, type CommonAtt, DefEncAtt, type?, base?
type Attribute Values integer | real | double | hexdouble     integer | real | double | hexdouble | e-notation | rational | complex-cartesian | complex-polar | constant | text default is real
base Attribute Values integer default is 10
Content text (text | mglyph | sep | PresentationExpression)*

The cn element is the Content MathML element used to represent numbers. Strict Content MathML supports integers, real numbers, and double precision floating point numbers. In these types of numbers, the content of cn is text. Additionally, cn supports rational numbers and complex numbers in which the different parts are separated by use of the sep element. Constructs using sep may be rewritten in Strict Content MathML as constructs using apply as described below.

The type attribute specifies which kind of number is represented in the cn element. The default value is real. Each type implies that the content be of a certain form, as detailed below.

4.2.1.1 Rendering <cn>,<sep/>-Represented Numbers

The default rendering of the text content of cn is the same as that of the Presentation element mn, with suggested variants in the case of attributes or sep being used, as listed below.

4.2.1.2 Strict uses of <cn>

In Strict Content MathML, the type attribute is mandatory, and may only take the values integer, real, hexdouble or double:

integer

An integer is represented by an optional sign followed by a string of one or more decimal digits.

real

A real number is presented in radix notation. Radix notation consists of an optional sign (+ or -) followed by a string of digits possibly separated into an integer and a fractional part by a decimal point. Some examples are 0.3, 1, and -31.56.

double

This type is used to mark up those double-precision floating point numbers that can be represented in the IEEE 754 standard format [IEEE754]. This includes a subset of the (mathematical) real numbers, negative zero, positive and negative real infinity and a set of not a number values. The lexical rules for interpreting the text content of a cn as an IEEE double are specified by Section 3.1.2.5 of XML Schema Part 2: Datatypes Second Edition [XMLSchemaDatatypes]. For example, -1E4, 1267.43233E12, 12.78e-2, 12, -0, 0 and INF are all valid doubles in this format.

hexdouble

This type is used to directly represent the 64 bits of an IEEE 754 double-precision floating point number as a 16 digit hexadecimal number. Thus the number represents mantissa, exponent, and sign from lowest to highest bits using a least significant byte ordering. This consists of a string of 16 digits 0-9, A-F. The following example represents a NaN value. Note that certain IEEE doubles, such as the NaN in the example, cannot be represented in the lexical format for the double type.

<cn type="hexdouble">7F800000</cn>

Sample Presentation

<mn>0x7F800000</mn>
0x7F800000
4.2.1.3 Non-Strict uses of <cn>

The base attribute is used to specify how the content is to be parsed. The attribute value is a base 10 positive integer giving the value of base in which the text content of the cn is to be interpreted. The base attribute should only be used on elements with type integer or real. Its use on cn elements of other type is deprecated. The default value for base is 10.

Additional values for the type attribute element for supporting e-notations for real numbers, rational numbers, complex numbers and selected important constants. As with the integer, real, double and hexdouble types, each of these types implies that the content be of a certain form. If the type attribute is omitted, it defaults to real.

integer

Integers can be represented with respect to a base different from 10: If base is present, it specifies (in base 10) the base for the digit encoding. Thus base='16' specifies a hexadecimal encoding. When base > 10, Latin letters (A-Z, a-z) are used in alphabetical order as digits. The case of letters used as digits is not significant. The following example encodes the base 10 number 32736.

<cn base="16">7FE0</cn>

Sample Presentation

<msub><mn>7FE0</mn><mn>16</mn></msub>
7FE016

When base > 36, some integers cannot be represented using numbers and letters alone. For example, while

<cn base="1000">10F</cn>

arguably represents the number written in base 10 as 1,000,015, the number written in base 10 as 1,000,037 cannot be represented using letters and numbers alone when base is 1000. Consequently, support for additional characters (if any) that may be used for digits when base > 36 is application specific.

real

Real numbers can be represented with respect to a base different than 10. If a base attribute is present, then the digits are interpreted as being digits computed relative to that base (in the same way as described for type integer).

e-notation

A real number may be presented in scientific notation using this type. Such numbers have two parts (a significand and an exponent) separated by a <sep/> element. The first part is a real number, while the second part is an integer exponent indicating a power of the base.

For example, <cn type="e-notation">12.3<sep/>5</cn> represents 12.3×105. The default presentation of this example is 12.3e5. Note that this type is primarily useful for backwards compatibility with MathML 2, and in most cases, it is preferable to use the double type, if the number to be represented is in the range of IEEE doubles:

rational

A rational number is given as two integers to be used as the numerator and denominator of a quotient. The numerator and denominator are separated by <sep/>.

<cn type="rational">22<sep/>7</cn>

Sample Presentation

<mrow><mn>22</mn><mo>/</mo><mn>7</mn></mrow>
22/7
complex-cartesian

A complex cartesian number is given as two numbers specifying the real and imaginary parts. The real and imaginary parts are separated by the <sep/> element, and each part has the format of a real number as described above.

<cn type="complex-cartesian"> 12.3 <sep/> 5 </cn>

Sample Presentation

<mrow>
  <mn>12.3</mn><mo>+</mo><mn>5</mn><mo>&#x2062;<!--InvisibleTimes--></mo><mi>i</mi>
</mrow>
12.3+5i
complex-polar

A complex polar number is given as two numbers specifying the magnitude and angle. The magnitude and angle are separated by the <sep/> element, and each part has the format of a real number as described above.

<cn type="complex-polar"> 2 <sep/> 3.1415 </cn>

Sample Presentation

<mrow>
  <mn>2</mn>
  <mo>&#x2062;<!--InvisibleTimes--></mo>
  <msup>
    <mi>e</mi>
    <mrow><mi>i</mi><mo>&#x2062;<!--InvisibleTimes--></mo><mn>3.1415</mn></mrow>
  </msup>
</mrow>
2 e i3.1415
<mrow>
  <mi>Polar</mi>
  <mo>&#x2061;<!--ApplyFunction--></mo>
  <mrow><mo>(</mo><mn>2</mn><mo>,</mo><mn>3.1415</mn><mo>)</mo></mrow>
</mrow>
Polar (2,3.1415)
constant

If the value type is constant, then the content should be a Unicode representation of a well-known constant. Some important constants and their common Unicode representations are listed below.

This cn type is primarily for backward compatibility with MathML 1.0. MathML 2.0 introduced many empty elements, such as <pi/> to represent constants, and using these representations or a Strict csymbol representation is preferred.

In addition to the additional values of the type attribute, the content of cn element can contain (in addition to the sep element allowed in Strict Content MathML) mglyph elements to refer to characters not currently available in Unicode, or a general presentation construct (see 3.1.8 Summary of Presentation Elements), which is used for rendering (see 4.1.2 Content Expressions).

If a base attribute is present, it specifies the base used for the digit encoding of both integers. The use of base with rational numbers is deprecated.

4.2.2 Content Identifiers <ci>

Schema Fragment (Strict) Schema Fragment (Full)
Class Ci Ci
Attributes CommonAtt, type? CommonAtt, DefEncAtt, type?
type Attribute Values integer| rational| real| complex| complex-polar| complex-cartesian| constant| function| vector| list| set| matrix string
Qualifiers BvarQ, DomainQ, degree, momentabout, logbase
Content text text | mglyph | PresentationExpression

Content MathML uses the ci element (mnemonic for content identifier) to construct a variable. Content identifiers represent mathematical variables which have properties, but no fixed value. For example, x and y are variables in the expression x+y, and the variable x would be represented as

<ci>x</ci>

In MathML, variables are distinguished from symbols, which have fixed, external definitions, and are represented by the csymbol element.

After white space normalization the content of a ci element is interpreted as a name that identifies it. Two variables are considered equal, if and only if their names are identical and in the same scope (see 4.2.6 Bindings and Bound Variables <bind> and <bvar> for a discussion).

4.2.2.1 Strict uses of <ci>

The ci element uses the type attribute to specify the basic type of object that it represents. In Strict Content MathML, the set of permissible values is integer, rational, real, complex, complex-polar, complex-cartesian, constant, function, vector, list, set, and matrix. These values correspond to the symbols integer_type, rational_type, real_type, complex_polar_type, complex_cartesian_type, constant_type, fn_type, vector_type, list_type, set_type, and matrix_type in the mathmltypes Content Dictionary: In this sense the following two expressions are considered equivalent:

<ci type="integer">n</ci>
<semantics>
  <ci>n</ci>
  <annotation-xml cd="mathmltypes" name="type" encoding="MathML-Content">
    <csymbol cd="mathmltypes">integer_type</csymbol>
  </annotation-xml>
</semantics>

Note that complex should be considered an alias for complex-cartesian and rewritten to the same complex_cartesian_type symbol. It is perhaps a more natural type name for use with ci as the distinction between cartesian and polar form really only affects the interpretation of literals encoded with cn.

4.2.2.2 Non-Strict uses of <ci>

The ci element allows any string value for the type attribute, in particular any of the names of the MathML container elements or their type values.

For a more advanced treatment of types, the type attribute is inappropriate. Advanced types require significant structure of their own (for example, vector(complex)) and are probably best constructed as mathematical objects and then associated with a MathML expression through use of the semantics element. See [MathML-Types] for more examples.

4.2.2.3 Rendering Content Identifiers

If the content of a ci element consists of Presentation MathML, that presentation is used. If no such tagging is supplied then the text content is rendered as if it were the content of an mi element. If an application supports bidirectional text rendering, then the rendering follows the Unicode bidirectional rendering.

The type attribute can be interpreted to provide rendering information. For example in

<ci type="vector">V</ci>

a renderer could display a bold V for the vector.

4.2.3 Content Symbols <csymbol>

Schema Fragment (Strict) Schema Fragment (Full)
Class Csymbol Csymbol
Attributes CommonAtt, cd CommonAtt, DefEncAtt, type?, cd?
Content SymbolName text | mglyph | PresentationExpression
Qualifiers BvarQ, DomainQ, degree, momentabout, logbase

A csymbol is used to refer to a specific, mathematically-defined concept with an external definition. In the expression x+y, the plus sign is a symbol since it has a specific, external definition, namely the addition function. MathML 3 calls such an identifier a symbol. Elementary functions and common mathematical operators are all examples of symbols. Note that the term symbol is used here in an abstract sense and has no connection with any particular presentation of the construct on screen or paper.

4.2.3.1 Strict uses of <csymbol>

The csymbol identifies the specific mathematical concept it represents by referencing its definition via attributes. Conceptually, a reference to an external definition is merely a URI, i.e. a label uniquely identifying the definition. However, to be useful for communication between user agents, external definitions must be shared.

For this reason, several longstanding efforts have been organized to develop systematic, public repositories of mathematical definitions. Most notable of these, the OpenMath Society repository of Content Dictionaries (CDs) is extensive, open and active. In MathML 3, OpenMath CDs are the preferred source of external definitions. In particular, the definitions of pre-defined MathML 3 operators and functions are given in terms of OpenMath CDs.

MathML 3 provides two mechanisms for referencing external definitions or content dictionaries. The first, using the cd attribute, follows conventions established by OpenMath specifically for referencing CDs. This is the form required in Strict Content MathML. The second, using the definitionURL attribute, is backward compatible with MathML 2, and can be used to reference CDs or any other source of definitions that can be identified by a URI. It is described in the following section.

When referencing OpenMath CDs, the preferred method is to use the cd attribute as follows. Abstractly, OpenMath symbol definitions are identified by a triple of values: a symbol name, a CD name, and a CD base, which is a URI that disambiguates CDs of the same name. To associate such a triple with a csymbol, the content of the csymbol specifies the symbol name, and the name of the Content Dictionary is given using the cd attribute. The CD base is determined either from the document embedding the math element which contains the csymbol by a mechanism given by the embedding document format, or by system defaults, or by the cdgroup attribute, which is optionally specified on the enclosing math element; see 2.2.1 Attributes. In the absence of specific information http://www.openmath.org/cd is assumed as the CD base for all csymbol elements annotation, and annotation-xml. This is the CD base for the collection of standard CDs maintained by the OpenMath Society.

The cdgroup specifies a URL to an OpenMath CD Group file. For a detailed description of the format of a CD Group file, see Section 4.4.2 (CDGroups) in [OpenMath]. Conceptually, a CD group file is a list of pairs consisting of a CD name, and a corresponding CD base. When a csymbol references a CD name using the cd attribute, the name is looked up in the CD Group file, and the associated CD base value is used for that csymbol. When a CD Group file is specified, but a referenced CD name does not appear in the group file, or there is an error in retrieving the group file, the referencing csymbol is not defined. However, the handling of the resulting error is not defined, and is the responsibility of the user agent.

While references to external definitions are URIs, it is strongly recommended that CD files be retrievable at the location obtained by interpreting the URI as a URL. In particular, other properties of the symbol being defined may be available by inspecting the Content Dictionary specified. These include not only the symbol definition, but also examples and other formal properties. Note, however, that there are multiple encodings for OpenMath Content Dictionaries, and it is up to the user agent to correctly determine the encoding when retrieving a CD.

4.2.3.2 Non-Strict uses of <csymbol>

In addition to the forms described above, the csymbol and element can contain mglyph elements to refer to characters not currently available in Unicode, or a general presentation construct (see 3.1.8 Summary of Presentation Elements), which is used for rendering (see 4.1.2 Content Expressions). In this case, when writing to Strict Content MathML, the csymbol should be treated as a ci element, and rewritten using Rewrite: ci presentation mathml.

External definitions (in OpenMath CDs or elsewhere) may also be specified directly for a csymbol using the definitionURL attribute. When used to reference OpenMath symbol definitions, the abstract triple of (symbol name, CD name, CD base) is mapped to a fully-qualified URI as follows:

URI = cdbase + '/' + cd-name + '#' + symbol-name

For example,

(plus, arith1, http://www.openmath.org/cd)

is mapped to

http://www.openmath.org/cd/arith1#plus

The resulting URI is specified as the value of the definitionURL attribute.

This form of reference is useful for backwards compatibility with MathML2 and to facilitate the use of Content MathML within URI-based frameworks (such as RDF [RDF] in the Semantic Web or OMDoc [OMDoc1.2]). Another benefit is that the symbol name in the CD does not need to correspond to the content of the csymbol element. However, in general, this method results in much longer MathML instances. Also, in situations where CDs are under development, the use of a CD Group file allows the locations of CDs to change without a change to the markup. A third drawback to definitionURL is that unlike the cd attribute, it is not limited to referencing symbol definitions in OpenMath content dictionaries. Hence, it is not in general possible for a user agent to automatically determine the proper interpretation for definitionURL values without further information about the context and community of practice in which the MathML instance occurs.

Both the cd and definitionURL mechanisms of external reference may be used within a single MathML instance. However, when both a cd and a definitionURL attribute are specified on a single csymbol, the cd attribute takes precedence.

4.2.3.3 Rendering Symbols

If the content of a csymbol element is tagged using presentation tags, that presentation is used. If no such tagging is supplied then the text content is rendered as if it were the content of an mi element. In particular if an application supports bidirectional text rendering, then the rendering follows the Unicode bidirectional rendering.

4.2.4 String Literals <cs>

Schema Fragment (Strict) Schema Fragment (Full)
Class Cs Cs
Attributes CommonAtt CommonAtt, DefEncAtt
Content text text

The cs element encodes string literals which may be used in Content MathML expressions.

The content of cs is text; no Presentation MathML constructs are allowed even when used in non-strict markup. Specifically, cs may not contain mglyph elements, and the content does not undergo white space normalization.

Content MathML

<set>
  <cs>A</cs><cs>B</cs><cs>  </cs>
</set>

Sample Presentation

<mrow>
  <mo>{</mo>
  <ms>A</ms>
  <mo>,</mo>
  <ms>B</ms>
  <mo>,</mo>
  <ms>&#xa0;&#xa0;</ms>
  <mo>}</mo>
</mrow>
{ A , B ,    }

4.2.5 Function Application <apply>

Schema Fragment (Strict) Schema Fragment (Full)
Class Apply Apply
Attributes CommonAtt CommonAtt, DefEncAtt
Content ContExp+ ContExp+ | (ContExp, BvarQ, Qualifier?, ContExp*)

The most fundamental way of building a compound object in mathematics is by applying a function or an operator to some arguments.

4.2.5.1 Strict Content MathML

In MathML, the apply element is used to build an expression tree that represents the application of a function or operator to its arguments. The resulting tree corresponds to a complete mathematical expression. Roughly speaking, this means a piece of mathematics that could be surrounded by parentheses or logical brackets without changing its meaning.

For example, (x + y) might be encoded as

<apply><csymbol cd="arith1">plus</csymbol><ci>x</ci><ci>y</ci></apply>

The opening and closing tags of apply specify exactly the scope of any operator or function. The most typical way of using apply is simple and recursive. Symbolically, the content model can be described as:

<apply> op [ a b ...] </apply>

where the operands a, b, ... are MathML expression trees themselves, and op is a MathML expression tree that represents an operator or function. Note that apply constructs can be nested to arbitrary depth.

An apply may in principle have any number of operands. For example, (x + y + z) can be encoded as

<apply><csymbol cd="arith1">plus</csymbol>
  <ci>x</ci>
  <ci>y</ci>
  <ci>z</ci>
</apply>

Note that MathML also allows applications without operands, e.g. to represent functions like random(), or current-date().

Mathematical expressions involving a mixture of operations result in nested occurrences of apply. For example, a x + b would be encoded as

<apply><csymbol cd="arith1">plus</csymbol>
  <apply><csymbol cd="arith1">times</csymbol>
    <ci>a</ci>
    <ci>x</ci>
  </apply>
  <ci>b</ci>
</apply>

There is no need to introduce parentheses or to resort to operator precedence in order to parse expressions correctly. The apply tags provide the proper grouping for the re-use of the expressions within other constructs. Any expression enclosed by an apply element is well-defined, coherent object whose interpretation does not depend on the surrounding context. This is in sharp contrast to presentation markup, where the same expression may have very different meanings in different contexts. For example, an expression with a visual rendering such as (F+G)(x) might be a product, as in

<apply><csymbol cd="arith1">times</csymbol>
  <apply><csymbol cd="arith1">plus</csymbol>
    <ci>F</ci>
    <ci>G</ci>
  </apply>
  <ci>x</ci>
</apply>

or it might indicate the application of the function F + G to the argument x. This is indicated by constructing the sum

<apply><csymbol cd="arith1">plus</csymbol><ci>F</ci><ci>G</ci></apply>

and applying it to the argument x as in

<apply>
  <apply><csymbol cd="arith1">plus</csymbol>
    <ci>F</ci>
    <ci>G</ci>
  </apply>
  <ci>x</ci>
</apply>

In both cases, the interpretation of the outer apply is explicit and unambiguous, and does not change regardless of where the expression is used.

The preceding example also illustrates that in an apply construct, both the function and the arguments may be simple identifiers or more complicated expressions.

The apply element is conceptually necessary in order to distinguish between a function or operator, and an instance of its use. The expression constructed by applying a function to 0 or more arguments is always an element from the codomain of the function. Proper usage depends on the operator that is being applied. For example, the plus operator may have zero or more arguments, while the minus operator requires one or two arguments in order to be properly formed.

4.2.5.2 Rendering Applications

Strict Content MathML applications are rendered as mathematical function applications. If <mi>F</mi> denotes the rendering of <ci>f</ci> and <mi>Ai</mi> the rendering of <ci>ai</ci>, the sample rendering of a simple application is as follows:

Content MathML

<apply><ci>f</ci>
  <ci>a1</ci>
  <ci>a2</ci>
  <ci>...</ci>
  <ci>an</ci>
</apply>

Sample Presentation

<mrow>
  <mi>F</mi>
  <mo>&#x2061;<!--ApplyFunction--></mo>
  <mrow>
    <mo fence="true">(</mo>
    <mi>A1</mi>
    <mo separator="true">,</mo>
    <mi>...</mi>
    <mo separator="true">,</mo>
    <mi>A2</mi>
    <mo separator="true">,</mo>
    <mi>An</mi>
    <mo fence="true">)</mo>
  </mrow>
</mrow>
F ( A1 , ... , A2 , An )

Non-Strict MathML applications may also be used with qualifiers. In the absence of any more specific rendering rules for well-known operators, rendering should follow the sample presentation below, motivated by the typical presentation for sum. Let <mi>Op</mi> denote the rendering of <ci>op</ci>, <mi>X</mi> the rendering of <ci>x</ci>, and so on. Then:

Content MathML

<apply><ci>op</ci>
  <bvar><ci>x</ci></bvar>
  <domainofapplication><ci>d</ci></domainofapplication>
  <ci>expression-in-x</ci>
</apply>

Sample Presentation

<mrow>
  <munder>
    <mi>Op</mi>
    <mrow><mi>X</mi><mo></mo><mi>D</mi></mrow>
  </munder>
  <mo>&#x2061;<!--ApplyFunction--></mo>
  <mrow>
    <mo fence="true">(</mo>
    <mi>Expression-in-X</mi>
    <mo fence="true">)</mo>
  </mrow>
</mrow>
Op XD ( Expression-in-X )

4.2.6 Bindings and Bound Variables <bind> and <bvar>

Many complex mathematical expressions are constructed with the use of bound variables, and bound variables are an important concept of logic and formal languages. Variables become bound in the scope of an expression through the use of a quantifier. Informally, they can be thought of as the dummy variables in expressions such as integrals, sums, products, and the logical quantifiers for all and there exists. A bound variable is characterized by the property that systematically renaming the variable (to a name not already appearing in the expression) does not change the meaning of the expression.

4.2.6.1 Bindings
Schema Fragment (Strict) Schema Fragment (Full)
Class Bind Bind
Attributes CommonAtt CommonAtt, DefEncAtt
Content ContExp, BvarQ*, ContExp ContExp, BvarQ*, Qualifier*, ContExp+

Binding expressions are represented as MathML expression trees using the bind element. Its first child is a MathML expression that represents a binding operator, for example integral operator. This is followed by a non-empty list of bvar elements denoting the bound variables, and then the final child which is a general Content MathML expression, known as the body of the binding.

4.2.6.2 Bound Variables
Schema Fragment (Strict) Schema Fragment (Full)
Class BVar BVar
Attributes CommonAtt CommonAtt, DefEncAtt
Content ci | semantics-ci (ci | semantics-ci), degree? | degree?, (ci | semantics-ci)

The bvar element is used to denote the bound variable of a binding expression, e.g. in sums, products, and quantifiers or user defined functions.

The content of a bvar element is an annotated variable, i.e. either a content identifier represented by a ci element or a semantics element whose first child is an annotated variable. The name of an annotated variable of the second kind is the name of its first child. The name of a bound variable is that of the annotated variable in the bvar element.

Bound variables are identified by comparing their names. Such identification can be made explicit by placing an id on the ci element in the bvar element and referring to it using the xref attribute on all other instances. An example of this approach is

<bind><csymbol cd="quant1">forall</csymbol>
  <bvar><ci id="var-x">x</ci></bvar>
  <apply><csymbol cd="relation1">lt</csymbol>
    <ci xref="var-x">x</ci>
    <cn>1</cn>
  </apply>
</bind>

This id based approach is especially helpful when constructions involving bound variables are nested.

It is sometimes necessary to associate additional information with a bound variable. The information might be something like a detailed mathematical type, an alternative presentation or encoding or a domain of application. Such associations are accomplished in the standard way by replacing a ci element (even inside the bvar element) by a semantics element containing both the ci and the additional information. Recognition of an instance of the bound variable is still based on the actual ci elements and not the semantics elements or anything else they may contain. The id-based approach outlined above may still be used.

The following example encodes x.x+y=y+x.

<bind><csymbol cd="quant1">forall</csymbol>
  <bvar><ci>x</ci></bvar>
  <apply><csymbol cd="relation1">eq</csymbol>
    <apply><csymbol cd="arith1">plus</csymbol><ci>x</ci><ci>y</ci></apply>
    <apply><csymbol cd="arith1">plus</csymbol><ci>y</ci><ci>x</ci></apply>
  </apply>
</bind>

In non-Strict Content markup, the bvar element is used in a number of idiomatic constructs. These are described in 4.3.3 Qualifiers and 4.3 Content MathML for Specific Structures.

4.2.6.3 Renaming Bound Variables

It is a defining property of bound variables that they can be renamed consistently in the scope of their parent bind element. This operation, sometimes known as α-conversion, preserves the semantics of the expression.

A bound variable x may be renamed to say y so long as y does not occur free in the body of the binding, or in any annotations of the bound variable, x to be renamed, or later bound variables.

If a bound variable x is renamed, all free occurrences of x in annotations in its bvar element, any following bvar children of the bind and in the expression in the body of the bind should be renamed.

In the example in the previous section, note how renaming x to z produces the equivalent expression z.z+y=y+z, whereas x may not be renamed to y, as y is free in the body of the binding and would be captured, producing the expression y.y+y=y+y which is not equivalent to the original expression.

4.2.6.4 Rendering Binding Constructions

If <ci>b</ci> and <ci>s</ci> are Content MathML expressions that render as the Presentation MathML expressions <mi>B</mi> and <mi>S</mi> then the sample rendering of a binding element is as follows:

Content MathML

<bind><ci>b</ci>
  <bvar><ci>x1</ci></bvar>
  <bvar><ci>...</ci></bvar>
  <bvar><ci>xn</ci></bvar>
  <ci>s</ci>
</bind>

Sample Presentation

<mrow>
  <mi>B</mi>
  <mrow>
    <mi>x1</mi>
    <mo separator="true">,</mo>
    <mi>...</mi>
    <mo separator="true">,</mo>
    <mi>xn</mi>
  </mrow>
  <mo separator="true">.</mo>
  <mi>S</mi>
</mrow>
B x1 , ... , xn . S

4.2.7 Structure Sharing <share>

To conserve space in the XML encoding, MathML expression trees can make use of structure sharing.

4.2.7.1 The share element
Schema Fragment
Class Share
Attributes CommonAtt, src
src Attribute Values URI
Content Empty

The share element has an src attribute used to reference a MathML expression tree. The value of the src attribute is a URI specifying the id attribute of the root node of the expression tree. When building a MathML expression tree, the share element is equivalent to a copy of the MathML expression tree referenced by the src attribute. Note that this copy is structurally equal, but not identical to the element referenced. The values of the share will often be relative URI references, in which case they are resolved using the base URI of the document containing the share element.

For instance, the mathematical object f(f(f(a,a),f(a,a)),f(f(a,a),f(a,a))) can be encoded as either one of the following representations (and some intermediate versions as well).

<apply><ci>f</ci>
  <apply><ci>f</ci>
    <apply><ci>f</ci>
      <ci>a</ci>
      <ci>a</ci>
    </apply>
    <apply><ci>f</ci>
      <ci>a</ci>
      <ci>a</ci>
    </apply>
  </apply>
  <apply><ci>f</ci>
    <apply><ci>f</ci>
      <ci>a</ci>
      <ci>a</ci>
    </apply>
    <apply><ci>f</ci>
      <ci>a</ci>
      <ci>a</ci>
    </apply>
  </apply>
</apply>
<apply><ci>f</ci>
  <apply id="t1"><ci>f</ci>
    <apply id="t11"><ci>f</ci>
      <ci>a</ci>
      <ci>a</ci>
    </apply>
    <share src="#t11"/>



  </apply>
  <share src="#t1"/>









</apply>
4.2.7.2 An Acyclicity Constraint

Say that an element dominates all its children and all elements they dominate. Say also that a share element dominates its target, i.e. the element that carries the id attribute pointed to by the src attribute. For instance in the representation on the right above, the apply element with id="t1" and also the second share (with src="t11") both dominate the apply element with id="t11".

The occurrences of the share element must obey the following global acyclicity constraint: An element may not dominate itself. For example, the following representation violates this constraint:

<apply id="badid1"><csymbol cd="arith1">divide</csymbol>
  <cn>1</cn>
  <apply><csymbol cd="arith1">plus</csymbol>
    <cn>1</cn>
    <share src="#badid1"/>
  </apply>
</apply>

Here, the apply element with id="badid1" dominates its third child, which dominates the share element, which dominates its target: the element with id="badid1". So by transitivity, this element dominates itself. By the acyclicity constraint, the example is not a valid MathML expression tree. It might be argued that such an expression could be given the interpretation of the continued fraction 1/(1+1/(1+ . However, the procedure of building an expression tree by replacing share element does not terminate for such an expression, and hence such expressions are not allowed by Content MathML.

Note that the acyclicity constraint is not restricted to such simple cases, as the following example shows:

<apply id="bar">                        <apply id="baz">
  <csymbol cd="arith1">plus</csymbol>     <csymbol cd="arith1">plus</csymbol>
  <cn>1</cn>                              <cn>1</cn>
  <share src="#baz"/>                    <share src="#bar"/>
</apply>                                </apply>

Here, the apply with id="bar" dominates its third child, the share with src="#baz". That element dominates its target apply (with id="baz"), which in turn dominates its third child, the share with src="#bar". Finally, the share with src="#bar" dominates its target, the original apply element with id="bar". So this pair of representations ultimately violates the acyclicity constraint.

4.2.7.3 Structure Sharing and Binding

Note that the share element is a syntactic referencing mechanism: a share element stands for the exact element it points to. In particular, referencing does not interact with binding in a semantically intuitive way, since it allows a phenomenon called variable capture to occur. Consider an example:

<bind id="outer"><csymbol cd="fns1">lambda</csymbol>
  <bvar><ci>x</ci></bvar>
  <apply><ci>f</ci>
    <bind id="inner"><csymbol cd="fns1">lambda</csymbol>
      <bvar><ci>x</ci></bvar>
      <share id="copy" src="#orig"/>
    </bind>
    <apply id="orig"><ci>g</ci><ci>x</ci></apply>
  </apply>
</bind>

This represents a term λx. f( λx.g(x) , g(x) ) which has two sub-terms of the form g(x) , one with id="orig" (the one explicitly represented) and one with id="copy", represented by the share element. In the original, explicitly-represented term, the variable x is bound by the outer bind element. However, in the copy, the variable x is bound by the inner bind element. One says that the inner bind has captured the variable x.

Using references that capture variables in this way can easily lead to representation errors, and is not recommended. For instance, using α-conversion to rename the inner occurrence of x into, say, y leads to the semantically equivalent expression λx. f( λy.g(y) , g(x) ) . However, in this form, it is no longer possible to share the expression g(x) . Replacing x with y in the inner bvar without replacing the share element results in a change in semantics.

4.2.7.4 Rendering Expressions with Structure Sharing

There are several acceptable renderings for the share element. These include rendering the element as a hypertext link to the referenced element and using the rendering of the element referenced by the src attribute.

4.2.8 Attribution via semantics

Content elements can be annotated with additional information via the semantics element. MathML uses the semantics element to wrap the annotated element and the annotation-xml and annotation elements used for representing the annotations themselves. The use of the semantics, annotation and annotation-xml is described in detail in 6. Annotating MathML: semantics.

The semantics element is considered part of both presentation MathML and Content MathML. MathML considers a semantics element (strict) Content MathML, if and only if its first child is (strict) Content MathML.

4.2.9 Error Markup <cerror>

Schema Fragment (Strict) Schema Fragment (Full)
Class Error Error
Attributes CommonAtt CommonAtt, DefEncAtt
Content csymbol, ContExp* csymbol, ContExp*

A content error expression is made up of a csymbol followed by a sequence of zero or more MathML expressions. The initial expression must be a csymbol indicating the kind of error. Subsequent children, if present, indicate the context in which the error occurred.

The cerror element has no direct mathematical meaning. Errors occur as the result of some action performed on an expression tree and are thus of real interest only when some sort of communication is taking place. Errors may occur inside other objects and also inside other errors.

As an example, to encode a division by zero error, one might employ a hypothetical aritherror Content Dictionary containing a DivisionByZero symbol, as in the following expression:

<cerror>
  <csymbol cd="aritherror">DivisionByZero</csymbol>
  <apply><csymbol cd="arith1">divide</csymbol><ci>x</ci><cn>0</cn></apply>
</cerror>

Note that error markup generally should enclose only the smallest erroneous sub-expression. Thus a cerror will often be a sub-expression of a bigger one, e.g.

<apply><csymbol cd="relation1">eq</csymbol>
  <cerror>
    <csymbol cd="aritherror">DivisionByZero</csymbol>
    <apply><csymbol cd="arith1">divide</csymbol><ci>x</ci><cn>0</cn></apply>
  </cerror>
  <cn>0</cn>
</apply>

The default presentation of a cerror element is an merror expression whose first child is a presentation of the error symbol, and whose subsequent children are the default presentations of the remaining children of the cerror. In particular, if one of the remaining children of the cerror is a presentation MathML expression, it is used literally in the corresponding merror.

<cerror>
  <csymbol cd="aritherror">DivisionByZero</csymbol>
  <apply><csymbol cd="arith1">divide</csymbol><ci>x</ci><cn>0</cn></apply>
</cerror>

Sample Presentation

<merror>
  <mtext>DivisionByZero:&#160;</mtext>
  <mfrac><mi>x</mi><mn>0</mn></mfrac>
</merror>
DivisionByZero:  x0

Note that when the context where an error occurs is so nonsensical that its default presentation would not be useful, an application may provide an alternative representation of the error context. For example:

<cerror>
  <csymbol cd="error">Illegal bound variable</csymbol>
  <cs> &lt;bvar&gt;&lt;plus/&gt;&lt;/bvar&gt; </cs>
</cerror>

4.2.10 Encoded Bytes <cbytes>

Schema Fragment (Strict) Schema Fragment (Full)
Class Cbytes Cbytes
Attributes CommonAtt CommonAtt, DefEncAtt
Content base64 base64

The content of cbytes represents a stream of bytes as a sequence of characters in Base64 encoding, that is it matches the base64Binary data type defined in [XMLSchemaDatatypes]. All white space is ignored.

The cbytes element is mainly used for OpenMath compatibility, but may be used, as in OpenMath, to encapsulate output from a system that may be hard to encode in MathML, such as binary data relating to the internal state of a system, or image data.

The rendering of cbytes is not expected to represent the content and the proposed rendering is that of an empty mrow. Typically cbytes is used in an annotation-xml or is itself annotated with Presentation MathML, so this default rendering should rarely be used.

4.3 Content MathML for Specific Structures

The elements of Strict Content MathML described in the previous section are sufficient to encode logical assertions and expression structure, and they do so in a way that closely models the standard constructions of mathematical logic that underlie the foundations of mathematics. As a consequence, Strict markup can be used to represent all of mathematics, and is ideal for providing consistent mathematical semantics for all Content MathML expressions.

At the same time, many notational idioms of mathematics are not straightforward to represent directly with Strict Content markup. For example, standard notations for sums, integrals, sets, piecewise functions and many other common constructions require non-obvious technical devices, such as the introduction of lambda functions, to rigorously encode them using Strict markup. Consequently, in order to make Content MathML easier to use, a range of additional elements have been provided for encoding such idiomatic constructs more directly. This section discusses the general approach for encoding such idiomatic constructs, and their Strict Content equivalents. Specific constructions are discussed in detail in 4.3 Content MathML for Specific Structures.

Most idiomatic constructions which Content markup addresses fall into about a dozen classes. Some of these classes, such as container elements, have their own syntax. Similarly, a small number of non-Strict constructions involve a single element with an exceptional syntax, for example partialdiff. These exceptional elements are discussed on a case-by-case basis in 4.3 Content MathML for Specific Structures. However, the majority of constructs consist of classes of operator elements which all share a particular usage of qualifiers. These classes of operators are described in 4.3.4 Operator Classes.

In all cases, non-Strict expressions may be rewritten using only Strict markup. In most cases, the transformation is completely algorithmic, and may be automated. Rewrite rules for classes of non-Strict constructions are introduced and discussed later in this section, and rewrite rules for exceptional constructs involving a single operator are given in 4.3 Content MathML for Specific Structures. The complete algorithm for rewriting arbitrary Content MathML as Strict Content markup is summarized at the end of the Chapter in F. The Strict Content MathML Transformation.

4.3.1 Container Markup

Many mathematical structures are constructed from subparts or parameters. For example, a set is a mathematical object that contains a collection of elements, so it is natural for the markup for a set to contain the markup for its constituent elements. The markup for a set may define the set of elements explicitly by enumerating them, or implicitly by rule that uses qualifier elements. In either case, the markup for the elements is contained in the markup for the set, and this style of representation is called container markup in MathML. By contrast, Strict markup represents an instance of a set as the result of applying a function or constructor symbol to arguments. In this style of markup, the markup for the set construction is a sibling of the markup for the set elements in an enclosing apply element.

MathML provides container markup for the following mathematical constructs: sets, lists, intervals, vectors, matrices (two elements), piecewise functions (three elements) and lambda functions. There are corresponding constructor symbols in Strict markup for each of these, with the exception of lambda functions, which correspond to binding symbols in Strict markup.

The rewrite rules for obtaining equivalent Strict Content markup from container markup depend on the operator class of the particular operator involved. For details about a specific container element, obtain its operator class (and any applicable special case information) by consulting the syntax table and discussion for that element in E. The Content MathML Operators. Then apply the rewrite rules for that specific operator class as described in F. The Strict Content MathML Transformation.

4.3.1.1 Container Markup for Constructor Symbols

The arguments to container elements that correspond to constructors may be explicitly given as a sequence of child elements, or implicitly given by a rule using qualifiers. The exceptions are the interval, piecewise, piece, and otherwise elements. The arguments of these elements must be specified explicitly.

Here is an example of container markup with explicitly specified arguments:

<set><ci>a</ci><ci>b</ci><ci>c</ci></set>

This is equivalent to the following Strict Content MathML expression:

<apply><csymbol cd="set1">set</csymbol><ci>a</ci><ci>b</ci><ci>c</ci></apply>

Another example of container markup, where the list of arguments is given indirectly as an expression with a bound variable. The container markup for the set of even integers is:

<set>
  <bvar><ci>x</ci></bvar>
  <domainofapplication><integers/></domainofapplication>
  <apply><times/><cn>2</cn><ci>x</ci></apply>
</set>

This may be written as follows in Strict Content MathML:

<apply><csymbol cd="set1">map</csymbol>
  <bind><csymbol cd="fns1">lambda</csymbol>
    <bvar><ci>x</ci></bvar>
    <apply><csymbol cd="arith1">times</csymbol>
      <cn>2</cn>
      <ci>x</ci>
    </apply>
  </bind>
  <csymbol cd="setname1">Z</csymbol>
</apply>
4.3.1.2 Container Markup for Binding Constructors

The lambda element is a container element corresponding to the lambda symbol in the fns1 Content Dictionary. However, unlike the container elements of the preceding section, which purely construct mathematical objects from arguments, the lambda element performs variable binding as well. Therefore, the child elements of lambda have distinguished roles. In particular, a lambda element must have at least one bvar child, optionally followed by qualifier elements, followed by a Content MathML element. This basic difference between the lambda container and the other constructor container elements is also reflected in the OpenMath symbols to which they correspond. The constructor symbols have an OpenMath role of application, while the lambda symbol has a role of bind.

This example shows the use of lambda container element and the equivalent use of bind in Strict Content MathML

<lambda><bvar><ci>x</ci></bvar><ci>x</ci></lambda>
<bind><csymbol cd="fns1">lambda</csymbol>
  <bvar><ci>x</ci></bvar><ci>x</ci>
</bind>

4.3.2 Bindings with <apply>

MathML allows the use of the apply element to perform variable binding in non-Strict constructions instead of the bind element. This usage conserves backwards compatibility with MathML 2. It also simplifies the encoding of several constructs involving bound variables with qualifiers as described below.

Use of the apply element to bind variables is allowed in two situations. First, when the operator to be applied is itself a binding operator, the apply element merely substitutes for the bind element. The logical quantifiers <forall/>, <exists/> and the container element lambda are the primary examples of this type.

The second situation arises when the operator being applied allows the use of bound variables with qualifiers. The most common examples are sums and integrals. In most of these cases, the variable binding is to some extent implicit in the notation, and the equivalent Strict representation requires the introduction of auxiliary constructs such as lambda expressions for formal correctness.

Because expressions using bound variables with qualifiers are idiomatic in nature, and do not always involve true variable binding, one cannot expect systematic renaming (alpha-conversion) of variables bound with apply to preserve meaning in all cases. An example for this is the diff element where the bvar term is technically not bound at all.

The following example illustrates the use of apply with a binding operator. In these cases, the corresponding Strict equivalent merely replaces the apply element with a bind element:

<apply><forall/>
  <bvar><ci>x</ci></bvar>
  <apply><geq/><ci>x</ci><ci>x</ci></apply>
</apply>

The equivalent Strict expression is:

<bind><csymbol cd="logic1">forall</csymbol>
  <bvar><ci>x</ci></bvar>
  <apply><csymbol cd="relation1">geq</csymbol><ci>x</ci><ci>x</ci></apply>
</bind>

In this example, the sum operator is not itself a binding operator, but bound variables with qualifiers are implicit in the standard notation, which is reflected in the non-Strict markup. In the equivalent Strict representation, it is necessary to convert the summand into a lambda expression, and recast the qualifiers as an argument expression:

<apply><sum/>
  <bvar><ci>i</ci></bvar>
  <lowlimit><cn>0</cn></lowlimit>
  <uplimit><cn>100</cn></uplimit>
  <apply><power/><ci>x</ci><ci>i</ci></apply>
</apply>

The equivalent Strict expression is:

<apply><csymbol cd="arith1">sum</csymbol>
  <apply><csymbol cd="interval1">integer_interval</csymbol>
    <cn>0</cn>
    <cn>100</cn>
  </apply>
  <bind><csymbol cd="fns1">lambda</csymbol>
    <bvar><ci>i</ci></bvar>
    <apply><csymbol cd="arith1">power</csymbol>
      <ci>x</ci>
      <ci>i</ci>
    </apply>
  </bind>
</apply>

4.3.3 Qualifiers

Many common mathematical constructs involve an operator together with some additional data. The additional data is either implicit in conventional notation, such as a bound variable, or thought of as part of the operator, as is the case with the limits of a definite integral. MathML 3 uses qualifier elements to represent the additional data in such cases.

Qualifier elements are always used in conjunction with operator or container elements. Their meaning is idiomatic, and depends on the context in which they are used. When used with an operator, qualifiers always follow the operator and precede any arguments that are present. In all cases, if more than one qualifier is present, they appear in the order bvar, lowlimit, uplimit, interval, condition, domainofapplication, degree, momentabout, logbase.

The precise function of qualifier elements depends on the operator or container that they modify. The majority of use cases fall into one of several categories, discussed below, and usage notes for specific operators and qualifiers are given in 4.3 Content MathML for Specific Structures.

4.3.3.1 Uses of <domainofapplication>, <interval>, <condition>, <lowlimit> and <uplimit>
Class qualifier
Attributes CommonAtt
Content ContExp

(For the syntax of interval see 4.3.10.3 Interval <interval>.)

The primary use of domainofapplication, interval, uplimit, lowlimit and condition is to restrict the values of a bound variable. The most general qualifier is domainofapplication. It is used to specify a set (perhaps with additional structure, such as an ordering or metric) over which an operation is to take place. The interval qualifier, and the pair lowlimit and uplimit also restrict a bound variable to a set in the special case where the set is an interval. Note that interval is only interpreted as a qualifier if it immediately follows bvar. The condition qualifier, like domainofapplication, is general, and can be used to restrict bound variables to arbitrary sets. However, unlike the other qualifiers, it restricts the bound variable by specifying a Boolean-valued function of the bound variable. Thus, condition qualifiers always contain instances of the bound variable, and thus require a preceding bvar, while the other qualifiers do not. The other qualifiers may even be used when no variables are being bound, e.g. to indicate the restriction of a function to a subdomain.

In most cases, any of the qualifiers capable of representing the domain of interest can be used interchangeably. The most general qualifier is domainofapplication, and therefore has a privileged role. It is the preferred form, unless there are particular idiomatic reasons to use one of the other qualifiers, e.g. limits for an integral. In MathML 3, the other forms are treated as shorthand notations for domainofapplication because they may all be rewritten as equivalent domainofapplication constructions. The rewrite rules to do this are given below. The other qualifier elements are provided because they correspond to common notations and map more easily to familiar presentations. Therefore, in the situations where they naturally arise, they may be more convenient and direct than domainofapplication.

To illustrate these ideas, consider the following examples showing alternative representations of a definite integral. Let C denote the interval from 0 to 1, and f(x) = x2. Then domainofapplication could be used to express the integral of a function f over C in this way:

<apply><int/>
  <domainofapplication>
    <ci type="set">C</ci>
  </domainofapplication>
  <ci type="function">f</ci>
</apply>

Note that no explicit bound variable is identified in this encoding, and the integrand is a function. Alternatively, the interval qualifier could be used with an explicit bound variable:

<apply><int/>
  <bvar><ci>x</ci></bvar>
  <interval><cn>0</cn><cn>1</cn></interval>
  <apply><power/><ci>x</ci><cn>2</cn></apply>
</apply>

The pair lowlimit and uplimit can also be used. This is perhaps the most standard representation of this integral:

<apply><int/>
  <bvar><ci>x</ci></bvar>
  <lowlimit><cn>0</cn></lowlimit>
  <uplimit><cn>1</cn></uplimit>
  <apply><power/><ci>x</ci><cn>2</cn></apply>
</apply>

Finally, here is the same integral, represented using a condition on the bound variable:

<apply><int/>
  <bvar><ci>x</ci></bvar>
  <condition>
    <apply><and/>
      <apply><leq/><cn>0</cn><ci>x</ci></apply>
      <apply><leq/><ci>x</ci><cn>1</cn></apply>
    </apply>
  </condition>
  <apply><power/><ci>x</ci><cn>2</cn></apply>
</apply>

Note the use of the explicit bound variable within the condition term. Note also that when a bound variable is used, the integrand is an expression in the bound variable, not a function.

The general technique of using a condition element together with domainofapplication is quite powerful. For example, to extend the previous example to a multivariate domain, one may use an extra bound variable and a domain of application corresponding to a cartesian product:

<apply><int/>
  <bvar><ci>x</ci></bvar>
  <bvar><ci>y</ci></bvar>
  <domainofapplication>
    <set>
      <bvar><ci>t</ci></bvar>
      <bvar><ci>u</ci></bvar>
      <condition>
        <apply><and/>
          <apply><leq/><cn>0</cn><ci>t</ci></apply>
          <apply><leq/><ci>t</ci><cn>1</cn></apply>
          <apply><leq/><cn>0</cn><ci>u</ci></apply>
          <apply><leq/><ci>u</ci><cn>1</cn></apply>
        </apply>
      </condition>
      <list><ci>t</ci><ci>u</ci></list>
    </set>
  </domainofapplication>
  <apply><times/>
    <apply><power/><ci>x</ci><cn>2</cn></apply>
    <apply><power/><ci>y</ci><cn>3</cn></apply>
  </apply>
</apply>

Note that the order of the inner and outer bound variables is significant.

4.3.3.2 Uses of <degree>
Class qualifier
Attributes CommonAtt
Content ContExp

The degree element is a qualifier used to specify the degree or order of an operation. MathML uses the degree element in this way in three contexts: to specify the degree of a root, a moment, and in various derivatives. Rather than introduce special elements for each of these families, MathML provides a single general construct, the degree element in all three cases.

Note that the degree qualifier is not used to restrict a bound variable in the same sense of the qualifiers discussed above. Indeed, with roots and moments, no bound variable is involved at all, either explicitly or implicitly. In the case of differentiation, the degree element is used in conjunction with a bvar, but even in these cases, the variable may not be genuinely bound.

For the usage of degree with the root and moment operators, see the discussion of those operators below. The usage of degree in differentiation is more complex. In general, the degree element indicates the order of the derivative with respect to that variable. The degree element is allowed as the second child of a bvar element identifying a variable with respect to which the derivative is being taken. Here is an example of a second derivative using the degree qualifier:

<apply><diff/>
  <bvar>
    <ci>x</ci>
    <degree><cn>2</cn></degree>
  </bvar>
  <apply><power/><ci>x</ci><cn>4</cn></apply>
</apply>

For details see 4.3.8.2 Differentiation <diff/> and 4.3.8.3 Partial Differentiation <partialdiff/>.

4.3.3.3 Uses of <momentabout> and <logbase>

The qualifiers momentabout and logbase are specialized elements specifically for use with the moment and log operators respectively. See the descriptions of those operators below for their usage.

4.3.4 Operator Classes

The Content MathML elements described in detail in the following sections may be broadly separated into classes. The class of each element is listed in the operator syntax table given in E.3 The Content MathML Operators. The class gives an indication of the general intended mathematical usage of the element, and also determines its usage as determined by the schema. Links to the operator syntax and schema class for each element are provided in the sections that introduce the elements.

The operator class also determines the applicable rewrite rules for mapping to Strict Content MathML. These rewrite rules are presented in detail in F. The Strict Content MathML Transformation. They include use cases applicable to specific operator classes, special-case rewrite rules for individual elements, and a generic rewrite rule F.8 Rewrite operators used by operators from almost all operator classes.

The following sections present elements representing a core set of mathematical operators, functions and constants. Most are empty elements, covering the subject matter of standard mathematics curricula up to the level of calculus. The remaining elements are container elements for sets, intervals, vectors and so on. For brevity, all elements defined in this section are sometimes called operator elements.

4.3.5 N-ary Operators

Many MathML operators may be used with an arbitrary number of arguments. The corresponding OpenMath symbols for elements in these classes also take an arbitrary number of arguments. In all such cases, either the arguments may be given explicitly as children of the apply or bind element, or the list may be specified implicitly via the use of qualifier elements.

4.3.5.1 N-ary Arithmetic Operators: <plus/>, <times/>, <gcd/>, <lcm/>

Operator Syntax, Schema Class

The plus and times elements represent the addition and multiplication operators. The arguments are normally specified explicitly in the enclosing apply element. As an n-ary commutative operator, they can be used with qualifiers to specify arguments, however, this is discouraged, and the sum or product operators should be used to represent such expressions instead.

4.3.5.1.1 Example

Content MathML

<apply><plus/><ci>x</ci><ci>y</ci><ci>z</ci></apply>

Sample Presentation

<mrow><mi>x</mi><mo>+</mo><mi>y</mi><mo>+</mo><mi>z</mi></mrow>
x+y+z

The gcd and lcm elements represent the n-ary operators which return the greatest common divisor, or least common multiple of their arguments. The arguments may be explicitly specified in the enclosing apply element, or specified by quantifiers.

This default renderings are English-language locale specific: other locales may have different default renderings.

4.3.5.1.2 Example

Content MathML

<apply><gcd/><ci>a</ci><ci>b</ci><ci>c</ci></apply>

Sample Presentation

<mrow>
  <mi>gcd</mi>
  <mo>&#x2061;<!--ApplyFunction--></mo>
  <mrow><mo>(</mo><mi>a</mi><mo>,</mo><mi>b</mi><mo>,</mo><mi>c</mi><mo>)</mo></mrow>
</mrow>
gcd (a,b,c)
4.3.5.2 N-ary Sum <sum/>

Operator Syntax, Schema Class

The sum element represents the n-ary addition operator. The terms of the sum are normally specified by rule through the use of qualifiers. While it can be used with an explicit list of arguments, this is strongly discouraged, and the plus operator should be used instead in such situations.

The sum operator may be used either with or without explicit bound variables. When a bound variable is used, the sum element is followed by one or more bvar elements giving the index variables, followed by qualifiers giving the domain for the index variables. The final child in the enclosing apply is then an expression in the bound variables, and the terms of the sum are obtained by evaluating this expression at each point of the domain of the index variables. Depending on the structure of the domain, the domain of summation is often given by using uplimit and lowlimit to specify upper and lower limits for the sum.

When no bound variables are explicitly given, the final child of the enclosing apply element must be a function, and the terms of the sum are obtained by evaluating the function at each point of the domain specified by qualifiers.

4.3.5.2.1 Examples

Content MathML

<apply><sum/>
  <bvar><ci>x</ci></bvar>
  <lowlimit><ci>a</ci></lowlimit>
  <uplimit><ci>b</ci></uplimit>
  <apply><ci>f</ci><ci>x</ci></apply>
</apply>
<apply><sum/>
  <bvar><ci>x</ci></bvar>
  <condition>
    <apply><in/><ci>x</ci><ci type="set">B</ci></apply>
  </condition>
  <apply><ci type="function">f</ci><ci>x</ci></apply>
</apply>
<apply><sum/>
  <domainofapplication>
    <ci type="set">B</ci>
  </domainofapplication>
  <ci type="function">f</ci>
</apply>

Sample Presentation

<mrow>
  <munderover>
    <mo></mo>
    <mrow><mi>x</mi><mo>=</mo><mi>a</mi></mrow>
    <mi>b</mi>
  </munderover>
  <mrow><mi>f</mi><mo>&#x2061;<!--ApplyFunction--></mo><mrow><mo>(</mo><mi>x</mi><mo>)</mo></mrow></mrow>
</mrow>
x=a b f(x)
<mrow>
  <munder>
    <mo></mo>
    <mrow><mi>x</mi><mo></mo><mi>B</mi></mrow>
  </munder>
  <mrow><mi>f</mi><mo>&#x2061;<!--ApplyFunction--></mo><mrow><mo>(</mo><mi>x</mi><mo>)</mo></mrow></mrow>
</mrow>
xB f(x)
<mrow><munder><mo></mo><mi>B</mi></munder><mi>f</mi></mrow>
Bf
4.3.5.3 N-ary Product <product/>

Operator Syntax, Schema Class

The product element represents the n-ary multiplication operator. The terms of the product are normally specified by rule through the use of qualifiers. While it can be used with an explicit list of arguments, this is strongly discouraged, and the times operator should be used instead in such situations.

The product operator may be used either with or without explicit bound variables. When a bound variable is used, the product element is followed by one or more bvar elements giving the index variables, followed by qualifiers giving the domain for the index variables. The final child in the enclosing apply is then an expression in the bound variables, and the terms of the product are obtained by evaluating this expression at each point of the domain. Depending on the structure of the domain, it is commonly given using uplimit and lowlimit qualifiers.

When no bound variables are explicitly given, the final child of the enclosing apply element must be a function, and the terms of the product are obtained by evaluating the function at each point of the domain specified by qualifiers.

4.3.5.3.1 Examples

Content MathML

<apply><product/>
  <bvar><ci>x</ci></bvar>
  <lowlimit><ci>a</ci></lowlimit>
  <uplimit><ci>b</ci></uplimit>
  <apply><ci type="function">f</ci>
    <ci>x</ci>
  </apply>
</apply>
<apply><product/>
  <bvar><ci>x</ci></bvar>
  <condition>
    <apply><in/>
      <ci>x</ci>
      <ci type="set">B</ci>
    </apply>
  </condition>
  <apply><ci>f</ci><ci>x</ci></apply>
</apply>

Sample Presentation

<mrow>
  <munderover>
    <mo></mo>
    <mrow><mi>x</mi><mo>=</mo><mi>a</mi></mrow>
    <mi>b</mi>
  </munderover>
  <mrow><mi>f</mi><mo>&#x2061;<!--ApplyFunction--></mo><mrow><mo>(</mo><mi>x</mi><mo>)</mo></mrow></mrow>
</mrow>
x=a b f(x)
<mrow>
  <munder>
    <mo></mo>
    <mrow><mi>x</mi><mo></mo><mi>B</mi></mrow>
  </munder>
  <mrow><mi>f</mi><mo>&#x2061;<!--ApplyFunction--></mo><mrow><mo>(</mo><mi>x</mi><mo>)</mo></mrow></mrow>
</mrow>
xB f(x)
4.3.5.4 N-ary Functional Operators: <compose/>

Operator Syntax, Schema Class

The compose element represents the function composition operator. Note that MathML makes no assumption about the domain and codomain of the constituent functions in a composition; the domain of the resulting composition may be empty.

The compose element is a commutative n-ary operator. Consequently, it may be lifted to the induced operator defined on a collection of arguments indexed by a (possibly infinite) set by using qualifier elements as described in 4.3.5.4 N-ary Functional Operators: <compose/>.

4.3.5.4.1 Examples

Content MathML

<apply><compose/><ci>f</ci><ci>g</ci><ci>h</ci></apply>
<apply><eq/>
  <apply>
    <apply><compose/><ci>f</ci><ci>g</ci></apply>
    <ci>x</ci>
  </apply>
  <apply><ci>f</ci><apply><ci>g</ci><ci>x</ci></apply></apply>
</apply>

Sample Presentation

<mrow>
  <mi>f</mi><mo></mo><mi>g</mi><mo></mo><mi>h</mi>
</mrow>
fgh
<mrow>
  <mrow>
    <mrow><mo>(</mo><mi>f</mi><mo></mo><mi>g</mi><mo>)</mo></mrow>
    <mo>&#x2061;<!--ApplyFunction--></mo>
    <mrow><mo>(</mo><mi>x</mi><mo>)</mo></mrow>
  </mrow>
  <mo>=</mo>
  <mrow>
    <mi>f</mi>
    <mo>&#x2061;<!--ApplyFunction--></mo>
    <mrow>
     <mo>(</mo>
      <mrow>
        <mi>g</mi>
        <mo>&#x2061;<!--ApplyFunction--></mo>
        <mrow><mo>(</mo><mi>x</mi><mo>)</mo></mrow>
      </mrow>
      <mo>)</mo>
    </mrow>
  </mrow>
</mrow>
(fg) (x) = f ( g (x) )
4.3.5.5 N-ary Logical Operators: <and/>, <or/>, <xor/>

Operator Syntax, Schema Class

These elements represent n-ary functions taking Boolean arguments and returning a Boolean value. The arguments may be explicitly specified in the enclosing apply element, or specified via qualifier elements.

and is true if all arguments are true, and false otherwise.
or is true if any of the arguments are true, and false otherwise.
xor is the logical exclusive or function. It is true if there are an odd number of true arguments or false otherwise.

4.3.5.5.1 Examples

Content MathML

<apply><and/><ci>a</ci><ci>b</ci></apply>
<apply><and/>
  <bvar><ci>i</ci></bvar>
  <lowlimit><cn>0</cn></lowlimit>
  <uplimit><ci>n</ci></uplimit>
  <apply><gt/><apply><selector/><ci>a</ci><ci>i</ci></apply><cn>0</cn></apply>
</apply>

Strict Content MathML

<apply><csymbol cd="logic1">and</csymbol><ci>a</ci><ci>b</ci></apply>
<apply><csymbol cd="fns2">apply_to_list</csymbol>
  <csymbol cd="logic1">and</csymbol>
  <apply><csymbol cd="list1">map</csymbol>
    <bind><csymbol cd="fns1">lambda</csymbol>
      <bvar><ci>i</ci></bvar>
      <apply><csymbol cd="relation1">gt</csymbol>
        <apply><csymbol cd="linalg1">vector_selector</csymbol>
          <ci>i</ci>
          <ci>a</ci>
        </apply>
        <cn>0</cn>
      </apply>
    </bind>
    <apply><csymbol cd="interval1">integer_interval</csymbol>
      <cn type="integer">0</cn>
      <ci>n</ci>
    </apply>
  </apply>
</apply>

Sample Presentation

<mrow><mi>a</mi><mo></mo><mi>b</mi></mrow>
ab
<mrow>
  <munderover>
    <mo></mo>
    <mrow><mi>i</mi><mo>=</mo><mn>0</mn></mrow>
    <mi>n</mi>
  </munderover>
  <mrow>
    <mo>(</mo>
    <msub><mi>a</mi><mi>i</mi></msub>
    <mo>&gt;</mo>
    <mn>0</mn>
    <mo>)</mo>
  </mrow>
</mrow>
i=0 n ( ai > 0 )
4.3.5.6 N-ary Linear Algebra Operators: <selector/>

Operator Syntax, Schema Class

The selector element is the operator for indexing into vectors, matrices and lists. It accepts one or more arguments. The first argument identifies the vector, matrix or list from which the selection is taking place, and the second and subsequent arguments, if any, indicate the kind of selection taking place.

When selector is used with a single argument, it should be interpreted as giving the sequence of all elements in the list, vector or matrix given. The ordering of elements in the sequence for a matrix is understood to be first by column, then by row; so the resulting list is of matrix rows given entry by entry. That is, for a matrix (ai,j), where the indices denote row and column, respectively, the ordering would be a1,1, a1,2, …, a2,1, a2,2, … etc.

When two arguments are given, and the first is a vector or list, the second argument specifies the index of an entry in the list or vector. If the first argument is a matrix then the second argument specifies the index of a matrix row.

When three arguments are given, the last one is ignored for a list or vector, and in the case of a matrix, the second and third arguments specify the row and column indices of the selected element.

4.3.5.6.1 Examples

Content MathML

<apply><selector/><ci type="vector">V</ci><cn>1</cn></apply>
<apply><eq/>
  <apply><selector/>
    <matrix>
      <matrixrow><cn>1</cn><cn>2</cn></matrixrow>
      <matrixrow><cn>3</cn><cn>4</cn></matrixrow>
    </matrix>
    <cn>1</cn>
  </apply>
  <matrix>
    <matrixrow><cn>1</cn><cn>2</cn></matrixrow>
  </matrix>
</apply>

Sample Presentation

<msub><mi>V</mi><mn>1</mn></msub>
V1
<mrow>
  <msub>
    <mrow>
      <mo>(</mo>
      <mtable>
        <mtr><mtd><mn>1</mn></mtd><mtd><mn>2</mn></mtd></mtr>
        <mtr><mtd><mn>3</mn></mtd><mtd><mn>4</mn></mtd></mtr>
      </mtable>
      <mo>)</mo>
    </mrow>
    <mn>1</mn>
  </msub>
  <mo>=</mo>
  <mrow>
    <mo>(</mo>
    <mtable><mtr><mtd><mn>1</mn></mtd><mtd><mn>2</mn></mtd></mtr></mtable>
    <mo>)</mo>
  </mrow>
</mrow>
( 12 34 ) 1 = ( 12 )
4.3.5.7 N-ary Set Operators: <union/>, <intersect/>, <cartesianproduct/>

Operator Syntax, Schema Class

The union element is used to denote the n-ary union of sets. It takes sets as arguments, and denotes the set that contains all the elements that occur in any of them.

The intersect element is used to denote the n-ary union of sets. It takes sets as arguments, and denotes the set that contains all the elements that occur in all of them.

The cartesianproduct element is used to represent the Cartesian product operator.

Arguments may be explicitly specified in the enclosing apply element, or specified using qualifier elements as described in 4.3.5 N-ary Operators.

4.3.5.7.1 Examples

Content MathML

<apply><union/><ci>A</ci><ci>B</ci></apply>
<apply><intersect/><ci>A</ci><ci>B</ci><ci>C</ci></apply>
<apply><cartesianproduct/><ci>A</ci><ci>B</ci></apply>

Sample Presentation

<mrow><mi>A</mi><mo></mo><mi>B</mi></mrow>
AB
<mrow><mi>A</mi><mo></mo><mi>B</mi><mo></mo><mi>C</mi></mrow>
ABC
<mrow><mi>A</mi><mo>×</mo><mi>B</mi></mrow>
A×B
4.3.5.7.2 Examples (Qualifiers)

Content MathML

<apply><union/>
  <bvar><ci type="set">S</ci></bvar>
  <domainofapplication>
    <ci type="list">L</ci>
  </domainofapplication>
  <ci type="set"> S</ci>
</apply>
<apply><intersect/>
  <bvar><ci type="set">S</ci></bvar>
  <domainofapplication>
    <ci type="list">L</ci>
  </domainofapplication>
  <ci type="set"> S</ci>
</apply>

Sample Presentation

<mrow><munder><mo></mo><mi>L</mi></munder><mi>S</mi></mrow>
LS
<mrow><munder><mo></mo><mi>L</mi></munder><mi>S</mi></mrow>
LS
4.3.5.8 N-ary Matrix Constructors: <vector/>, <matrix/>, <matrixrow/>

Operator Syntax, Schema Class

A vector is an ordered n-tuple of values representing an element of an n-dimensional vector space.

For purposes of interaction with matrices and matrix multiplication, vectors are regarded as equivalent to a matrix consisting of a single column, and the transpose of a vector as a matrix consisting of a single row.

The components of a vector may be given explicitly as child elements, or specified by rule as described in 4.3.1.1 Container Markup for Constructor Symbols.

4.3.5.8.1 Examples

Content MathML

<vector>
  <apply><plus/><ci>x</ci><ci>y</ci></apply>
  <cn>3</cn>
  <cn>7</cn>
</vector>

Sample Presentation

<mrow>
  <mo>(</mo>
  <mtable>
    <mtr><mtd><mrow><mi>x</mi><mo>+</mo><mi>y</mi></mrow></mtd></mtr>
    <mtr><mtd><mn>3</mn></mtd></mtr>
    <mtr><mtd><mn>7</mn></mtd></mtr>
  </mtable>
  <mo>)</mo>
</mrow>
( x+y 3 7 )
<mrow>
  <mo>(</mo>
  <mrow><mi>x</mi><mo>+</mo><mi>y</mi></mrow>
  <mo>,</mo>
  <mn>3</mn>
  <mo>,</mo>
  <mn>7</mn>
  <mo>)</mo>
</mrow>
( x+y , 3 , 7 )

A matrix is regarded as made up of matrix rows, each of which can be thought of as a special type of vector.

Note that the behavior of the matrix and matrixrow elements is substantially different from the mtable and mtr presentation elements.

The matrix element is a constructor element, so the entries may be given explicitly as child elements, or specified by rule as described in 4.3.1.1 Container Markup for Constructor Symbols. In the latter case, the entries are specified by providing a function and a 2-dimensional domain of application. The entries of the matrix correspond to the values obtained by evaluating the function at the points of the domain.

Matrix rows are not directly rendered by themselves outside of the context of a matrix.

4.3.5.8.2 Example

Content MathML

<matrix>
  <bvar><ci type="integer">i</ci></bvar>
  <bvar><ci type="integer">j</ci></bvar>
  <condition>
    <apply><and/>
      <apply><in/>
        <ci>i</ci>
        <interval><ci>1</ci><ci>5</ci></interval>
      </apply>
      <apply><in/>
        <ci>j</ci>
        <interval><ci>5</ci><ci>9</ci></interval>
      </apply>
    </apply>
  </condition>
  <apply><power/><ci>i</ci><ci>j</ci></apply>
</matrix>

Sample Presentation

<mrow>
  <mo>[</mo>
  <msub><mi>m</mi><mrow><mi>i</mi><mo>,</mo><mi>j</mi></mrow></msub>
  <mo>|</mo>
  <mrow>
    <msub><mi>m</mi><mrow><mi>i</mi><mo>,</mo><mi>j</mi></mrow></msub>
    <mo>=</mo>
    <msup><mi>i</mi><mi>j</mi></msup>
  </mrow>
  <mo>;</mo>
  <mrow>
    <mrow>
      <mi>i</mi>
      <mo></mo>
      <mrow><mo>[</mo><mi>1</mi><mo>,</mo><mi>5</mi><mo>]</mo></mrow>
    </mrow>
    <mo></mo>
    <mrow>
      <mi>j</mi>
      <mo></mo>
      <mrow><mo>[</mo><mi>5</mi><mo>,</mo><mi>9</mi><mo>]</mo></mrow>
    </mrow>
  </mrow>
  <mo>]</mo>
</mrow>
[ mi,j | mi,j = ij ; i [1,5] j [5,9] ]
4.3.5.9 N-ary Set Theoretic Constructors: <set>, <list>

Operator Syntax, Schema Class

The set element represents the n-ary function which constructs a mathematical set from its arguments. The set element takes the attribute type which may have the values set and multiset. The members of the set to be constructed may be given explicitly as child elements of the constructor, or specified by rule as described in 4.3.1.1 Container Markup for Constructor Symbols. There is no implied ordering to the elements of a set.

The list element represents the n-ary function which constructs a list from its arguments. Lists differ from sets in that there is an explicit order to the elements. The list element takes the attribute order which may have the values numeric and lexicographic. The list entries and order may be given explicitly or specified by rule as described in 4.3.1.1 Container Markup for Constructor Symbols.

4.3.5.9.1 Examples (Explicit elements)

Content MathML

<set>
  <ci>a</ci><ci>b</ci><ci>c</ci>
</set>
<list>
  <ci>a</ci><ci>b</ci><ci>c</ci>
</list>

Sample Presentation

<mrow>
  <mo>{</mo><mi>a</mi><mo>,</mo><mi>b</mi><mo>,</mo><mi>c</mi><mo>}</mo>
</mrow>
{a,b,c}
<mrow>
  <mo>(</mo><mi>a</mi><mo>,</mo><mi>b</mi><mo>,</mo><mi>c</mi><mo>)</mo>
</mrow>
(a,b,c)

In general sets and lists can be constructed by providing a function and a domain of application. The elements correspond to the values obtained by evaluating the function at the points of the domain. When this method is used for lists, the ordering of the list elements may not be clear, so the kind of ordering may be specified by the order attribute. Two orders are supported: lexicographic and numeric.

4.3.5.9.2 Examples (Elements specified by condition)

Content MathML

<set>
  <bvar><ci>x</ci></bvar>
  <condition>
    <apply><lt/><ci>x</ci><cn>5</cn></apply>
  </condition>
  <ci>x</ci>
</set>
<list order="numeric">
  <bvar><ci>x</ci></bvar>
  <condition>
    <apply><lt/><ci>x</ci><cn>5</cn></apply>
  </condition>
</list>
<set>
  <bvar><ci type="set">S</ci></bvar>
  <condition>
    <apply><in/><ci>S</ci><ci type="list">T</ci></apply>
  </condition>
  <ci>S</ci>
</set>
<set>
  <bvar><ci> x </ci></bvar>
  <condition>
    <apply><and/>
      <apply><lt/><ci>x</ci><cn>5</cn></apply>
      <apply><in/><ci>x</ci><naturalnumbers/></apply>
    </apply>
  </condition>
  <ci>x</ci>
</set>

Sample Presentation

<mrow>
  <mo>{</mo>
  <mi>x</mi>
  <mo>|</mo>
  <mrow><mi>x</mi><mo>&lt;</mo><mn>5</mn></mrow>
  <mo>}</mo>
</mrow>
{ x | x<5 }
<mrow>
  <mo>(</mo>
  <mi>x</mi>
  <mo>|</mo>
  <mrow><mi>x</mi><mo>&lt;</mo><mn>5</mn></mrow>
  <mo>)</mo>
</mrow>
( x | x<5 )
<mrow>
  <mo>{</mo>
  <mi>S</mi>
  <mo>|</mo>
  <mrow><mi>S</mi><mo></mo><mi>T</mi></mrow>
  <mo>}</mo>
</mrow>
{ S | ST }
<mrow>
  <mo>{</mo>
  <mi>x</mi>
  <mo>|</mo>
  <mrow>
    <mrow>
      <mo>(</mo><mi>x</mi><mo>&lt;</mo><mn>5</mn><mo>)</mo>
    </mrow>
    <mo></mo>
    <mrow>
      <mi>x</mi><mo></mo><mi mathvariant="double-struck">N</mi>
    </mrow>
  </mrow>
  <mo>}</mo>
</mrow>
{ x | (x<5) xN }
4.3.5.10 N-ary Arithmetic Relations: <eq/>, <gt/>, <lt/>, <geq/>, <leq/>

Operator Syntax, Schema Class

MathML allows transitive relations to be used with multiple arguments, to give a natural expression to chains of relations such as a < b < c < d. However unlike the case of the arithmetic operators, the underlying symbols used in the Strict Content MathML are classed as binary, so it is not possible to use apply_to_list as in the previous section, but instead a similar function predicate_on_list is used, the semantics of which is essentially to take the conjunction of applying the predicate to elements of the domain two at a time.

The elements eq, gt, lt, geq, leq represent respectively the equality, greater than, less than, greater than or equal to and less than or equal to relations that return true or false depending on the relationship of the first argument to the second.

4.3.5.10.1 Examples

Content MathML

<apply><eq/>
   <ci>x</ci>
   <cn type="rational">2<sep/>4</cn>
   <cn type="rational">1<sep/>2</cn>
 </apply>
<apply><gt/><ci>x</ci><ci>y</ci></apply>
<apply><lt/><ci>y</ci><ci>x</ci></apply>
<apply><geq/><cn>4</cn><cn>3</cn><cn>3</cn></apply>
<apply><leq/><cn>3</cn><cn>3</cn><cn>4</cn></apply>

Sample Presentation

<mrow>
  <mi>x</mi>
  <mo>=</mo>
  <mrow><mn>2</mn><mo>/</mo><mn>4</mn></mrow>
  <mo>=</mo>
  <mrow><mn>1</mn><mo>/</mo><mn>2</mn></mrow>
</mrow>
x = 2/4 = 1/2
<mrow><mi>x</mi><mo>&gt;</mo><mi>y</mi></mrow>
x>y
<mrow><mi>y</mi><mo>&lt;</mo><mi>x</mi></mrow>
y<x
<mrow><mn>4</mn><mo></mo><mn>3</mn><mo></mo><mn>3</mn></mrow>
433
<mrow><mn>3</mn><mo></mo><mn>3</mn><mo></mo><mn>4</mn></mrow>
334
4.3.5.11 N-ary Set Theoretic Relations: <subset/>, <prsubset/>

Operator Syntax, Schema Class

MathML allows transitive relations to be used with multiple arguments, to give a natural expression to chains of relations such as a < b < c < d. However unlike the case of the arithmetic operators, the underlying symbols used in the Strict Content MathML are classed as binary, so it is not possible to use apply_to_list as in the previous section, but instead a similar function predicate_on_list is used, the semantics of which is essentially to take the conjunction of applying the predicate to elements of the domain two at a time.

The subset and prsubset elements represent respectively the subset and proper subset relations. They are used to denote that the first argument is a subset or proper subset of the second. As described above they may also be used as an n-ary operator to express that each argument is a subset or proper subset of its predecessor.

4.3.5.11.1 Examples

Content MathML

<apply><subset/>
  <ci type="set">A</ci>
  <ci type="set">B</ci>
</apply>
<apply><prsubset/>
  <ci type="set">A</ci>
  <ci type="set">B</ci>
  <ci type="set">C</ci>
</apply>

Sample Presentation

<mrow><mi>A</mi><mo></mo><mi>B</mi></mrow>
AB
<mrow><mi>A</mi><mo></mo><mi>B</mi><mo></mo><mi>C</mi></mrow>
ABC
4.3.5.12 N-ary/Unary Arithmetic Operators: <min/>, <max/>

Operator Syntax, Schema Class

The MathML elements max, min and some statistical elements such as mean may be used as an n-ary function as in the above classes, however a special interpretation is given in the case that a single argument is supplied. If a single argument is supplied the function is applied to the elements represented by the argument.

The underlying symbol used in Strict Content MathML for these elements is Unary and so if the MathML is used with 0 or more than 1 argument, the function is applied to the set constructed from the explicitly supplied arguments according to the following rule.

The min element denotes the minimum function, which returns the smallest of the arguments to which it is applied. Its arguments may be explicitly specified in the enclosing apply element, or specified using qualifier elements as described in 4.3.5.12 N-ary/Unary Arithmetic Operators: <min/>, <max/>. Note that when applied to infinite sets of arguments, no minimal argument may exist.

The max element denotes the maximum function, which returns the largest of the arguments to which it is applied. Its arguments may be explicitly specified in the enclosing apply element, or specified using qualifier elements as described in 4.3.5.12 N-ary/Unary Arithmetic Operators: <min/>, <max/>. Note that when applied to infinite sets of arguments, no maximal argument may exist.

4.3.5.12.1 Examples

Content MathML

<apply><min/><ci>a</ci><ci>b</ci></apply>
<apply><max/><cn>2</cn><cn>3</cn><cn>5</cn></apply>
<apply><min/>
  <bvar><ci>x</ci></bvar>
  <condition>
    <apply><notin/><ci>x</ci><ci type="set">B</ci></apply>
  </condition>
  <apply><power/><ci>x</ci><cn>2</cn></apply>
</apply>
<apply><max/>
  <bvar><ci>y</ci></bvar>
  <condition>
    <apply><in/>
      <ci>y</ci>
      <interval><cn>0</cn><cn>1</cn></interval>
    </apply>
  </condition>
  <apply><power/><ci>y</ci><cn>3</cn></apply>
</apply>

Sample Presentation

<mrow>
  <mi>min</mi>
  <mrow><mo>{</mo><mi>a</mi><mo>,</mo><mi>b</mi><mo>}</mo></mrow>
</mrow>
min {a,b}
<mrow>
  <mi>max</mi>
  <mrow>
    <mo>{</mo><mn>2</mn><mo>,</mo><mn>3</mn><mo>,</mo><mn>5</mn><mo>}</mo>
  </mrow>
</mrow>
max {2,3,5}
<mrow>
  <mi>min</mi>
  <mrow><mo>{</mo><msup><mi>x</mi><mn>2</mn></msup><mo>|</mo>
    <mrow><mi>x</mi><mo></mo><mi>B</mi></mrow>
    <mo>}</mo>
  </mrow>
</mrow>
min {x2| xB }
<mrow>
  <mi>max</mi>
  <mrow>
    <mo>{</mo><mi>y</mi><mo>|</mo>
    <mrow>
      <msup><mi>y</mi><mn>3</mn></msup>
      <mo></mo>
      <mrow><mo>[</mo><mn>0</mn><mo>,</mo><mn>1</mn><mo>]</mo></mrow>
    </mrow>
    <mo>}</mo>
  </mrow>
</mrow>
max {y| y3 [0,1] }
4.3.5.13 N-ary/Unary Statistical Operators: <mean/>, <median/>, <mode/>, <sdev/>, <variance/>

Operator Syntax, Schema Class

Some statistical MathML elements, elements such as mean may be used as an n-ary function as in the above classes, however a special interpretation is given in the case that a single argument is supplied. If a single argument is supplied the function is applied to the elements represented by the argument.

The underlying symbol used in Strict Content MathML for these elements is Unary and so if the MathML is used with 0 or more than 1 argument, the function is applied to the set constructed from the explicitly supplied arguments according to the following rule.

The mean element represents the function returning arithmetic mean or average of a data set or random variable.

The median element represents an operator returning the median of its arguments. The median is a number separating the lower half of the sample values from the upper half.

The mode element is used to denote the mode of its arguments. The mode is the value which occurs with the greatest frequency.

The sdev element is used to denote the standard deviation function for a data set or random variable. Standard deviation is a statistical measure of dispersion given by the square root of the variance.

The variance element represents the variance of a data set or random variable. Variance is a statistical measure of dispersion, averaging the squares of the deviations of possible values from their mean.

4.3.5.13.1 Examples

Content MathML

<apply><mean/>
  <cn>3</cn><cn>4</cn><cn>3</cn><cn>7</cn><cn>4</cn>
</apply>
<apply><mean/><ci>X</ci></apply>
<apply><sdev/>
  <cn>3</cn><cn>4</cn><cn>2</cn><cn>2</cn>
</apply>
<apply><sdev/>
  <ci type="discrete_random_variable">X</ci>
</apply>
<apply><variance/>
  <cn>3</cn><cn>4</cn><cn>2</cn><cn>2</cn>
</apply>
<apply><variance/>
  <ci type="discrete_random_variable">X</ci>
</apply>

Sample Presentation

<mrow>
  <mo></mo>
  <mn>3</mn><mo>,</mo><mn>4</mn><mo>,</mo><mn>3</mn>
  <mo>,</mo><mn>7</mn><mo>,</mo><mn>4</mn>
  <mo></mo>
</mrow>
3,4,3 ,7,4
<mrow>
  <mo></mo><mi>X</mi><mo></mo>
</mrow>
<mtext>&nbsp;or&nbsp;</mtext>
<mover><mi>X</mi><mo>¯</mo></mover>
X  or  X¯
<mrow>
  <mo>σ</mo>
  <mo>&#x2061;<!--ApplyFunction--></mo>
  <mrow>
    <mo>(</mo>
    <mn>3</mn><mo>,</mo><mn>4</mn><mo>,</mo><mn>2</mn><mo>,</mo><mn>2</mn>
    <mo>)</mo>
  </mrow>
</mrow>
σ ( 3,4,2,2 )
<mrow>
  <mo>σ</mo>
  <mo>&#x2061;<!--ApplyFunction--></mo><mrow><mo>(</mo><mi>X</mi><mo>)</mo></mrow>
</mrow>
σ (X)
<mrow>
  <msup>
    <mo>σ</mo>
    <mn>2</mn>
  </msup>
  <mo>&#x2061;<!--ApplyFunction--></mo>
  <mrow>
    <mo>(</mo>
    <mn>3</mn><mo>,</mo><mn>4</mn><mo>,</mo><mn>2</mn><mo>,</mo><mn>2</mn>
    <mo>)</mo>
  </mrow>
</mrow>
σ 2 ( 3,4,2,2 )
<mrow>
  <msup><mo>σ</mo><mn>2</mn></msup>
  <mo>&#x2061;<!--ApplyFunction--></mo>
  <mrow><mo>(</mo><mi>X</mi><mo>)</mo></mrow>
</mrow>
σ2 (X)

4.3.6 Binary Operators

Binary operators take two arguments and simply map to OpenMath symbols via Rewrite: element without the need of any special rewrite rules. The binary constructor interval is similar but uses constructor syntax in which the arguments are children of the element, and the symbol used depends on the type element as described in 4.3.10.3 Interval <interval>.

4.3.6.1 Binary Arithmetic Operators: <quotient/>, <divide/>, <minus/>, <power/>, <rem/>, <root/>

Operator Syntax, Schema Class

The quotient element represents the integer division operator. When the operator is applied to integer arguments a and b, the result is the quotient of a divided by b. That is, the quotient of integers a and b is the integer q such that a = b * q + r, with |r| less than |b| and a * r positive. In common usage, q is called the quotient and r is the remainder.

The divide element represents the division operator in a number field.

The minus element can be used as a unary arithmetic operator (e.g. to represent −x), or as a binary arithmetic operator (e.g. to represent xy). Some further examples are given in 4.3.7.2 Unary Arithmetic Operators: <factorial/>, <abs/>, <conjugate/>, <arg/>, <real/>, <imaginary/>, <floor/>, <ceiling/>, <exp/>, <minus/>, <root/>.

The power element represents the exponentiation operator. The first argument is raised to the power of the second argument.

The rem element represents the modulus operator, which returns the remainder that results from dividing the first argument by the second. That is, when applied to integer arguments a and b, it returns the unique integer r such that a = b * q + r, with |r| less than |b| and a * r positive.

The root element is used to extract roots. The kind of root to be taken is specified by a degree element, which should be given as the second child of the apply element enclosing the root element. Thus, square roots correspond to the case where degree contains the value 2, cube roots correspond to 3, and so on. If no degree is present, a default value of 2 is used.

4.3.6.1.1 Examples

Content MathML

<apply><quotient/><ci>a</ci><ci>b</ci></apply>
<apply><divide/>
  <ci>a</ci>
  <ci>b</ci>
</apply>
<apply><minus/><ci>x</ci><ci>y</ci></apply>
<apply><power/><ci>x</ci><cn>3</cn></apply>
<apply><rem/><ci> a </ci><ci> b </ci></apply>
<apply><root/>
  <degree><ci type="integer">n</ci></degree>
  <ci>a</ci>
</apply>

Sample Presentation

<mrow><mo></mo><mi>a</mi><mo>/</mo><mi>b</mi><mo></mo></mrow>
a/b
<mrow><mi>a</mi><mo>/</mo><mi>b</mi></mrow>
a/b
<mrow><mi>x</mi><mo></mo><mi>y</mi></mrow>
xy
<msup><mi>x</mi><mn>3</mn></msup>
x3
<mrow><mi>a</mi><mo>mod</mo><mi>b</mi></mrow>
amodb
<mroot><mi>a</mi><mi>n</mi></mroot>
an
4.3.6.2 Binary Logical Operators: <implies/>, <equivalent/>

Operator Syntax, Schema Class

The implies element represents the logical implication function which takes two Boolean expressions as arguments. It evaluates to false if the first argument is true and the second argument is false, otherwise it evaluates to true.

The equivalent element represents the relation that asserts two Boolean expressions are logically equivalent, that is have the same Boolean value for any inputs.

4.3.6.2.1 Examples

Content MathML

<apply><implies/><ci>A</ci><ci>B</ci></apply>
<apply><equivalent/>
  <ci>a</ci>
  <apply><not/><apply><not/><ci>a</ci></apply></apply>
</apply>

Sample Presentation

<mrow><mi>A</mi><mo></mo><mi>B</mi></mrow>
AB
<mrow>
  <mi>a</mi>
  <mo></mo>
  <mrow><mo>¬</mo><mrow><mo>¬</mo><mi>a</mi></mrow></mrow>
</mrow>
a ¬¬a
4.3.6.3 Binary Relations: <neq/>, <approx/>, <factorof/>, <tendsto/>

Operator Syntax, Schema Class

The neq element represents the binary inequality relation, i.e. the relation not equal to which returns true unless the two arguments are equal.

The approx element represents the relation that asserts the approximate equality of its arguments.

The factorof element is used to indicate the mathematical relationship that the first argument is a factor of the second. This relationship is true if and only if b mod a = 0.

4.3.6.3.1 Examples

Content MathML

<apply><neq/><cn>3</cn><cn>4</cn></apply>
<apply><approx/>
  <pi/>
  <cn type="rational">22<sep/>7</cn>
</apply>
<apply><factorof/><ci>a</ci><ci>b</ci></apply>

Sample Presentation

<mrow><mn>3</mn><mo></mo><mn>4</mn></mrow>
34
<mrow>
  <mi>π</mi>
  <mo></mo>
  <mrow><mn>22</mn><mo>/</mo><mn>7</mn></mrow>
</mrow>
π 22/7
<mrow><mi>a</mi><mo>|</mo><mi>b</mi></mrow>
a|b

The tendsto element is used to express the relation that a quantity is tending to a specified value. While this is used primarily as part of the statement of a mathematical limit, it exists as a construct on its own to allow one to capture mathematical statements such as As x tends to y, and to provide a building block to construct more general kinds of limits.

The tendsto element takes the attribute type to set the direction from which the limiting value is approached. It may have any value, but common values include above and below.

4.3.6.3.2 Examples

Content MathML

<apply><tendsto type="above"/>
  <apply><power/><ci>x</ci><cn>2</cn></apply>
  <apply><power/><ci>a</ci><cn>2</cn></apply>
</apply>
<apply><tendsto/>
  <vector><ci>x</ci><ci>y</ci></vector>
  <vector>
    <apply><ci type="function">f</ci><ci>x</ci><ci>y</ci></apply>
    <apply><ci type="function">g</ci><ci>x</ci><ci>y</ci></apply>
  </vector>
</apply>

Sample Presentation

<mrow>
  <msup><mi>x</mi><mn>2</mn></msup>
  <mo></mo>
  <msup><msup><mi>a</mi><mn>2</mn></msup><mo>+</mo></msup>
</mrow>
x2 a2+
<mrow><mo>(</mo><mtable>
  <mtr><mtd><mi>x</mi></mtd></mtr>
  <mtr><mtd><mi>y</mi></mtd></mtr>
</mtable><mo>)</mo></mrow>
<mo></mo>
<mrow><mo>(</mo><mtable>
  <mtr><mtd>
    <mi>f</mi><mo>&#x2061;<!--ApplyFunction--></mo><mrow><mo>(</mo><mi>x</mi><mo>,</mo><mi>y</mi><mo>)</mo></mrow>
  </mtd></mtr>
  <mtr><mtd>
    <mi>g</mi><mo>&#x2061;<!--ApplyFunction--></mo><mrow><mo>(</mo><mi>x</mi><mo>,</mo><mi>y</mi><mo>)</mo></mrow>
  </mtd></mtr>
</mtable><mo>)</mo></mrow>
( x y ) ( f(x,y) g(x,y) )
4.3.6.4 Binary Linear Algebra Operators: <vectorproduct/>, <scalarproduct/>, <outerproduct/>

Operator Syntax, Schema Class

The vectorproduct element represents the vector product. It takes two three-dimensional vector arguments and represents as value a three-dimensional vector.

The scalarproduct element represents the scalar product function. It takes two vector arguments and returns a scalar value.

The outerproduct element represents the outer product function. It takes two vector arguments and returns as value a matrix.

4.3.6.4.1 Examples

Content MathML

<apply><eq/>
  <apply><vectorproduct/>
    <ci type="vector"> A </ci>
    <ci type="vector"> B </ci>
  </apply>
  <apply><times/>
    <ci>a</ci>
    <ci>b</ci>
    <apply><sin/><ci>θ</ci></apply>
    <ci type="vector"> N </ci>
  </apply>
</apply>
<apply><eq/>
  <apply><scalarproduct/>
    <ci type="vector">A</ci>
    <ci type="vector">B</ci>
  </apply>
  <apply><times/>
    <ci>a</ci>
    <ci>b</ci>
    <apply><cos/><ci>θ</ci></apply>
  </apply>
</apply>
<apply><outerproduct/>
  <ci type="vector">A</ci>
  <ci type="vector">B</ci>
</apply>

Sample Presentation

<mrow>
  <mrow><mi>A</mi><mo>×</mo><mi>B</mi></mrow>
  <mo>=</mo>
  <mrow>
    <mi>a</mi>
    <mo>&#x2062;<!--InvisibleTimes--></mo>
    <mi>b</mi>
    <mo>&#x2062;<!--InvisibleTimes--></mo>
    <mrow><mi>sin</mi><mo>&#x2061;<!--ApplyFunction--></mo><mi>θ</mi></mrow>
    <mo>&#x2062;<!--InvisibleTimes--></mo>
    <mi>N</mi>
  </mrow>
</mrow>
A×B = a b sinθ N
<mrow>
  <mrow><mi>A</mi><mo>.</mo><mi>B</mi></mrow>
  <mo>=</mo>
  <mrow>
    <mi>a</mi>
    <mo>&#x2062;<!--InvisibleTimes--></mo>
    <mi>b</mi>
    <mo>&#x2062;<!--InvisibleTimes--></mo>
    <mrow><mi>cos</mi><mo>&#x2061;<!--ApplyFunction--></mo><mi>θ</mi></mrow>
  </mrow>
</mrow>
A.B = a b cosθ
<mrow><mi>A</mi><mo></mo><mi>B</mi></mrow>
AB
4.3.6.5 Binary Set Operators: <in/>, <notin/>, <notsubset/>, <notprsubset/>, <setdiff/>

Operator Syntax, Schema Class

The in element represents the set inclusion relation. It has two arguments, an element and a set. It is used to denote that the element is in the given set.

The notin represents the negated set inclusion relation. It has two arguments, an element and a set. It is used to denote that the element is not in the given set.

The notsubset element represents the negated subset relation. It is used to denote that the first argument is not a subset of the second.

The notprsubset element represents the negated proper subset relation. It is used to denote that the first argument is not a proper subset of the second.

The setdiff element represents the set difference operator. It takes two sets as arguments, and denotes the set that contains all the elements that occur in the first set, but not in the second.

4.3.6.5.1 Examples

Content MathML

<apply><in/><ci>a</ci><ci type="set">A</ci></apply>
<apply><notin/><ci>a</ci><ci type="set">A</ci></apply>
<apply><notsubset/>
  <ci type="set">A</ci>
  <ci type="set">B</ci>
</apply>
<apply><notprsubset/>
  <ci type="set">A</ci>
  <ci type="set">B</ci>
</apply>
<apply><setdiff/>
  <ci type="set">A</ci>
  <ci type="set">B</ci>
</apply>

Sample Presentation

<mrow><mi>a</mi><mo></mo><mi>A</mi></mrow>
aA
<mrow><mi>a</mi><mo></mo><mi>A</mi></mrow>
aA
<mrow><mi>A</mi><mo></mo><mi>B</mi></mrow>
AB
<mrow><mi>A</mi><mo></mo><mi>B</mi></mrow>
AB
<mrow><mi>A</mi><mo></mo><mi>B</mi></mrow>
AB

4.3.7 Unary Operators

Unary operators take a single argument and map to OpenMath symbols via Rewrite: element without the need of any special rewrite rules.

4.3.7.1 Unary Logical Operators: <not/>

Operator Syntax, Schema Class

The not element represents the logical not function which takes one Boolean argument, and returns the opposite Boolean value.

4.3.7.1.1 Example

Content MathML

<apply><not/><ci>a</ci></apply>

Sample Presentation

<mrow><mo>¬</mo><mi>a</mi></mrow>
¬a
4.3.7.2 Unary Arithmetic Operators: <factorial/>, <abs/>, <conjugate/>, <arg/>, <real/>, <imaginary/>, <floor/>, <ceiling/>, <exp/>, <minus/>, <root/>

Operator Syntax, Schema Class

The factorial element represents the unary factorial operator on non-negative integers. The factorial of an integer n is given by n! = n×(n-1)×⋯×1.

The abs element represents the absolute value function. The argument should be numerically valued. When the argument is a complex number, the absolute value is often referred to as the modulus.

The conjugate element represents the function defined over the complex numbers which returns the complex conjugate of its argument.

The arg element represents the unary function which returns the angular argument of a complex number, namely the angle which a straight line drawn from the number to zero makes with the real line (measured anti-clockwise).

The real element represents the unary operator used to construct an expression representing the real part of a complex number, that is, the x component in x + iy.

The imaginary element represents the unary operator used to construct an expression representing the imaginary part of a complex number, that is, the y component in x + iy.

The floor element represents the operation that rounds down (towards negative infinity) to the nearest integer. This function takes one real number as an argument and returns an integer.

The ceiling element represents the operation that rounds up (towards positive infinity) to the nearest integer. This function takes one real number as an argument and returns an integer.

The exp element represents the exponentiation function associated with the inverse of the ln function. It takes one argument.

The minus element can be used as a unary arithmetic operator (e.g. to represent −x), or as a binary arithmetic operator (e.g. to represent xy). Some further examples are given in 4.3.6.1 Binary Arithmetic Operators: <quotient/>, <divide/>, <minus/>, <power/>, <rem/>, <root/>.

The root element in MathML is treated as a unary element taking an optional degree qualifier, however it represents the binary operation of taking an nth root, and is described in 4.3.6.1 Binary Arithmetic Operators: <quotient/>, <divide/>, <minus/>, <power/>, <rem/>, <root/>.

4.3.7.2.1 Examples

Content MathML

<apply><factorial/><ci>n</ci></apply>
<apply><abs/><ci>x</ci></apply>
<apply><conjugate/>
  <apply><plus/>
    <ci>x</ci>
    <apply><times/><cn></cn><ci>y</ci></apply>
  </apply>
</apply>
<apply><arg/>
  <apply><plus/>
    <ci> x </ci>
    <apply><times/><imaginaryi/><ci>y</ci></apply>
  </apply>
</apply>
<apply><real/>
  <apply><plus/>
    <ci>x</ci>
    <apply><times/><imaginaryi/><ci>y</ci></apply>
  </apply>
</apply>
<apply><imaginary/>
  <apply><plus/>
    <ci>x</ci>
    <apply><times/><imaginaryi/><ci>y</ci></apply>
  </apply>
</apply>
<apply><floor/><ci>a</ci></apply>
<apply><ceiling/><ci>a</ci></apply>
<apply><exp/><ci>x</ci></apply>
<apply><minus/><cn>3</cn></apply>

Sample Presentation

<mrow><mi>n</mi><mo intent="factorial">!</mo></mrow>
n!
<mrow intent="absolute-value($x)"><mo>|</mo><mi arg="x">x</mi><mo>|</mo></mrow>
|x|
<mover intent="complex-conjugate($z)">
  <mrow arg="z">
    <mi>x</mi>
    <mo>+</mo>
    <mrow><mn></mn><mo>&#x2062;<!--InvisibleTimes--></mo><mi>y</mi></mrow>
  </mrow>
  <mo>¯</mo>
</mover>
x + y ¯
<mrow>
  <mi intent="complex-arg">arg</mi>
  <mo>&#x2061;<!--ApplyFunction--></mo>
  <mrow>
   <mo>(</mo>
    <mrow>
      <mi>x</mi>
      <mo>+</mo>
      <mrow><mi>i</mi><mo>&#x2062;<!--InvisibleTimes--></mo><mi>y</mi></mrow>
    </mrow>
    <mo>)</mo>
  </mrow>
</mrow>
arg ( x + iy )
<mrow>
  <mo intent="real-part"></mo>
  <mo>&#x2061;<!--ApplyFunction--></mo>
  <mrow>
   <mo>(</mo>
    <mrow>
      <mi>x</mi>
      <mo>+</mo>
      <mrow><mi>i</mi><mo>&#x2062;<!--InvisibleTimes--></mo><mi>y</mi></mrow>
    </mrow>
    <mo>)</mo>
  </mrow>
</mrow>
( x + iy )
<mrow>
  <mo intent="imaginary-part"></mo>
  <mo>&#x2061;<!--ApplyFunction--></mo>
  <mrow>
   <mo>(</mo>
    <mrow>
      <mi>x</mi>
      <mo>+</mo>
      <mrow><mi>i</mi><mo>&#x2062;<!--InvisibleTimes--></mo><mi>y</mi></mrow>
    </mrow>
    <mo>)</mo>
  </mrow>
</mrow>
( x + iy )
<mrow intent="floor($x)"><mo></mo><mi arg="x">a</mi><mo></mo></mrow>
a
<mrow intent="ceiling($x)"><mo></mo><mi arg="x">a</mi><mo></mo></mrow>
a
<msup><mi>e</mi><mi>x</mi></msup>
ex
<mrow><mo></mo><mn>3</mn></mrow>
3
4.3.7.3 Unary Linear Algebra Operators: <determinant/>, <transpose/>

Operator Syntax, Schema Class

The determinant element is used for the unary function which returns the determinant of its argument, which should be a square matrix.

The transpose element represents a unary function that signifies the transpose of the given matrix or vector.

4.3.7.3.1 Examples

Content MathML

<apply><determinant/>
  <ci type="matrix">A</ci>
</apply>
<apply><transpose/>
  <ci type="matrix">A</ci>
</apply>

Sample Presentation

<mrow><mi>det</mi><mo>&#x2061;<!--ApplyFunction--></mo><mi>A</mi></mrow>
detA
<msup><mi>A</mi><mi>T</mi></msup>
AT
4.3.7.4 Unary Functional Operators: <inverse/>, <ident/>, <domain/>, <codomain/>, <image/>, <ln/>,

Operator Syntax, Schema Class

The inverse element is applied to a function in order to construct a generic expression for the functional inverse of that function.

The ident element represents the identity function. Note that MathML makes no assumption about the domain and codomain of the represented identity function, which depends on the context in which it is used.

The domain element represents the domain of the function to which it is applied. The domain is the set of values over which the function is defined.

The codomain represents the codomain, or range, of the function to which it is applied. Note that the codomain is not necessarily equal to the image of the function, it is merely required to contain the image.

The image element represents the image of the function to which it is applied. The image of a function is the set of values taken by the function. Every point in the image is generated by the function applied to some point of the domain.

The ln element represents the natural logarithm function.

The elements may either be applied to arguments, or may appear alone, in which case they represent an abstract operator acting on other functions.

4.3.7.4.1 Examples

Content MathML

<apply><inverse/><ci>f</ci></apply>
<apply>
  <apply><inverse/><ci type="matrix">A</ci></apply>
  <ci>a</ci>
</apply>
<apply><eq/>
  <apply><compose/>
    <ci type="function">f</ci>
    <apply><inverse/>
      <ci type="function">f</ci>
    </apply>
  </apply>
  <ident/>
</apply>
<apply><eq/>
  <apply><domain/><ci>f</ci></apply>
  <reals/>
</apply>
<apply><eq/>
  <apply><codomain/><ci>f</ci></apply>
  <rationals/>
</apply>
<apply><eq/>
  <apply><image/><sin/></apply>
  <interval><cn>-1</cn><cn> 1</cn></interval>
</apply>
<apply><ln/><ci>a</ci></apply>

Sample Presentation

<msup><mi>f</mi><mrow><mo>(</mo><mn>-1</mn><mo>)</mo></mrow></msup>
f(-1)
<mrow>
  <msup><mi>A</mi><mrow><mo>(</mo><mn>-1</mn><mo>)</mo></mrow></msup>
  <mo>&#x2061;<!--ApplyFunction--></mo>
  <mrow><mo>(</mo><mi>a</mi><mo>)</mo></mrow>
</mrow>
A(-1) (a)
<mrow>
  <mrow>
    <mi>f</mi>
    <mo></mo>
    <msup><mi>f</mi><mrow><mo>(</mo><mn>-1</mn><mo>)</mo></mrow></msup>
  </mrow>
  <mo>=</mo>
  <mi>id</mi>
</mrow>
f f(-1) = id
<mrow>
  <mrow>
    <mi>domain</mi>
    <mo>&#x2061;<!--ApplyFunction--></mo>
    <mrow><mo>(</mo><mi>f</mi><mo>)</mo></mrow>
  </mrow>
  <mo>=</mo>
  <mi mathvariant="double-struck">R</mi>
</mrow>
domain (f) = R
<mrow>
  <mrow>
    <mi>codomain</mi>
    <mo>&#x2061;<!--ApplyFunction--></mo>
    <mrow><mo>(</mo><mi>f</mi><mo>)</mo></mrow>
  </mrow>
  <mo>=</mo>
  <mi mathvariant="double-struck">Q</mi>
</mrow>
codomain (f) = Q
<mrow>
  <mrow>
    <mi>image</mi>
    <mo>&#x2061;<!--ApplyFunction--></mo>
    <mrow><mo>(</mo><mi>sin</mi><mo>)</mo></mrow>
  </mrow>
  <mo>=</mo>
  <mrow><mo>[</mo><mn>-1</mn><mo>,</mo><mn>1</mn><mo>]</mo></mrow>
</mrow>
image (sin) = [-1,1]
<mrow><mi>ln</mi><mo>&#x2061;<!--ApplyFunction--></mo><mi>a</mi></mrow>
lna
4.3.7.5 Unary Set Operators: <card/>

Operator Syntax, Schema Class

The card element represents the cardinality function, which takes a set argument and returns its cardinality, i.e. the number of elements in the set. The cardinality of a set is a non-negative integer, or an infinite cardinal number.

4.3.7.5.1 Example

Content MathML

<apply><eq/>
  <apply><card/><ci>A</ci></apply>
  <cn>5</cn>
</apply>

Sample Presentation

<mrow>
  <mrow intent="cardinality($x)"><mo>|</mo><mi arg="x">A</mi><mo>|</mo></mrow>
  <mo>=</mo>
  <mn>5</mn>
</mrow>
|A| = 5
4.3.7.6 Unary Elementary Operators: <sin/>, <cos/>, <tan/>, <sec/>, <csc/>, <cot/>, <sinh/>, <cosh/>, <tanh/>, <sech/>, <csch/>, <coth/>, <arcsin/>, <arccos/>, <arctan/>, <arccosh/>, <arccot/>, <arccoth/>, <arccsc/>, <arccsch/>, <arcsec/>, <arcsech/>, <arcsinh/>, <arctanh/>

Operator Syntax, Schema Class

These operator elements denote the standard trigonometric and hyperbolic functions and their inverses. Since their standard interpretations are widely known, they are discussed as a group.

Differing definitions are in use for the inverse functions, so for maximum interoperability applications evaluating such expressions should follow the definitions in [DLMF], Chapter 4: Elementary Functions.

4.3.7.6.1 Examples

Content MathML

<apply><sin/><ci>x</ci></apply>
<apply><sin/>
  <apply><plus/>
    <apply><cos/><ci>x</ci></apply>
    <apply><power/><ci>x</ci><cn>3</cn></apply>
  </apply>
</apply>
<apply><arcsin/><ci>x</ci></apply>
<apply><sinh/><ci>x</ci></apply>
<apply><arcsinh/><ci>x</ci></apply>

Sample Presentation

<mrow><mi>sin</mi><mo>&#x2061;<!--ApplyFunction--></mo><mi>x</mi></mrow>
sinx
<mrow>
  <mi>sin</mi>
  <mo>&#x2061;<!--ApplyFunction--></mo>
  <mrow>
    <mo>(</mo>
    <mrow><mi>cos</mi><mo>&#x2061;<!--ApplyFunction--></mo><mi>x</mi></mrow>
    <mo>+</mo>
    <msup><mi>x</mi><mn>3</mn></msup>
    <mo>)</mo>
  </mrow>
</mrow>
sin ( cosx + x3 )
<mrow>
  <mi>arcsin</mi>
  <mo>&#x2061;<!--ApplyFunction--></mo>
  <mi>x</mi>
</mrow>
<mtext>&nbsp;&nbsp;or&nbsp;&nbsp;</mtext>
<mrow>
  <msup><mi>sin</mi><mrow><mo>-</mo><mn>1</mn></mrow></msup>
  <mo>&#x2061;<!--ApplyFunction--></mo>
  <mi>x</mi>
</mrow>
arcsin x   or   sin-1 x
<mrow><mi>sinh</mi><mo>&#x2061;<!--ApplyFunction--></mo><mi>x</mi></mrow>
sinhx
<mrow>
  <mi>arcsinh</mi>
  <mo>&#x2061;<!--ApplyFunction--></mo>
  <mi>x</mi>
</mrow>
<mtext>&nbsp;&nbsp;or&nbsp;&nbsp;</mtext>
<mrow>
  <msup><mi>sinh</mi><mrow><mo>-</mo><mn>1</mn></mrow></msup>
  <mo>&#x2061;<!--ApplyFunction--></mo>
  <mi>x</mi>
</mrow>
arcsinh x   or   sinh-1 x
4.3.7.7 Unary Vector Calculus Operators: <divergence/>, <grad/>, <curl/>, <laplacian/>

Operator Syntax, Schema Class

The divergence element is the vector calculus divergence operator, often called div. It represents the divergence function which takes one argument which should be a vector of scalar-valued functions, intended to represent a vector-valued function, and returns the scalar-valued function giving the divergence of the argument.

The grad element is the vector calculus gradient operator, often called grad. It is used to represent the grad function, which takes one argument which should be a scalar-valued function and returns a vector of functions.

The curl element is used to represent the curl function of vector calculus. It takes one argument which should be a vector of scalar-valued functions, intended to represent a vector-valued function, and returns a vector of functions.

The laplacian element represents the Laplacian operator of vector calculus. The Laplacian takes a single argument which is a vector of scalar-valued functions representing a vector-valued function, and returns a vector of functions.

4.3.7.7.1 Examples

Content MathML

<apply><divergence/><ci>a</ci></apply>
<apply><divergence/>
  <ci type="vector">E</ci>
</apply>
<apply><grad/><ci type="function">f</ci></apply>
<apply><curl/><ci>a</ci></apply>
<apply><laplacian/><ci type="vector">E</ci></apply>

Sample Presentation

<mrow>
 <mi>div</mi><mo>&#x2061;<!--ApplyFunction--></mo><mrow><mo>(</mo><mi>a</mi><mo>)</mo></mrow>
</mrow>
div(a)
<mrow>
 <mi>div</mi><mo>&#x2061;<!--ApplyFunction--></mo><mrow><mo>(</mo><mi>E</mi><mo>)</mo></mrow>
</mrow>
<mtext> or </mtext>
<mrow><mo></mo><mo></mo><mi>E</mi></mrow>
div(E)  or  E
<mrow>
  <mi>grad</mi><mo>&#x2061;<!--ApplyFunction--></mo><mrow><mo>(</mo><mi>f</mi><mo>)</mo></mrow>
</mrow>
<mtext> or </mtext>
<mrow>
  <mo></mo><mo>&#x2061;<!--ApplyFunction--></mo>
  <mrow><mo>(</mo><mi>f</mi><mo>)</mo></mrow>
</mrow>
grad(f)  or  (f)
<mrow>
 <mi>curl</mi><mo>&#x2061;<!--ApplyFunction--></mo><mrow><mo>(</mo><mi>a</mi><mo>)</mo></mrow>
</mrow>
<mtext> or </mtext>
<mrow><mo></mo><mo>×</mo><mi>a</mi></mrow>
curl(a)  or  ×a
<mrow>
  <msup><mo></mo><mn>2</mn></msup>
  <mo>&#x2061;<!--ApplyFunction--></mo>
  <mrow><mo>(</mo><mi>E</mi><mo>)</mo></mrow>
</mrow>
2 (E)

The functions defining the coordinates may be defined implicitly as expressions defined in terms of the coordinate names, in which case the coordinate names must be provided as bound variables.

4.3.7.7.2 Examples

Content MathML

<apply><divergence/>
  <bvar><ci>x</ci></bvar>
  <bvar><ci>y</ci></bvar>
  <bvar><ci>z</ci></bvar>
  <vector>
    <apply><plus/><ci>x</ci><ci>y</ci></apply>
    <apply><plus/><ci>x</ci><ci>z</ci></apply>
    <apply><plus/><ci>z</ci><ci>y</ci></apply>
  </vector>
</apply>
<apply><grad/>
  <bvar><ci>x</ci></bvar>
  <bvar><ci>y</ci></bvar>
  <bvar><ci>z</ci></bvar>
  <apply><times/><ci>x</ci><ci>y</ci><ci>z</ci></apply>
</apply>
<apply><laplacian/>
  <bvar><ci>x</ci></bvar>
  <bvar><ci>y</ci></bvar>
  <bvar><ci>z</ci></bvar>
  <apply><ci>f</ci><ci>x</ci><ci>y</ci></apply>
</apply>

Sample Presentation

<mrow>
  <mi>div</mi>
  <mo>&#x2061;<!--ApplyFunction--></mo>
  <mo>(</mo>
  <mtable>
    <mtr><mtd>
      <mi>x</mi>
      <mo></mo>
      <mrow><mi>x</mi><mo>+</mo><mi>y</mi></mrow>
    </mtd></mtr>
    <mtr><mtd>
      <mi>y</mi>
      <mo></mo>
      <mrow><mi>x</mi><mo>+</mo><mi>z</mi></mrow>
    </mtd></mtr>
    <mtr><mtd>
      <mi>z</mi>
      <mo></mo>
      <mrow><mi>z</mi><mo>+</mo><mi>y</mi></mrow>
    </mtd></mtr>
  </mtable>
  <mo>)</mo>
</mrow>
div ( x x+y y x+z z z+y )
<mrow>
  <mi>grad</mi>
  <mo>&#x2061;<!--ApplyFunction--></mo>
  <mrow>
    <mo>(</mo>
    <mrow><mo>(</mo><mi>x</mi><mo>,</mo><mi>y</mi><mo>,</mo><mi>z</mi><mo>)</mo></mrow>
    <mo></mo>
    <mrow>
      <mi>x</mi>
      <mo>&#x2062;<!--InvisibleTimes--></mo>
      <mi>y</mi>
      <mo>&#x2062;<!--InvisibleTimes--></mo>
      <mi>z</mi>
    </mrow>
    <mo>)</mo>
  </mrow>
</mrow>
grad ( (x,y,z) x y z )
<mrow>
  <msup><mo></mo><mn>2</mn></msup>
  <mo>&#x2061;<!--ApplyFunction--></mo>
  <mrow>
    <mo>(</mo>
    <mrow><mo>(</mo><mi>x</mi><mo>,</mo><mi>y</mi><mo>,</mo><mi>z</mi><mo>)</mo></mrow>
    <mo></mo>
    <mrow>
      <mi>f</mi>
      <mo>&#x2061;<!--ApplyFunction--></mo>
      <mrow><mo>(</mo><mi>x</mi><mo>,</mo><mi>y</mi><mo>)</mo></mrow>
    </mrow>
    <mo>)</mo>
  </mrow>
</mrow>
2 ( (x,y,z) f (x,y) )
4.3.7.8 Moment <moment/>, <momentabout>

Operator Syntax, Schema Class

The moment element is used to denote the ith moment of a set of data set or random variable. The moment function accepts the degree and momentabout qualifiers. If present, the degree schema denotes the order of the moment. Otherwise, the moment is assumed to be the first order moment. When used with moment, the degree schema is expected to contain a single child. If present, the momentabout schema denotes the point about which the moment is taken. Otherwise, the moment is assumed to be the moment about zero.

4.3.7.8.1 Examples

Content MathML

<apply><moment/>
  <degree><cn>3</cn></degree>
  <momentabout><mean/></momentabout>
  <cn>6</cn><cn>4</cn><cn>2</cn><cn>2</cn><cn>5</cn>
</apply>
<apply><moment/>
  <degree><cn>3</cn></degree>
  <momentabout><ci>p</ci></momentabout>
  <ci>X</ci>
</apply>

Sample Presentation

<msub>
  <mrow>
    <mo></mo>
    <msup>
      <mrow>
        <mo>(</mo>
        <mn>6</mn><mo>,</mo>
        <mn>4</mn><mo>,</mo>
        <mn>2</mn><mo>,</mo>
        <mn>2</mn><mo>,</mo>
        <mn>5</mn>
        <mo>)</mo>
      </mrow>
      <mn>3</mn>
    </msup>
    <mo></mo>
  </mrow>
  <mi>mean</mi>
</msub>
( 6, 4, 2, 2, 5 ) 3 mean
<msub>
  <mrow>
    <mo></mo>
    <msup><mi>X</mi><mn>3</mn></msup>
    <mo></mo>
  </mrow>
  <mi>p</mi>
</msub>
X3 p
4.3.7.9 Logarithm <log/> , <logbase>

Operator Syntax, Schema Class

The log element represents the logarithm function relative to a given base. When present, the logbase qualifier specifies the base. Otherwise, the base is assumed to be 10.

4.3.7.9.1 Examples

Content MathML

<apply><log/>
  <logbase><cn>3</cn></logbase>
  <ci>x</ci>
</apply>
<apply><log/><ci>x</ci></apply>

Sample Presentation

<mrow><msub><mi>log</mi><mn>3</mn></msub><mo>&#x2061;<!--ApplyFunction--></mo><mi>x</mi></mrow>
log3x
<mrow><mi>log</mi><mo>&#x2061;<!--ApplyFunction--></mo><mi>x</mi></mrow>
logx

4.3.8 Unary Qualified Calculus Operators

4.3.8.1 Integral <int/>

Operator Syntax, Schema Class

The int element is the operator element for a definite or indefinite integral over a function or a definite integral over an expression with a bound variable.

4.3.8.1.1 Examples

Content MathML

<apply><eq/>
  <apply><int/><sin/></apply>
  <cos/>
</apply>
<apply><int/>
  <interval><ci>a</ci><ci>b</ci></interval>
  <cos/>
</apply>

Sample Presentation

<mrow><mrow><mi></mi><mi>sin</mi></mrow><mo>=</mo><mi>cos</mi></mrow>
sin=cos
<mrow>
  <msubsup><mi></mi><mi>a</mi><mi>b</mi></msubsup><mi>cos</mi>
</mrow>
abcos

The int element can also be used with bound variables serving as the integration variables.

Definite integrals are indicated by providing qualifier elements specifying a domain of integration. A lowlimit/uplimit pair is perhaps the most standard representation of a definite integral.

4.3.8.1.2 Example

Content MathML

<apply><int/>
  <bvar><ci>x</ci></bvar>
  <lowlimit><cn>0</cn></lowlimit>
  <uplimit><cn>1</cn></uplimit>
  <apply><power/><ci>x</ci><cn>2</cn></apply>
</apply>

Sample Presentation

<mrow>
  <msubsup><mi></mi><mn>0</mn><mn>1</mn></msubsup>
  <msup><mi>x</mi><mn>2</mn></msup>
  <mi>d</mi>
  <mi>x</mi>
</mrow>
01 x2 d x
4.3.8.2 Differentiation <diff/>

Operator Syntax, Schema Class

The diff element is the differentiation operator element for functions or expressions of a single variable. It may be applied directly to an actual function thereby denoting a function which is the derivative of the original function, or it can be applied to an expression involving a single variable.

4.3.8.2.1 Examples

Content MathML

<apply><diff/><ci>f</ci></apply>
<apply><eq/>
  <apply><diff/>
    <bvar><ci>x</ci></bvar>
    <apply><sin/><ci>x</ci></apply>
  </apply>
  <apply><cos/><ci>x</ci></apply>
</apply>

Sample Presentation

<msup><mi>f</mi><mo></mo></msup>
f
<mrow>
  <mfrac>
    <mrow>
      <mi>d</mi><mrow><mi>sin</mi><mo>&#x2061;<!--ApplyFunction--></mo><mi>x</mi></mrow>
    </mrow>
    <mrow>
      <mi>d</mi><mi>x</mi>
    </mrow>
  </mfrac>
  <mo>=</mo>
  <mrow><mi>cos</mi><mo>&#x2061;<!--ApplyFunction--></mo><mi>x</mi></mrow>
</mrow>
dsinx dx = cosx

The bvar element may also contain a degree element, which specifies the order of the derivative to be taken.

4.3.8.2.2 Example

Content MathML

<apply><diff/>
  <bvar><ci>x</ci><degree><cn>2</cn></degree></bvar>
  <apply><power/><ci>x</ci><cn>4</cn></apply>
</apply>

Sample Presentation

<mfrac>
  <mrow>
    <msup><mi>d</mi><mn>2</mn></msup>
    <msup><mi>x</mi><mn>4</mn></msup>
  </mrow>
  <mrow><mi>d</mi><msup><mi>x</mi><mn>2</mn></msup></mrow>
</mfrac>
d2 x4 dx2
4.3.8.3 Partial Differentiation <partialdiff/>

Operator Syntax, Schema Class

The partialdiff element is the partial differentiation operator element for functions or expressions in several variables.

For the case of partial differentiation of a function, the containing partialdiff takes two arguments: firstly a list of indices indicating by position which function arguments are involved in constructing the partial derivatives, and secondly the actual function to be partially differentiated. The indices may be repeated.

4.3.8.3.1 Examples

Content MathML

<apply><partialdiff/>
  <list><cn>1</cn><cn>1</cn><cn>3</cn></list>
  <ci type="function">f</ci>
</apply>
<apply><partialdiff/>
  <list><cn>1</cn><cn>1</cn><cn>3</cn></list>
  <lambda>
    <bvar><ci>x</ci></bvar>
    <bvar><ci>y</ci></bvar>
    <bvar><ci>z</ci></bvar>
    <apply><ci>f</ci><ci>x</ci><ci>y</ci><ci>z</ci></apply>
  </lambda>
</apply>

Sample Presentation

<mrow>
  <msub>
    <mi>D</mi>
    <mrow><mn>1</mn><mo>,</mo><mn>1</mn><mo>,</mo><mn>3</mn></mrow>
  </msub>
  <mi>f</mi>
</mrow>
D 1,1,3 f
<mfrac>
  <mrow>
    <msup><mo></mo><mn>3</mn></msup>
    <mrow>
      <mi>f</mi>
      <mo>&#x2061;<!--ApplyFunction--></mo>
      <mrow><mo>(</mo><mi>x</mi><mo>,</mo><mi>y</mi><mo>,</mo><mi>z</mi><mo>)</mo></mrow>
    </mrow>
  </mrow>
  <mrow>
    <mrow><mo></mo><msup><mi>x</mi><mn>2</mn></msup></mrow>
    <mrow><mo></mo><mi>z</mi></mrow>
  </mrow>
</mfrac>
3 f (x,y,z) x2 z

In the case of algebraic expressions, the bound variables are given by bvar elements, which are children of the containing apply element. The bvar elements may also contain degree elements, which specify the order of the partial derivative to be taken in that variable.

Where a total degree of differentiation must be specified, this is indicated by use of a degree element at the top level, i.e. without any associated bvar, as a child of the containing apply element.

4.3.8.3.2 Examples

Content MathML

<apply><partialdiff/>
  <bvar><ci>x</ci></bvar>
  <bvar><ci>y</ci></bvar>
  <apply><ci type="function">f</ci><ci>x</ci><ci>y</ci></apply>
</apply>
<apply><partialdiff/>
  <bvar><ci>x</ci><degree><ci>m</ci></degree></bvar>
  <bvar><ci>y</ci><degree><ci>n</ci></degree></bvar>
  <degree><ci>k</ci></degree>
  <apply><ci type="function">f</ci>
    <ci>x</ci>
    <ci>y</ci>
  </apply>
</apply>

Sample Presentation

<mfrac>
  <mrow>
    <msup><mo></mo><mn>2</mn></msup>
    <mrow>
      <mi>f</mi>
      <mo>&#x2061;<!--ApplyFunction--></mo>
      <mrow><mo>(</mo><mi>x</mi><mo>,</mo><mi>y</mi><mo>)</mo></mrow>
    </mrow>
  </mrow>
  <mrow>
    <mrow><mo></mo><mi>x</mi></mrow>
    <mrow><mo></mo><mi>y</mi></mrow>
  </mrow>
</mfrac>
2 f (x,y) x y
<mfrac>
  <mrow>
    <msup><mo></mo><mi>k</mi></msup>
    <mrow>
      <mi>f</mi>
      <mo>&#x2061;<!--ApplyFunction--></mo>
      <mrow><mo>(</mo><mi>x</mi><mo>,</mo><mi>y</mi><mo>)</mo></mrow>
    </mrow>
  </mrow>
  <mrow>
    <mrow><mo></mo><msup><mi>x</mi><mi>m</mi></msup>
    </mrow>
    <mrow><mo></mo><msup><mi>y</mi><mi>n</mi></msup></mrow>
  </mrow>
</mfrac>
k f (x,y) xm yn

4.3.9 Constants

Constant symbols relate to mathematical constants such as e and true and also to names of sets such as the Real Numbers, and Integers. In Strict Content MathML, they rewrite simply to the corresponding symbol listed in the syntax tables for Arithmetic Constants and Set Theory Constants.

4.3.9.1 Arithmetic Constants: <exponentiale/>, <imaginaryi/>, <notanumber/>, <true/>, <false/>, <pi/>, <eulergamma/>, <infinity/>

Operator Syntax, Schema Class

The elements <exponentiale/>, <imaginaryi/>, <notanumber/>, <true/>, <false/>, <pi/>, <eulergamma/>, <infinity/> represent respectively:
the base of the natural logarithm, approximately 2.718;
the square root of -1, commonly written i;
not-a-number, i.e. the result of an ill-posed floating point computation (see [IEEE754]);
the Boolean value true;
the Boolean value false;
pi (π), approximately 3.142, which is the ratio of the circumference of a circle to its diameter;
the gamma constant (γ), approximately 0.5772;
infinity (∞).

4.3.9.1.1 Examples

Content MathML

<apply><eq/><apply><ln/><exponentiale/></apply><cn>1</cn></apply>
<apply><eq/><apply><power/><imaginaryi/><cn>2</cn></apply><cn>-1</cn></apply>
<apply><eq/><apply><divide/><cn>0</cn><cn>0</cn></apply><notanumber/></apply>
<apply><eq/><apply><or/><true/><ci type="boolean">P</ci></apply><true/></apply>
<apply><eq/><apply><and/><false/><ci type="boolean">P</ci></apply><false/></apply>
<apply><approx/><pi/><cn type="rational">22<sep/>7</cn></apply>
<apply><approx/><eulergamma/><cn>0.5772156649</cn></apply>
<infinity/>

Sample Presentation

<mrow>
  <mrow><mi>ln</mi><mo>&#x2061;<!--ApplyFunction--></mo><mi>e</mi></mrow>
  <mo>=</mo>
  <mn>1</mn>
</mrow>
lne = 1
<mrow><msup><mi>i</mi><mn>2</mn></msup><mo>=</mo><mn>-1</mn></mrow>
i2=-1
<mrow>
  <mrow><mn>0</mn><mo>/</mo><mn>0</mn></mrow>
  <mo>=</mo>
  <mi>NaN</mi>
</mrow>
0/0 = NaN
<mrow>
  <mrow><mi>true</mi><mo></mo><mi>P</mi></mrow>
  <mo>=</mo>
  <mi>true</mi>
</mrow>
trueP = true
<mrow>
  <mrow><mi>false</mi><mo></mo><mi>P</mi></mrow>
  <mo>=</mo>
  <mi>false</mi>
</mrow>
falseP = false
<mrow>
  <mi>π</mi>
  <mo></mo>
  <mrow><mn>22</mn><mo>/</mo><mn>7</mn></mrow>
</mrow>
π 22/7
<mrow>
  <mi>γ</mi><mo></mo><mn>0.5772156649</mn>
</mrow>
γ0.5772156649
<mi></mi>
4.3.9.2 Set Theory Constants: <integers/>, <reals/>, <rationals/>, <naturalnumbers/>, <complexes/>, <primes/>, <emptyset/>

Operator Syntax, Schema Class

These elements represent the standard number sets, Integers, Reals, Rationals, Natural Numbers (including zero), Complex Numbers, Prime Numbers, and the Empty Set.

4.3.9.2.1 Examples

Content MathML

<apply><in/><cn type="integer">42</cn><integers/></apply>
<apply><in/><cn type="real">44.997</cn><reals/></apply>
<apply><in/><cn type="rational">22<sep/>7</cn><rationals/></apply>
<apply><in/><cn type="integer">1729</cn><naturalnumbers/></apply>
<apply><in/><cn type="complex-cartesian">17<sep/>29</cn><complexes/></apply>
<apply><in/><cn type="integer">17</cn><primes/></apply>
<apply><neq/><integers/><emptyset/></apply>

Sample Presentation

<mrow>
  <mn>42</mn><mo></mo><mi mathvariant="double-struck">Z</mi>
</mrow>
42Z
<mrow>
  <mn>44.997</mn><mo></mo><mi mathvariant="double-struck">R</mi>
</mrow>
44.997R
<mrow>
  <mrow><mn>22</mn><mo>/</mo><mn>7</mn></mrow>
  <mo></mo>
  <mi mathvariant="double-struck">Q</mi>
</mrow>
22/7 Q
<mrow>
  <mn>1729</mn><mo></mo><mi mathvariant="double-struck">N</mi>
</mrow>
1729N
<mrow>
  <mrow>
    <mn>17</mn><mo>+</mo><mn>29</mn><mo>&#x2062;<!--InvisibleTimes--></mo><mi>i</mi>
  </mrow>
  <mo></mo>
  <mi mathvariant="double-struck">C</mi>
</mrow>
17+29i C
<mrow>
  <mn>17</mn><mo></mo><mi mathvariant="double-struck">P</mi>
</mrow>
17P
<mrow>
  <mi mathvariant="double-struck">Z</mi><mo></mo><mi></mi>
</mrow>
Z

4.3.10 Special Element forms

4.3.10.1 Quantifiers: <forall/>, <exists/>

Operator Syntax, Schema Class

The forall and <exists/> elements represent the universal (for all) and existential (there exists) quantifiers which take one or more bound variables, and an argument which specifies the assertion being quantified. In addition, condition or other qualifiers may be used to limit the domain of the bound variables.

4.3.10.1.1 Examples

Content MathML

<bind><forall/>
  <bvar><ci>x</ci></bvar>
  <apply><eq/>
    <apply><minus/><ci>x</ci><ci>x</ci></apply>
    <cn>0</cn>
  </apply>
</bind>

Sample Presentation

<mrow>
  <mo></mo>
  <mi>x</mi>
  <mo>.</mo>
  <mrow>
   <mo>(</mo>
    <mrow>
      <mrow><mi>x</mi><mo></mo><mi>x</mi></mrow>
      <mo>=</mo>
      <mn>0</mn>
    </mrow>
    <mo>)</mo>
  </mrow>
</mrow>
x . ( xx = 0 )

Content MathML

<bind><exists/>
  <bvar><ci>x</ci></bvar>
  <apply><eq/>
    <apply><ci>f</ci><ci>x</ci></apply>
    <cn>0</cn>
  </apply>
</bind>

Sample Presentation

<mrow>
  <mo></mo>
  <mi>x</mi>
  <mo>.</mo>
  <mrow>
   <mo>(</mo>
    <mrow>
      <mrow>
       <mi>f</mi>
       <mo>&#x2061;<!--ApplyFunction--></mo>
       <mrow><mo>(</mo><mi>x</mi><mo>)</mo></mrow>
      </mrow>
      <mo>=</mo>
      <mn>0</mn>
    </mrow>
    <mo>)</mo>
  </mrow>
</mrow>
x . ( f (x) = 0 )

Content MathML

<apply><exists/>
  <bvar><ci>x</ci></bvar>
  <domainofapplication>
    <integers/>
  </domainofapplication>
  <apply><eq/>
    <apply><ci>f</ci><ci>x</ci></apply>
    <cn>0</cn>
  </apply>
</apply>

Strict MathML equivalent:

<bind><csymbol cd="quant1">exists</csymbol>
  <bvar><ci>x</ci></bvar>
  <apply><csymbol cd="logic1">and</csymbol>
    <apply><csymbol cd="set1">in</csymbol>
      <ci>x</ci>
      <csymbol cd="setname1">Z</csymbol>
    </apply>
    <apply><csymbol cd="relation1">eq</csymbol>
      <apply><ci>f</ci><ci>x</ci></apply>
      <cn>0</cn>
    </apply>
  </apply>
</bind>

Sample Presentation

<mrow>
  <mo></mo>
  <mi>x</mi>
  <mo>.</mo>
  <mrow>
   <mo>(</mo>
    <mrow>
     <mi>x</mi><mo></mo><mi mathvariant="double-struck">Z</mi>
    </mrow>
    <mo></mo>
    <mrow>
      <mrow>
       <mi>f</mi>
       <mo>&#x2061;<!--ApplyFunction--></mo>
       <mrow><mo>(</mo><mi>x</mi><mo>)</mo></mrow>
      </mrow>
      <mo>=</mo>
      <mn>0</mn>
    </mrow>
    <mo>)</mo>
  </mrow>
</mrow>
x . ( xZ f (x) = 0 )
4.3.10.2 Lambda <lambda>

Operator Syntax, Schema Class

The lambda element is used to construct a user-defined function from an expression, bound variables, and qualifiers. In a lambda construct with n (possibly 0) bound variables, the first n children are bvar elements that identify the variables that are used as placeholders in the last child for actual parameter values. The bound variables can be restricted by an optional domainofapplication qualifier or one of its shorthand notations. The meaning of the lambda construct is an n-ary function that returns the expression in the last child where the bound variables are replaced with the respective arguments.

The domainofapplication child restricts the possible values of the arguments of the constructed function. For instance, the following lambda construct represents a function on the integers.

<lambda>
  <bvar><ci> x </ci></bvar>
  <domainofapplication><integers/></domainofapplication>
  <apply><sin/><ci> x </ci></apply>
</lambda>

If a lambda construct does not contain bound variables, then the lambda construct is superfluous and may be removed, unless it also contains a domainofapplication construct. In that case, if the last child of the lambda construct is itself a function, then the domainofapplication restricts its existing functional arguments, as in this example, which is a variant representation for the function above.

<lambda>
  <domainofapplication><integers/></domainofapplication>
  <sin/>
</lambda>

Otherwise, if the last child of the lambda construct is not a function, say a number, then the lambda construct will not be a function, but the same number, and any domainofapplication is ignored.

4.3.10.2.1 Examples

Content MathML

<lambda>
  <bvar><ci>x</ci></bvar>
  <apply><sin/>
    <apply><plus/><ci>x</ci><cn>1</cn></apply>
  </apply>
</lambda>

Sample Presentation

<mrow>
  <mi>λ</mi>
  <mi>x</mi>
  <mo>.</mo>
  <mrow>
   <mo>(</mo>
    <mrow>
      <mi>sin</mi>
      <mo>&#x2061;<!--ApplyFunction--></mo>
      <mrow><mo>(</mo><mi>x</mi><mo>+</mo><mn>1</mn><mo>)</mo></mrow>
    </mrow>
    <mo>)</mo>
  </mrow>
</mrow>
<mtext>&nbsp;or&nbsp;</mtext>
<mrow>
  <mi>x</mi>
  <mo></mo>
  <mrow>
    <mi>sin</mi>
    <mo>&#x2061;<!--ApplyFunction--></mo>
    <mrow><mo>(</mo><mi>x</mi><mo>+</mo><mn>1</mn><mo>)</mo></mrow>
  </mrow>
</mrow>
λ x . ( sin (x+1) )  or  x sin (x+1)
4.3.10.3 Interval <interval>

Operator Syntax, Schema Class

The interval element is a container element used to represent simple mathematical intervals of the real number line. It takes an optional attribute closure, which can take any of the values open, closed, open-closed, or closed-open, with a default value of closed.

As described in 4.3.3.1 Uses of <domainofapplication>, <interval>, <condition>, <lowlimit> and <uplimit>, interval is interpreted as a qualifier if it immediately follows bvar.

4.3.10.3.1 Example

Content MathML

<interval closure="open"><ci>x</ci><cn>1</cn></interval>
<interval closure="closed"><cn>0</cn><cn>1</cn></interval>
<interval closure="open-closed"><cn>0</cn><cn>1</cn></interval>
<interval closure="closed-open"><cn>0</cn><cn>1</cn></interval>

Sample Presentation

<mrow><mo>(</mo><mi>x</mi><mo>,</mo><mn>1</mn><mo>)</mo></mrow>
(x,1)
<mrow><mo>[</mo><mn>0</mn><mo>,</mo><mn>1</mn><mo>]</mo></mrow>
[0,1]
<mrow><mo>(</mo><mn>0</mn><mo>,</mo><mn>1</mn><mo>]</mo></mrow>
(0,1]
<mrow><mo>[</mo><mn>0</mn><mo>,</mo><mn>1</mn><mo>)</mo></mrow>
[0,1)
4.3.10.4 Limits <limit/>

Operator Syntax, Schema Class

The limit element represents the operation of taking a limit of a sequence. The limit point is expressed by specifying a lowlimit and a bvar, or by specifying a condition on one or more bound variables.

The direction from which a limiting value is approached is given as an argument limit in Strict Content MathML, which supplies the direction specifier symbols both_sides, above, and below for this purpose. The first correspond to the values all, above, and below of the type attribute of the tendsto element. The null symbol corresponds to the case where no type attribute is present.

4.3.10.4.1 Examples

Content MathML

<apply><limit/>
  <bvar><ci>x</ci></bvar>
  <lowlimit><cn>0</cn></lowlimit>
  <apply><sin/><ci>x</ci></apply>
</apply>
<apply><limit/>
  <bvar><ci>x</ci></bvar>
  <condition>
    <apply><tendsto/><ci>x</ci><cn>0</cn></apply>
  </condition>
  <apply><sin/><ci>x</ci></apply>
</apply>
<apply><limit/>
  <bvar><ci>x</ci></bvar>
  <condition>
    <apply><tendsto type="above"/><ci>x</ci><ci>a</ci></apply>
  </condition>
  <apply><sin/><ci>x</ci></apply>
</apply>

Sample Presentation

<mrow>
  <munder>
    <mi>lim</mi>
    <mrow><mi>x</mi><mo></mo><mn>0</mn></mrow>
  </munder>
  <mrow><mi>sin</mi><mo>&#x2061;<!--ApplyFunction--></mo><mi>x</mi></mrow>
</mrow>
lim x0 sinx
<mrow>
  <munder>
    <mi>lim</mi>
    <mrow><mi>x</mi><mo></mo><mn>0</mn></mrow>
  </munder>
  <mrow><mi>sin</mi><mo>&#x2061;<!--ApplyFunction--></mo><mi>x</mi></mrow>
</mrow>
lim x0 sinx
<mrow>
  <munder>
    <mi>lim</mi>
    <mrow><mi>x</mi><mo></mo><msup><mi>a</mi><mo>+</mo></msup></mrow>
  </munder>
  <mrow><mi>sin</mi><mo>&#x2061;<!--ApplyFunction--></mo><mi>x</mi></mrow>
</mrow>
lim xa+ sinx
4.3.10.5 Piecewise declaration <piecewise>, <piece>, <otherwise>

Operator Syntax, Schema Class

The piecewise, piece, and otherwise elements are used to represent piecewise function definitions of the form H(x) = 0 if x less than 0, H(x) = 1 otherwise.

The declaration is constructed using the piecewise element. This contains zero or more piece elements, and optionally one otherwise element. Each piece element contains exactly two children. The first child defines the value taken by the piecewise expression when the condition specified in the associated second child of the piece is true. The degenerate case of no piece elements and no otherwise element is treated as undefined for all values of the domain.

The otherwise element allows the specification of a value to be taken by the piecewise function when none of the conditions (second child elements of the piece elements) is true, i.e. a default value.

It should be noted that no order of execution is implied by the ordering of the piece child elements within piecewise. It is the responsibility of the author to ensure that the subsets of the function domain defined by the second children of the piece elements are disjoint, or that, where they overlap, the values of the corresponding first children of the piece elements coincide. If this is not the case, the meaning of the expression is undefined.

4.3.10.5.1 Example

Content MathML

<piecewise>
  <piece>
    <apply><minus/><ci>x</ci></apply>
    <apply><lt/><ci>x</ci><cn>0</cn></apply>
  </piece>
  <piece>
    <cn>0</cn>
    <apply><eq/><ci>x</ci><cn>0</cn></apply>
  </piece>
  <piece>
    <ci>x</ci>
    <apply><gt/><ci>x</ci><cn>0</cn></apply>
  </piece>
</piecewise>

Sample Presentation

<mrow>
  <mo>{</mo>
  <mtable>
    <mtr>
      <mtd><mrow><mo></mo><mi>x</mi></mrow></mtd>
      <mtd columnalign="left"><mtext>&#xa0; if &#xa0;</mtext></mtd>
      <mtd><mrow><mi>x</mi><mo>&lt;</mo><mn>0</mn></mrow></mtd>
    </mtr>
    <mtr>
      <mtd><mn>0</mn></mtd>
      <mtd columnalign="left"><mtext>&#xa0; if &#xa0;</mtext></mtd>
      <mtd><mrow><mi>x</mi><mo>=</mo><mn>0</mn></mrow></mtd>
    </mtr>
    <mtr>
      <mtd><mi>x</mi></mtd>
      <mtd columnalign="left"><mtext>&#xa0; if &#xa0;</mtext></mtd>
      <mtd><mrow><mi>x</mi><mo>&gt;</mo><mn>0</mn></mrow></mtd>
    </mtr>
  </mtable>
</mrow>
{ x   if   x<0 0   if   x=0 x   if   x>0

5. Annotating MathML: intent

MathML has been widely adopted by assistive technologies (AT). However, math notations can be ambiguous which can result in AT guessing at what should be spoken in some cases. MathML 4 adds a lightweight method for authors to express their intent: the intent attribute. This attribute is similar to the aria-label attribute with some important distinctions. In terms of accessibility, the major difference is that intent does not affect braille generation. Most languages have a separate braille code for math so that the words used for speech should not be affected by braille generation. Some languages, such as English, have more than one braille math code and it is impossible for the author to know which is desired by the reader. Hence, even if the author knew the (math) braille for the element, they could not override aria-label by using the proposed aria-braillelabel because they wouldn't know which code to use.

As described in 2.1.6 Attributes Shared by all MathML Elements, MathML elements allow attributes intent and arg that allow the intent of the term to be specified. This annotation is not meant to provide a full mathematical definition of the term. It is primarily meant to help AT generate audio and/or braille renderings, see C. MathML Accessibility. Nevertheless, it may also be useful to guide translations to Content MathML, or computational systems.

The intent attribute encodes a simple functional syntax representing the intended speech. A formal grammar is given below, but a typical example would be intent="power($base,$exponent)" used in a context such as:

<msup intent="power($base,$exp)">
  <mi arg="base">x</mi>
  <mi arg="exp">n</mi>
</msup>
x n

The intent value of power($base,$exp) makes it clear that the author intends that this expression denotes exponentiation as opposed to one of many other meanings of superscripts. Since power will be a concept supported by the AT, it may choose different ways of speaking depending on context, arguments or other details. For example, the above expression might be spoken as "x to the power n", but if "2" were given instead of "n", it may say "x squared".

5.1 The Grammar for intent

The value of the intent attribute, should match the following grammar.

intent             := self-property-list | expression
self-property-list := property+ S    
expression         := S ( term property* ) S 
term               := concept-or-literal | number | reference | application
concept-or-literal := NCName
number             := '-'? \d+ ( '.' \d+ )?
reference          := '$' NCName
application        := expression '(' arguments? S ')'
arguments          := expression ( ',' expression )*
property           := S ':' NCName
S                  := [ \t\n\r]*

Here NCName is as defined in in [xml-names], and digit is a character in the range 0–9.

The parts consist of:

concept-or-literal
Names should match the NCName production as used for no-namespace element name. A concept-or-literal are interpreted either as a concept or literal.
  • A concept corresponds to some mathematical or application specific function or concept. For many concepts, the words used to speak a concept are very similar to the name used when referencing a concept.

  • A literal is a name starting with _ (U+00F5). These will never be included in an Intent Concept Dictionary. The reading of a literal is generated by replacing any -, _, . in the name by spaces and then reading the resulting phrase.

number
An explicit number such as 2.5 denotes itself.
reference
An argument reference such as $name refers to a descendant element that has an attribute arg="name". Unlike id attributes, arg do not have to be unique within a document. When searching for a matching element the search should only consider descendants, while stopping early at any elements that have a set intent or arg attribute, without descending into them. Proper use of reference, instead of inserting equivalent literals, allows intent to be used while navigating the mathematical structure.
application
An application denotes a function applied to arguments using a standard prefix notation. Optionally, between the head of the function and the list of arguments there may be a property list as described below to influence the style of text reading generated, or to provide other information to any consumer of the intent.
property
A property annotates the intent with an additional property which may be used by the system to adjust the generated speech or Braille in system specifc ways. The property may be directly related to the speech form, such as :infix or indirectly affect the style of speech with properties such as :unit or :chemistry

The list of properties supported by any system is open but should include the core properties as described below.

self-property-list
At the top level, an intent may consist of just a non-empty list of properties. These apply to the current element as described in 5.4 Using Intent Concepts and Properties.
expression
A simple functional syntax using the terms described above.

5.2 Intent Concept Dictionaries

Every AT system that supports intent contains, at least implicitly, a list of the concepts that it recognizes. The details of matching and using concept names is given in 5.4 Using Intent Concepts and Properties. Such an AT SHOULD recognize the concepts in the Core list discussed below; It MAY also include concepts in the Open list discussed below, as well as any of its own.

An Intent Concept Dictionary is an abstract mapping of concept names to speech, text or braille for that concept; it is somewhat analogous to the B. Operator Dictionary used by MathML renderers in that it provides a set of defaults renderers should be aware of. The property also has some analogies to the operator dictionary's use of form because a match makes use of fixity properties (prefix, infix, etc.).

Intent Concept names are maintained in two lists, each maintained in the w3c/mathml-docs GitHub repository. Note that while these concept dictionaries are published as HTML tables (based on yaml data), there is no requirement on how a system implements the mapping from concepts to speech hints. Rather than a fixed list or hash table, it might use XPath matching, regular expressions, appropriately trained generative AI or any other suitable mechansim. The only requirement is that it should accept the cases listed in the Core concept dictionary and produce acceptable speech hints for those cases.

Future versions of the core concept list may incorporate names from the open list if usage indicates that is appropriate.

There are thousands of Unicode characters that might be used in MathML. As an aid to implementers, in the same repository there is a non-normative list of speech templates that provides suggested speech for many of these characters.

5.3 Intent Properties

Intent properties act as modifiers of the speech or Braille that otherwise would have been generated by the intent attribute. Most of these properties only have a defined effect in specific contexts, such as on the head of an application or applying to an <mtable>. The use of these properties in other contexts is not an error, but as with any properties, is by default ignored but may have a system-specific effect.

Similar to the lists of Concepts, the Working Group maintains a Properties list of property values that should be implemented.

Here, we describe the major classes of property affecting speech generation.

:prefix, :infix, :postfix, :function, :silent

These properties in a function application request that the reading of the name may be suppressed, or the word ordering may be affected. Note that the properties :prefix, :infix and :postfix refer to the spoken word order of the name and arguments, and not (necessarily) the order used in the displayed mathematical notation.

  • In the case of a supported concept name, the property MAY be used in choosing the alternatives supported by the AT. For example union is in the Core list with speech patterns "$1 union $2" and "union of $1 and $2". An intent union :prefix ($a,$b) would indicate that the latter style is preferred.
  • For literal or unsupported concept names, the text generated from the function head SHOULD be read as specified in the property.
    • f :prefix ($x) : f x
    • f :infix ($x,y) : x f y
    • f :postix ($x) : x f
    • f :function ($x, $y): f of x and y
    • f :silent ($x,$y) : x y
    The specific words used above are only examples; AT is free to choose other appropriate audio renderings. For example, f:function($x, $y) could also be spoken as f of x comma y. If none of these properties is used, the function property should be assumed unless the literal is silent (for example _) in which case the :silent property should be assumed. See the examples in 5.7 A Warning about literal and property.
:literal, :common, :legacy

These properties control the overall style of generated speech. The detailed description in each case is available in a separate document.

:literal requests that the AT should not infer any semantics and just speak the elements with a literal interpretation, including leaf content (eg | might be spoken as vertical bar). :common requests use of a specified set of heuristics do allow intents to be inferred for common notations. :legacy requests system-specific behavior.

:matrix, :system-of-equations, :lines, :continued-row, :equation-label

These properties may be used on an mtable or on a reference to an mtable, mtr and mtd. They affect the way the parts of an alignment are announced.

The exact wordings used are system specfic.

  • :matrix should be read in style suitable for matrices, with typically column numbers being announced.
  • :system-of-equations should be read in style suitable for displayed equations (and inequalities), with typically column numbers not being announced. Each table row would normally be announced as an "equation" but a continued-row property on an mtr indicates that the row continues an equation wrapped from the row above.
  • :equation-label may be used on an mtd to mark a cell containing an equation label.
:pause-short, :pause-medium, :pause-long, :pause-xlong
Used as a self-property causes a pause in speech before processing the element as usual.
:use-argname
Used as a self-property on an element with arg, causes the value of the arg attribute (possibly translated) to be spoken by AT when the user moves to that child.

5.4 Using Intent Concepts and Properties

When the intent attribute corresponding to a specific node contains a concept component, the AT's Intent Concept Dictionary should be consulted. The concept name should be normalized (_ (U+00F5) and . (U+002E) to - (U+002D)), and compared using ASCII case-insensitive match. If arguments were given explicitly in the intent then their number gives the arity, and the fixity is determined from an explicit property or may default from the concept dictionary. Otherwise, arity is assumed to be 0.

A concept is considered a supported concept (by the AT) when the normalized name, the fixity property, and the arity all match an entry in the AT's concept dictionary. This does not exclude implementations which support additional concepts, as well as concepts with many arities, fixities or aliases, as long as they are mapped appropriately. The speech hint in the matching entry can be used as a guide for the generation of specific audio, replacement text or braille renderings, as appropriate. It can also help clarify argument order. However, because common notations have many specialized ways of being spoken, the AT is NOT constrained to use the hint as given. For example, AT may vocalize a fraction marked up with <mfrac> as three quarters or three over x or may vocalize an inline fraction marked up as <mo>/</mo> as three divided by x. The choice may depend on the contents and carrier element associated with an intent="divide($num,$denom)". Note that properties other than those specifying fixity may also indicate different rendering choices.

Otherwise, if the concept name, fixity and arity do not match that is considered to be an unsupported concept (by the AT) and will be treated the same as a literal; that is, the name is spoken as-is after normalizing each of -, _ and . to an inter-word space. Even for an unsupported concept, if a fixity property and arguments were given, the speech for the arguments should be composed in a manner consistent with the given fixity property, if possible.

Note that future updates of an AT may add or remove concepts in its Intent Concept Dictionary. Hence which concepts are supported may change with each update.

In cases where the intent contains neither an explicit nor inferrable concept the AT should generally read out the MathML in a literal or structural fashion, as with the :literal property. However, any given properties should be respected if possible, and may be useful to indicate the kind of mathematical object, rather than giving an explicit concept name to be spoken. This can be a useful technique, especially for large constructs such as tables as it allows the children to be inferred without needing to be explicitly referenced in the intent as would be the case with an applicaton. For example, <mtable intent=":array">... might read the table as an array of values, whereas <mtable intent=":system-of-equations">... might read the table in a style more appropriate for a list of equations. In both cases the navigation of the underlying table structure can be supplied by the AT system, as it would for an unannotated table.

In general, depending upon the reader, AT may add words or sounds to make the speech clearer to the listener. For example, for someone who can not see the a fraction, AT might say fraction x over three end fraction so the listener knows exactly what is part of the fraction. For someone who can see the content, these extra words might be a distraction. AT should always produce speech that is appropriate to the community they serve.

5.5 Interpreting intent expressions

The exact effect of intent expressions on constructed speech or braille is system dependent. However, systems should act in a way consistent with the interpretations described in this section.

5.5.1 Multiple properties

If multiple properties appear in a self-property-list or term, then they are evaluated left-to right. In general all the properties may have an effect but in many cases groups of properties all set the same internal parameter and so their effects are mutually exclusive and the last one will take effect.

For example, f:prefix:suffix will act as f:suffix as both properties set the fixity parameter. Similarly :literal:common will act as :common as both properties set the default interpretation parameter. Conversely f:pause-medium:prefix would be the same as f:prefix:pause-medium as both properties would have an effect.

5.5.2 Expanding arg references

When interpreting an intent expression that includes a reference, the reference may be replaced by the effective intent of the referenced element. That is, if the referenced element has an intent attribute with an intent expression then the reference may be replaced by the expression, note that any properties following the reference will be at the end of the combined expression and so take priority over properties on the referenced element. If the referenced element has no intent, or if the intent is a self-property-list then the effective intent of the element, along with any properties from the property list will be used as the replacement form the reference. The effective intent of an element with no explicit intent expression is system specific but should be compatible with the current default rules for inferring intent (typically common or literal) The value may either be an inferred intent expression or may be a literal corresponding to the speech term that would be generated for that element.

5.5.3 Interpretation of self-properies

Properties that are part of a self-property-list (i.e., an intent value starting with a colon, :) are known as self-properties. The effect of any such property is limited to the element (and its descendants) although the precise effect depends on the definition of the property. So for example:

  • <mrow intent=":pause-medium"><mi>x</mi>...</mrow> would inidcate there should be a pause in speech before the mrow is procesed (it would not cause a pause before all descentant elements).
  • <mrow intent=":literal"><mi>x</mi>...</mrow> would set the parameter corresponding to the default intent inference rules to literal. This would cause the intent for this mrow, including all its descendants to use the literal rules for inferring intent unless they have an explicit intent or use another self-property such as :common to over-ride this.

5.5.4 Examples

In this section we show some examples using the above interpretation to expand intent expressions.

factorial
<mrow intent="$xf:prefix">
 <mrow arg="xf" intent="$f:function($x)">
  <mi arg="x">x</mi><mo arg="f" intent="factorial:suffix">!</mo>
 </mrow>
</mrow>

Expanding out all the references leads to

<mrow intent="factorial:suffix:function:prefix(_x)">
 <mrow arg="xf" intent="factorial:suffix:function(_x)">
  <mi arg="x">x</mi><mo arg="f" intent="factorial:suffix">!</mo>
 </mrow>
</mrow>
</mrow>

The entire expression would be read based on the intent of the first mrow, which is equivalent to factorial:prefix(_x) so read as factorial x.

common/literal
<mrow intent=":common">
 <msup><mi>x</mi><mn>2</mn></msup>
 <mo>+</mo>
 <mrow intent=":literal">
  <msup><mi>x</mi><mn>2</mn></msup>
 </mrow>
 <mo>+</mo>
 <msup><mi>x</mi><mn>2</mn></msup>
</mrow>
</mrow>

Here the first mrow sets the default rules to common for the scope of that element so the first msup, having no intent is interpreted as power and read as x squared

The second mrow sets the default rules to literal for the scope of that element so the second msup having no intent is read as x superscript 2

The final msup is again in the scope of common so read as x squared

Note that the effect of these :common and :literal properties as setting the default rules for elements with no intent are part of the property description there is no separate classification needed of properties. The fact that they set the same internal default rule parameter also explains why they are mutually exclusive, just as fixity properties such as :prefix and :suffix set the same "fixity" parameter and so just one can have an effect on any term.

system-of-equations/matrix
<mtable intent=":system-of-equations">
  <mtr>
   <mtd>
    <mo>(</mo>
    <mtable intent=":matrix"><mtr><mtd><mn>1</mn></mtd><mtd><mn>2</mn></mtd></mtr></mtable>
    <mo>)</mo>
   </mtd>
   <mtd>
    <mo>+</mo>
   </mtd>
   <mtd>
    <mo>(</mo>
    <mtable intent=":matrix"><mtr><mtd><mn>2</mn></mtd><mtd><mn>3</mn></mtd></mtr></mtable>
    <mo>)</mo>
   </mtd>
   <mtd>
    <mo>=</mo>
   </mtd>
   <mtd>
    <mo>(</mo>
    <mtable intent=":matrix"><mtr><mtd><mn>3</mn></mtd><mtd><mn>5</mn></mtd></mtr></mtable>
    <mo>)</mo>
   </mtd>
  </mtr>
 </mtable>

Here the first mtable will be read as a system of equations, (only one unlabelled equation here so probably: one equation:... the :system-of-equations property is defined to only affect the current mtable the nested mtable are not affected by the outer :system-of-equation property and are read using the :matrix property so the overall reading is

1 line
the 1 by 2 row matrix 1 2
plus
the 1 by 2 row matrix 2 3
is equal to
the 1 by 2 row matrix 3 5
functional head
<mrow intent="$op:infix($x,$y)">
  <mi arg="x">x</mi>
  <msup arg="op" intent="converse:postfix(L)">
    <mi>R</mi>
    <mi>T</mi>
  </msup>
  <mi arg="y">y</mi>
</mrow>

this would be equivalent to

<mrow intent="converse:postfix(L):infix(_x,_y)">
  <mi arg="x">x</mi>
  <msup arg="op" intent="converse:postfix(L)">
    <mi>R</mi>
    <mi>T</mi>
  </msup>
  <mi arg="y">y</mi>
</mrow>

so read as x L converse y (with :infix applying to L converse). This would match the reading obtained by removing the first intent and simply reading the child elements in order.

pause
<mrow>
  <mrow>
    <mi>a</mi><mi>b</mi>
  </mrow>
  <mrow intent=":pause-long">
    <mi>c</mi><mi>d</mi>
  </mrow>
</mrow>

This reads as a b pause c d

Note that on the self property :pause-long just acts once, it has no effect on descendants of the element on which it was applied.

ref to common
 <mrow intent="wibble($a,$b,$c)">
 <msup arg="a" intent=":common"><mi>x</mi><mn>2</mn></msup>
 <mo>+</mo>
  <msup arg="b" intent=":literal"><mi>x</mi><mn>2</mn></msup>
 <mo>+</mo>
 <msup arg="c"><mi>x</mi><mn>2</mn></msup>
</mrow>

Here the referenced elements have no intent, or intents just consisting of self-properties so the effective intent in each case is system specific speech string but controlled by the "common" rules in the first case, the "literal" rules in the second, and by the "legacy" rules in the third, resulting in the following (assuming the legacy reading is the same as common here)

<mrow intent="wibble(_x_squared,x_superscript_2,_x_squared)">
 <msup arg="a" intent=":common"><mi>x</mi><mn>2</mn></msup>
 <mo>+</mo>
  <msup arg="b" intent=":literal"><mi>x</mi><mn>2</mn></msup>
 <mo>+</mo>
 <msup arg="c"><mi>x</mi><mn>2</mn></msup>
</mrow>

which would be read as

wibble of x squared comma supercript two comma x squared

compound units
<mrow intent=":unit">
  <mi>W</mi>
  <mo>/</mo>
  <msup>
    <mi>m</mi>
    <mn>2</mn>
  </msup>
</mrow>

there the :unit property sets the default interpretation to be "unit style" for the scope of the mrow the exact words used are as always system dependent but typically <mi>W</mi> will be read as Watts and <mo>/</mo> as per so

Watts per square metre

5.6 Intent Error Handling

An intent processor may report errors in intent expressions in any appropriate way, including returning a message as the generated text, or throwing an exception (error) in whatever form the implementation supports. However in web platform contexts it is often not appropriate to report errors to the reader who has no access to correct the source, so intent procesors should offer a mode which recovers from errors as described below.

5.6.1 Intent Error Recovery

  1. If an intent attribute does not match the grammar 5.1 The Grammar for intent, then the processor should act as if the attribute were not present. Typically this will result in a suitable fallback text being generated from the MathML element and its descendants. Note that just the erroneous attribute is ignored, other intent attributes in the MathML expression should be used.
  2. If a reference such as $x does not correspond to an arg attribute with value x on a descendant element, the processor should act as if the reference were replaced by the literal _dollar_x.

5.7 A Warning about literal and property

The literal and property features extend the coverage of mathematical concepts beyond the predefined dictionaries and allow expression of speech preferences. For example, when $x and $y reference <mi arg="x">x</mi> and <mi arg="y">y</mi> respectively, then

These features also allow taking almost complete control of the generated speech. For example, compare:

However, since the literals are not in dictionaries, the meaning behind the expressions become more opaque, and thus excessive use of these features will tend to limit the AT's ability to adapt to the needs of the user, as well as limit translation and locale-specific speech. Thus, the last two examples would be discouraged.

Conversely, when specific speech not corresponding to a meaningful concept is nevertheless required, it will be better to use a literal name (prefixed with _) rather than an unsupported concept. This avoids unexpected collisions with future updates to the concept dictionaries. Thus, the last example is particularly discouraged.

5.8 Intent Examples

A primary use for intent is to disambiguate cases where the same syntax is used for different meanings, and typically has different readings.

Superscript, msup, may represent a power, a transpose, a derivative or an embellished symbol. These cases would be distinguished as follows, showing possible readings with and without intent

<msup intent="power($base,$exp)">
  <mi arg="base">x</mi>
  <mi arg="exp">n</mi>
</msup>
x to the n-th power
x superscript n end superscript
x n

An alternative default rendering without intent would be to assume that msup is always a power, so the second rendering above might also be x to the n-th power. In that case the second renderings below will (incorrectly) speak the examples using raised to the ... power.

<msup intent="$op($a)">
  <mi arg="a">A</mi>
  <mi arg="op" intent="transpose">T</mi>
</msup>
transpose of A
A superscript T end superscript
A T

However, with a property, this example might be read differently.

<msup intent="$op :postfix ($a)">
  <mi arg="a">A</mi>
  <mi arg="op" intent="transpose">T</mi>
</msup>
A transpose
A T
<msup intent="derivative($a)">
  <mi arg="a">f</mi>
  <mi></mi>
</msup>
derivative of f
f superscript prime end superscript
f
<msup intent="x-prime">
  <mi>x</mi>
  <mo></mo>
</msup>
x prime
x superscript prime end superscript
x

Custom accessible descriptions, such as author-preferred variable or operator names, can also be annotated compositionally, via the underscore function.

The above notation could instead intend the custom name "x-new", which we can mark with a single literal intent="_x-new", or as a compound narration of two arguments:

<msup intent="_($base,$script)">
  <mi arg="base">x</mi>
  <mo arg="script" intent="_new"></mo>
</msup>
x new
x superscript prime end superscript
x

Using the underscore function may also add clarity when the fragments of a compound name are explicitly localized. A cyrillic (Bulgarian) example:

<msup intent="_($base,$script)">
  <mi arg="base" intent="_хикс">x</mi>
  <mo arg="script" intent="_прим"></mo>
</msup>
хикс прим
x superscript prime end superscript
x

Alternatively, the narration of individual fragments could be fully delegated to AT, while still specifying their grouping:

<msup intent="_($base,$script)">
  <mi arg="base">x</mi>
  <mo arg="script"></mo>
</msup>
x prime
x superscript prime end superscript
x

An overbar may represent complex conjugation, or mean (average), again with possible readings with and without intent:

<mover intent="conjugate($v)">
  <mi arg="v">z</mi>
  <mo>&#xaf;</mo>
</mover>
<mtext>&#x00A0;<!--nbsp-->is not&#x00A0;<!--nbsp--></mtext>
<mover intent="mean($var)">
  <mi arg="var">X</mi>
  <mo>&#xaf;</mo>
</mover>
conjugate of z is not mean of X
z with bar above is not X with bar above
z ¯  is not  X ¯

The intent mechanism is extensible through the use of unsupported concept names. For example, assuming that the Bell Number is not present in any of the dictionaries, the following example

<msub intent="bell-number($index)">
  <mi>B</mi>
  <mn arg="index">2</mn>
</msub>

will still produce the expected reading:

bell number of 2
B 2

5.8.1 CSS and Style

CSS customization of MathML is generally not made available to AT and is ignored in accessible readouts. In cases where authors have meaningful stylistic emphases, or stylized constructs with custom names, using an intent attribute is appropriate. For example, color-coding of subexpressions is often helpful in teaching materials:

<mn>1</mn><mo>+</mo>
<mrow style="padding:0.1em;background-color:lightyellow;"
      intent="highlighted-step($step)">
  <mfrac arg="step"><mn>6</mn><mn>2</mn></mfrac>
</mrow>
<mi>x</mi>
<mo>=</mo>
<mn>1</mn><mo>+</mo>
<mn style="padding:0.1em;background-color:lightgreen;"
    intent="highlighted-result(3)">3</mn>
<mi>x</mi>
one plus highlighted step of six over two end highlighted step x equals one plus highlighted result of three end highlighted result x
1+ 62 x = 1+ 3 x

5.8.2 Tables

The <mtable> element is used in many ways, for denoting matrices, systems of equations, steps in a proof derivation, etc. In addition to these uses it may be used to implement forced line breaking and alignment, especially for systems that do not implement 3.1.7 Linebreaking of Expressions, or for conversions from (La)TeX where alignment constructs are used in similar ways.

Whenever a kind of tabular construct has an associated property, it is usually better to use only the property and allow AT to infer how to speak navigate the expression. By use of properties in this way the author can give hints to the speech generation and generate speech suitable for a list of aligned equations rather than say a matrix.

When core properties are insufficient to represent a tabular layout, the use of intent concept names and, if appropriate, also properties from the open list of properties should be used to convey the desired speech and navigation of the tabular layout. Because of the likely complexity of these layouts, testing with AT should be done to verify that users hear the expression as the author intended.

Matrices

<mrow intent='$m'>
  <mo>(</mo>
  <mtable arg='m' intent=':matrix'>
    <mtr>
      <mtd><mn>1</mn></mtd>
      <mtd><mn>0</mn></mtd>
    </mtr>
    <mtr>
      <mtd><mn>0</mn></mtd>
      <mtd><mn>1</mn></mtd>
    </mtr>
  </mtable>
  <mo>)</mo>
</mrow>
The 2 by 2 matrix;
column 1; 1;
column 2; 0;
column 1; 0;
column 2; 1;
end matrix
( 1 0 0 1 )

Aligned equations

<mtable intent=':equations'>
  <mtr>
    <mtd columnalign="right">
      <mn>2</mn>
      <mo>&#x2062;<!--InvisibleTimes--></mo>
      <mi>x</mi>
    </mtd>
    <mtd columnalign="center">
      <mo>=</mo>
    </mtd>
    <mtd columnalign="left">
      <mn>1</mn>
    </mtd>
  </mtr>
  <mtr>
    <mtd columnalign="right">
      <mi>y</mi>
    </mtd>
    <mtd columnalign="center">
      <mo>></mo>
    </mtd>
    <mtd columnalign="left">
      <mi>x</mi>
      <mo>-</mo>
      <mn>3</mn>
    </mtd>
  </mtr>
</mtable>
2 equations,
equation 1; 2 x, is equal to, 1;
equation 2; y, is greater than, x minus 3;
2 x = 1 y > x - 3

Aligned Equations with wrapped expressions

<mtable intent=':equations'>
  <mtr>
    <mtd columnalign="right">
      <mi>a</mi>
    </mtd>
    <mtd columnalign="center">
      <mo>=</mo>
    </mtd>
    <mtd columnalign="left">
      <mi>b</mi>
      <mo>+</mo>
      <mi>c</mi>
      <mo>-</mo>
      <mi>d</mi>
    </mtd>
  </mtr>
  <mtr intent=':continued-row'>
    <mtd columnalign="right"></mtd>
    <mtd columnalign="center"></mtd>
    <mtd columnalign="left">
      <mo form="infix">+</mo>
      <mi>e</mi>
      <mo>-</mo>
      <mi>f</mi>
    </mtd>
  </mtr>
</mtable>
1 equation; a, is equal to, b plus c minus d; plus e minus f;
a = b + c - d + e - f

6. Annotating MathML: semantics

In addition to the intent attribute described above, MathML provides a more general framework for annotation. A MathML expression may be decorated with a sequence of pairs made up of a symbol that indicates the kind of annotation, known as the annotation key, and associated data, known as the annotation value.

The semantics, annotation, and annotation-xml elements are used together to represent annotations in MathML. The semantics element provides the container for an expression and its annotations. The annotation element is the container for text annotations, and the annotation-xml element is used for structured annotations. The semantics element contains the expression being annotated as its first child, followed by a sequence of zero or more annotation and/or annotation-xml elements.

The semantics element is considered to be both a presentation element and a content element, and may be used in either context. All MathML processors should process the semantics element, even if they only process one of these two subsets of MathML, or [MathML-Core].

6.1 Annotation keys

An annotation key specifies the relationship between an expression and an annotation. Many kinds of relationships are possible. Examples include alternate representations, specification or clarification of semantics, type information, rendering hints, and private data intended for specific processors. The annotation key is the primary means by which a processor determines whether or not to process an annotation.

The logical relationship between an expression and an annotation can have a significant impact on the proper processing of the expression. For example, a particular annotation form, called semantic attributions, cannot be ignored without altering the meaning of the annotated expression, at least in some processing contexts. On the other hand, alternate representations do not alter the meaning of an expression, but may alter the presentation of the expression as they are frequently used to provide rendering hints. Still other annotations carry private data or metadata that are useful in a specific context, but do not alter either the semantics or the presentation of the expression.

Annotation keys may be defined as a symbol in a Content Dictionary, and are specified using the cd and name attributes on the annotation and annotation-xml elements. Alternatively, an annotation key may also be referenced using the definitionURL attribute as an alternative to the cd and name attributes.

MathML provides two predefined annotation keys for the most common kinds of annotations: alternate-representation and contentequiv defined in the mathmlkeys content dictionary. The alternate-representation annotation key specifies that the annotation value provides an alternate representation for an expression in some other markup language, and the contentequiv annotation key specifies that the annotation value provides a semantically equivalent alternative for the annotated expression.

The default annotation key is alternate-representation when no annotation key is explicitly specified on an annotation or annotation-xml element.

Typically, annotation keys specify only the logical nature of the relationship between an expression and an annotation. The data format for an annotation is indicated with the encoding attribute. In MathML 2, the encoding attribute was the primary information that a processor could use to determine whether or not it could understand an annotation. For backward compatibility, processors are encouraged to examine both the annotation key and encoding attribute. In particular, MathML 2 specified the predefined encoding values MathML, MathML-Content, and MathML-Presentation. The MathML encoding value is used to indicate an annotation-xml element contains a MathML expression. The use of the other values is more specific, as discussed in following sections.

6.2 Alternate representations

Alternate representation annotations are most often used to provide renderings for an expression, or to provide an equivalent representation in another markup language. In general, alternate representation annotations do not alter the meaning of the annotated expression, but may alter its presentation.

A particularly important case is the use of a presentation MathML expression to indicate a preferred rendering for a content MathML expression. This case may be represented by labeling the annotation with the application/mathml-presentation+xml value for the encoding attribute. For backward compatibility with MathML 2.0, this case can also be represented with the equivalent MathML-Presentation value for the encoding attribute. Note that when a presentation MathML annotation is present in a semantics element, it may be used as the default rendering of the semantics element, instead of the default rendering of the first child.

In the example below, the semantics element binds together various alternate representations for a content MathML expression. The presentation MathML annotation may be used as the default rendering, while the other annotations give representations in other markup languages. Since no attribution keys are explicitly specified, the default annotation key alternate-representation applies to each of the annotations.

<semantics>
  <apply>
    <plus/>
    <apply><sin/><ci>x</ci></apply>
    <cn>5</cn>
  </apply>
  <annotation-xml encoding="MathML-Presentation">
    <mrow>
      <mrow>
        <mi>sin</mi>
        <mo>&#x2061;<!--ApplyFunction--></mo>
        <mrow><mo>(</mo><mi>x</mi><mo>)</mo></mrow>
      </mrow>
      <mo>+</mo>
      <mn>5</mn>
    </mrow>
  </annotation-xml>
  <annotation encoding="application/x-maple">sin(x) + 5</annotation>
  <annotation encoding="application/vnd.wolfram.mathematica">Sin[x] + 5</annotation>
  <annotation encoding="application/x-tex">\sin x + 5</annotation>
  <annotation-xml encoding="application/openmath+xml">
    <OMA xmlns="http://www.openmath.org/OpenMath">
      <OMA>
        <OMS cd="arith1" name="plus"/>
        <OMA><OMS cd="transc1" name="sin"/><OMV name="x"/></OMA>
        <OMI>5</OMI>
      </OMA>
    </OMA>
  </annotation-xml>
</semantics>

Note that this example makes use of the namespace extensibility that is only available in the XML syntax of MathML. If this example is included in an HTML document then it would be considered invalid and the OpenMath elements would be parsed as elements in the MathML namespace. See 6.7.3 Using annotation-xml in HTML documents for details.

6.3 Content equivalents

Content equivalent annotations provide additional computational information about an expression. Annotations with the contentequiv key cannot be ignored without potentially changing the behavior of an expression.

An important case arises when a content MathML annotation is used to disambiguate the meaning of a presentation MathML expression. This case may be represented by labeling the annotation with the application/mathml-content+xml value for the encoding attribute. In MathML 2, this type of annotation was represented with the equivalent MathML-Content value for the encoding attribute, so processors are urged to support this usage for backward compatibility. The contentequiv annotation key should be used to make an explicit assertion that the annotation provides a definitive content markup equivalent for an expression.

In the example below, an ambiguous presentation MathML expression is annotated with a MathML-Content annotation clarifying its precise meaning.

<semantics>
  <mrow>
    <mrow>
      <mi>a</mi>
      <mrow>
        <mo>(</mo>
        <mrow><mi>x</mi><mo>+</mo><mn>5</mn></mrow>
        <mo>)</mo>
      </mrow>
    </mrow>
  </mrow>
  <annotation-xml cd="mathmlkeys" name="contentequiv" encoding="MathML-Content">
    <apply>
      <ci>a</ci>
      <apply><plus/><ci>x</ci><cn>5</cn></apply>
    </apply>
  </annotation-xml>
</semantics>

6.4 Annotation references

In the usual case, each annotation element includes either character data content (in the case of annotation) or XML markup data (in the case of annotation-xml) that represents the annotation value. There is no restriction on the type of annotation that may appear within a semantics element. For example, an annotation could provide a TeX encoding, a linear input form for a computer algebra system, a rendered image, or detailed mathematical type information.

In some cases the alternative children of a semantics element are not an essential part of the behavior of the annotated expression, but may be useful to specialized processors. To enable the availability of several annotation formats in a more efficient manner, a semantics element may contain empty annotation and annotation-xml elements that provide encoding and src attributes to specify an external location for the annotation value associated with the annotation. This type of annotation is known as an annotation reference.

<semantics>
  <mfrac><mi>a</mi><mrow><mi>a</mi><mo>+</mo><mi>b</mi></mrow></mfrac>
  <annotation encoding="image/png" src="333/formula56.png"/>
  <annotation encoding="application/x-maple" src="333/formula56.ms"/>
</semantics>

Processing agents that anticipate that consumers of exported markup may not be able to retrieve the external entity referenced by such annotations should request the content of the external entity at the indicated location and replace the annotation with its expanded form.

An annotation reference follows the same rules as for other annotations to determine the annotation key that specifies the relationship between the annotated object and the annotation value.

6.5 The <semantics> element

6.5.1 Description

The semantics element is the container element that associates annotations with a MathML expression. The semantics element has as its first child the expression to be annotated. Any MathML expression may appear as the first child of the semantics element. Subsequent annotation and annotation-xml children enclose the annotations. An annotation represented in XML is enclosed in an annotation-xml element. An annotation represented in character data is enclosed in an annotation element.

As noted above, the semantics element is considered to be both a presentation element and a content element, since it can act as either, depending on its content. Consequently, all MathML processors should process the semantics element, even if they process only presentation markup or only content markup.

The default rendering of a semantics element is the default rendering of its first child. A renderer may use the information contained in the annotations to customize its rendering of the annotated element.

<semantics>
  <mrow>
    <mrow>
      <mi>sin</mi>
      <mo>&#x2061;<!--ApplyFunction--></mo>
      <mrow><mo>(</mo><mi>x</mi><mo>)</mo></mrow>
    </mrow>
    <mo>+</mo>
    <mn>5</mn>
  </mrow>
  <annotation-xml cd="mathmlkeys" name="contentequiv" encoding="MathML-Content">
    <apply>
      <plus/>
      <apply><sin/><ci>x</ci></apply>
      <cn>5</cn>
    </apply>
  </annotation-xml>
  <annotation encoding="application/x-tex">\sin x + 5</annotation>
</semantics>
sin (x) + 5 x 5 \sin x + 5

6.6 The <annotation> element

6.6.1 Description

The annotation element is the container element for a semantic annotation whose representation is parsed character data in a non-XML format. The annotation element should contain the character data for the annotation, and should not contain XML markup elements. If the annotation contains one of the XML reserved characters &, < then these characters must be encoded using an entity reference or (in the XML syntax) an XML CDATA section.

6.6.2 Attributes

Name values default
definitionURL URI none
The location of the annotation key symbol
encoding string none
The encoding of the semantic information in the annotation
cd string mathmlkeys
The content dictionary that contains the annotation key symbol
name string alternate-representation
The name of the annotation key symbol
src URI none
The location of an external source for semantic information

Taken together, the cd and name attributes specify the annotation key symbol, which identifies the relationship between the annotated element and the annotation, as described in 6.5 The <semantics> element. The definitionURL attribute provides an alternate way to reference the annotation key symbol as a single attribute. If none of these attributes are present, the annotation key symbol is the symbol alternate-representation from the mathmlkeys content dictionary.

The encoding attribute describes the content type of the annotation. The value of the encoding attribute may contain a media type that identifies the data format for the encoding data. For data formats that do not have an associated media type, implementors may choose a self-describing character string to identify their content type.

The src attribute provides a mechanism to attach external entities as annotations on MathML expressions.

<annotation encoding="image/png" src="333/formula56.png"/>

The annotation element is a semantic mapping element that may only be used as a child of the semantics element. While there is no default rendering for the annotation element, a renderer may use the information contained in an annotation to customize its rendering of the annotated element.

6.7 The <annotation-xml> element

6.7.1 Description

The annotation-xml element is the container element for a semantic annotation whose representation is structured markup. The annotation-xml element should contain the markup elements, attributes, and character data for the annotation.

6.7.2 Attributes

Name values default
definitionURL URI none
The location of the annotation key symbol
encoding string none
The encoding of the semantic information in the annotation
cd string mathmlkeys
The content dictionary that contains the annotation key symbol
name string alternate-representation
The name of the annotation key symbol
src URI none
The location of an external source for semantic information

Taken together, the cd and name attributes specify the annotation key symbol, which identifies the relationship between the annotated element and the annotation, as described in 6.5 The <semantics> element. The definitionURL attribute provides an alternate way to reference the annotation key symbol as a single attribute. If none of these attributes are present, the annotation key symbol is the symbol alternate-representation from the mathmlkeys content dictionary.

The encoding attribute describes the content type of the annotation. The value of the encoding attribute may contain a media type that identifies the data format for the encoding data. For data formats that do not have an associated media type, implementors may choose a self-describing character string to identify their content type. In particular, as described above and in 7.2.4 Names of MathML Encodings, MathML specifies MathML, MathML-Presentation, and MathML-Content as predefined values for the encoding attribute. Finally, the src attribute provides a mechanism to attach external XML entities as annotations on MathML expressions.

<annotation-xml cd="mathmlkeys" name="contentequiv" encoding="MathML-Content">
  <apply>
    <plus/>
    <apply><sin/><ci>x</ci></apply>
    <cn>5</cn>
  </apply>
</annotation-xml>

<annotation-xml encoding="application/openmath+xml">
  <OMA xmlns="http://www.openmath.org/OpenMath">
    <OMS cd="arith1" name="plus"/>
    <OMA><OMS cd="transc1" name="sin"/><OMV name="x"/></OMA>
    <OMI>5</OMI>
  </OMA>
</annotation-xml>

When the MathML is being parsed as XML and the annotation value is represented in an XML dialect other than MathML, the namespace for the XML markup for the annotation should be identified by means of namespace attributes and/or namespace prefixes on the annotation value. For instance:

<annotation-xml encoding="application/xhtml+xml">
  <html xmlns="http://www.w3.org/1999/xhtml">
    <head><title>E</title></head>
    <body>
      <p>The base of the natural logarithms, approximately 2.71828.</p>
    </body>
  </html>
</annotation-xml>

The annotation-xml element is a semantic mapping element that may only be used as a child of the semantics element. While there is no default rendering for the annotation-xml element, a renderer may use the information contained in an annotation to customize its rendering of the annotated element.

6.7.3 Using annotation-xml in HTML documents

Note that the Namespace extensibility used in the above examples may not be available if the MathML is not being treated as an XML document. In particular HTML parsers treat xmlns attributes as ordinary attributes, so the OpenMath example would be classified as invalid by an HTML validator. The OpenMath elements would still be parsed as children of the annotation-xml element, however they would be placed in the MathML namespace. The above examples are not rendered in the HTML version of this specification, to ensure that that document is a valid HTML5 document.

The details of the HTML parser handling of annotation-xml is specified in [HTML] and summarized in 7.4.3 Mixing MathML and HTML, however the main differences from the behavior of an XML parser that affect MathML annotations are that the HTML parser does not treat xmlns attributes, nor : in element names as special and has built-in rules determining whether the three known namespaces, HTML, SVG or MathML are used.

  • If the annotation-xml has an encoding attribute that is (ignoring case differences) text/html or annotation/xhtml+xml then the content is parsed as HTML and placed (initially) in the HTML namespace.

  • Otherwise it is parsed as foreign content and parsed in a more XML-like manner (like MathML itself in HTML) in which /> signifies an empty element. Content will be placed in the MathML namespace.

    If any recognised HTML element appears in this foreign content annotation the HTML parser will effectively terminate the math expression, closing all open elements until the math element is closed, and then process the nested HTML as if it were not inside the math context. Any following MathML elements will then not render correctly as they are not in a math context, or in the MathML namespace.

These issues mean that the following example is valid whether parsed by an XML or HTML parser:

<math>
  <semantics>
    <mi>a</mi>
    <annotation-xml encoding="text/html">
      <span>xxx</span>
    </annotation-xml>
  </semantics>
  <mo>+</mo>
  <mi>b</mi>
</math>

However if the encoding attribute is omitted then the expression is only valid if parsed as XML:

<math>
  <semantics>
    <mi>a</mi>
    <annotation-xml>
      <span>xxx</span>
    </annotation-xml>
  </semantics>
  <mo>+</mo>
  <mi>b</mi>
</math>

If the above is parsed by an HTML parser it produces a result equivalent to the following invalid input, where the span element has caused all MathML elements to be prematurely closed. The remaining MathML elements following the span are no longer contained within <math> so will be parsed as unknown HTML elements and render incorrectly.

<math xmlns="http://www.w3.org/1998/Math/MathML">
  <semantics>
    <mi>a</mi>
    <annotation-xml>
    </annotation-xml>
  </semantics>
</math>
<span xmlns="http://www.w3.org/1999/xhtml">xxx</span>
<mo xmlns="http://www.w3.org/1999/xhtml">+</mo>
<mi xmlns="http://www.w3.org/1999/xhtml">b</mi>

Note here that the HTML span element has caused all open MathML elements to be prematurely closed, resulting in the following MathML elements being treated as unknown HTML elements as they are no longer descendants of math. See 7.4.3 Mixing MathML and HTML for more details of the parsing of MathML in HTML.

Any use of elements in other vocabularies (such as the OpenMath examples above) is considered invalid in HTML. If validity is not a strict requirement it is possible to use such elements but they will be parsed as elements on the MathML namespace. Documents SHOULD NOT use namespace prefixes and element names containing colon (:) as the element nodes produced by the HTML parser have local names containing a colon, which can not be constructed by a namespace aware XML parser. Rather than use such foreign annotations, when using an HTML parser it is better to encode the annotation using the existing vocabulary. For example as shown in 4. Content Markup OpenMath may be encoded faithfully as Strict Content MathML. Similarly RDF annotations could be encoded using RDFa in text/html annotation or (say) N3 notation in annotation rather than using RDF/XML encoding in an annotation-xml element.

6.8 Combining Presentation and Content Markup

Presentation markup encodes the notational structure of an expression. Content markup encodes the functional structure of an expression. In certain cases, a particular application of MathML may require a combination of both presentation and content markup. This section describes specific constraints that govern the use of presentation markup within content markup, and vice versa.

6.8.1 Presentation Markup in Content Markup

Presentation markup may be embedded within content markup so long as the resulting expression retains an unambiguous function application structure. Specifically, presentation markup may only appear in content markup in three ways:

  1. within ci and cn token elements

  2. within the csymbol element

  3. within the semantics element

Any other presentation markup occurring within content markup is a MathML error. More detailed discussion of these three cases follows:

Presentation markup within token elements.

The token elements ci and cn are permitted to contain any sequence of MathML characters (defined in 8. Characters, Entities and Fonts) and/or presentation elements. Contiguous blocks of MathML characters in ci or cn elements are treated as if wrapped in mi or mn elements, as appropriate, and the resulting collection of presentation elements is rendered as if wrapped in an implicit mrow element.

Presentation markup within the csymbol element.

The same rendering rules that apply to the token elements ci and cn should be used for the csymbol element.

Presentation markup within the semantics element.

One of the main purposes of the semantics element is to provide a mechanism for incorporating arbitrary MathML expressions into content markup in a semantically meaningful way. In particular, any valid presentation expression can be embedded in a content expression by placing it as the first child of a semantics element. The meaning of this wrapped expression should be indicated by one or more annotation elements also contained in the semantics element.

6.8.2 Content Markup in Presentation Markup

Content markup may be embedded within presentation markup so long as the resulting expression has an unambiguous rendering. That is, it must be possible, in principle, to produce a presentation markup fragment for each content markup fragment that appears in the combined expression. The replacement of each content markup fragment by its corresponding presentation markup should produce a well-formed presentation markup expression. A presentation engine should then be able to process this presentation expression without reference to the content markup bits included in the original expression.

In general, this constraint means that each embedded content expression must be well-formed, as a content expression, and must be able to stand alone outside the context of any containing content markup element. As a result, the following content elements may not appear as an immediate child of a presentation element: annotation, annotation-xml, bvar, condition, degree, logbase, lowlimit, uplimit.

In addition, within presentation markup, content markup may not appear within presentation token elements.

6.9 Parallel Markup

Some applications are able to use both presentation and content information. Parallel markup is a way to combine two or more markup trees for the same mathematical expression. Parallel markup is achieved with the semantics element. Parallel markup for an expression may appear on its own, or as part of a larger content or presentation tree.

6.9.1 Top-level Parallel Markup

In many cases, the goal is to provide presentation markup and content markup for a mathematical expression as a whole. A single semantics element may be used to pair two markup trees, where one child element provides the presentation markup, and the other child element provides the content markup.

The following example encodes the Boolean arithmetic expression (a + b) (c + d) in this way.

<semantics>
  <mrow>
    <mrow><mo>(</mo><mi>a</mi> <mo>+</mo> <mi>b</mi><mo>)</mo></mrow>
    <mo>&#x2062;<!--InvisibleTimes--></mo>
    <mrow><mo>(</mo><mi>c</mi> <mo>+</mo> <mi>d</mi><mo>)</mo></mrow>
  </mrow>
  <annotation-xml encoding="MathML-Content">
    <apply><and/>
      <apply><xor/><ci>a</ci> <ci>b</ci></apply>
      <apply><xor/><ci>c</ci> <ci>d</ci></apply>
    </apply>
  </annotation-xml>
</semantics>
(a + b) (c + d) a b c d

Note that the above markup annotates the presentation markup as the first child element, with the content markup as part of the annotation-xml element. An equivalent form could be given that annotates the content markup as the first child element, with the presentation markup as part of the annotation-xml element.

6.9.2 Parallel Markup via Cross-References

To accommodate applications that must process sub-expressions of large objects, MathML supports cross-references between the branches of a semantics element to identify corresponding sub-structures. These cross-references are established by the use of the id and xref attributes within a semantics element. This application of the id and xref attributes within a semantics element should be viewed as best practice to enable a recipient to select arbitrary sub-expressions in each alternative branch of a semantics element. The id and xref attributes may be placed on MathML elements of any type.

The following example demonstrates cross-references for the Boolean arithmetic expression (a + b) (c + d) .

<semantics>
  <mrow id="E">
    <mrow id="E.1">
      <mo id="E.1.1">(</mo>
      <mi id="E.1.2">a</mi>
      <mo id="E.1.3">+</mo>
      <mi id="E.1.4">b</mi>
      <mo id="E.1.5">)</mo>
    </mrow>
    <mo id="E.2">&#x2062;<!--InvisibleTimes--></mo>
    <mrow id="E.3">
      <mo id="E.3.1">(</mo>
      <mi id="E.3.2">c</mi>
      <mo id="E.3.3">+</mo>
      <mi id="E.3.4">d</mi>
      <mo id="E.3.5">)</mo>
    </mrow>
  </mrow>

  <annotation-xml encoding="MathML-Content">
    <apply xref="E">
      <and xref="E.2"/>
      <apply xref="E.1">
        <xor xref="E.1.3"/><ci xref="E.1.2">a</ci><ci xref="E.1.4">b</ci>
      </apply>
      <apply xref="E.3">
        <xor xref="E.3.3"/><ci xref="E.3.2">c</ci><ci xref="E.3.4">d</ci>
      </apply>
    </apply>
  </annotation-xml>
</semantics>
( a + b ) ( c + d ) ab cd

An id attribute and associated xref attributes that appear within the same semantics element establish the cross-references between corresponding sub-expressions.

For parallel markup, all of the id attributes referenced by any xref attribute should be in the same branch of an enclosing semantics element. This constraint guarantees that the cross-references do not create unintentional cycles. This restriction does not exclude the use of id attributes within other branches of the enclosing semantics element. It does, however, exclude references to these other id attributes originating from the same semantics element.

There is no restriction on which branch of the semantics element may contain the destination id attributes. It is up to the application to determine which branch to use.

In general, there will not be a one-to-one correspondence between nodes in parallel branches. For example, a presentation tree may contain elements, such as parentheses, that have no correspondents in the content tree. It is therefore often useful to put the id attributes on the branch with the finest-grained node structure. Then all of the other branches will have xref attributes to some subset of the id attributes.

In absence of other criteria, the first branch of the semantics element is a sensible choice to contain the id attributes. Applications that add or remove annotations will then not have to re-assign these attributes as the annotations change.

In general, the use of id and xref attributes allows a full correspondence between sub-expressions to be given in text that is at most a constant factor larger than the original. The direction of the references should not be taken to imply that sub-expression selection is intended to be permitted only on one child of the semantics element. It is equally feasible to select a subtree in any branch and to recover the corresponding subtrees of the other branches.

Parallel markup with cross-references may be used in any of the semantic annotations within annotation-xml, for example cross referencing between a presentation MathML rendering and an OpenMath annotation.

As noted above, the use of namespaces other than MathML, SVG or HTML within annotation-xml is not considered valid in the HTML syntax. Use of colons and namespace-prefixed element names should be avoided as the HTML parser will generate nodes with local name om:OMA (for example), and such nodes can not be constructed by a namespace-aware XML parser.

7. Interactions with the Host Environment

7.1 Introduction

To be effective, MathML must work well with a wide variety of renderers, processors, translators and editors. This chapter raises some of the interface issues involved in generating and rendering MathML. Since MathML exists primarily to encode mathematics in Web documents, perhaps the most important interface issues relate to embedding MathML in [HTML], and [XHTML], and in any newer HTML when it appears.

There are two kinds of interface issues that arise in embedding MathML in other XML documents. First, MathML markup must be recognized as valid embedded XML content, and not as an error. This issue could be seen primarily as a question of managing namespaces in XML [Namespaces].

Second, tools for generating and processing MathML must be able to reliably communicate. MathML tools include editors, translators, computer algebra systems, and other scientific software. However, since MathML expressions tend to be lengthy, and prone to error when entered by hand, special emphasis must be made to ensure that MathML can easily be generated by user-friendly conversion and authoring tools, and that these tools work together in a dependable, platform-independent, and vendor-independent way.

This chapter applies to both content and presentation markup, and describes a particular processing model for the semantics, annotation and annotation-xml elements described in 6. Annotating MathML: semantics.

7.2 Invoking MathML Processors

7.2.1 Recognizing MathML in XML

Within an XML document supporting namespaces [XML], [Namespaces], the preferred method to recognize MathML markup is by the identification of the math element in the MathML namespace by the use of the MathML namespace URI http://www.w3.org/1998/Math/MathML.

The MathML namespace URI is the recommended method to embed MathML within [XHTML] documents. However, some user-agents may require supplementary information to be available to allow them to invoke specific extensions to process the MathML markup.

Markup-language specifications that wish to embed MathML may require special conditions to recognize MathML markup that are independent of this recommendation. The conditions should be similar to those expressed in this recommendation, and the local names of the MathML elements should remain the same as those defined in this recommendation.

7.2.2 Recognizing MathML in HTML

HTML does not allow arbitrary namespaces, but has built in knowledge of the MathML namespace. The math element and its descendants will be placed in the http://www.w3.org/1998/Math/MathML namespace by the HTML parser, and will appear to applications as if the input had been XHTML with the namespace declared as in the previous section. See 7.4.3 Mixing MathML and HTML for detailed rules of the HTML parser's handling of MathML.

7.2.3 Resource Types for MathML Documents

Although rendering MathML expressions often takes place in a Web browser, other MathML processing functions take place more naturally in other applications. Particularly common tasks include opening a MathML expression in an equation editor or computer algebra system. It is important therefore to specify the encoding names by which MathML fragments should be identified.

Outside of those environments where XML namespaces are recognized, media types [RFC2045], [RFC2046] should be used if possible to ensure the invocation of a MathML processor. For those environments where media types are not appropriate, such as clipboard formats on some platforms, the encoding names described in the next section should be used.

7.2.4 Names of MathML Encodings

MathML contains two distinct vocabularies: one for encoding visual presentation, defined in 3. Presentation Markup, and one for encoding computational structure, defined in 4. Content Markup. Some MathML applications may import and export only one of these two vocabularies, while others may produce and consume each in a different way, and still others may process both without any distinction between the two. The following encoding names may be used to distinguish between content and presentation MathML markup when needed.

  • MathML-Presentation: The instance contains presentation MathML markup only.

    • Media Type: application/mathml-presentation+xml

    • Windows Clipboard Flavor: MathML Presentation

    • Universal Type Identifier: public.mathml.presentation

  • MathML-Content: The instance contains content MathML markup only.

    • Media Type: application/mathml-content+xml

    • Windows Clipboard Flavor: MathML Content

    • Universal Type Identifier: public.mathml.content

  • MathML (generic): The instance may contain presentation MathML markup, content MathML markup, or a mixture of the two.

    • File name extension: .mml

    • Media Type: application/mathml+xml

    • Windows Clipboard Flavor: MathML

    • Universal Type Identifier: public.mathml

See [MathML-Media-Types] for more details about each of these encoding names.

MathML 2 specified the predefined encoding values MathML, MathML-Content, and MathML-Presentation for the encoding attribute on the annotation-xml element. These values may be used as an alternative to the media type for backward compatibility. See 6.2 Alternate representations and 6.3 Content equivalents for details. Moreover, MathML 1.0 suggested the media-type text/mathml, which has been superseded by [RFC7303].

7.3 Transferring MathML

MathML expressions are often exchanged between applications using the familiar copy-and-paste or drag-and-drop paradigms and are often stored in files or exchanged over the HTTP protocol. This section provides recommended ways to process MathML during these transfers.

The transfers of MathML fragments described in this section occur between the contexts of two applications by making the MathML data available in several flavors, often called media types, clipboard formats, or data flavors. These flavors are typically ordered by preference by the producing application, and are typically examined in preference order by the consuming application. The copy-and-paste paradigm allows an application to place content in a central clipboard, with one data stream per clipboard format; a consuming application negotiates by choosing to read the data of the format it prefers. The drag-and-drop paradigm allows an application to offer content by declaring the available formats; a potential recipient accepts or rejects a drop based on the list of available formats, and the drop action allows the receiving application to request the delivery of the data in one of the indicated formats. An HTTP GET transfer, as in [rfc9110], allows a client to submit a list of acceptable media types; the server then delivers the data using one of the indicated media types. An HTTP POST transfer, as in [rfc9110], allows a client to submit data labelled with a media type that is acceptable to the server application.

Current desktop platforms offer copy-and-paste and drag-and-drop transfers using similar architectures, but with varying naming schemes depending on the platform. HTTP transfers are all based on media types. This section specifies what transfer types applications should provide, how they should be named, and how they should handle the special semantics, annotation, and annotation-xml elements.

To summarize the three negotiation mechanisms, the following paragraphs will describe transfer flavors, each with a name (a character string) and content (a stream of binary data), which are offered, accepted, and/or exported.

7.3.1 Basic Transfer Flavor Names and Contents

The names listed in 7.2.4 Names of MathML Encodings are the exact strings that should be used to identify the transfer flavors that correspond to the MathML encodings. On operating systems that allow such, an application should register their support for these flavor names (e.g. on Windows, a call to RegisterClipboardFormat, or, on the Macintosh platform, declaration of support for the universal type identifier in the application descriptor).

When transferring MathML, an application MUST ensure the content of the data transfer is a well-formed XML instance of a MathML document type. Specifically:

  1. The instance MAY begin with an XML declaration, e.g. <?xml version="1.0">

  2. The instance MUST contain exactly one root math element.

  3. The instance MUST declare the MathML namespace on the root math element.

  4. The instance MAY use a schemaLocation attribute on the math element to indicate the location of the MathML schema that describes the MathML document type to which the instance conforms. The presence of the schemaLocation attribute does not require a consumer of the MathML instance to obtain or use the referenced schema.

  5. The instance SHOULD use numeric character references (e.g. &#x03b1;) rather than character entity names (e.g. &alpha;) for greater interoperability.

  6. The instance MUST specify the character encoding, if it uses an encoding other than UTF-8, either in the XML declaration, or by the use of a byte-order mark (BOM) for UTF-16-encoded data.

7.3.3 Discussion

To determine whether a MathML instance is pure content markup or pure presentation markup, the math, semantics, annotation and annotation-xml elements should be regarded as belonging to both the presentation and content markup vocabularies. The math element is treated in this way because it is required as the root element in any MathML transfer. The semantics element and its child annotation elements comprise an arbitrary annotation mechanism within MathML, and are not tied to either presentation or content markup. Consequently, an application that consumes MathML should always process these four elements, even if it only implements one of the two vocabularies.

It is worth noting that the above recommendations allow agents that produce MathML to provide binary data for the clipboard, for example in an image or other application-specific format. The sole method to do so is to reference the binary data using the src attribute of an annotation, since XML character data does not allow for the transfer of arbitrary byte-stream data.

While the above recommendations are intended to improve interoperability between MathML-aware applications that use these transfer paradigms, it should be noted that they do not guarantee interoperability. For example, references to external resources (e.g. stylesheets, etc.) in MathML data can cause interoperability problems if the consumer of the data is unable to locate them, as can happen when cutting and pasting HTML or other data types. An application that makes use of references to external resources is encouraged to make users aware of potential problems and provide alternate ways to obtain the referenced resources. In general, consumers of MathML data that contains references they cannot resolve or do not understand should ignore the external references.

7.3.4 Examples

Example 1

An e-learning application has a database of quiz questions, some of which contain MathML. The MathML comes from multiple sources, and the e-learning application merely passes the data on for display, but does not have sophisticated MathML analysis capabilities. Consequently, the application is not aware whether a given MathML instance is pure presentation or pure content markup, nor does it know whether the instance is valid with respect to a particular version of the MathML schema. It therefore places the following data formats on the clipboard:

Flavor Name Flavor Content
MathML
<math xmlns="http://www.w3.org/1998/Math/MathML">...</math>
Unicode Text
<math xmlns="http://www.w3.org/1998/Math/MathML">...</math>
Example 2

An equation editor on the Windows platform is able to generate pure presentation markup, valid with respect to MathML 3. Consequently, it exports the following flavors:

Flavor Name Flavor Content
MathML Presentation
<math xmlns="http://www.w3.org/1998/Math/MathML">...</math>
Tiff (a rendering sample)
Unicode Text
<math xmlns="http://www.w3.org/1998/Math/MathML">...</math>
Example 3

A schema-based content management system on the Mac OS X platform contains multiple MathML representations of a collection of mathematical expressions, including mixed markup from authors, pure content markup for interfacing to symbolic computation engines, and pure presentation markup for print publication. Due to the system's use of schemata, markup is stored with a namespace prefix. The system therefore can transfer the following data:

Flavor Name Flavor Content
public.mathml.presentation
<math
  xmlns="http://www.w3.org/1998/Math/MathML"
  xmlns:xsi="http://www.w3.org/2001/XMLSchema-instance"
  xsi:schemaLocation=
    "http://www.w3.org/Math/XMLSchema/mathml4/mathml4.xsd">
  <mrow>
  ...
  </mrow>
</math>
public.mathml.content
<math
  xmlns="http://www.w3.org/1998/Math/MathML"
  xmlns:xsi="http://www.w3.org/2001/XMLSchema-instance"
  xsi:schemaLocation=
    "http://www.w3.org/Math/XMLSchema/mathml4/mathml4.xsd">
  <apply>
    ...
  </apply>
</math>
public.mathml
<math
  xmlns="http://www.w3.org/1998/Math/MathML"
  xmlns:xsi="http://www.w3.org/2001/XMLSchema-instance"
  xsi:schemaLocation=
    "http://www.w3.org/Math/XMLSchema/mathml4/mathml4.xsd">
  <mrow>
    <apply>
      ... content markup within presentation markup ...
    </apply>
    ...
  </mrow>
</math>
public.plain-text.tex
{x \over x-1}
public.plain-text
<math xmlns="http://www.w3.org/1998/Math/MathML"
  xmlns:xsi="http://www.w3.org/2001/XMLSchema-instance"
  xsi:schemaLocation=
    "http://www.w3.org/Math/XMLSchema/mathml4/mathml4.xsd">
  <mrow>
   ...
  </mrow>
</math>
Example 4

A similar content management system is web-based and delivers MathML representations of mathematical expressions. The system is able to produce MathML-Presentation, MathML-Content, TeX and pictures in TIFF format. In web-pages being browsed, it could produce a MathML fragment such as the following:

<math xmlns="http://www.w3.org/1998/Math/MathML">
  <semantics>
    <mrow>...</mrow>
    <annotation-xml encoding="MathML-Content">...</annotation-xml>
    <annotation encoding="TeX">{1 \over x}</annotation>
    <annotation encoding="image/tiff" src="formula3848.tiff"/>
  </semantics>
</math>

A web browser on the Windows platform that receives such a fragment and tries to export it as part of a drag-and-drop action can offer the following flavors:

Flavor Name Flavor Content
MathML Presentation
<math xmlns="http://www.w3.org/1998/Math/MathML"
  xmlns:xsi="http://www.w3.org/2001/XMLSchema-instance"
  xsi:schemaLocation=
    "http://www.w3.org/Math/XMLSchema/mathml4/mathml4.xsd">
  <mrow>
    ...
  </mrow>
</math>
MathML Content
<math
  xmlns="http://www.w3.org/1998/Math/MathML"
  xmlns:xsi="http://www.w3.org/2001/XMLSchema-instance"
  xsi:schemaLocation=
    "http://www.w3.org/Math/XMLSchema/mathml4/mathml4.xsd">
  <apply>
    ...
  </apply>
</math>
MathML
<math
  xmlns="http://www.w3.org/1998/Math/MathML"
  xmlns:xsi="http://www.w3.org/2001/XMLSchema-instance"
  xsi:schemaLocation=
    "http://www.w3.org/Math/XMLSchema/mathml4/mathml4.xsd">
  <mrow>
    <apply>
      ... content markup within presentation markup ...
    </apply>
    ...
  </mrow>
</math>
TeX
{x \over x-1}
CF_TIFF (the content of the picture file, requested from formula3848.tiff)
CF_UNICODETEXT
<math
  xmlns="http://www.w3.org/1998/Math/MathML"
  xmlns:xsi="http://www.w3.org/2001/XMLSchema-instance"
  xsi:schemaLocation=
    "http://www.w3.org/Math/XMLSchema/mathml4/mathml4.xsd">
  <mrow>
    ...
  </mrow>
</math>

7.4 Combining MathML and Other Formats

MathML is usually used in combination with other markup languages. The most typical case is perhaps the use of MathML within a document-level markup language, such as HTML or DocBook. It is also common that other object-level markup languages are also included in a compound document format, such as MathML and SVG in HTML5. Other common use cases include mixing other markup within MathML. For example, an authoring tool might insert an element representing a cursor position or other state information within MathML markup, so that an author can pick up editing where it was broken off.

Most document markup languages have some concept of an inline equation (or graphic, object, etc.), so there is typically a natural way to incorporate MathML instances into the content model. However, in the other direction, embedding of markup within MathML is not so clear cut, since in many MathML elements, the role of child elements is defined by position. For example, the first child of an apply must be an operator, and the second child of an mfrac is the denominator. The proper behavior when foreign markup appears in such contexts is problematic. Even when such behavior can be defined in a particular context, it presents an implementation challenge for generic MathML processors.

For this reason, the default MathML schema does not allow foreign markup elements to be included within MathML instances.

In the standard schema, elements from other namespaces are not allowed, but attributes from other namespaces are permitted. MathML processors that encounter unknown XML markup should behave as follows:

  1. An attribute from a non-MathML namespace should be silently ignored.

  2. An element from a non-MathML namespace should be treated as an error, except in an annotation-xml element. If the element is a child of a presentation element, it should be handled as described in 3.3.5 Error Message <merror>. If the element is a child of a content element, it should be handled as described in 4.2.9 Error Markup <cerror>.

For example, if the second child of an mfrac element is an unknown element, the fraction should be rendered with a denominator that indicates the error.

When designing a compound document format in which MathML is included in a larger document type, the designer may extend the content model of MathML to allow additional elements. For example, a common extension is to extend the MathML schema such that elements from non-MathML namespaces are allowed in token elements, but not in other elements. MathML processors that encounter unknown markup should behave as follows:

  1. An unrecognized XML attribute should be silently ignored.

  2. An unrecognized element in a MathML token element should be silently ignored.

  3. An element from a non-MathML namespace should be treated as an error, except in an annotation-xml element. If the element is a child of a presentation element, it should be handled as described in 3.3.5 Error Message <merror>. If the element is a child of a content element, it should be handled as described in 4.2.9 Error Markup <cerror>.

Extending the schema in this way is easily achieved using the Relax NG schema described in A. Parsing MathML, it may be as simple as including the MathML schema whilst overriding the content model of mtext:

default namespace m = "http://www.w3.org/1998/Math/MathML"

include "mathml4.rnc" {
mtext = element mtext {mtext.attributes, (token.content|anyElement)*}
}

The definition given here would allow any well formed XML that is not in the MathML namespace as a child of mtext. In practice this may be too lax. For example, an XHTML+MathML Schema may just want to allow inline XHTML elements as additional children of mtext. This may be achieved by replacing anyElement by a suitable production from the schema for the host document type, see 7.4.1 Mixing MathML and XHTML.

Considerations about mixing markup vocabularies in compound documents arise when a compound document type is first designed. But once the document type is fixed, it is not generally practical for specific software tools to further modify the content model to suit their needs. However, it is still frequently the case that such tools may need to store additional information within a MathML instance. Since MathML is most often generated by authoring tools, a particularly common and important case is where an authoring tool needs to store information about its internal state along with a MathML expression, so an author can resume editing from a previous state. For example, placeholders may be used to indicate incomplete parts of an expression, or an insertion point within an expression may need to be stored.

An application that needs to persist private data within a MathML expression should generally attempt to do so without altering the underlying content model, even in situations where it is feasible to do so. To support this requirement, regardless of what may be allowed by the content model of a particular compound document format, MathML permits the storage of private data via the following strategies:

  1. In a format that permits the use of XML Namespaces, for small amounts of data, attributes from other namespaces are allowed on all MathML elements.

  2. For larger amounts of data, applications may use the semantics element, as described in 6. Annotating MathML: semantics.

  3. For authoring tools and other applications that need to associate particular actions with presentation MathML subtrees, e.g. to mark an incomplete expression to be filled in by an author, the maction element may be used, as described in 3.7.1 Bind Action to Sub-Expression.

7.4.1 Mixing MathML and XHTML

To fully integrate MathML into XHTML, it should be possible not only to embed MathML in XHTML, but also to embed XHTML in MathML. The schema used for the W3C HTML5 validator extends mtext to allow all inline (phrasing) HTML elements (including svg) to be used within the content of mtext. See the example in 3.2.2.1 Embedding HTML in MathML. As noted above, MathML fragments using XHTML elements within mtext will not be valid MathML if extracted from the document and used in isolation. Editing tools may offer support for removing any HTML markup from within mtext and replacing it by a text alternative.

In most cases, XHTML elements (headings, paragraphs, lists, etc.) either do not apply in mathematical contexts, or MathML already provides equivalent or improved functionality specifically tailored to mathematical content (tables, mathematics style changes, etc.).

Consult the W3C Math Working Group home page for compatibility and implementation suggestions for current browsers and other MathML-aware tools.

7.4.2 Mixing MathML and non-XML contexts

There may be non-XML vocabularies which require markup for mathematical expressions, where it makes sense to reference this specification. HTML is an important example discussed in the next section, however other examples exist. It is possible to use a TeX-like syntax such as \frac{a}{b} rather than explicitly using <mfrac> and <mi>. If a system parses a specified syntax and produces a tree that may be validated against the MathML schema then it may be viewed as a MathML application. Note however that documents using such a system are not valid MathML. Implementations of such a syntax should, if possible, offer a facility to output any mathematical expressions as MathML in the XML syntax defined here. Such an application would then be a MathML-output-conformant processor as described in D.1 MathML Conformance.

7.4.3 Mixing MathML and HTML

An important example of a non-XML based system is defined in [HTML]. When considering MathML in HTML there are two separate issues to consider. Firstly the schema is extended to allow HTML in mtext as described above in the context of XHTML. Secondly an HTML parser is used rather than an XML parser. The parsing of MathML by an HTML parser is normatively defined in [HTML]. The description there is aimed at parser implementers and written in terms of the state transitions of the parser as it parses each character of the input. The non-normative description below aims to give a higher level description and examples.

XML parsing is completely regular, any XML document may be parsed without reference to the particular vocabulary being used. HTML parsing differs in that it is a custom parser for the HTML vocabulary with specific rules for each element. Similarly to XML though, the HTML parser distinguishes parsing from validation; some input, even if it renders correctly, is classed as a parse error which may be reported by validators (but typically is not reported by rendering systems).

The main differences that affect MathML usage may be summarized as:

  • Attribute values in most cases do not need to be quoted: <mfenced open=( close=)> would parse correctly.

  • End tags may in many cases be omitted.

  • HTML does not support namespaces other than the three built in ones for HTML, MathML and SVG, and does not support namespace prefixes. Thus you can not use a prefix form like <mml:math xmlns:mml="http://www.w3.org/1998/Math/MathML"> and while you may use <math xmlns="http://www.w3.org/1998/Math/MathML">, the namespace declaration is essentially ignored and the input is treated as <math>. In either case the math element and its descendants are placed in the MathML namespace. As noted in 6. Annotating MathML: semantics the lack of namespace support limits some of the possibilities for annotating MathML with markup from other vocabularies when used in HTML.

  • Unlike the XML parser, the HTML parser is defined to accept any input string and produce a defined result (which may be classified as non-conforming). The extreme example <math></<><z =5> for example would be flagged as a parse error by validators but would return a tree corresponding to a math element containing a comment < and an element z with an attribute that could not be expressed in XML with name =5 and value "".

  • Unless inside the token elements <mtext>, <mo>, <mn>, <mi>, <ms>, or inside an <annotation-xml> with encoding attribute text/html or annotation/xhtml+xml, the presence of an HTML element will terminate the math expression by closing all open MathML elements, so that the HTML element is interpreted as being in the outer HTML context. Any following MathML elements are then not contained in <math> so will be parsed as invalid HTML elements and not rendered as MathML. See for example the example given in 6.7.3 Using annotation-xml in HTML documents.

In the interests of compatibility with existing MathML applications authors and editing systems should use MathML fragments that are well formed XML, even when embedded in an HTML document. Also as noted above, although applications accepting MathML in HTML documents must accept MathML making use of these HTML parser features, they should offer a way to export MathML in a portable XML syntax.

In MathML 3, an element is designated as a link by the presence of the href attribute. MathML has no element that corresponds to the HTML/XHTML anchor element a.

MathML allows the href attribute on all elements. However, most user agents have no way to implement nested links or links on elements with no visible rendering; such links may have no effect.

The list of presentation markup elements that do not ordinarily have a visual rendering, and thus should not be used as linking elements, is given in the table below.

For compound document formats that support linking mechanisms, the id attribute should be used to specify the location for a link into a MathML expression. The id attribute is allowed on all MathML elements, and its value must be unique within a document, making it ideal for this purpose.

Note that MathML 2 has no direct support for linking; it refers to the W3C Recommendation "XML Linking Language" [XLink] in defining links in compound document contexts by using an xlink:href attribute. As mentioned above, MathML 3 adds an href attribute for linking so that xlink:href is no longer needed. However, xlink:href is still allowed because MathML permits the use of attributes from non-MathML namespaces. It is recommended that new compound document formats use the MathML 3 href attribute for linking. When user agents encounter MathML elements with both href and xlink:href attributes, the href attribute should take precedence. To support backward compatibility, user agents that implement XML Linking in compound documents containing MathML 2 should continue to support the use of the xlink:href attribute in addition to supporting the href attribute.

7.4.5 MathML and Graphical Markup

Apart from the introduction of new glyphs, many of the situations where one might be inclined to use an image amount to displaying labeled diagrams. For example, knot diagrams, Venn diagrams, Dynkin diagrams, Feynman diagrams and commutative diagrams all fall into this category. As such, their content would be better encoded via some combination of structured graphics and MathML markup. However, at the time of this writing, it is beyond the scope of the W3C Math Activity to define a markup language to encode such a general concept as labeled diagrams. (See http://www.w3.org/Math for current W3C activity in mathematics and http://www.w3.org/Graphics for the W3C graphics activity.)

One mechanism for embedding additional graphical content is via the semantics element, as in the following example:

<semantics>
  <apply>
    <intersect/>
    <ci>A</ci>
    <ci>B</ci>
  </apply>
  <annotation-xml encoding="image/svg+xml">
    <svg xmlns="http://www.w3.org/2000/svg"  viewBox="0 0 290 180">
      <clipPath id="a">
        <circle cy="90" cx="100" r="60"/>
      </clipPath>
      <circle fill="#AAAAAA" cy="90" cx="190" r="60" style="clip-path:url(#a)"/>
      <circle stroke="black" fill="none" cy="90" cx="100" r="60"/>
      <circle stroke="black" fill="none" cy="90" cx="190" r="60"/>
    </svg>
  </annotation-xml>
  <annotation-xml encoding="application/xhtml+xml">
    <img xmlns="http://www.w3.org/1999/xhtml" src="intersect.png" alt="A intersect B"/>
  </annotation-xml>
</semantics>

Here, the annotation-xml elements are used to indicate alternative representations of the MathML-Content depiction of the intersection of two sets. The first one is in the Scalable Vector Graphics format [SVG] (see [XHTML-MathML-SVG] for the definition of an XHTML profile integrating MathML and SVG), the second one uses the XHTML img element embedded as an XHTML fragment. In this situation, a MathML processor can use any of these representations for display, perhaps producing a graphical format such as the image below.

\includegraphics{image/intersect}

Note that the semantics representation of this example is given in MathML-Content markup, as the first child of the semantics element. In this regard, it is the representation most analogous to the alt attribute of the img element in XHTML, and would likely be the best choice for non-visual rendering.

7.5 Using CSS with MathML

When MathML is rendered in an environment that supports CSS [CSS21], controlling mathematics style properties with a CSS style sheet is desirable, but not as simple as it might first appear, because the formatting of MathML layout schemata is quite different from the CSS visual formatting model and many of the style parameters that affect mathematics layout have no direct textual analogs. Even in cases where there are analogous properties, the sensible values for these properties may not correspond. Because of this difference, applications that support MathML natively may choose to restrict the CSS properties applicable to MathML layout schemata to those properties that do not affect layout.

Generally speaking, the model for CSS interaction with the math style attributes runs as follows. A CSS style sheet might provide a style rule such as:

math *.[mathsize="small"] {
font-size: 80%
}

This rule sets the CSS font-size property for all children of the math element that have the mathsize attribute set to small. A MathML renderer would then query the style engine for the CSS environment, and use the values returned as input to its own layout algorithms. MathML does not specify the mechanism by which style information is inherited from the environment. However, some suggested rendering rules for the interaction between properties of the ambient style environment and MathML-specific rendering rules are discussed in 3.2.2 Mathematics style attributes common to token elements, and more generally throughout 3. Presentation Markup.

It should be stressed, however, that some caution is required in writing CSS stylesheets for MathML. Because changing typographic properties of mathematics symbols can change the meaning of an equation, stylesheets should be written in a way such that changes to document-wide typographic styles do not affect embedded MathML expressions.

Another pitfall to be avoided is using CSS to provide typographic style information necessary to the proper understanding of an expression. Expressions dependent on CSS for meaning will not be portable to non-CSS environments such as computer algebra systems. By using the logical values of the new MathML 3.0 mathematics style attributes as selectors for CSS rules, it can be assured that style information necessary to the sense of an expression is encoded directly in the MathML.

MathML 3.0 does not specify how a user agent should process style information, because there are many non-CSS MathML environments, and because different users agents and renderers have widely varying degrees of access to CSS information.

7.5.1 Order of processing attributes versus style sheets

CSS or analogous style sheets can specify changes to rendering properties of selected MathML elements. Since rendering properties can also be changed by attributes on an element, or be changed automatically by the renderer, it is necessary to specify the order in which changes requested by various sources should occur. The order is defined by [CSS21] cascading order taking into account precedence of non-CSS presentational hints.

8. Characters, Entities and Fonts

Issue 247: Spec should specify what char to use for accents/lines need specification update

TeX has a number of commands that correspond to mover/munder accents in MathML. The spec does not say what character to use for those accents. In some cases there are ASCII chars that could be used but also non-ASCII ones that are similar. Many of these characters should be stretchy when used with mover/munder.

At a minimum, the spec should say which (or all) of the following should be used for (stretchable) accents (some options listed) so that renderers and generators of MathML agree on what character(s) to use:

Note: based on experience with MathPlayer, many of these alternatives were encountered "in the wild" so it is important that Core specifies these (MathML 3 should have) as people are having to guess what character to use.

8.1 Introduction

This chapter contains discussion of characters for use within MathML, recommendations for their use, and warnings concerning the correct form of the corresponding code points given in the Universal Multiple-Octet Coded Character Set (UCS) ISO-10646 as codified in Unicode [Unicode].

8.2 Mathematical Alphanumeric Symbols

Additional Mathematical Alphanumeric Symbols were provided in Unicode 3.1. As discussed in 3.2.2 Mathematics style attributes common to token elements, MathML offers an alternative mechanism to specify mathematical alphanumeric characters. Namely, one uses the mathvariant attribute on a token element such as mi to indicate that the character data in the token element selects a mathematical alphanumeric symbol.

An important use of the mathematical alphanumeric symbols in Plane 1 is for identifiers normally printed in special mathematical fonts, such as Fraktur, Greek, Boldface, or Script. As another example, the Mathematical Fraktur alphabet runs from U+1D504 ("A") to U+1D537 ("z"). Thus, an identifier for a variable that uses Fraktur characters could be marked up as

<mi>&#x1D504;<!--BLACK-LETTER CAPITAL A--></mi>
𝔄 An alternative, equivalent markup for this example is to use the common upper-case A, modified by using the mathvariant attribute:
<mi mathvariant="fraktur">A</mi>
A

A MathML processor must treat a mathematical alphanumeric character (when it appears) as identical to the corresponding combination of the unstyled character and mathvariant attribute value.

It is intended that renderers distinguish at least those combinations that have equivalent Unicode code points, and renderers are free to ignore those combinations that have no assigned Unicode code point or for which adequate font support is unavailable.

8.3 Non-Marking Characters

Some characters, although important for the quality of print or alternative rendering, do not have glyph marks that correspond directly to them. They are called here non-marking characters. Their roles are discussed in 3. Presentation Markup and 4. Content Markup.

In MathML, control of page composition, such as line-breaking, is effected by the use of the proper attributes on the mo and mspace elements.

The characters below are not simple spacers. They are especially important new additions to the UCS because they provide textual clues which can increase the quality of print rendering, permit correct audio rendering, and allow the unique recovery of mathematical semantics from text which is visually ambiguous.

Unicode code point Unicode name Description
U+2061 FUNCTION APPLICATION character showing function application in presentation tagging (3.2.5 Operator, Fence, Separator or Accent <mo>)
U+2062 INVISIBLE TIMES marks multiplication when it is understood without a mark (3.2.5 Operator, Fence, Separator or Accent <mo>)
U+2063 INVISIBLE SEPARATOR used as a separator, e.g., in indices (3.2.5 Operator, Fence, Separator or Accent <mo>)
U+2064 INVISIBLE PLUS marks addition, especially in constructs such as 1½ (3.2.5 Operator, Fence, Separator or Accent <mo>)

8.4 Anomalous Mathematical Characters

Some characters which occur fairly often in mathematical texts, and have special significance there, are frequently confused with other similar characters in the UCS. In some cases, common keyboard characters have become entrenched as alternatives to the more appropriate mathematical characters. In others, characters have legitimate uses in both formulas and text, but conflicting rendering and font conventions. All these characters are called here anomalous characters.

8.4.1 Keyboard Characters

Typical Latin-1-based keyboards contain several characters that are visually similar to important mathematical characters. Consequently, these characters are frequently substituted, intentionally or unintentionally, for their more correct mathematical counterparts.

Minus

The most common ordinary text character which enjoys a special mathematical use is U+002D [HYPHEN-MINUS]. As its Unicode name suggests, it is used as a hyphen in prose contexts, and as a minus or negative sign in formulas. For text use, there is a specific code point U+2010 [HYPHEN] which is intended for prose contexts, and which should render as a hyphen or short dash. For mathematical use, there is another code point U+2212 [MINUS SIGN] which is intended for mathematical formulas, and which should render as a longer minus or negative sign. MathML renderers should treat U+002D [HYPHEN-MINUS] as equivalent to U+2212 [MINUS SIGN] in formula contexts such as mo, and as equivalent to U+2010 [HYPHEN] in text contexts such as mtext.

Apostrophes, Quotes and Primes

On a typical European keyboard there is a key available which is viewed as an apostrophe or a single quotation mark (an upright or right quotation mark). Thus one key is doing double duty for prose input to enter U+0027 [APOSTROPHE] and U+2019 [RIGHT SINGLE QUOTATION MARK]. In mathematical contexts it is also commonly used for the prime, which should be U+2032 [PRIME]. Unicode recognizes the overloading of this symbol and remarks that it can also signify the units of minutes or feet. In the unstructured printed text of normal prose the characters are placed next to one another. The U+0027 [APOSTROPHE] and U+2019 [RIGHT SINGLE QUOTATION MARK] are marked with glyphs that are small and raised with respect to the center line of the text. The fonts used provide small raised glyphs in the appropriate places indexed by the Unicode codes. The U+2032 [PRIME] of mathematics is similarly treated in fuller Unicode fonts.

MathML renderers are encouraged to treat U+0027 [APOSTROPHE] as U+2032 [PRIME] when appropriate in formula contexts.

A final remark is that a ‘prime’ is often used in transliteration of the Cyrillic character U+044C [CYRILLIC SMALL LETTER SOFT SIGN]. This different use of primes is not part of considerations for mathematical formulas.

Other Keyboard Substitutions

While the minus and prime characters are the most common and important keyboard characters with more precise mathematical counterparts, there are a number of other keyboard character substitutions that are sometimes used. For example some may expect

<mo>''</mo>
''

to be treated as U+2033 [DOUBLE PRIME], and analogous substitutions could perhaps be made for U+2034 [TRIPLE PRIME] and U+2057 [QUADRUPLE PRIME]. Similarly, sometimes U+007C [VERTICAL LINE] is used for U+2223 [DIVIDES]. MathML regards these as application-specific authoring conventions, and recommends that authoring tools generate markup using the more precise mathematical characters for better interoperability.

8.4.2 Pseudo-scripts

There are a number of characters in the UCS that traditionally have been taken to have a natural ‘script’ aspect. The visual presentation of these characters is similar to a script, that is, raised from the baseline, and smaller than the base font size. The degree symbol and prime characters are examples. For use in text, such characters occur in sequence with the identifier they follow, and are typically rendered using the same font. These characters are called pseudo-scripts here.

In almost all mathematical contexts, pseudo-script characters should be associated with a base expression using explicit script markup in MathML. For example, the preferred encoding of x prime is

<msup><mi>x</mi><mo>&#x2032;<!--PRIME--></mo></msup>
x

and not

<mi>x'</mi>
x'

or any other variants not using an explicit script construct. Note, however, that within text contexts such as mtext, pseudo-scripts may be used in sequence with other character data.

There are two reasons why explicit markup is preferable in mathematical contexts. First, a problem arises with typesetting, when pseudo-scripts are used with subscripted identifiers. Traditionally, subscripting of x' would be rendered stacked under the prime. This is easily accomplished with script markup, for example:

<mrow><msubsup><mi>x</mi><mn>0</mn><mo>&#x2032;<!--PRIME--></mo></msubsup></mrow>
x0

By contrast,

<mrow><msub><mi>x'</mi><mn>0</mn></msub></mrow>
x'0

will render with staggered scripts.

Note this means that a renderer of MathML will have to treat pseudo-scripts differently from most other character codes it finds in a superscript position; in most fonts, the glyphs for pseudo-scripts are already shrunk and raised from the baseline.

The second reason that explicit script markup is preferrable to juxtaposition of characters is that it generally better reflects the intended mathematical structure. For example,

<msup>
  <mrow><mo>(</mo><mrow><mi>f</mi><mo>+</mo><mi>g</mi></mrow><mo>)</mo></mrow>
  <mo>&#x2032;<!--PRIME--></mo>
</msup>
(f+g)

accurately reflects that the prime here is operating on an entire expression, and does not suggest that the prime is acting on the final right parenthesis.

However, the data model for all MathML token elements is Unicode text, so one cannot rule out the possibility of valid MathML markup containing constructions such as

<mrow><mi>x'</mi></mrow>
x'

and

<mrow><mi>x</mi><mo>'</mo></mrow>
x'

While the first form may, in some rare situations, legitimately be used to distinguish a multi-character identifer named x' from the derivative of a function x, such forms should generally be avoided. Authoring and validation tools are encouraged to generate the recommended script markup:

<mrow><msup><mi>x</mi><mo>&#x2032;<!--PRIME--></mo></msup></mrow>
x

The U+2032 [PRIME] character is perhaps the most common pseudo-script, but there are many others, as listed below:

Pseudo-script Characters
U+0022 QUOTATION MARK
U+0027 APOSTROPHE
U+002A ASTERISK
U+0060 GRAVE ACCENT
U+00AA FEMININE ORDINAL INDICATOR
U+00B0 DEGREE SIGN
U+00B2 SUPERSCRIPT TWO
U+00B3 SUPERSCRIPT THREE
U+00B4 ACUTE ACCENT
U+00B9 SUPERSCRIPT ONE
U+00BA MASCULINE ORDINAL INDICATOR
U+2018 LEFT SINGLE QUOTATION MARK
U+2019 RIGHT SINGLE QUOTATION MARK
U+201A SINGLE LOW-9 QUOTATION MARK
U+201B SINGLE HIGH-REVERSED-9 QUOTATION MARK
U+201C LEFT DOUBLE QUOTATION MARK
U+201D RIGHT DOUBLE QUOTATION MARK
U+201E DOUBLE LOW-9 QUOTATION MARK
U+201F DOUBLE HIGH-REVERSED-9 QUOTATION MARK
U+2032 PRIME
U+2033 DOUBLE PRIME
U+2034 TRIPLE PRIME
U+2035 REVERSED PRIME
U+2036 REVERSED DOUBLE PRIME
U+2037 REVERSED TRIPLE PRIME
U+2057 QUADRUPLE PRIME

In addition, the characters in the Unicode Superscript and Subscript block (beginning at U+2070) should be treated as pseudo-scripts when they appear in mathematical formulas.

Note that several of these characters are common on keyboards, including U+002A [ASTERISK], U+00B0 [DEGREE SIGN], U+2033 [DOUBLE PRIME], and U+2035 [REVERSED PRIME] also known as a back prime.

8.4.3 Combining Characters

In the UCS there are many combining characters that are intended to be used for the many accents of numerous different natural languages. Some of them may seem to provide markup needed for mathematical accents. They should not be used in mathematical markup. Superscript, subscript, underscript, and overscript constructions as just discussed above should be used for this purpose. Of course, combining characters may be used in multi-character identifiers as they are needed, or in text contexts.

There is one more case where combining characters turn up naturally in mathematical markup. Some relations have associated negations, such as U+226F [NOT GREATER-THAN] for the negation of U+003E [GREATER-THAN SIGN]. The glyph for U+226F [NOT GREATER-THAN] is usually just that for U+003E [GREATER-THAN SIGN] with a slash through it. Thus it could also be expressed by U+003E-0338 making use of the combining slash U+0338 [COMBINING LONG SOLIDUS OVERLAY]. That is true of 25 other characters in common enough mathematical use to merit their own Unicode code points. In the other direction there are 31 character entity names listed in [Entities] which are to be expressed using U+0338 [COMBINING LONG SOLIDUS OVERLAY].

In a similar way there are mathematical characters which have negations given by a vertical bar overlay U+20D2 [COMBINING LONG VERTICAL LINE OVERLAY]. Some are available in pre-composed forms, and some named character entities are given explicitly as combinations. In addition there are examples using U+0333 [COMBINING DOUBLE LOW LINE] and U+20E5 [COMBINING REVERSE SOLIDUS OVERLAY], and variants specified by use of the U+FE00 [VARIATION SELECTOR-1]. For fuller listing of these cases see the listings in [Entities].

The general rule is that a base character followed by a string of combining characters should be treated just as though it were the pre-composed character that results from the combination, if such a character exists.

A. Parsing MathML

Issue 178: Make MathML attributes ASCII case-insensitive MathML 4css / html5need specification update

Issue 178

A.1 Validating MathML

The Relax NG schema may be used to check the XML serialization of MathML and serves as a foundation for validating other serializations of MathML, such as the HTML serialization.

Even when using the XML serialization, some normalization of the input may be required before applying this schema. Notably, following HTML, [MathML-Core] allows attributes such as onclick to be specified in any case, eg OnClick="...". It is not practically feasible to specify that attribute names are case insensitive here so only the lowercase names are allowed. Similarly any attribute with name starting with the prefix data- should be considered valid. The schema here only allows a fixed attribute, data-other, so input should be normalized to remove data attributes before validating, or the schema should be extended to support the attributes used in a particular application.

A.2 Using the RelaxNG Schema for MathML

MathML documents should be validated using the RelaxNG Schema for MathML, either in the XML encoding (http://www.w3.org/Math/RelaxNG/mathml4/mathml4.rng) or in compact notation (https://www.w3.org/Math/RelaxNG/mathml4/mathml4.rnc) which is also shown below.

In contrast to DTDs there is no in-document method to associate a RelaxNG schema with a document.

A.2.1 MathML Core

MathML Core is specified in MathML Core however the Schema is developed alongside the schema for MathML 4 and presented here, it can also be found at https://www.w3.org/Math/RelaxNG/mathml4/mathml4-core.rnc.

# MathML 4 (Core Level 1)
# #######################

#     Copyright 1998-2024 W3C (MIT, ERCIM, Keio, Beihang)
# 
#     Use and distribution of this code are permitted under the terms
#     W3C Software Notice and License
#     http://www.w3.org/Consortium/Legal/2002/copyright-software-20021231

default namespace m = "http://www.w3.org/1998/Math/MathML"
namespace h = "http://www.w3.org/1999/xhtml"

start |= math

math = element math {math.attributes,ImpliedMrow}

MathMLoneventAttributes =
  attribute onabort {text}?,
  attribute onauxclick {text}?,
  attribute onblur {text}?,
  attribute oncancel {text}?,
  attribute oncanplay {text}?,
  attribute oncanplaythrough {text}?,
  attribute onchange {text}?,
  attribute onclick {text}?,
  attribute onclose {text}?,
  attribute oncontextlost {text}?,
  attribute oncontextmenu {text}?,
  attribute oncontextrestored {text}?,
  attribute oncuechange {text}?,
  attribute ondblclick {text}?,
  attribute ondrag {text}?,
  attribute ondragend {text}?,
  attribute ondragenter {text}?,
  attribute ondragleave {text}?,
  attribute ondragover {text}?,
  attribute ondragstart {text}?,
  attribute ondrop {text}?,
  attribute ondurationchange {text}?,
  attribute onemptied {text}?,
  attribute onended {text}?,
  attribute onerror {text}?,
  attribute onfocus {text}?,
  attribute onformdata {text}?,
  attribute oninput {text}?,
  attribute oninvalid {text}?,
  attribute onkeydown {text}?,
  attribute onkeypress {text}?,
  attribute onkeyup {text}?,
  attribute onload {text}?,
  attribute onloadeddata {text}?,
  attribute onloadedmetadata {text}?,
  attribute onloadstart {text}?,
  attribute onmousedown {text}?,
  attribute onmouseenter {text}?,
  attribute onmouseleave {text}?,
  attribute onmousemove {text}?,
  attribute onmouseout {text}?,
  attribute onmouseover {text}?,
  attribute onmouseup {text}?,
  attribute onpause {text}?,
  attribute onplay {text}?,
  attribute onplaying {text}?,
  attribute onprogress {text}?,
  attribute onratechange {text}?,
  attribute onreset {text}?,
  attribute onresize {text}?,
  attribute onscroll {text}?,
  attribute onsecuritypolicyviolation {text}?,
  attribute onseeked {text}?,
  attribute onseeking {text}?,
  attribute onselect {text}?,
  attribute onslotchange {text}?,
  attribute onstalled {text}?,
  attribute onsubmit {text}?,
  attribute onsuspend {text}?,
  attribute ontimeupdate {text}?,
  attribute ontoggle {text}?,
  attribute onvolumechange {text}?,
  attribute onwaiting {text}?,
  attribute onwebkitanimationend {text}?,
  attribute onwebkitanimationiteration {text}?,
  attribute onwebkitanimationstart {text}?,
  attribute onwebkittransitionend {text}?,
  attribute onwheel {text}?,
  attribute onafterprint {text}?,
  attribute onbeforeprint {text}?,
  attribute onbeforeunload {text}?,
  attribute onhashchange {text}?,
  attribute onlanguagechange {text}?,
  attribute onmessage {text}?,
  attribute onmessageerror {text}?,
  attribute onoffline {text}?,
  attribute ononline {text}?,
  attribute onpagehide {text}?,
  attribute onpageshow {text}?,
  attribute onpopstate {text}?,
  attribute onrejectionhandled {text}?,
  attribute onstorage {text}?,
  attribute onunhandledrejection {text}?,
  attribute onunload {text}?,
  attribute oncopy {text}?,
  attribute oncut {text}?,
  attribute onpaste {text}?

# Sample set. May need preprocessing 
# or schema extension to allow more see MathML Core (and HTML) spec
MathMLDataAttributes =
  attribute data-other {text}?


# sample set, like data- may need preprocessing to allow more
MathMLARIAattributes =
  attribute aria-label {text}?,
  attribute aria-describedby {text}?,
  attribute aria-description {text}?,
  attribute aria-details {text}?

MathMLintentAttributes =
  attribute intent {text}?,
  attribute arg {xsd:NCName}?

MathMLPGlobalAttributes = attribute id {xsd:ID}?,
                   attribute class {xsd:NCName}?,
                   attribute style {xsd:string}?,
                   attribute dir {"ltr" | "rtl"}?,
                   attribute mathbackground {color}?,
                   attribute mathcolor {color}?,
                   attribute mathsize {length-percentage}?,
                   attribute mathvariant {xsd:string{pattern="\s*([Nn][Oo][Rr][Mm][Aa][Ll]|[Bb][Oo][Ll][Dd]|[Ii][Tt][Aa][Ll][Ii][Cc]|[Bb][Oo][Ll][Dd]-[Ii][Tt][Aa][Ll][Ii][Cc]|[Dd][Oo][Uu][Bb][Ll][Ee]-[Ss][Tt][Rr][Uu][Cc][Kk]|[Bb][Oo][Ll][Dd]-[Ff][Rr][Aa][Kk][Tt][Uu][Rr]|[Ss][Cc][Rr][Ii][Pp][Tt]|[Bb][Oo][Ll][Dd]-[Ss][Cc][Rr][Ii][Pp][Tt]|[Ff][Rr][Aa][Kk][Tt][Uu][Rr]|[Ss][Aa][Nn][Ss]-[Ss][Ee][Rr][Ii][Ff]|[Bb][Oo][Ll][Dd]-[Ss][Aa][Nn][Ss]-[Ss][Ee][Rr][Ii][Ff]|[Ss][Aa][Nn][Ss]-[Ss][Ee][Rr][Ii][Ff]-[Ii][Tt][Aa][Ll][Ii][Cc]|[Ss][Aa][Nn][Ss]-[Ss][Ee][Rr][Ii][Ff]-[Bb][Oo][Ll][Dd]-[Ii][Tt][Aa][Ll][Ii][Cc]|[Mm][Oo][Nn][Oo][Ss][Pp][Aa][Cc][Ee]|[Ii][Nn][Ii][Tt][Ii][Aa][Ll]|[Tt][Aa][Ii][Ll][Ee][Dd]|[Ll][Oo][Oo][Pp][Ee][Dd]|[Ss][Tt][Rr][Ee][Tt][Cc][Hh][Ee][Dd])\s*"}}?,
                   attribute displaystyle {mathml-boolean}?,
                   attribute scriptlevel {xsd:integer}?,
                   attribute autofocus {mathml-boolean}?,
                   attribute tabindex {xsd:integer}?,
                   attribute nonce {text}?,
		   MathMLoneventAttributes,
                   # Extension attributes, no defined behavior
                   MathMLDataAttributes,
                   # No specified behavior in Core, see MathML4
		   MathMLintentAttributes,
                   # No specified behavior in Core, see WAI-ARIA
		   MathMLARIAattributes
                       


math.attributes = MathMLPGlobalAttributes,
                  attribute display {"block" | "inline"}?,
                  # No specified behavior in Core, see MathML4
                  attribute alttext {text}?


annotation = element annotation {MathMLPGlobalAttributes,encoding?,text}

anyElement =  element (*) {(attribute * {text}|text| anyElement)*}

annotation-xml = element annotation-xml {annotation-xml.attributes,
                                         (MathExpression*|anyElement*)}

annotation-xml.attributes = MathMLPGlobalAttributes, encoding?

encoding=attribute encoding {xsd:string}?


semantics = element semantics {semantics.attributes,
                               MathExpression, 
                              (annotation|annotation-xml)*}

semantics.attributes = MathMLPGlobalAttributes

mathml-boolean = xsd:string {
    pattern = '\s*([Tt][Rr][Uu][Ee]|[Ff][Aa][Ll][Ss][Ee])\s*'
}
			    
length-percentage = xsd:string {
  pattern = '\s*((-?[0-9]*([0-9]\.?|\.[0-9])[0-9]*(r?em|ex|in|cm|mm|p[xtc]|Q|v[hw]|vmin|vmax|%))|0)\s*'
}

MathExpression = TokenExpression|
                     mrow|mfrac|msqrt|mroot|mstyle|merror|mpadded|mphantom|
                     msub|msup|msubsup|munder|mover|munderover|
                     mmultiscripts|mtable|maction|
		     semantics

MathMalignExpression = MathExpression
			   
ImpliedMrow = MathMalignExpression*

TableRowExpression = mtr

MultiScriptExpression = (MathExpression|none),(MathExpression|none)


color =  xsd:string {
  pattern = '\s*((#[0-9a-fA-F]{3}([0-9a-fA-F]{3})?)|[a-zA-Z]+|[a-zA-Z]+\s*\([0-9, %.]+\))\s*'}

TokenExpression = mi|mn|mo|mtext|mspace|ms


textorHTML = text | element (h:*)  {attribute * {text}*,textorHTML*}
			    
token.content = textorHTML
		    
mi = element mi {mi.attributes, token.content}
mi.attributes = 
  MathMLPGlobalAttributes

mn = element mn {mn.attributes, token.content}
mn.attributes = 
  MathMLPGlobalAttributes

mo = element mo {mo.attributes, token.content}
mo.attributes = 
  MathMLPGlobalAttributes,
  attribute form {"prefix" | "infix" | "postfix"}?,
  attribute lspace {length-percentage}?,
  attribute rspace {length-percentage}?,
  attribute stretchy {mathml-boolean}?,
  attribute symmetric {mathml-boolean}?,
  attribute maxsize {length-percentage}?,
  attribute minsize {length-percentage}?,
  attribute largeop {mathml-boolean}?,
  attribute movablelimits {mathml-boolean}?


mtext = element mtext {mtext.attributes, token.content}
mtext.attributes = 
  MathMLPGlobalAttributes

mspace = element mspace {mspace.attributes, empty}
mspace.attributes = 
  MathMLPGlobalAttributes,
  attribute width {length-percentage}?,
  attribute height {length-percentage}?,
  attribute depth {length-percentage}?

ms = element ms {ms.attributes, token.content}
ms.attributes = 
  MathMLPGlobalAttributes


none = element none {none.attributes,empty}
none.attributes = 
  MathMLPGlobalAttributes

mprescripts = element mprescripts {mprescripts.attributes,empty}
mprescripts.attributes = 
  MathMLPGlobalAttributes

mrow = element mrow {mrow.attributes, ImpliedMrow}
mrow.attributes = 
  MathMLPGlobalAttributes

mfrac = element mfrac {mfrac.attributes, MathExpression, MathExpression}
mfrac.attributes = 
  MathMLPGlobalAttributes,
  attribute linethickness {length-percentage}?

msqrt = element msqrt {msqrt.attributes, ImpliedMrow}
msqrt.attributes = 
  MathMLPGlobalAttributes

mroot = element mroot {mroot.attributes, MathExpression, MathExpression}
mroot.attributes = 
  MathMLPGlobalAttributes

mstyle = element mstyle {mstyle.attributes, ImpliedMrow}
mstyle.attributes = 
  MathMLPGlobalAttributes

merror = element merror {merror.attributes, ImpliedMrow}
merror.attributes = 
  MathMLPGlobalAttributes

mpadded = element mpadded {mpadded.attributes, ImpliedMrow}
mpadded.attributes = 
  MathMLPGlobalAttributes,
  attribute height {mpadded-length-percentage}?,
  attribute depth {mpadded-length-percentage}?,
  attribute width {mpadded-length-percentage}?,
  attribute lspace {mpadded-length-percentage}?,
  attribute rspace {mpadded-length-percentage}?,
  attribute voffset {mpadded-length-percentage}?

mpadded-length-percentage=length-percentage

mphantom = element mphantom {mphantom.attributes, ImpliedMrow}
mphantom.attributes = 
  MathMLPGlobalAttributes

      
msub = element msub {msub.attributes, MathExpression, MathExpression}
msub.attributes = 
  MathMLPGlobalAttributes

msup = element msup {msup.attributes, MathExpression, MathExpression}
msup.attributes = 
  MathMLPGlobalAttributes

msubsup = element msubsup {msubsup.attributes, MathExpression, MathExpression, MathExpression}
msubsup.attributes = 
  MathMLPGlobalAttributes

munder = element munder {munder.attributes, MathExpression, MathExpression}
munder.attributes = 
  MathMLPGlobalAttributes,
  attribute accentunder {mathml-boolean}?

mover = element mover {mover.attributes, MathExpression, MathExpression}
mover.attributes = 
  MathMLPGlobalAttributes,
  attribute accent {mathml-boolean}?

munderover = element munderover {munderover.attributes, MathExpression, MathExpression, MathExpression}
munderover.attributes = 
  MathMLPGlobalAttributes,
  attribute accent {mathml-boolean}?,
  attribute accentunder {mathml-boolean}?

mmultiscripts = element mmultiscripts {mmultiscripts.attributes,
                                       MathExpression,
                                       MultiScriptExpression*,
                                       (mprescripts,MultiScriptExpression*)?}
mmultiscripts.attributes = 
  msubsup.attributes

mtable = element mtable {mtable.attributes, TableRowExpression*}
mtable.attributes = 
  MathMLPGlobalAttributes


mtr = element mtr {mtr.attributes, mtd*}
mtr.attributes = 
  MathMLPGlobalAttributes

mtd = element mtd {mtd.attributes, ImpliedMrow}
mtd.attributes = 
  MathMLPGlobalAttributes,
  attribute rowspan {xsd:positiveInteger}?,
  attribute columnspan {xsd:positiveInteger}?


maction = element maction {maction.attributes, ImpliedMrow}
maction.attributes = 
  MathMLPGlobalAttributes,
  attribute actiontype {text}?,
  attribute selection {xsd:positiveInteger}?

A.2.2 Presentation MathML

The grammar for Presentation MathML 4 builds on the grammar for the MathML Core, and can be found at https://www.w3.org/Math/RelaxNG/mathml4/mathml4-presentation.rnc.

# MathML 4 (Presentation)
# #######################

#     Copyright 1998-2024 W3C (MIT, ERCIM, Keio, Beihang)
# 
#     Use and distribution of this code are permitted under the terms
#     W3C Software Notice and License
#     http://www.w3.org/Consortium/Legal/2002/copyright-software-20021231

default namespace m = "http://www.w3.org/1998/Math/MathML"
namespace local = ""

		      
# MathML Core
include "mathml4-core.rnc" {

# named lengths
length-percentage = xsd:string {
  pattern = '\s*((-?[0-9]*([0-9]\.?|\.[0-9])[0-9]*(r?em|ex|in|cm|mm|p[xtc]|Q|v[hw]|vmin|vmax|%))|0|(negative)?((very){0,2}thi(n|ck)|medium)mathspace)\s*'
}

mpadded-length-percentage = xsd:string {
  pattern = '\s*([\+\-]?[0-9]*([0-9]\.?|\.[0-9])[0-9]*\s*((%?\s*(height|depth|width)?)|r?em|ex|in|cm|mm|p[xtc]|Q|v[hw]|vmin|vmax|%|((negative)?((very){0,2}thi(n|ck)|medium)mathspace))?)\s*' 
}


}

NonMathMLAtt = attribute (* - (local:* | m:*)) {xsd:string}
					     
MathMLPGlobalAttributes &=
		   NonMathMLAtt*,
		   attribute xref {text}?,
                   attribute href {xsd:anyURI}?

MathMalignExpression |= MalignExpression
			    
MathExpression |= PresentationExpression

MstackExpression = MathMalignExpression|mscarries|msline|msrow|msgroup

MsrowExpression = MathMalignExpression|none


linestyle = "none" | "solid" | "dashed"

verticalalign =
      "top" |
      "bottom" |
      "center" |
      "baseline" |
      "axis"

columnalignstyle = "left" | "center" | "right"

notationstyle =
     "longdiv" |
     "actuarial" |
     "radical" |
     "box" |
     "roundedbox" |
     "circle" |
     "left" |
     "right" |
     "top" |
     "bottom" |
     "updiagonalstrike" |
     "downdiagonalstrike" |
     "verticalstrike" |
     "horizontalstrike" |
     "madruwb"

idref = text
unsigned-integer = xsd:unsignedLong
integer = xsd:integer
number = xsd:decimal

character = xsd:string {
  pattern = '\s*\S\s*'}


positive-integer = xsd:positiveInteger


token.content |= mglyph|text



mo.attributes &= 
  attribute linebreak {"auto" | "newline" | "nobreak" | "goodbreak" | "badbreak"}?,
  attribute lineleading {length-percentage}?,
  attribute linebreakstyle {"before" | "after" | "duplicate" | "infixlinebreakstyle"}?,
  attribute linebreakmultchar {text}?,
  attribute indentalign {"left" | "center" | "right" | "auto" | "id"}?,
  attribute indentshift {length-percentage}?,
  attribute indenttarget {idref}?,
  attribute indentalignfirst {"left" | "center" | "right" | "auto" | "id" | "indentalign"}?,
  attribute indentshiftfirst {length-percentage | "indentshift"}?,
  attribute indentalignlast {"left" | "center" | "right" | "auto" | "id" | "indentalign"}?,
  attribute indentshiftlast {length-percentage | "indentshift"}?,
  attribute accent {mathml-boolean}?,
  attribute maxsize {"infinity"}?
 

mspace.attributes &= 
  attribute linebreak {"auto" | "newline" | "nobreak" | "goodbreak" | "badbreak" | "indentingnewline"}?,
  attribute indentalign {"left" | "center" | "right" | "auto" | "id"}?,
  attribute indentshift {length-percentage}?,
  attribute indenttarget {idref}?,
  attribute indentalignfirst {"left" | "center" | "right" | "auto" | "id" | "indentalign"}?,
  attribute indentshiftfirst {length-percentage | "indentshift"}?,
  attribute indentalignlast {"left" | "center" | "right" | "auto" | "id" | "indentalign"}?,
  attribute indentshiftlast {length-percentage | "indentshift"}?


ms.attributes &= 
  attribute lquote {text}?,
  attribute rquote {text}?


mglyph = element mglyph {mglyph.attributes,empty}
mglyph.attributes = 
  MathMLPGlobalAttributes,
  attribute src {xsd:anyURI}?,
  attribute width {length-percentage}?,
  attribute height {length-percentage}?,
  attribute valign {length-percentage}?,
  attribute alt {text}?

msline = element msline {msline.attributes,empty}
msline.attributes = 
  MathMLPGlobalAttributes,
  attribute position {integer}?,
  attribute length {unsigned-integer}?,
  attribute leftoverhang {length-percentage}?,
  attribute rightoverhang {length-percentage}?,
  attribute mslinethickness {length-percentage | "thin" | "medium" | "thick"}?

MalignExpression = maligngroup|malignmark

malignmark = element malignmark {malignmark.attributes, empty}
malignmark.attributes =  MathMLPGlobalAttributes


maligngroup = element maligngroup {maligngroup.attributes, empty}
maligngroup.attributes = MathMLPGlobalAttributes
  

PresentationExpression = TokenExpression|
                         mrow|mfrac|msqrt|mroot|mstyle|merror|mpadded|mphantom|
                         mfenced|menclose|msub|msup|msubsup|munder|mover|munderover|
                         mmultiscripts|mtable|mstack|mlongdiv|maction





mfrac.attributes &= 
  attribute numalign {"left" | "center" | "right"}?,
  attribute denomalign {"left" | "center" | "right"}?,
  attribute bevelled {mathml-boolean}?



mstyle.attributes &= 
  mstyle.specificattributes,
  mstyle.generalattributes

mstyle.specificattributes =
  attribute scriptsizemultiplier {number}?,
  attribute scriptminsize {length-percentage}?,
  attribute infixlinebreakstyle {"before" | "after" | "duplicate"}?,
  attribute decimalpoint {character}?

mstyle.generalattributes =
  attribute accent {mathml-boolean}?,
  attribute accentunder {mathml-boolean}?,
  attribute align {"left" | "right" | "center"}?,
  attribute alignmentscope {list {("true" | "false") +}}?,
  attribute bevelled {mathml-boolean}?,
  attribute charalign {"left" | "center" | "right"}?,
  attribute charspacing {length-percentage | "loose" | "medium" | "tight"}?,
  attribute close {text}?,
  attribute columnalign {list {columnalignstyle+} }?,
  attribute columnlines {list {linestyle +}}?,
  attribute columnspacing {list {(length-percentage) +}}?,
  attribute columnspan {positive-integer}?,
  attribute columnwidth {list {("auto" | length-percentage | "fit") +}}?,
  attribute crossout {list {("none" | "updiagonalstrike" | "downdiagonalstrike" | "verticalstrike" | "horizontalstrike")*}}?,
  attribute denomalign {"left" | "center" | "right"}?,
  attribute depth {length-percentage}?,
  attribute dir {"ltr" | "rtl"}?,
  attribute equalcolumns {mathml-boolean}?,
  attribute equalrows {mathml-boolean}?,
  attribute form {"prefix" | "infix" | "postfix"}?,
  attribute frame {linestyle}?,
  attribute framespacing {list {length-percentage, length-percentage}}?,
  attribute height {length-percentage}?,
  attribute indentalign {"left" | "center" | "right" | "auto" | "id"}?,
  attribute indentalignfirst {"left" | "center" | "right" | "auto" | "id" | "indentalign"}?,
  attribute indentalignlast {"left" | "center" | "right" | "auto" | "id" | "indentalign"}?,
  attribute indentshift {length-percentage}?,
  attribute indentshiftfirst {length-percentage | "indentshift"}?,
  attribute indentshiftlast {length-percentage | "indentshift"}?,
  attribute indenttarget {idref}?,
  attribute largeop {mathml-boolean}?,
  attribute leftoverhang {length-percentage}?,
  attribute length {unsigned-integer}?,
  attribute linebreak {"auto" | "newline" | "nobreak" | "goodbreak" | "badbreak"}?,
  attribute linebreakmultchar {text}?,
  attribute linebreakstyle {"before" | "after" | "duplicate" | "infixlinebreakstyle"}?,
  attribute lineleading {length-percentage}?,
  attribute linethickness {length-percentage | "thin" | "medium" | "thick"}?,
  attribute location {"w" | "nw" | "n" | "ne" | "e" | "se" | "s" | "sw"}?,
  attribute longdivstyle {"lefttop" | "stackedrightright" | "mediumstackedrightright" | "shortstackedrightright" | "righttop" | "left/\right" | "left)(right" | ":right=right" | "stackedleftleft" | "stackedleftlinetop"}?,
  attribute lquote {text}?,
  attribute lspace {length-percentage}?,
  attribute mathsize {"small" | "normal" | "big" | length-percentage}?,
  attribute mathvariant {"normal" | "bold" | "italic" | "bold-italic" | "double-struck" | "bold-fraktur" | "script" | "bold-script" | "fraktur" | "sans-serif" | "bold-sans-serif" | "sans-serif-italic" | "sans-serif-bold-italic" | "monospace" | "initial" | "tailed" | "looped" | "stretched"}?,
  attribute minlabelspacing {length-percentage}?,
  attribute minsize {length-percentage}?,
  attribute movablelimits {mathml-boolean}?,
  attribute mslinethickness {length-percentage | "thin" | "medium" | "thick"}?,
  attribute notation {text}?,
  attribute numalign {"left" | "center" | "right"}?,
  attribute open {text}?,
  attribute position {integer}?,
  attribute rightoverhang {length-percentage}?,
  attribute rowalign {list {verticalalign+} }?,
  attribute rowlines {list {linestyle +}}?,
  attribute rowspacing {list {(length-percentage) +}}?,
  attribute rowspan {positive-integer}?,
  attribute rquote {text}?,
  attribute rspace {length-percentage}?,
  attribute selection {positive-integer}?,
  attribute separators {text}?,
  attribute shift {integer}?,
  attribute side {"left" | "right" | "leftoverlap" | "rightoverlap"}?,
  attribute stackalign {"left" | "center" | "right" | "decimalpoint"}?,
  attribute stretchy {mathml-boolean}?,
  attribute subscriptshift {length-percentage}?,
  attribute superscriptshift {length-percentage}?,
  attribute symmetric {mathml-boolean}?,
  attribute valign {length-percentage}?,
  attribute width {length-percentage}?


math.attributes &= mstyle.specificattributes
math.attributes &= mstyle.generalattributes
math.attributes &= attribute overflow {"linebreak" | "scroll" | "elide" | "truncate" | "scale"}?

mfenced = element mfenced {mfenced.attributes, ImpliedMrow}
mfenced.attributes = 
  MathMLPGlobalAttributes,
  attribute open {text}?,
  attribute close {text}?,
  attribute separators {text}?


menclose = element menclose {menclose.attributes, ImpliedMrow}
menclose.attributes = 
  MathMLPGlobalAttributes,
  attribute notation {text}?


munder.attributes &= 
  attribute align {"left" | "right" | "center"}?

mover.attributes &= 
  attribute align {"left" | "right" | "center"}?

munderover.attributes &= 
  attribute align {"left" | "right" | "center"}?

msub.attributes &=
  attribute subscriptshift {length-percentage}?

msup.attributes &=
  attribute superscriptshift {length-percentage}?

msubsup.attributes &=
  attribute subscriptshift {length-percentage}?,
  attribute superscriptshift {length-percentage}?


mtable.attributes &= 
  attribute align {xsd:string {
    pattern ='\s*(top|bottom|center|baseline|axis)(\s+-?[0-9]+)?\s*'}}?,
  attribute rowalign {list {verticalalign+} }?,
  attribute columnalign {list {columnalignstyle+} }?,
  attribute columnwidth {list {("auto" | length-percentage | "fit") +}}?,
  attribute width {"auto" | length-percentage}?,
  attribute rowspacing {list {(length-percentage) +}}?,
  attribute columnspacing {list {(length-percentage) +}}?,
  attribute rowlines {list {linestyle +}}?,
  attribute columnlines {list {linestyle +}}?,
  attribute frame {linestyle}?,
  attribute framespacing {list {length-percentage, length-percentage}}?,
  attribute equalrows {mathml-boolean}?,
  attribute equalcolumns {mathml-boolean}?,
  attribute displaystyle {mathml-boolean}?


mtr.attributes &= 
  attribute rowalign {"top" | "bottom" | "center" | "baseline" | "axis"}?,
  attribute columnalign {list {columnalignstyle+} }?


mtd.attributes &= 
  attribute rowalign {"top" | "bottom" | "center" | "baseline" | "axis"}?,
  attribute columnalign {columnalignstyle}?


mstack = element mstack {mstack.attributes, MstackExpression*}
mstack.attributes = 
  MathMLPGlobalAttributes,
  attribute align {xsd:string {
    pattern ='\s*(top|bottom|center|baseline|axis)(\s+-?[0-9]+)?\s*'}}?,
  attribute stackalign {"left" | "center" | "right" | "decimalpoint"}?,
  attribute charalign {"left" | "center" | "right"}?,
  attribute charspacing {length-percentage | "loose" | "medium" | "tight"}?


mlongdiv = element mlongdiv {mlongdiv.attributes, MstackExpression,MstackExpression,MstackExpression+}
mlongdiv.attributes = 
  msgroup.attributes,
  attribute longdivstyle {"lefttop" | "stackedrightright" | "mediumstackedrightright" | "shortstackedrightright" | "righttop" | "left/\right" | "left)(right" | ":right=right" | "stackedleftleft" | "stackedleftlinetop"}?


msgroup = element msgroup {msgroup.attributes, MstackExpression*}
msgroup.attributes = 
  MathMLPGlobalAttributes,
  attribute position {integer}?,
  attribute shift {integer}?


msrow = element msrow {msrow.attributes, MsrowExpression*}
msrow.attributes = 
  MathMLPGlobalAttributes,
  attribute position {integer}?


mscarries = element mscarries {mscarries.attributes, (MsrowExpression|mscarry)*}
mscarries.attributes = 
  MathMLPGlobalAttributes,
  attribute position {integer}?,
  attribute location {"w" | "nw" | "n" | "ne" | "e" | "se" | "s" | "sw"}?,
  attribute crossout {list {("none" | "updiagonalstrike" | "downdiagonalstrike" | "verticalstrike" | "horizontalstrike")*}}?,
  attribute scriptsizemultiplier {number}?


mscarry = element mscarry {mscarry.attributes, MsrowExpression*}
mscarry.attributes = 
  MathMLPGlobalAttributes,
  attribute location {"w" | "nw" | "n" | "ne" | "e" | "se" | "s" | "sw"}?,
  attribute crossout {list {("none" | "updiagonalstrike" | "downdiagonalstrike" | "verticalstrike" | "horizontalstrike")*}}?

A.2.3 Strict Content MathML

The grammar for Strict Content MathML 4 can be found at https://www.w3.org/Math/RelaxNG/mathml4/mathml4-strict-content.rnc.

# MathML 4 (Strict Content)
# #########################

#     Copyright 1998-2024 W3C (MIT, ERCIM, Keio, Beihang)
# 
#     Use and distribution of this code are permitted under the terms
#     W3C Software Notice and License
#     http://www.w3.org/Consortium/Legal/2002/copyright-software-20021231


default namespace m = "http://www.w3.org/1998/Math/MathML"

start |= math.strict

CommonAtt =
    attribute id {xsd:ID}?,
    attribute xref {text}?

math.strict = element math {math.attributes,ContExp*}

math.attributes &= CommonAtt

ContExp = semantics-contexp | cn | ci | csymbol | apply | bind | share | cerror | cbytes | cs

cn = element cn {cn.attributes,cn.content}
cn.content = text
cn.attributes = CommonAtt, attribute type {"integer" | "real" | "double" | "hexdouble"}

semantics-ci = element semantics {CommonAtt,(ci|semantics-ci), 
  (annotation|annotation-xml)*}

semantics-contexp = element semantics {CommonAtt,MathExpression, 
  (annotation|annotation-xml)*}

annotation |= element annotation {CommonAtt,text}

anyElement |=  element (* - m:*) {(attribute * {text}|text| anyElement)*}

annotation-xml |= element annotation-xml {annotation-xml.attributes,
                                         (MathExpression*|anyElement*)}

annotation-xml.attributes &= CommonAtt, cd?, encoding?

encoding &= attribute encoding {xsd:string}




ci = element ci {ci.attributes, ci.content}
ci.attributes = CommonAtt, ci.type?
ci.type = attribute type {"integer" | "rational" | "real" | "complex" | "complex-polar" | "complex-cartesian" | "constant" | "function" | "vector" | "list" | "set" | "matrix"}
ci.content = text


csymbol = element csymbol {csymbol.attributes,csymbol.content}

SymbolName = xsd:NCName
csymbol.attributes = CommonAtt, cd
csymbol.content = SymbolName
cd = attribute cd {xsd:NCName}
name = attribute name {xsd:NCName}
src = attribute src {xsd:anyURI}?

BvarQ = bvar*
bvar = element bvar {CommonAtt, (ci | semantics-ci)}

apply = element apply {CommonAtt,apply.content}
apply.content = ContExp+


bind = element bind {CommonAtt,bind.content}
bind.content = ContExp,bvar*,ContExp

share = element share {CommonAtt, src, empty}

cerror = element cerror {cerror.attributes, csymbol, ContExp*}
cerror.attributes = CommonAtt

cbytes = element cbytes {cbytes.attributes, base64}
cbytes.attributes = CommonAtt
base64 = xsd:base64Binary

cs = element cs {cs.attributes, text}
cs.attributes = CommonAtt

MathExpression |= ContExp

A.2.4 Content MathML

The grammar for Content MathML 4 builds on the grammar for the Strict Content MathML subset, and can be found at https://www.w3.org/Math/RelaxNG/mathml4/mathml4-content.rnc.

# MathML 4 (Content)
# ##################

#     Copyright 1998-2024 W3C (MIT, ERCIM, Keio, Beihang)
# 
#     Use and distribution of this code are permitted under the terms
#     W3C Software Notice and License
#     http://www.w3.org/Consortium/Legal/2002/copyright-software-20021231

default namespace m = "http://www.w3.org/1998/Math/MathML"
namespace local = ""
						
include "mathml4-strict-content.rnc"{
  cn.content = (text | sep | PresentationExpression)* 
  cn.attributes = CommonAtt, DefEncAtt, attribute type {text}?, base?

  ci.attributes = CommonAtt, DefEncAtt, ci.type?
  ci.type = attribute type {text}
  ci.content = (text | PresentationExpression)* 

  csymbol.attributes = CommonAtt, DefEncAtt, attribute type {text}?,cd?
  csymbol.content = (text | PresentationExpression)* 

  annotation-xml.attributes |= CommonAtt, cd?, name?, encoding?

  bvar = element bvar {CommonAtt, ((ci | semantics-ci) & degree?)}

  cbytes.attributes = CommonAtt, DefEncAtt

  cs.attributes = CommonAtt, DefEncAtt

  apply.content = ContExp+ | (ContExp, BvarQ, Qualifier*, ContExp*)

  bind.content = apply.content
}

NonMathMLAtt |= attribute (* - (local:*|m:*)) {xsd:string}

math.attributes &=
    attribute alttext {text}?

MathMLDataAttributes &=
  attribute data-other {text}?

CommonAtt &=
		   NonMathMLAtt*,
                   MathMLDataAttributes,
                   attribute class {xsd:NCName}?,
                   attribute style {xsd:string}?,
                   attribute href {xsd:anyURI}?,
                   attribute intent {text}?,
                   attribute arg {xsd:NCName}?

base = attribute base {text}


sep = element sep {empty}
PresentationExpression |= notAllowed
DefEncAtt = attribute encoding {xsd:string}?,
            attribute definitionURL {xsd:anyURI}?


DomainQ = (domainofapplication|condition|interval|(lowlimit,uplimit?))*
domainofapplication = element domainofapplication {ContExp}
condition = element condition {ContExp}
uplimit = element uplimit {ContExp}
lowlimit = element lowlimit {ContExp}

Qualifier = DomainQ|degree|momentabout|logbase
degree = element degree {ContExp}
momentabout = element momentabout {ContExp}
logbase = element logbase {ContExp}

type = attribute type {text}
order = attribute order {"numeric" | "lexicographic"}
closure = attribute closure {text}


ContExp |= piecewise


piecewise = element piecewise {CommonAtt, DefEncAtt,(piece* & otherwise?)}

piece = element piece {CommonAtt, DefEncAtt, ContExp, ContExp}

otherwise = element otherwise {CommonAtt, DefEncAtt, ContExp}


interval.class = interval
ContExp |= interval.class


interval = element interval { CommonAtt, DefEncAtt,closure?, ContExp,ContExp}

unary-functional.class = inverse | ident | domain | codomain | image | ln | log | moment
ContExp |= unary-functional.class


inverse = element inverse { CommonAtt, DefEncAtt, empty}
ident = element ident { CommonAtt, DefEncAtt, empty}
domain = element domain { CommonAtt, DefEncAtt, empty}
codomain = element codomain { CommonAtt, DefEncAtt, empty}
image = element image { CommonAtt, DefEncAtt, empty}
ln = element ln { CommonAtt, DefEncAtt, empty}
log = element log { CommonAtt, DefEncAtt, empty}
moment = element moment { CommonAtt, DefEncAtt, empty}

lambda.class = lambda
ContExp |= lambda.class


lambda = element lambda { CommonAtt, DefEncAtt, BvarQ, DomainQ, ContExp}

nary-functional.class = compose
ContExp |= nary-functional.class


compose = element compose { CommonAtt, DefEncAtt, empty}

binary-arith.class = quotient | divide | minus | power | rem | root
ContExp |= binary-arith.class


quotient = element quotient { CommonAtt, DefEncAtt, empty}
divide = element divide { CommonAtt, DefEncAtt, empty}
minus = element minus { CommonAtt, DefEncAtt, empty}
power = element power { CommonAtt, DefEncAtt, empty}
rem = element rem { CommonAtt, DefEncAtt, empty}
root = element root { CommonAtt, DefEncAtt, empty}

unary-arith.class = factorial | minus | root | abs | conjugate | arg | real | imaginary | floor | ceiling | exp
ContExp |= unary-arith.class


factorial = element factorial { CommonAtt, DefEncAtt, empty}
abs = element abs { CommonAtt, DefEncAtt, empty}
conjugate = element conjugate { CommonAtt, DefEncAtt, empty}
arg = element arg { CommonAtt, DefEncAtt, empty}
real = element real { CommonAtt, DefEncAtt, empty}
imaginary = element imaginary { CommonAtt, DefEncAtt, empty}
floor = element floor { CommonAtt, DefEncAtt, empty}
ceiling = element ceiling { CommonAtt, DefEncAtt, empty}
exp = element exp { CommonAtt, DefEncAtt, empty}

nary-minmax.class = max | min
ContExp |= nary-minmax.class


max = element max { CommonAtt, DefEncAtt, empty}
min = element min { CommonAtt, DefEncAtt, empty}

nary-arith.class = plus | times | gcd | lcm
ContExp |= nary-arith.class


plus = element plus { CommonAtt, DefEncAtt, empty}
times = element times { CommonAtt, DefEncAtt, empty}
gcd = element gcd { CommonAtt, DefEncAtt, empty}
lcm = element lcm { CommonAtt, DefEncAtt, empty}

nary-logical.class = and | or | xor
ContExp |= nary-logical.class


and = element and { CommonAtt, DefEncAtt, empty}
or = element or { CommonAtt, DefEncAtt, empty}
xor = element xor { CommonAtt, DefEncAtt, empty}

unary-logical.class = not
ContExp |= unary-logical.class


not = element not { CommonAtt, DefEncAtt, empty}

binary-logical.class = implies | equivalent
ContExp |= binary-logical.class


implies = element implies { CommonAtt, DefEncAtt, empty}
equivalent = element equivalent { CommonAtt, DefEncAtt, empty}

quantifier.class = forall | exists
ContExp |= quantifier.class


forall = element forall { CommonAtt, DefEncAtt, empty}
exists = element exists { CommonAtt, DefEncAtt, empty}

nary-reln.class = eq | gt | lt | geq | leq
ContExp |= nary-reln.class


eq = element eq { CommonAtt, DefEncAtt, empty}
gt = element gt { CommonAtt, DefEncAtt, empty}
lt = element lt { CommonAtt, DefEncAtt, empty}
geq = element geq { CommonAtt, DefEncAtt, empty}
leq = element leq { CommonAtt, DefEncAtt, empty}

binary-reln.class = neq | approx | factorof | tendsto
ContExp |= binary-reln.class


neq = element neq { CommonAtt, DefEncAtt, empty}
approx = element approx { CommonAtt, DefEncAtt, empty}
factorof = element factorof { CommonAtt, DefEncAtt, empty}
tendsto = element tendsto { CommonAtt, DefEncAtt, type?, empty}

int.class = int
ContExp |= int.class


int = element int { CommonAtt, DefEncAtt, empty}

Differential-Operator.class = diff
ContExp |= Differential-Operator.class


diff = element diff { CommonAtt, DefEncAtt, empty}

partialdiff.class = partialdiff
ContExp |= partialdiff.class


partialdiff = element partialdiff { CommonAtt, DefEncAtt, empty}

unary-veccalc.class = divergence | grad | curl | laplacian
ContExp |= unary-veccalc.class


divergence = element divergence { CommonAtt, DefEncAtt, empty}
grad = element grad { CommonAtt, DefEncAtt, empty}
curl = element curl { CommonAtt, DefEncAtt, empty}
laplacian = element laplacian { CommonAtt, DefEncAtt, empty}

nary-setlist-constructor.class = set | \list
ContExp |= nary-setlist-constructor.class


set = element set { CommonAtt, DefEncAtt, type?, BvarQ*, DomainQ*, ContExp*}
\list = element \list { CommonAtt, DefEncAtt, order?, BvarQ*, DomainQ*, ContExp*}

nary-set.class = union | intersect | cartesianproduct
ContExp |= nary-set.class


union = element union { CommonAtt, DefEncAtt, empty}
intersect = element intersect { CommonAtt, DefEncAtt, empty}
cartesianproduct = element cartesianproduct { CommonAtt, DefEncAtt, empty}

binary-set.class = in | notin | notsubset | notprsubset | setdiff
ContExp |= binary-set.class


in = element in { CommonAtt, DefEncAtt, empty}
notin = element notin { CommonAtt, DefEncAtt, empty}
notsubset = element notsubset { CommonAtt, DefEncAtt, empty}
notprsubset = element notprsubset { CommonAtt, DefEncAtt, empty}
setdiff = element setdiff { CommonAtt, DefEncAtt, empty}

nary-set-reln.class = subset | prsubset
ContExp |= nary-set-reln.class


subset = element subset { CommonAtt, DefEncAtt, empty}
prsubset = element prsubset { CommonAtt, DefEncAtt, empty}

unary-set.class = card
ContExp |= unary-set.class


card = element card { CommonAtt, DefEncAtt, empty}

sum.class = sum
ContExp |= sum.class


sum = element sum { CommonAtt, DefEncAtt, empty}

product.class = product
ContExp |= product.class


product = element product { CommonAtt, DefEncAtt, empty}

limit.class = limit
ContExp |= limit.class


limit = element limit { CommonAtt, DefEncAtt, empty}

unary-elementary.class = sin | cos | tan | sec | csc | cot | sinh | cosh | tanh | sech | csch | coth | arcsin | arccos | arctan | arccosh | arccot | arccoth | arccsc | arccsch | arcsec | arcsech | arcsinh | arctanh
ContExp |= unary-elementary.class


sin = element sin { CommonAtt, DefEncAtt, empty}
cos = element cos { CommonAtt, DefEncAtt, empty}
tan = element tan { CommonAtt, DefEncAtt, empty}
sec = element sec { CommonAtt, DefEncAtt, empty}
csc = element csc { CommonAtt, DefEncAtt, empty}
cot = element cot { CommonAtt, DefEncAtt, empty}
sinh = element sinh { CommonAtt, DefEncAtt, empty}
cosh = element cosh { CommonAtt, DefEncAtt, empty}
tanh = element tanh { CommonAtt, DefEncAtt, empty}
sech = element sech { CommonAtt, DefEncAtt, empty}
csch = element csch { CommonAtt, DefEncAtt, empty}
coth = element coth { CommonAtt, DefEncAtt, empty}
arcsin = element arcsin { CommonAtt, DefEncAtt, empty}
arccos = element arccos { CommonAtt, DefEncAtt, empty}
arctan = element arctan { CommonAtt, DefEncAtt, empty}
arccosh = element arccosh { CommonAtt, DefEncAtt, empty}
arccot = element arccot { CommonAtt, DefEncAtt, empty}
arccoth = element arccoth { CommonAtt, DefEncAtt, empty}
arccsc = element arccsc { CommonAtt, DefEncAtt, empty}
arccsch = element arccsch { CommonAtt, DefEncAtt, empty}
arcsec = element arcsec { CommonAtt, DefEncAtt, empty}
arcsech = element arcsech { CommonAtt, DefEncAtt, empty}
arcsinh = element arcsinh { CommonAtt, DefEncAtt, empty}
arctanh = element arctanh { CommonAtt, DefEncAtt, empty}

nary-stats.class = mean | median | mode | sdev | variance
ContExp |= nary-stats.class


mean = element mean { CommonAtt, DefEncAtt, empty}
median = element median { CommonAtt, DefEncAtt, empty}
mode = element mode { CommonAtt, DefEncAtt, empty}
sdev = element sdev { CommonAtt, DefEncAtt, empty}
variance = element variance { CommonAtt, DefEncAtt, empty}

nary-constructor.class = vector | matrix | matrixrow
ContExp |= nary-constructor.class


vector = element vector { CommonAtt, DefEncAtt, BvarQ, DomainQ, ContExp*}
matrix = element matrix { CommonAtt, DefEncAtt, BvarQ, DomainQ, ContExp*}
matrixrow = element matrixrow { CommonAtt, DefEncAtt, BvarQ, DomainQ, ContExp*}

unary-linalg.class = determinant | transpose
ContExp |= unary-linalg.class


determinant = element determinant { CommonAtt, DefEncAtt, empty}
transpose = element transpose { CommonAtt, DefEncAtt, empty}

nary-linalg.class = selector
ContExp |= nary-linalg.class


selector = element selector { CommonAtt, DefEncAtt, empty}

binary-linalg.class = vectorproduct | scalarproduct | outerproduct
ContExp |= binary-linalg.class


vectorproduct = element vectorproduct { CommonAtt, DefEncAtt, empty}
scalarproduct = element scalarproduct { CommonAtt, DefEncAtt, empty}
outerproduct = element outerproduct { CommonAtt, DefEncAtt, empty}

constant-set.class = integers | reals | rationals | naturalnumbers | complexes | primes | emptyset
ContExp |= constant-set.class


integers = element integers { CommonAtt, DefEncAtt, empty}
reals = element reals { CommonAtt, DefEncAtt, empty}
rationals = element rationals { CommonAtt, DefEncAtt, empty}
naturalnumbers = element naturalnumbers { CommonAtt, DefEncAtt, empty}
complexes = element complexes { CommonAtt, DefEncAtt, empty}
primes = element primes { CommonAtt, DefEncAtt, empty}
emptyset = element emptyset { CommonAtt, DefEncAtt, empty}

constant-arith.class = exponentiale | imaginaryi | notanumber | true | false | pi | eulergamma | infinity
ContExp |= constant-arith.class


exponentiale = element exponentiale { CommonAtt, DefEncAtt, empty}
imaginaryi = element imaginaryi { CommonAtt, DefEncAtt, empty}
notanumber = element notanumber { CommonAtt, DefEncAtt, empty}
true = element true { CommonAtt, DefEncAtt, empty}
false = element false { CommonAtt, DefEncAtt, empty}
pi = element pi { CommonAtt, DefEncAtt, empty}
eulergamma = element eulergamma { CommonAtt, DefEncAtt, empty}
infinity = element infinity { CommonAtt, DefEncAtt, empty}

A.2.5 Full MathML

The grammar for full MathML 4 is simply a merger of the above grammars, and can be found at https://www.w3.org/Math/RelaxNG/mathml4/mathml4.rnc.

# MathML 4 (full)
# ##############

#     Copyright 1998-2024 W3C (MIT, ERCIM, Keio)
# 
#     Use and distribution of this code are permitted under the terms
#     W3C Software Notice and License
#     http://www.w3.org/Consortium/Legal/2002/copyright-software-20021231

default namespace m = "http://www.w3.org/1998/Math/MathML"

# Presentation MathML 
include "mathml4-presentation.rnc"  {
anyElement =  element (* - m:*) {(attribute * {text}|text| anyElement)*}
}
		

# Content  MathML
include "mathml4-content.rnc"

A.2.6 Legacy MathML

Some elements and attributes that were deprecated in MathML 3 are removed from MathML 4. This schema extends the full MathML 4 schema, adding these constructs back, allowing validation of existing MathML documents. It can be found at https://www.w3.org/Math/RelaxNG/mathml4/mathml4-legacy.rnc.

# MathML 4 (legacy)
# ################

#     Copyright 1998-2024 W3C (MIT, ERCIM, Keio)
# 
#     Use and distribution of this code are permitted under the terms
#     W3C Software Notice and License
#     http://www.w3.org/Consortium/Legal/2002/copyright-software-20021231

default namespace m = "http://www.w3.org/1998/Math/MathML"

# MathML 4
include "mathml4.rnc" {

# unitless lengths
length-percentage = xsd:string {
  pattern = '\s*((-?[0-9]*([0-9]\.?|\.[0-9])[0-9]*(e[mx]|in|cm|mm|p[xtc]|%)?)|(negative)?((very){0,2}thi(n|ck)|medium)mathspace)\s*' 
}
}

# Removed MathML 1/2/3 elements

ContExp |= reln | fn | declare

reln = element reln {ContExp*}
fn = element fn {ContExp}
declare = element declare {attribute type {xsd:string}?,
                           attribute scope {xsd:string}?,
                           attribute nargs {xsd:nonNegativeInteger}?,
                           attribute occurrence {"prefix"|"infix"|"function-model"}?,
                           DefEncAtt, 
                           ContExp+}



# legacy attributes

CommonAtt &= attribute other {text}?
MathMLPGlobalAttributes &= attribute other {text}?


mglyph.deprecatedattributes =
  attribute fontfamily {text}?,
  attribute index {integer}?,
  attribute mathvariant {"normal" | "bold" | "italic" | "bold-italic" | "double-struck" | "bold-fraktur" | "script" | "bold-script" | "fraktur" | "sans-serif" | "bold-sans-serif" | "sans-serif-italic" | "sans-serif-bold-italic" | "monospace" | "initial" | "tailed" | "looped" | "stretched"}?,
  attribute mathsize {"small" | "normal" | "big" | length-percentage}?

mglyph.attributes &= mglyph.deprecatedattributes

mstyle.deprecatedattributes =
  attribute veryverythinmathspace {length-percentage}?,
  attribute verythinmathspace {length-percentage}?,
  attribute thinmathspace {length-percentage}?,
  attribute mediummathspace {length-percentage}?,
  attribute thickmathspace {length-percentage}?,
  attribute verythickmathspace {length-percentage}?,
  attribute veryverythickmathspace {length-percentage}?

mstyle.attributes &= mstyle.deprecatedattributes


math.deprecatedattributes = attribute mode {xsd:string}?,
                            attribute macros {xsd:string}?

math.attributes &= math.deprecatedattributes


DeprecatedTokenAtt = 
  attribute fontfamily {text}?,
  attribute fontweight {"normal" | "bold"}?,
  attribute fontstyle {"normal" | "italic"}?,
  attribute fontsize {length-percentage}?,
  attribute color {color}?,
  attribute background {color}?,
  attribute mathsize {"small" | "normal" | "big" }?

DeprecatedMoAtt =
  attribute fence {mathml-boolean}?,
  attribute separator {mathml-boolean}?

mstyle.attributes &= DeprecatedTokenAtt
mstyle.attributes &= DeprecatedMoAtt
mglyph.attributes &= DeprecatedTokenAtt
mn.attributes &= DeprecatedTokenAtt
mi.attributes &= DeprecatedTokenAtt
mo.attributes &= DeprecatedTokenAtt
mo.attributes &= DeprecatedMoAtt
mtext.attributes &= DeprecatedTokenAtt
mspace.attributes &= DeprecatedTokenAtt
ms.attributes &= DeprecatedTokenAtt

semantics.attributes &= DefEncAtt


# malignmark in tokens
token.content |= malignmark
# malignmark in mfrac etc
MathExpression |= MalignExpression

maligngroup.attributes &=
  attribute groupalign {"left" | "center" | "right" | "decimalpoint"}?

malignmark.attributes &=
  attribute edge {"left" | "right"}?

mstyle.generalattributes &=
  attribute edge {"left" | "right"}?

# groupalign
group-alignment = "left" | "center" | "right" | "decimalpoint"
group-alignment-list = list {group-alignment+}
group-alignment-list-list = xsd:string {
  pattern = '(\s*\{\s*(left|center|right|decimalpoint)(\s+(left|center|right|decimalpoint))*\})*\s*' }

mstyle.generalattributes &=
  attribute groupalign {group-alignment-list-list}?

mtable.attributes &=
  attribute groupalign {group-alignment-list-list}?,
  attribute alignmentscope {list {("true" | "false") +}}?,
  attribute side {"left" | "right" | "leftoverlap" | "rightoverlap"}?,
  attribute minlabelspacing {length-percentage}?

mtr.attributes &=
  attribute groupalign {group-alignment-list-list}?
		       
mtd.attributes &=
  attribute groupalign {group-alignment-list}?

mlabeledtr = element mlabeledtr {mlabeledtr.attributes, mtd+}
mlabeledtr.attributes = 
  mtr.attributes

TableRowExpression |= mlabeledtr

A.3 Using the MathML DTD

The MathML DTD uses the strategy outlined in [Modularization] to allow the use of namespace prefixes on MathML elements. However it is recommended that namespace prefixes are not used in XML serialization of MathML, for compatibility with the HTML serialization.

Note that unlike the HTML serialization, when using the XML serialization, character entity references such as &int; may not be used unless a DTD is specified, either the full MathML DTD as described here or the set of HTML/MathML entity declarations as specified by [Entities]. Characters may always be specified by using character data directly, or numeric character references, so or &#x222B; rather than &int;.

A.4 Using the MathML XML Schema

MathML fragments can be validated using the XML Schema for MathML, located at http://www.w3.org/Math/XMLSchema/mathml4/mathml4.xsd. The provided schema has been mechanically generated from the Relax NG schema, it omits some constraints that can not be enforced using XSD syntax.

B. Operator Dictionary

The following table gives the suggested dictionary of rendering properties for operators, fences, separators, and accents in MathML, all of which are represented by mo elements. For brevity, all such elements will be called simply operators in this Appendix. Note that implementations of [MathML-Core] will use these values as normative definitions of the default operator spacing.

B.1 Indexing of the operator dictionary

The dictionary is indexed not just by the element content, but by the element content and form attribute value, together. Operators with more than one possible form have more than one entry. The MathML specification specifies which form to use when no form attribute is given; see 3.2.5.6.2 Default value of the form attribute.

The data is all available in machine readable form in unicode.xml which is also the source of the HTML/MathML entity definitions and distributed with [Entities]. It is however presented below in two more human readable formats. See also [MathML-Core] for an alternative presentation of the data that is used in that specification.

In the first presentation, operators are ordered first by the form and spacing attributes, and then by priority. The characters are then listed, with additional data on remaining operator dictionary entries for that character given via a title attribute which will appear as a popup tooltip in suitable browsers.

In the second presentation of the data, the rows of the table may be reordered in suitable browsers by clicking on a heading in the top row, to cause the table to be ordered by that column.

B.2 Notes on lspace and rspace attributes

The values for lspace and rspace given here range from 0 to 7 denoting multiples of 1/18 em matching the values used for namedspace.

For the invisible operators whose content is InvisibleTimes or ApplyFunction, it is suggested that MathML renderers choose spacing in a context-sensitive way (which is an exception to the static values given in the following table). For <mo>&ApplyFunction;</mo>, the total spacing (lspace+rspace) in expressions such as sinx (where the right operand doesn't start with a fence) should be greater than zero; for <mo>&InvisibleTimes;</mo>, the total spacing should be greater than zero when both operands (or the nearest tokens on either side, if on the baseline) are identifiers displayed in a non-slanted font (i.e.. under the suggested rules, when both operands are multi-character identifiers).

Some renderers may wish to use no spacing for most operators appearing in scripts (i.e. when scriptlevel is greater than 0; see 3.3.4 Style Change <mstyle>), as is the case in TeX.

B.3 Operator dictionary entries

B.3.1 Compressed view

form:infix lspace:0 rspace:0
Priority: 160
invisible separator
Priority: 620
invisible times
Priority: 660
\
Priority: 720
Priority: 880
function application
Priority: 920
invisible plus
Priority: 940
_
form:infix lspace:0 rspace:3
Priority: 140
;
Priority: 160
,
Priority: 180
:
form:infix lspace:3 rspace:3
Priority: 560
@
Priority: 620
*, ., ·, ×, , , , , , , , , , , , , , , , , , , , , , , , , , , , , , , , , , , , , , , , , , ⨿,
Priority: 640
%
Priority: 680
, ,
Priority: 700
,
Priority: 740
⫝̸,
Priority: 760
**
Priority: 800
<>, ^
Priority: 840
?
Priority: 900
, , ,
form:infix lspace:4 rspace:4
Priority: 360
, , , , , , , , , , ,
Priority: 380
, , , , , , , , , , , , , , , , ,
Priority: 400
+, -, ±, , , , , , , , , , , , , , , , , , , , , , , , , , , , , , , , , , , , , , , , , , , , , ,
Priority: 420
Priority: 600
&&, , , , , , , , , , , , ,
Priority: 680
/, ÷, , , , , , , , , , , , ,
form:infix lspace:5 rspace:5
Priority: 140
Priority: 180
Priority: 220
->, , , ,
Priority: 240
//
Priority: 260
, , , , , , , , , , , , , , , , , , , , , , , ,
Priority: 300
, , , , , , , , , , , , , , , , , , , , , , , , , , , , , , , , , , , , , , , , , , , , , , , , , , , , , ⪿, , , , , , , , , , , , , , , , , , , , , , , , , ,
Priority: 320
!=, *=, +=, -=, /=, :=, <, <=, =, ==, >, >=, |, ||, , , , , , , , , , , , , , , , , , , , , , , , , , , , , , , , , , , , , , , , , , , , , , , , , , , , , , , , , , , , , , , , , , , , , , , , , , , , , , , , , , , , , , , , , , , , , , , , , , , , , , , , , , , , , , , , , , , , , , , , , , , , , , , , , , , , , , , , , , , , , , , , , , , ⩿, , , , , , , , , , , , , , , , , , , , , , , , , , , , , , , , , , , , , , , , , , , , , , , , , , , , , , , , , , , , , , , , , , , , , , , ,
Priority: 340
, , , , , , , , , , , , , , , , , , , , , , , , , , , , , , , , , , , , , , , , , , , , , , , , , , , , , , , , , , , , , , , , , , , , , , , , , , , , , , , , , , , , , , , , , , , , , , , , , , , , , , , , , , , , , , , , , , , , , , , , , , , , , , , , , , , , , , , , , , , , , , , , , , , , , , , , , , , , , , , , , , , , , , , , , , , , , , , , , , , , , , , , , , , , , , , , , , , , , , , , , , , , , , , , , , , , , , , , , , , , , , , , , , , , , , ⤿, , , , , , , , , , , , , , , , , , , , , , , , , , , , , , , , , , , , , , , , , , , , , , , , , , , , , , , , , , ⥿, , , , , , , , , , , , , , , , , , , , , , , , , , , , , , , , , , , ⬿, , , , , , , , , , , , , , , , , , , , , , , , , , , , , , , , , , , , , , , , , , , , , , , , , , , , , , , , , , , , , , , , , , , , , , , , , , , , , , , , , , , , , , , , , , , , ,
form:postfix lspace:0 rspace:0
Priority: 100
,
Priority: 120
), ], |, ||, }, , , , , , , , , , , , , , , , , , , , , , , , , ,
Priority: 820
!, !!, %,
Priority: 920
", &, ', ++, --, ^, _, `, ~, ¨, ¯, °, ², ³, ´, ¸, ¹, ˆ, ˇ, ˉ, ˊ, ˋ, ˍ, ˘, ˙, ˚, ˜, ˝, ˷, ̂, ̑, , , , , , , , , , , , , , , , , , , , , , , , , 𞻰, 𞻱
form:prefix lspace:0 rspace:0
Priority: 100
,
Priority: 120
(, [, {, |, ||, , , , , , , , , , , , , , , , , , , , , , , , , ,
Priority: 200
,
Priority: 280
!, ¬, , , , , , , ,
Priority: 580
, , , , , , , , , , , , , , , , , , , , , , , , , , ,
Priority: 720
+, -, ±, , , , ,
Priority: 780
form:prefix lspace:3 rspace:0
Priority: 780
, ,
Priority: 860
, ,
form:prefix lspace:3 rspace:3
Priority: 440
, , , ,
Priority: 460
Priority: 480
, , , , , , , , , , , , , , , , , , , , , , , , ,
Priority: 500
, ,
Priority: 520
, , , , , , , , , , , ⫿
Priority: 540
,

B.3.2 Sortable Table View

Character Glyph Name form priority lspace rspace Properties
&#x2018; left single quotation mark prefix 100 0 0
&#x2019; right single quotation mark postfix 100 0 0
&#x201C; left double quotation mark prefix 100 0 0
&#x201D; right double quotation mark postfix 100 0 0
( ( left parenthesis prefix 120 0 0 stretchy, symmetric
) ) right parenthesis postfix 120 0 0 stretchy, symmetric
[ [ left square bracket prefix 120 0 0 stretchy, symmetric
] ] right square bracket postfix 120 0 0 stretchy, symmetric
{ { left curly bracket prefix 120 0 0 stretchy, symmetric
| | vertical line prefix 120 0 0 stretchy, symmetric
| | vertical line postfix 120 0 0 stretchy, symmetric
|| || multiple character operator: || prefix 120 0 0
|| || multiple character operator: || postfix 120 0 0
} } right curly bracket postfix 120 0 0 stretchy, symmetric
&#x2016; double vertical line prefix 120 0 0 stretchy, symmetric
&#x2016; double vertical line postfix 120 0 0 stretchy, symmetric
&#x2308; left ceiling prefix 120 0 0 stretchy, symmetric
&#x2309; right ceiling postfix 120 0 0 stretchy, symmetric
&#x230A; left floor prefix 120 0 0 stretchy, symmetric
&#x230B; right floor postfix 120 0 0 stretchy, symmetric
&#x2329; left-pointing angle bracket prefix 120 0 0 stretchy, symmetric
&#x232A; right-pointing angle bracket postfix 120 0 0 stretchy, symmetric
&#x2772; light left tortoise shell bracket ornament prefix 120 0 0 stretchy, symmetric
&#x2773; light right tortoise shell bracket ornament postfix 120 0 0 stretchy, symmetric
&#x27E6; mathematical left white square bracket prefix 120 0 0 stretchy, symmetric
&#x27E7; mathematical right white square bracket postfix 120 0 0 stretchy, symmetric
&#x27E8; mathematical left angle bracket prefix 120 0 0 stretchy, symmetric
&#x27E9; mathematical right angle bracket postfix 120 0 0 stretchy, symmetric
&#x27EA; mathematical left double angle bracket prefix 120 0 0 stretchy, symmetric
&#x27EB; mathematical right double angle bracket postfix 120 0 0 stretchy, symmetric
&#x27EC; mathematical left white tortoise shell bracket prefix 120 0 0 stretchy, symmetric
&#x27ED; mathematical right white tortoise shell bracket postfix 120 0 0 stretchy, symmetric
&#x27EE; mathematical left flattened parenthesis prefix 120 0 0 stretchy, symmetric
&#x27EF; mathematical right flattened parenthesis postfix 120 0 0 stretchy, symmetric
&#x2980; triple vertical bar delimiter prefix 120 0 0 stretchy, symmetric
&#x2980; triple vertical bar delimiter postfix 120 0 0 stretchy, symmetric
&#x2983; left white curly bracket prefix 120 0 0 stretchy, symmetric
&#x2984; right white curly bracket postfix 120 0 0 stretchy, symmetric
&#x2985; left white parenthesis prefix 120 0 0 stretchy, symmetric
&#x2986; right white parenthesis postfix 120 0 0 stretchy, symmetric
&#x2987; z notation left image bracket prefix 120 0 0 stretchy, symmetric
&#x2988; z notation right image bracket postfix 120 0 0 stretchy, symmetric
&#x2989; z notation left binding bracket prefix 120 0 0 stretchy, symmetric
&#x298A; z notation right binding bracket postfix 120 0 0 stretchy, symmetric
&#x298B; left square bracket with underbar prefix 120 0 0 stretchy, symmetric
&#x298C; right square bracket with underbar postfix 120 0 0 stretchy, symmetric
&#x298D; left square bracket with tick in top corner prefix 120 0 0 stretchy, symmetric
&#x298E; right square bracket with tick in bottom corner postfix 120 0 0 stretchy, symmetric
&#x298F; left square bracket with tick in bottom corner prefix 120 0 0 stretchy, symmetric
&#x2990; right square bracket with tick in top corner postfix 120 0 0 stretchy, symmetric
&#x2991; left angle bracket with dot prefix 120 0 0 stretchy, symmetric
&#x2992; right angle bracket with dot postfix 120 0 0 stretchy, symmetric
&#x2993; left arc less-than bracket prefix 120 0 0 stretchy, symmetric
&#x2994; right arc greater-than bracket postfix 120 0 0 stretchy, symmetric
&#x2995; double left arc greater-than bracket prefix 120 0 0 stretchy, symmetric
&#x2996; double right arc less-than bracket postfix 120 0 0 stretchy, symmetric
&#x2997; left black tortoise shell bracket prefix 120 0 0 stretchy, symmetric
&#x2998; right black tortoise shell bracket postfix 120 0 0 stretchy, symmetric
&#x2999; dotted fence prefix 120 0 0 stretchy, symmetric
&#x2999; dotted fence postfix 120 0 0 stretchy, symmetric
&#x29D8; left wiggly fence prefix 120 0 0 stretchy, symmetric
&#x29D9; right wiggly fence postfix 120 0 0 stretchy, symmetric
&#x29DA; left double wiggly fence prefix 120 0 0 stretchy, symmetric
&#x29DB; right double wiggly fence postfix 120 0 0 stretchy, symmetric
&#x29FC; left-pointing curved angle bracket prefix 120 0 0 stretchy, symmetric
&#x29FD; right-pointing curved angle bracket postfix 120 0 0 stretchy, symmetric
; ; semicolon infix 140 0 3 linebreakstyle=after
&#x2981; z notation spot infix 140 5 5
, , comma infix 160 0 3 linebreakstyle=after
&#x2063; invisible separator infix 160 0 0 linebreakstyle=after
: : colon infix 180 0 3
&#x2982; z notation type colon infix 180 5 5
&#x2234; therefore prefix 200 0 0
&#x2235; because prefix 200 0 0
-> -> multiple character operator: -> infix 220 5 5
&#x22B6; original of infix 220 5 5
&#x22B7; image of infix 220 5 5
&#x22B8; multimap infix 220 5 5
&#x29F4; rule-delayed infix 220 5 5
// // multiple character operator: // infix 240 5 5
&#x22A2; right tack infix 260 5 5
&#x22A3; left tack infix 260 5 5
&#x22A7; models infix 260 5 5
&#x22A8; true infix 260 5 5
&#x22A9; forces infix 260 5 5
&#x22AA; triple vertical bar right turnstile infix 260 5 5
&#x22AB; double vertical bar double right turnstile infix 260 5 5
&#x22AC; does not prove infix 260 5 5
&#x22AD; not true infix 260 5 5
&#x22AE; does not force infix 260 5 5
&#x22AF; negated double vertical bar double right turnstile infix 260 5 5
&#x2ADE; short left tack infix 260 5 5
&#x2ADF; short down tack infix 260 5 5
&#x2AE0; short up tack infix 260 5 5
&#x2AE1; perpendicular with s infix 260 5 5
&#x2AE2; vertical bar triple right turnstile infix 260 5 5
&#x2AE3; double vertical bar left turnstile infix 260 5 5
&#x2AE4; vertical bar double left turnstile infix 260 5 5
&#x2AE5; double vertical bar double left turnstile infix 260 5 5
&#x2AE6; long dash from left member of double vertical infix 260 5 5
&#x2AE7; short down tack with overbar infix 260 5 5
&#x2AE8; short up tack with underbar infix 260 5 5
&#x2AE9; short up tack above short down tack infix 260 5 5
&#x2AEA; double down tack infix 260 5 5
&#x2AEB; double up tack infix 260 5 5
! ! exclamation mark prefix 280 0 0
&#xAC; ¬ not sign prefix 280 0 0
&#x2200; for all prefix 280 0 0
&#x2203; there exists prefix 280 0 0
&#x2204; there does not exist prefix 280 0 0
&#x223C; tilde operator prefix 280 0 0
&#x2310; reversed not sign prefix 280 0 0
&#x2319; turned not sign prefix 280 0 0
&#x2AEC; double stroke not sign prefix 280 0 0
&#x2AED; reversed double stroke not sign prefix 280 0 0
&#x2208; element of infix 300 5 5
&#x2209; not an element of infix 300 5 5
&#x220A; small element of infix 300 5 5
&#x220B; contains as member infix 300 5 5
&#x220C; does not contain as member infix 300 5 5
&#x220D; small contains as member infix 300 5 5
&#x2282; subset of infix 300 5 5
&#x2283; superset of infix 300 5 5
&#x2284; not a subset of infix 300 5 5
&#x2285; not a superset of infix 300 5 5
&#x2286; subset of or equal to infix 300 5 5
&#x2287; superset of or equal to infix 300 5 5
&#x2288; neither a subset of nor equal to infix 300 5 5
&#x2289; neither a superset of nor equal to infix 300 5 5
&#x228A; subset of with not equal to infix 300 5 5
&#x228B; superset of with not equal to infix 300 5 5
&#x228F; square image of infix 300 5 5
&#x2290; square original of infix 300 5 5
&#x2291; square image of or equal to infix 300 5 5
&#x2292; square original of or equal to infix 300 5 5
&#x22B0; precedes under relation infix 300 5 5
&#x22B1; succeeds under relation infix 300 5 5
&#x22B2; normal subgroup of infix 300 5 5
&#x22B3; contains as normal subgroup infix 300 5 5
&#x22D0; double subset infix 300 5 5
&#x22D1; double superset infix 300 5 5
&#x22E2; not square image of or equal to infix 300 5 5
&#x22E3; not square original of or equal to infix 300 5 5
&#x22E4; square image of or not equal to infix 300 5 5
&#x22E5; square original of or not equal to infix 300 5 5
&#x22EA; not normal subgroup of infix 300 5 5
&#x22EB; does not contain as normal subgroup infix 300 5 5
&#x22EC; not normal subgroup of or equal to infix 300 5 5
&#x22ED; does not contain as normal subgroup or equal infix 300 5 5
&#x22F2; element of with long horizontal stroke infix 300 5 5
&#x22F3; element of with vertical bar at end of horizontal stroke infix 300 5 5
&#x22F4; small element of with vertical bar at end of horizontal stroke infix 300 5 5
&#x22F5; element of with dot above infix 300 5 5
&#x22F6; element of with overbar infix 300 5 5
&#x22F7; small element of with overbar infix 300 5 5
&#x22F8; element of with underbar infix 300 5 5
&#x22F9; element of with two horizontal strokes infix 300 5 5
&#x22FA; contains with long horizontal stroke infix 300 5 5
&#x22FB; contains with vertical bar at end of horizontal stroke infix 300 5 5
&#x22FC; small contains with vertical bar at end of horizontal stroke infix 300 5 5
&#x22FD; contains with overbar infix 300 5 5
&#x22FE; small contains with overbar infix 300 5 5
&#x22FF; z notation bag membership infix 300 5 5
&#x2979; subset above rightwards arrow infix 300 5 5
&#x297A; leftwards arrow through subset infix 300 5 5
&#x297B; superset above leftwards arrow infix 300 5 5
&#x2ABD; subset with dot infix 300 5 5
&#x2ABE; superset with dot infix 300 5 5
&#x2ABF; ⪿ subset with plus sign below infix 300 5 5
&#x2AC0; superset with plus sign below infix 300 5 5
&#x2AC1; subset with multiplication sign below infix 300 5 5
&#x2AC2; superset with multiplication sign below infix 300 5 5
&#x2AC3; subset of or equal to with dot above infix 300 5 5
&#x2AC4; superset of or equal to with dot above infix 300 5 5
&#x2AC5; subset of above equals sign infix 300 5 5
&#x2AC6; superset of above equals sign infix 300 5 5
&#x2AC7; subset of above tilde operator infix 300 5 5
&#x2AC8; superset of above tilde operator infix 300 5 5
&#x2AC9; subset of above almost equal to infix 300 5 5
&#x2ACA; superset of above almost equal to infix 300 5 5
&#x2ACB; subset of above not equal to infix 300 5 5
&#x2ACC; superset of above not equal to infix 300 5 5
&#x2ACD; square left open box operator infix 300 5 5
&#x2ACE; square right open box operator infix 300 5 5
&#x2ACF; closed subset infix 300 5 5
&#x2AD0; closed superset infix 300 5 5
&#x2AD1; closed subset or equal to infix 300 5 5
&#x2AD2; closed superset or equal to infix 300 5 5
&#x2AD3; subset above superset infix 300 5 5
&#x2AD4; superset above subset infix 300 5 5
&#x2AD5; subset above subset infix 300 5 5
&#x2AD6; superset above superset infix 300 5 5
&#x2AD7; superset beside subset infix 300 5 5
&#x2AD8; superset beside and joined by dash with subset infix 300 5 5
&#x2AD9; element of opening downwards infix 300 5 5
!= != multiple character operator: != infix 320 5 5
*= *= multiple character operator: *= infix 320 5 5
+= += multiple character operator: += infix 320 5 5
-= -= multiple character operator: -= infix 320 5 5
/= /= multiple character operator: /= infix 320 5 5
:= := multiple character operator: := infix 320 5 5
&lt; < less-than sign infix 320 5 5
&lt;= <= multiple character operator: <= infix 320 5 5
= = equals sign infix 320 5 5
== == multiple character operator: == infix 320 5 5
> > greater-than sign infix 320 5 5
>= >= multiple character operator: >= infix 320 5 5
| | vertical line infix 320 5 5
|| || multiple character operator: || infix 320 5 5
&#x221D; proportional to infix 320 5 5
&#x2223; divides infix 320 5 5
&#x2224; does not divide infix 320 5 5
&#x2225; parallel to infix 320 5 5
&#x2226; not parallel to infix 320 5 5
&#x2237; proportion infix 320 5 5
&#x2239; excess infix 320 5 5
&#x223A; geometric proportion infix 320 5 5
&#x223B; homothetic infix 320 5 5
&#x223C; tilde operator infix 320 5 5
&#x223D; reversed tilde infix 320 5 5
&#x223E; inverted lazy s infix 320 5 5
&#x2241; not tilde infix 320 5 5
&#x2242; minus tilde infix 320 5 5
&#x2243; asymptotically equal to infix 320 5 5
&#x2244; not asymptotically equal to infix 320 5 5
&#x2245; approximately equal to infix 320 5 5
&#x2246; approximately but not actually equal to infix 320 5 5
&#x2247; neither approximately nor actually equal to infix 320 5 5
&#x2248; almost equal to infix 320 5 5
&#x2249; not almost equal to infix 320 5 5
&#x224A; almost equal or equal to infix 320 5 5
&#x224B; triple tilde infix 320 5 5
&#x224C; all equal to infix 320 5 5
&#x224D; equivalent to infix 320 5 5
&#x224E; geometrically equivalent to infix 320 5 5
&#x224F; difference between infix 320 5 5
&#x2250; approaches the limit infix 320 5 5
&#x2251; geometrically equal to infix 320 5 5
&#x2252; approximately equal to or the image of infix 320 5 5
&#x2253; image of or approximately equal to infix 320 5 5
&#x2254; colon equals infix 320 5 5
&#x2255; equals colon infix 320 5 5
&#x2256; ring in equal to infix 320 5 5
&#x2257; ring equal to infix 320 5 5
&#x2258; corresponds to infix 320 5 5
&#x2259; estimates infix 320 5 5
&#x225A; equiangular to infix 320 5 5
&#x225B; star equals infix 320 5 5
&#x225C; delta equal to infix 320 5 5
&#x225D; equal to by definition infix 320 5 5
&#x225E; measured by infix 320 5 5
&#x225F; questioned equal to infix 320 5 5
&#x2260; not equal to infix 320 5 5
&#x2261; identical to infix 320 5 5
&#x2262; not identical to infix 320 5 5
&#x2263; strictly equivalent to infix 320 5 5
&#x2264; less-than or equal to infix 320 5 5
&#x2265; greater-than or equal to infix 320 5 5
&#x2266; less-than over equal to infix 320 5 5
&#x2267; greater-than over equal to infix 320 5 5
&#x2268; less-than but not equal to infix 320 5 5
&#x2269; greater-than but not equal to infix 320 5 5
&#x226A; much less-than infix 320 5 5
&#x226B; much greater-than infix 320 5 5
&#x226C; between infix 320 5 5
&#x226D; not equivalent to infix 320 5 5
&#x226E; not less-than infix 320 5 5
&#x226F; not greater-than infix 320 5 5
&#x2270; neither less-than nor equal to infix 320 5 5
&#x2271; neither greater-than nor equal to infix 320 5 5
&#x2272; less-than or equivalent to infix 320 5 5
&#x2273; greater-than or equivalent to infix 320 5 5
&#x2274; neither less-than nor equivalent to infix 320 5 5
&#x2275; neither greater-than nor equivalent to infix 320 5 5
&#x2276; less-than or greater-than infix 320 5 5
&#x2277; greater-than or less-than infix 320 5 5
&#x2278; neither less-than nor greater-than infix 320 5 5
&#x2279; neither greater-than nor less-than infix 320 5 5
&#x227A; precedes infix 320 5 5
&#x227B; succeeds infix 320 5 5
&#x227C; precedes or equal to infix 320 5 5
&#x227D; succeeds or equal to infix 320 5 5
&#x227E; precedes or equivalent to infix 320 5 5
&#x227F; succeeds or equivalent to infix 320 5 5
&#x2280; does not precede infix 320 5 5
&#x2281; does not succeed infix 320 5 5
&#x229C; circled equals infix 320 5 5
&#x22A6; assertion infix 320 5 5
&#x22B4; normal subgroup of or equal to infix 320 5 5
&#x22B5; contains as normal subgroup or equal to infix 320 5 5
&#x22C8; bowtie infix 320 5 5
&#x22CD; reversed tilde equals infix 320 5 5
&#x22D4; pitchfork infix 320 5 5
&#x22D5; equal and parallel to infix 320 5 5
&#x22D6; less-than with dot infix 320 5 5
&#x22D7; greater-than with dot infix 320 5 5
&#x22D8; very much less-than infix 320 5 5
&#x22D9; very much greater-than infix 320 5 5
&#x22DA; less-than equal to or greater-than infix 320 5 5
&#x22DB; greater-than equal to or less-than infix 320 5 5
&#x22DC; equal to or less-than infix 320 5 5
&#x22DD; equal to or greater-than infix 320 5 5
&#x22DE; equal to or precedes infix 320 5 5
&#x22DF; equal to or succeeds infix 320 5 5
&#x22E0; does not precede or equal infix 320 5 5
&#x22E1; does not succeed or equal infix 320 5 5
&#x22E6; less-than but not equivalent to infix 320 5 5
&#x22E7; greater-than but not equivalent to infix 320 5 5
&#x22E8; precedes but not equivalent to infix 320 5 5
&#x22E9; succeeds but not equivalent to infix 320 5 5
&#x27C2; perpendicular infix 320 5 5
&#x2976; less-than above leftwards arrow infix 320 5 5
&#x2977; leftwards arrow through less-than infix 320 5 5
&#x2978; greater-than above rightwards arrow infix 320 5 5
&#x29B6; circled vertical bar infix 320 5 5
&#x29B7; circled parallel infix 320 5 5
&#x29B9; circled perpendicular infix 320 5 5
&#x29C0; circled less-than infix 320 5 5
&#x29C1; circled greater-than infix 320 5 5
&#x29CE; right triangle above left triangle infix 320 5 5
&#x29CF; left triangle beside vertical bar infix 320 5 5
&#x29D0; vertical bar beside right triangle infix 320 5 5
&#x29D1; bowtie with left half black infix 320 5 5
&#x29D2; bowtie with right half black infix 320 5 5
&#x29D3; black bowtie infix 320 5 5
&#x29E1; increases as infix 320 5 5
&#x29E3; equals sign and slanted parallel infix 320 5 5
&#x29E4; equals sign and slanted parallel with tilde above infix 320 5 5
&#x29E5; identical to and slanted parallel infix 320 5 5
&#x29E6; gleich stark infix 320 5 5
&#x2A66; equals sign with dot below infix 320 5 5
&#x2A67; identical with dot above infix 320 5 5
&#x2A68; triple horizontal bar with double vertical stroke infix 320 5 5
&#x2A69; triple horizontal bar with triple vertical stroke infix 320 5 5
&#x2A6A; tilde operator with dot above infix 320 5 5
&#x2A6B; tilde operator with rising dots infix 320 5 5
&#x2A6C; similar minus similar infix 320 5 5
&#x2A6D; congruent with dot above infix 320 5 5
&#x2A6E; equals with asterisk infix 320 5 5
&#x2A6F; almost equal to with circumflex accent infix 320 5 5
&#x2A70; approximately equal or equal to infix 320 5 5
&#x2A71; equals sign above plus sign infix 320 5 5
&#x2A72; plus sign above equals sign infix 320 5 5
&#x2A73; equals sign above tilde operator infix 320 5 5
&#x2A74; double colon equal infix 320 5 5
&#x2A75; two consecutive equals signs infix 320 5 5
&#x2A76; three consecutive equals signs infix 320 5 5
&#x2A77; equals sign with two dots above and two dots below infix 320 5 5
&#x2A78; equivalent with four dots above infix 320 5 5
&#x2A79; less-than with circle inside infix 320 5 5
&#x2A7A; greater-than with circle inside infix 320 5 5
&#x2A7B; less-than with question mark above infix 320 5 5
&#x2A7C; greater-than with question mark above infix 320 5 5
&#x2A7D; less-than or slanted equal to infix 320 5 5
&#x2A7E; greater-than or slanted equal to infix 320 5 5
&#x2A7F; ⩿ less-than or slanted equal to with dot inside infix 320 5 5
&#x2A80; greater-than or slanted equal to with dot inside infix 320 5 5
&#x2A81; less-than or slanted equal to with dot above infix 320 5 5
&#x2A82; greater-than or slanted equal to with dot above infix 320 5 5
&#x2A83; less-than or slanted equal to with dot above right infix 320 5 5
&#x2A84; greater-than or slanted equal to with dot above left infix 320 5 5
&#x2A85; less-than or approximate infix 320 5 5
&#x2A86; greater-than or approximate infix 320 5 5
&#x2A87; less-than and single-line not equal to infix 320 5 5
&#x2A88; greater-than and single-line not equal to infix 320 5 5
&#x2A89; less-than and not approximate infix 320 5 5
&#x2A8A; greater-than and not approximate infix 320 5 5
&#x2A8B; less-than above double-line equal above greater-than infix 320 5 5
&#x2A8C; greater-than above double-line equal above less-than infix 320 5 5
&#x2A8D; less-than above similar or equal infix 320 5 5
&#x2A8E; greater-than above similar or equal infix 320 5 5
&#x2A8F; less-than above similar above greater-than infix 320 5 5
&#x2A90; greater-than above similar above less-than infix 320 5 5
&#x2A91; less-than above greater-than above double-line equal infix 320 5 5
&#x2A92; greater-than above less-than above double-line equal infix 320 5 5
&#x2A93; less-than above slanted equal above greater-than above slanted equal infix 320 5 5
&#x2A94; greater-than above slanted equal above less-than above slanted equal infix 320 5 5
&#x2A95; slanted equal to or less-than infix 320 5 5
&#x2A96; slanted equal to or greater-than infix 320 5 5
&#x2A97; slanted equal to or less-than with dot inside infix 320 5 5
&#x2A98; slanted equal to or greater-than with dot inside infix 320 5 5
&#x2A99; double-line equal to or less-than infix 320 5 5
&#x2A9A; double-line equal to or greater-than infix 320 5 5
&#x2A9B; double-line slanted equal to or less-than infix 320 5 5
&#x2A9C; double-line slanted equal to or greater-than infix 320 5 5
&#x2A9D; similar or less-than infix 320 5 5
&#x2A9E; similar or greater-than infix 320 5 5
&#x2A9F; similar above less-than above equals sign infix 320 5 5
&#x2AA0; similar above greater-than above equals sign infix 320 5 5
&#x2AA1; double nested less-than infix 320 5 5
&#x2AA2; double nested greater-than infix 320 5 5
&#x2AA3; double nested less-than with underbar infix 320 5 5
&#x2AA4; greater-than overlapping less-than infix 320 5 5
&#x2AA5; greater-than beside less-than infix 320 5 5
&#x2AA6; less-than closed by curve infix 320 5 5
&#x2AA7; greater-than closed by curve infix 320 5 5
&#x2AA8; less-than closed by curve above slanted equal infix 320 5 5
&#x2AA9; greater-than closed by curve above slanted equal infix 320 5 5
&#x2AAA; smaller than infix 320 5 5
&#x2AAB; larger than infix 320 5 5
&#x2AAC; smaller than or equal to infix 320 5 5
&#x2AAD; larger than or equal to infix 320 5 5
&#x2AAE; equals sign with bumpy above infix 320 5 5
&#x2AAF; precedes above single-line equals sign infix 320 5 5
&#x2AB0; succeeds above single-line equals sign infix 320 5 5
&#x2AB1; precedes above single-line not equal to infix 320 5 5
&#x2AB2; succeeds above single-line not equal to infix 320 5 5
&#x2AB3; precedes above equals sign infix 320 5 5
&#x2AB4; succeeds above equals sign infix 320 5 5
&#x2AB5; precedes above not equal to infix 320 5 5
&#x2AB6; succeeds above not equal to infix 320 5 5
&#x2AB7; precedes above almost equal to infix 320 5 5
&#x2AB8; succeeds above almost equal to infix 320 5 5
&#x2AB9; precedes above not almost equal to infix 320 5 5
&#x2ABA; succeeds above not almost equal to infix 320 5 5
&#x2ABB; double precedes infix 320 5 5
&#x2ABC; double succeeds infix 320 5 5
&#x2ADA; pitchfork with tee top infix 320 5 5
&#x2AEE; does not divide with reversed negation slash infix 320 5 5
&#x2AF2; parallel with horizontal stroke infix 320 5 5
&#x2AF3; parallel with tilde operator infix 320 5 5
&#x2AF4; triple vertical bar binary relation infix 320 5 5
&#x2AF5; triple vertical bar with horizontal stroke infix 320 5 5
&#x2AF7; triple nested less-than infix 320 5 5
&#x2AF8; triple nested greater-than infix 320 5 5
&#x2AF9; double-line slanted less-than or equal to infix 320 5 5
&#x2AFA; double-line slanted greater-than or equal to infix 320 5 5
&#x2BD1; uncertainty sign infix 320 5 5
&#x2190; leftwards arrow infix 340 5 5 stretchy
&#x2191; upwards arrow infix 340 5 5 stretchy
&#x2192; rightwards arrow infix 340 5 5 stretchy
&#x2193; downwards arrow infix 340 5 5 stretchy
&#x2194; left right arrow infix 340 5 5 stretchy
&#x2195; up down arrow infix 340 5 5 stretchy
&#x2196; north west arrow infix 340 5 5
&#x2197; north east arrow infix 340 5 5
&#x2198; south east arrow infix 340 5 5
&#x2199; south west arrow infix 340 5 5
&#x219A; leftwards arrow with stroke infix 340 5 5 stretchy
&#x219B; rightwards arrow with stroke infix 340 5 5 stretchy
&#x219C; leftwards wave arrow infix 340 5 5 stretchy
&#x219D; rightwards wave arrow infix 340 5 5 stretchy
&#x219E; leftwards two headed arrow infix 340 5 5 stretchy
&#x219F; upwards two headed arrow infix 340 5 5 stretchy
&#x21A0; rightwards two headed arrow infix 340 5 5 stretchy
&#x21A1; downwards two headed arrow infix 340 5 5 stretchy
&#x21A2; leftwards arrow with tail infix 340 5 5 stretchy
&#x21A3; rightwards arrow with tail infix 340 5 5 stretchy
&#x21A4; leftwards arrow from bar infix 340 5 5 stretchy
&#x21A5; upwards arrow from bar infix 340 5 5 stretchy
&#x21A6; rightwards arrow from bar infix 340 5 5 stretchy
&#x21A7; downwards arrow from bar infix 340 5 5 stretchy
&#x21A8; up down arrow with base infix 340 5 5 stretchy
&#x21A9; leftwards arrow with hook infix 340 5 5 stretchy
&#x21AA; rightwards arrow with hook infix 340 5 5 stretchy
&#x21AB; leftwards arrow with loop infix 340 5 5 stretchy
&#x21AC; rightwards arrow with loop infix 340 5 5 stretchy
&#x21AD; left right wave arrow infix 340 5 5 stretchy
&#x21AE; left right arrow with stroke infix 340 5 5 stretchy
&#x21AF; downwards zigzag arrow infix 340 5 5
&#x21B0; upwards arrow with tip leftwards infix 340 5 5 stretchy
&#x21B1; upwards arrow with tip rightwards infix 340 5 5 stretchy
&#x21B2; downwards arrow with tip leftwards infix 340 5 5 stretchy
&#x21B3; downwards arrow with tip rightwards infix 340 5 5 stretchy
&#x21B4; rightwards arrow with corner downwards infix 340 5 5 stretchy
&#x21B5; downwards arrow with corner leftwards infix 340 5 5 stretchy
&#x21B6; anticlockwise top semicircle arrow infix 340 5 5
&#x21B7; clockwise top semicircle arrow infix 340 5 5
&#x21B8; north west arrow to long bar infix 340 5 5
&#x21B9; leftwards arrow to bar over rightwards arrow to bar infix 340 5 5 stretchy
&#x21BA; anticlockwise open circle arrow infix 340 5 5
&#x21BB; clockwise open circle arrow infix 340 5 5
&#x21BC; leftwards harpoon with barb upwards infix 340 5 5 stretchy
&#x21BD; leftwards harpoon with barb downwards infix 340 5 5 stretchy
&#x21BE; upwards harpoon with barb rightwards infix 340 5 5 stretchy
&#x21BF; upwards harpoon with barb leftwards infix 340 5 5 stretchy
&#x21C0; rightwards harpoon with barb upwards infix 340 5 5 stretchy
&#x21C1; rightwards harpoon with barb downwards infix 340 5 5 stretchy
&#x21C2; downwards harpoon with barb rightwards infix 340 5 5 stretchy
&#x21C3; downwards harpoon with barb leftwards infix 340 5 5 stretchy
&#x21C4; rightwards arrow over leftwards arrow infix 340 5 5 stretchy
&#x21C5; upwards arrow leftwards of downwards arrow infix 340 5 5 stretchy
&#x21C6; leftwards arrow over rightwards arrow infix 340 5 5 stretchy
&#x21C7; leftwards paired arrows infix 340 5 5 stretchy
&#x21C8; upwards paired arrows infix 340 5 5 stretchy
&#x21C9; rightwards paired arrows infix 340 5 5 stretchy
&#x21CA; downwards paired arrows infix 340 5 5 stretchy
&#x21CB; leftwards harpoon over rightwards harpoon infix 340 5 5 stretchy
&#x21CC; rightwards harpoon over leftwards harpoon infix 340 5 5 stretchy
&#x21CD; leftwards double arrow with stroke infix 340 5 5 stretchy
&#x21CE; left right double arrow with stroke infix 340 5 5 stretchy
&#x21CF; rightwards double arrow with stroke infix 340 5 5 stretchy
&#x21D0; leftwards double arrow infix 340 5 5 stretchy
&#x21D1; upwards double arrow infix 340 5 5 stretchy
&#x21D2; rightwards double arrow infix 340 5 5 stretchy
&#x21D3; downwards double arrow infix 340 5 5 stretchy
&#x21D4; left right double arrow infix 340 5 5 stretchy
&#x21D5; up down double arrow infix 340 5 5 stretchy
&#x21D6; north west double arrow infix 340 5 5
&#x21D7; north east double arrow infix 340 5 5
&#x21D8; south east double arrow infix 340 5 5
&#x21D9; south west double arrow infix 340 5 5
&#x21DA; leftwards triple arrow infix 340 5 5 stretchy
&#x21DB; rightwards triple arrow infix 340 5 5 stretchy
&#x21DC; leftwards squiggle arrow infix 340 5 5 stretchy
&#x21DD; rightwards squiggle arrow infix 340 5 5 stretchy
&#x21DE; upwards arrow with double stroke infix 340 5 5 stretchy
&#x21DF; downwards arrow with double stroke infix 340 5 5 stretchy
&#x21E0; leftwards dashed arrow infix 340 5 5 stretchy
&#x21E1; upwards dashed arrow infix 340 5 5 stretchy
&#x21E2; rightwards dashed arrow infix 340 5 5 stretchy
&#x21E3; downwards dashed arrow infix 340 5 5 stretchy
&#x21E4; leftwards arrow to bar infix 340 5 5 stretchy
&#x21E5; rightwards arrow to bar infix 340 5 5 stretchy
&#x21E6; leftwards white arrow infix 340 5 5 stretchy
&#x21E7; upwards white arrow infix 340 5 5 stretchy
&#x21E8; rightwards white arrow infix 340 5 5 stretchy
&#x21E9; downwards white arrow infix 340 5 5 stretchy
&#x21EA; upwards white arrow from bar infix 340 5 5 stretchy
&#x21EB; upwards white arrow on pedestal infix 340 5 5 stretchy
&#x21EC; upwards white arrow on pedestal with horizontal bar infix 340 5 5 stretchy
&#x21ED; upwards white arrow on pedestal with vertical bar infix 340 5 5 stretchy
&#x21EE; upwards white double arrow infix 340 5 5 stretchy
&#x21EF; upwards white double arrow on pedestal infix 340 5 5 stretchy
&#x21F0; rightwards white arrow from wall infix 340 5 5 stretchy
&#x21F1; north west arrow to corner infix 340 5 5
&#x21F2; south east arrow to corner infix 340 5 5
&#x21F3; up down white arrow infix 340 5 5 stretchy
&#x21F4; right arrow with small circle infix 340 5 5 stretchy
&#x21F5; downwards arrow leftwards of upwards arrow infix 340 5 5 stretchy
&#x21F6; three rightwards arrows infix 340 5 5 stretchy
&#x21F7; leftwards arrow with vertical stroke infix 340 5 5 stretchy
&#x21F8; rightwards arrow with vertical stroke infix 340 5 5 stretchy
&#x21F9; left right arrow with vertical stroke infix 340 5 5 stretchy
&#x21FA; leftwards arrow with double vertical stroke infix 340 5 5 stretchy
&#x21FB; rightwards arrow with double vertical stroke infix 340 5 5 stretchy
&#x21FC; left right arrow with double vertical stroke infix 340 5 5 stretchy
&#x21FD; leftwards open-headed arrow infix 340 5 5 stretchy
&#x21FE; rightwards open-headed arrow infix 340 5 5 stretchy
&#x21FF; left right open-headed arrow infix 340 5 5 stretchy
&#x2301; electric arrow infix 340 5 5
&#x237C; right angle with downwards zigzag arrow infix 340 5 5
&#x238B; broken circle with northwest arrow infix 340 5 5
&#x2794; heavy wide-headed rightwards arrow infix 340 5 5 stretchy
&#x2798; heavy south east arrow infix 340 5 5
&#x2799; heavy rightwards arrow infix 340 5 5 stretchy
&#x279A; heavy north east arrow infix 340 5 5
&#x279B; drafting point rightwards arrow infix 340 5 5 stretchy
&#x279C; heavy round-tipped rightwards arrow infix 340 5 5 stretchy
&#x279D; triangle-headed rightwards arrow infix 340 5 5 stretchy
&#x279E; heavy triangle-headed rightwards arrow infix 340 5 5 stretchy
&#x279F; dashed triangle-headed rightwards arrow infix 340 5 5 stretchy
&#x27A0; heavy dashed triangle-headed rightwards arrow infix 340 5 5 stretchy
&#x27A1; black rightwards arrow infix 340 5 5 stretchy
&#x27A5; heavy black curved downwards and rightwards arrow infix 340 5 5 stretchy
&#x27A6; heavy black curved upwards and rightwards arrow infix 340 5 5 stretchy
&#x27A7; squat black rightwards arrow infix 340 5 5
&#x27A8; heavy concave-pointed black rightwards arrow infix 340 5 5 stretchy
&#x27A9; right-shaded white rightwards arrow infix 340 5 5 stretchy
&#x27AA; left-shaded white rightwards arrow infix 340 5 5 stretchy
&#x27AB; back-tilted shadowed white rightwards arrow infix 340 5 5 stretchy
&#x27AC; front-tilted shadowed white rightwards arrow infix 340 5 5 stretchy
&#x27AD; heavy lower right-shadowed white rightwards arrow infix 340 5 5 stretchy
&#x27AE; heavy upper right-shadowed white rightwards arrow infix 340 5 5 stretchy
&#x27AF; notched lower right-shadowed white rightwards arrow infix 340 5 5 stretchy
&#x27B1; notched upper right-shadowed white rightwards arrow infix 340 5 5 stretchy
&#x27B2; circled heavy white rightwards arrow infix 340 5 5
&#x27B3; white-feathered rightwards arrow infix 340 5 5 stretchy
&#x27B4; black-feathered south east arrow infix 340 5 5
&#x27B5; black-feathered rightwards arrow infix 340 5 5 stretchy
&#x27B6; black-feathered north east arrow infix 340 5 5
&#x27B7; heavy black-feathered south east arrow infix 340 5 5
&#x27B8; heavy black-feathered rightwards arrow infix 340 5 5 stretchy
&#x27B9; heavy black-feathered north east arrow infix 340 5 5
&#x27BA; teardrop-barbed rightwards arrow infix 340 5 5 stretchy
&#x27BB; heavy teardrop-shanked rightwards arrow infix 340 5 5 stretchy
&#x27BC; wedge-tailed rightwards arrow infix 340 5 5 stretchy
&#x27BD; heavy wedge-tailed rightwards arrow infix 340 5 5 stretchy
&#x27BE; open-outlined rightwards arrow infix 340 5 5 stretchy
&#x27F0; upwards quadruple arrow infix 340 5 5 stretchy
&#x27F1; downwards quadruple arrow infix 340 5 5 stretchy
&#x27F2; anticlockwise gapped circle arrow infix 340 5 5
&#x27F3; clockwise gapped circle arrow infix 340 5 5
&#x27F4; right arrow with circled plus infix 340 5 5 stretchy
&#x27F5; long leftwards arrow infix 340 5 5 stretchy
&#x27F6; long rightwards arrow infix 340 5 5 stretchy
&#x27F7; long left right arrow infix 340 5 5 stretchy
&#x27F8; long leftwards double arrow infix 340 5 5 stretchy
&#x27F9; long rightwards double arrow infix 340 5 5 stretchy
&#x27FA; long left right double arrow infix 340 5 5 stretchy
&#x27FB; long leftwards arrow from bar infix 340 5 5 stretchy
&#x27FC; long rightwards arrow from bar infix 340 5 5 stretchy
&#x27FD; long leftwards double arrow from bar infix 340 5 5 stretchy
&#x27FE; long rightwards double arrow from bar infix 340 5 5 stretchy
&#x27FF; long rightwards squiggle arrow infix 340 5 5 stretchy
&#x2900; rightwards two-headed arrow with vertical stroke infix 340 5 5 stretchy
&#x2901; rightwards two-headed arrow with double vertical stroke infix 340 5 5 stretchy
&#x2902; leftwards double arrow with vertical stroke infix 340 5 5 stretchy
&#x2903; rightwards double arrow with vertical stroke infix 340 5 5 stretchy
&#x2904; left right double arrow with vertical stroke infix 340 5 5 stretchy
&#x2905; rightwards two-headed arrow from bar infix 340 5 5 stretchy
&#x2906; leftwards double arrow from bar infix 340 5 5 stretchy
&#x2907; rightwards double arrow from bar infix 340 5 5 stretchy
&#x2908; downwards arrow with horizontal stroke infix 340 5 5 stretchy
&#x2909; upwards arrow with horizontal stroke infix 340 5 5 stretchy
&#x290A; upwards triple arrow infix 340 5 5 stretchy
&#x290B; downwards triple arrow infix 340 5 5 stretchy
&#x290C; leftwards double dash arrow infix 340 5 5 stretchy
&#x290D; rightwards double dash arrow infix 340 5 5 stretchy
&#x290E; leftwards triple dash arrow infix 340 5 5 stretchy
&#x290F; rightwards triple dash arrow infix 340 5 5 stretchy
&#x2910; rightwards two-headed triple dash arrow infix 340 5 5 stretchy
&#x2911; rightwards arrow with dotted stem infix 340 5 5 stretchy
&#x2912; upwards arrow to bar infix 340 5 5 stretchy
&#x2913; downwards arrow to bar infix 340 5 5 stretchy
&#x2914; rightwards arrow with tail with vertical stroke infix 340 5 5 stretchy
&#x2915; rightwards arrow with tail with double vertical stroke infix 340 5 5 stretchy
&#x2916; rightwards two-headed arrow with tail infix 340 5 5 stretchy
&#x2917; rightwards two-headed arrow with tail with vertical stroke infix 340 5 5 stretchy
&#x2918; rightwards two-headed arrow with tail with double vertical stroke infix 340 5 5 stretchy
&#x2919; leftwards arrow-tail infix 340 5 5 stretchy
&#x291A; rightwards arrow-tail infix 340 5 5 stretchy
&#x291B; leftwards double arrow-tail infix 340 5 5 stretchy
&#x291C; rightwards double arrow-tail infix 340 5 5 stretchy
&#x291D; leftwards arrow to black diamond infix 340 5 5 stretchy
&#x291E; rightwards arrow to black diamond infix 340 5 5 stretchy
&#x291F; leftwards arrow from bar to black diamond infix 340 5 5 stretchy
&#x2920; rightwards arrow from bar to black diamond infix 340 5 5 stretchy
&#x2921; north west and south east arrow infix 340 5 5
&#x2922; north east and south west arrow infix 340 5 5
&#x2923; north west arrow with hook infix 340 5 5
&#x2924; north east arrow with hook infix 340 5 5
&#x2925; south east arrow with hook infix 340 5 5
&#x2926; south west arrow with hook infix 340 5 5
&#x2927; north west arrow and north east arrow infix 340 5 5
&#x2928; north east arrow and south east arrow infix 340 5 5
&#x2929; south east arrow and south west arrow infix 340 5 5
&#x292A; south west arrow and north west arrow infix 340 5 5
&#x292B; rising diagonal crossing falling diagonal infix 340 5 5
&#x292C; falling diagonal crossing rising diagonal infix 340 5 5
&#x292D; south east arrow crossing north east arrow infix 340 5 5
&#x292E; north east arrow crossing south east arrow infix 340 5 5
&#x292F; falling diagonal crossing north east arrow infix 340 5 5
&#x2930; rising diagonal crossing south east arrow infix 340 5 5
&#x2931; north east arrow crossing north west arrow infix 340 5 5
&#x2932; north west arrow crossing north east arrow infix 340 5 5
&#x2933; wave arrow pointing directly right infix 340 5 5
&#x2934; arrow pointing rightwards then curving upwards infix 340 5 5 stretchy
&#x2935; arrow pointing rightwards then curving downwards infix 340 5 5 stretchy
&#x2936; arrow pointing downwards then curving leftwards infix 340 5 5 stretchy
&#x2937; arrow pointing downwards then curving rightwards infix 340 5 5 stretchy
&#x2938; right-side arc clockwise arrow infix 340 5 5
&#x2939; left-side arc anticlockwise arrow infix 340 5 5
&#x293A; top arc anticlockwise arrow infix 340 5 5
&#x293B; bottom arc anticlockwise arrow infix 340 5 5
&#x293C; top arc clockwise arrow with minus infix 340 5 5
&#x293D; top arc anticlockwise arrow with plus infix 340 5 5
&#x293E; lower right semicircular clockwise arrow infix 340 5 5
&#x293F; ⤿ lower left semicircular anticlockwise arrow infix 340 5 5
&#x2940; anticlockwise closed circle arrow infix 340 5 5
&#x2941; clockwise closed circle arrow infix 340 5 5
&#x2942; rightwards arrow above short leftwards arrow infix 340 5 5 stretchy
&#x2943; leftwards arrow above short rightwards arrow infix 340 5 5 stretchy
&#x2944; short rightwards arrow above leftwards arrow infix 340 5 5 stretchy
&#x2945; rightwards arrow with plus below infix 340 5 5 stretchy
&#x2946; leftwards arrow with plus below infix 340 5 5 stretchy
&#x2947; rightwards arrow through x infix 340 5 5 stretchy
&#x2948; left right arrow through small circle infix 340 5 5 stretchy
&#x2949; upwards two-headed arrow from small circle infix 340 5 5 stretchy
&#x294A; left barb up right barb down harpoon infix 340 5 5 stretchy
&#x294B; left barb down right barb up harpoon infix 340 5 5 stretchy
&#x294C; up barb right down barb left harpoon infix 340 5 5 stretchy
&#x294D; up barb left down barb right harpoon infix 340 5 5 stretchy
&#x294E; left barb up right barb up harpoon infix 340 5 5 stretchy
&#x294F; up barb right down barb right harpoon infix 340 5 5 stretchy
&#x2950; left barb down right barb down harpoon infix 340 5 5 stretchy
&#x2951; up barb left down barb left harpoon infix 340 5 5 stretchy
&#x2952; leftwards harpoon with barb up to bar infix 340 5 5 stretchy
&#x2953; rightwards harpoon with barb up to bar infix 340 5 5 stretchy
&#x2954; upwards harpoon with barb right to bar infix 340 5 5 stretchy
&#x2955; downwards harpoon with barb right to bar infix 340 5 5 stretchy
&#x2956; leftwards harpoon with barb down to bar infix 340 5 5 stretchy
&#x2957; rightwards harpoon with barb down to bar infix 340 5 5 stretchy
&#x2958; upwards harpoon with barb left to bar infix 340 5 5 stretchy
&#x2959; downwards harpoon with barb left to bar infix 340 5 5 stretchy
&#x295A; leftwards harpoon with barb up from bar infix 340 5 5 stretchy
&#x295B; rightwards harpoon with barb up from bar infix 340 5 5 stretchy
&#x295C; upwards harpoon with barb right from bar infix 340 5 5 stretchy
&#x295D; downwards harpoon with barb right from bar infix 340 5 5 stretchy
&#x295E; leftwards harpoon with barb down from bar infix 340 5 5 stretchy
&#x295F; rightwards harpoon with barb down from bar infix 340 5 5 stretchy
&#x2960; upwards harpoon with barb left from bar infix 340 5 5 stretchy
&#x2961; downwards harpoon with barb left from bar infix 340 5 5 stretchy
&#x2962; leftwards harpoon with barb up above leftwards harpoon with barb down infix 340 5 5 stretchy
&#x2963; upwards harpoon with barb left beside upwards harpoon with barb right infix 340 5 5 stretchy
&#x2964; rightwards harpoon with barb up above rightwards harpoon with barb down infix 340 5 5 stretchy
&#x2965; downwards harpoon with barb left beside downwards harpoon with barb right infix 340 5 5 stretchy
&#x2966; leftwards harpoon with barb up above rightwards harpoon with barb up infix 340 5 5 stretchy
&#x2967; leftwards harpoon with barb down above rightwards harpoon with barb down infix 340 5 5 stretchy
&#x2968; rightwards harpoon with barb up above leftwards harpoon with barb up infix 340 5 5 stretchy
&#x2969; rightwards harpoon with barb down above leftwards harpoon with barb down infix 340 5 5 stretchy
&#x296A; leftwards harpoon with barb up above long dash infix 340 5 5 stretchy
&#x296B; leftwards harpoon with barb down below long dash infix 340 5 5 stretchy
&#x296C; rightwards harpoon with barb up above long dash infix 340 5 5 stretchy
&#x296D; rightwards harpoon with barb down below long dash infix 340 5 5 stretchy
&#x296E; upwards harpoon with barb left beside downwards harpoon with barb right infix 340 5 5 stretchy
&#x296F; downwards harpoon with barb left beside upwards harpoon with barb right infix 340 5 5 stretchy
&#x2970; right double arrow with rounded head infix 340 5 5 stretchy
&#x2971; equals sign above rightwards arrow infix 340 5 5 stretchy
&#x2972; tilde operator above rightwards arrow infix 340 5 5 stretchy
&#x2973; leftwards arrow above tilde operator infix 340 5 5 stretchy
&#x2974; rightwards arrow above tilde operator infix 340 5 5 stretchy
&#x2975; rightwards arrow above almost equal to infix 340 5 5 stretchy
&#x297C; left fish tail infix 340 5 5 stretchy
&#x297D; right fish tail infix 340 5 5 stretchy
&#x297E; up fish tail infix 340 5 5 stretchy
&#x297F; ⥿ down fish tail infix 340 5 5 stretchy
&#x29DF; double-ended multimap infix 340 5 5
&#x2B00; north east white arrow infix 340 5 5
&#x2B01; north west white arrow infix 340 5 5
&#x2B02; south east white arrow infix 340 5 5
&#x2B03; south west white arrow infix 340 5 5
&#x2B04; left right white arrow infix 340 5 5 stretchy
&#x2B05; leftwards black arrow infix 340 5 5 stretchy
&#x2B06; upwards black arrow infix 340 5 5 stretchy
&#x2B07; downwards black arrow infix 340 5 5 stretchy
&#x2B08; north east black arrow infix 340 5 5
&#x2B09; north west black arrow infix 340 5 5
&#x2B0A; south east black arrow infix 340 5 5
&#x2B0B; south west black arrow infix 340 5 5
&#x2B0C; left right black arrow infix 340 5 5 stretchy
&#x2B0D; up down black arrow infix 340 5 5 stretchy
&#x2B0E; rightwards arrow with tip downwards infix 340 5 5 stretchy
&#x2B0F; rightwards arrow with tip upwards infix 340 5 5 stretchy
&#x2B10; leftwards arrow with tip downwards infix 340 5 5 stretchy
&#x2B11; leftwards arrow with tip upwards infix 340 5 5 stretchy
&#x2B30; left arrow with small circle infix 340 5 5 stretchy
&#x2B31; three leftwards arrows infix 340 5 5 stretchy
&#x2B32; left arrow with circled plus infix 340 5 5 stretchy
&#x2B33; long leftwards squiggle arrow infix 340 5 5 stretchy
&#x2B34; leftwards two-headed arrow with vertical stroke infix 340 5 5 stretchy
&#x2B35; leftwards two-headed arrow with double vertical stroke infix 340 5 5 stretchy
&#x2B36; leftwards two-headed arrow from bar infix 340 5 5 stretchy
&#x2B37; leftwards two-headed triple dash arrow infix 340 5 5 stretchy
&#x2B38; leftwards arrow with dotted stem infix 340 5 5 stretchy
&#x2B39; leftwards arrow with tail with vertical stroke infix 340 5 5 stretchy
&#x2B3A; leftwards arrow with tail with double vertical stroke infix 340 5 5 stretchy
&#x2B3B; leftwards two-headed arrow with tail infix 340 5 5 stretchy
&#x2B3C; leftwards two-headed arrow with tail with vertical stroke infix 340 5 5 stretchy
&#x2B3D; leftwards two-headed arrow with tail with double vertical stroke infix 340 5 5 stretchy
&#x2B3E; leftwards arrow through x infix 340 5 5 stretchy
&#x2B3F; ⬿ wave arrow pointing directly left infix 340 5 5
&#x2B40; equals sign above leftwards arrow infix 340 5 5 stretchy
&#x2B41; reverse tilde operator above leftwards arrow infix 340 5 5 stretchy
&#x2B42; leftwards arrow above reverse almost equal to infix 340 5 5 stretchy
&#x2B43; rightwards arrow through greater-than infix 340 5 5 stretchy
&#x2B44; rightwards arrow through superset infix 340 5 5 stretchy
&#x2B45; leftwards quadruple arrow infix 340 5 5 stretchy
&#x2B46; rightwards quadruple arrow infix 340 5 5 stretchy
&#x2B47; reverse tilde operator above rightwards arrow infix 340 5 5 stretchy
&#x2B48; rightwards arrow above reverse almost equal to infix 340 5 5 stretchy
&#x2B49; tilde operator above leftwards arrow infix 340 5 5 stretchy
&#x2B4A; leftwards arrow above almost equal to infix 340 5 5 stretchy
&#x2B4B; leftwards arrow above reverse tilde operator infix 340 5 5 stretchy
&#x2B4C; rightwards arrow above reverse tilde operator infix 340 5 5 stretchy
&#x2B4D; downwards triangle-headed zigzag arrow infix 340 5 5
&#x2B4E; short slanted north arrow infix 340 5 5
&#x2B4F; short backslanted south arrow infix 340 5 5
&#x2B5A; slanted north arrow with hooked head infix 340 5 5
&#x2B5B; backslanted south arrow with hooked tail infix 340 5 5
&#x2B5C; slanted north arrow with horizontal tail infix 340 5 5
&#x2B5D; backslanted south arrow with horizontal tail infix 340 5 5
&#x2B5E; bent arrow pointing downwards then north east infix 340 5 5
&#x2B5F; short bent arrow pointing downwards then north east infix 340 5 5
&#x2B60; leftwards triangle-headed arrow infix 340 5 5 stretchy
&#x2B61; upwards triangle-headed arrow infix 340 5 5 stretchy
&#x2B62; rightwards triangle-headed arrow infix 340 5 5 stretchy
&#x2B63; downwards triangle-headed arrow infix 340 5 5 stretchy
&#x2B64; left right triangle-headed arrow infix 340 5 5 stretchy
&#x2B65; up down triangle-headed arrow infix 340 5 5 stretchy
&#x2B66; north west triangle-headed arrow infix 340 5 5
&#x2B67; north east triangle-headed arrow infix 340 5 5
&#x2B68; south east triangle-headed arrow infix 340 5 5
&#x2B69; south west triangle-headed arrow infix 340 5 5
&#x2B6A; leftwards triangle-headed dashed arrow infix 340 5 5 stretchy
&#x2B6B; upwards triangle-headed dashed arrow infix 340 5 5 stretchy
&#x2B6C; rightwards triangle-headed dashed arrow infix 340 5 5 stretchy
&#x2B6D; downwards triangle-headed dashed arrow infix 340 5 5 stretchy
&#x2B6E; clockwise triangle-headed open circle arrow infix 340 5 5
&#x2B6F; anticlockwise triangle-headed open circle arrow infix 340 5 5
&#x2B70; leftwards triangle-headed arrow to bar infix 340 5 5 stretchy
&#x2B71; upwards triangle-headed arrow to bar infix 340 5 5 stretchy
&#x2B72; rightwards triangle-headed arrow to bar infix 340 5 5 stretchy
&#x2B73; downwards triangle-headed arrow to bar infix 340 5 5 stretchy
&#x2B76; north west triangle-headed arrow to bar infix 340 5 5
&#x2B77; north east triangle-headed arrow to bar infix 340 5 5
&#x2B78; south east triangle-headed arrow to bar infix 340 5 5
&#x2B79; south west triangle-headed arrow to bar infix 340 5 5
&#x2B7A; leftwards triangle-headed arrow with double horizontal stroke infix 340 5 5 stretchy
&#x2B7B; upwards triangle-headed arrow with double horizontal stroke infix 340 5 5 stretchy
&#x2B7C; rightwards triangle-headed arrow with double horizontal stroke infix 340 5 5 stretchy
&#x2B7D; downwards triangle-headed arrow with double horizontal stroke infix 340 5 5 stretchy
&#x2B80; leftwards triangle-headed arrow over rightwards triangle-headed arrow infix 340 5 5 stretchy
&#x2B81; upwards triangle-headed arrow leftwards of downwards triangle-headed arrow infix 340 5 5 stretchy
&#x2B82; rightwards triangle-headed arrow over leftwards triangle-headed arrow infix 340 5 5 stretchy
&#x2B83; downwards triangle-headed arrow leftwards of upwards triangle-headed arrow infix 340 5 5 stretchy
&#x2B84; leftwards triangle-headed paired arrows infix 340 5 5 stretchy
&#x2B85; upwards triangle-headed paired arrows infix 340 5 5 stretchy
&#x2B86; rightwards triangle-headed paired arrows infix 340 5 5 stretchy
&#x2B87; downwards triangle-headed paired arrows infix 340 5 5 stretchy
&#x2B88; leftwards black circled white arrow infix 340 5 5
&#x2B89; upwards black circled white arrow infix 340 5 5
&#x2B8A; rightwards black circled white arrow infix 340 5 5
&#x2B8B; downwards black circled white arrow infix 340 5 5
&#x2B8C; anticlockwise triangle-headed right u-shaped arrow infix 340 5 5
&#x2B8D; anticlockwise triangle-headed bottom u-shaped arrow infix 340 5 5
&#x2B8E; anticlockwise triangle-headed left u-shaped arrow infix 340 5 5
&#x2B8F; anticlockwise triangle-headed top u-shaped arrow infix 340 5 5
&#x2B94; four corner arrows circling anticlockwise infix 340 5 5
&#x2B95; rightwards black arrow infix 340 5 5 stretchy
&#x2BA0; downwards triangle-headed arrow with long tip leftwards infix 340 5 5 stretchy
&#x2BA1; downwards triangle-headed arrow with long tip rightwards infix 340 5 5 stretchy
&#x2BA2; upwards triangle-headed arrow with long tip leftwards infix 340 5 5 stretchy
&#x2BA3; upwards triangle-headed arrow with long tip rightwards infix 340 5 5 stretchy
&#x2BA4; leftwards triangle-headed arrow with long tip upwards infix 340 5 5 stretchy
&#x2BA5; rightwards triangle-headed arrow with long tip upwards infix 340 5 5 stretchy
&#x2BA6; leftwards triangle-headed arrow with long tip downwards infix 340 5 5 stretchy
&#x2BA7; rightwards triangle-headed arrow with long tip downwards infix 340 5 5 stretchy
&#x2BA8; black curved downwards and leftwards arrow infix 340 5 5 stretchy
&#x2BA9; black curved downwards and rightwards arrow infix 340 5 5 stretchy
&#x2BAA; black curved upwards and leftwards arrow infix 340 5 5 stretchy
&#x2BAB; black curved upwards and rightwards arrow infix 340 5 5 stretchy
&#x2BAC; black curved leftwards and upwards arrow infix 340 5 5 stretchy
&#x2BAD; black curved rightwards and upwards arrow infix 340 5 5 stretchy
&#x2BAE; black curved leftwards and downwards arrow infix 340 5 5 stretchy
&#x2BAF; black curved rightwards and downwards arrow infix 340 5 5 stretchy
&#x2BB0; ribbon arrow down left infix 340 5 5
&#x2BB1; ribbon arrow down right infix 340 5 5
&#x2BB2; ribbon arrow up left infix 340 5 5
&#x2BB3; ribbon arrow up right infix 340 5 5
&#x2BB4; ribbon arrow left up infix 340 5 5
&#x2BB5; ribbon arrow right up infix 340 5 5
&#x2BB6; ribbon arrow left down infix 340 5 5
&#x2BB7; ribbon arrow right down infix 340 5 5
&#x2BB8; upwards white arrow from bar with horizontal bar infix 340 5 5 stretchy
&#x222A; union infix 360 4 4
&#x228C; multiset infix 360 4 4
&#x228D; multiset multiplication infix 360 4 4
&#x228E; multiset union infix 360 4 4
&#x2294; square cup infix 360 4 4
&#x22D3; double union infix 360 4 4
&#x2A41; union with minus sign infix 360 4 4
&#x2A42; union with overbar infix 360 4 4
&#x2A45; union with logical or infix 360 4 4
&#x2A4A; union beside and joined with union infix 360 4 4
&#x2A4C; closed union with serifs infix 360 4 4
&#x2A4F; double square union infix 360 4 4
&#x2229; intersection infix 380 4 4
&#x2293; square cap infix 380 4 4
&#x22D2; double intersection infix 380 4 4
&#x2A1F; z notation schema composition infix 380 4 4
&#x2A20; z notation schema piping infix 380 4 4
&#x2A21; z notation schema projection infix 380 4 4
&#x2A3E; z notation relational composition infix 380 4 4
&#x2A40; intersection with dot infix 380 4 4
&#x2A43; intersection with overbar infix 380 4 4
&#x2A44; intersection with logical and infix 380 4 4
&#x2A46; union above intersection infix 380 4 4
&#x2A47; intersection above union infix 380 4 4
&#x2A48; union above bar above intersection infix 380 4 4
&#x2A49; intersection above bar above union infix 380 4 4
&#x2A4B; intersection beside and joined with intersection infix 380 4 4
&#x2A4D; closed intersection with serifs infix 380 4 4
&#x2A4E; double square intersection infix 380 4 4
&#x2ADB; transversal intersection infix 380 4 4
+ + plus sign infix 400 4 4
- - hyphen-minus infix 400 4 4
&#xB1; ± plus-minus sign infix 400 4 4
&#x2212; minus sign infix 400 4 4
&#x2213; minus-or-plus sign infix 400 4 4
&#x2214; dot plus infix 400 4 4
&#x2216; set minus infix 400 4 4
&#x2228; logical or infix 400 4 4
&#x2238; dot minus infix 400 4 4
&#x2295; circled plus infix 400 4 4
&#x2296; circled minus infix 400 4 4
&#x229D; circled dash infix 400 4 4
&#x229E; squared plus infix 400 4 4
&#x229F; squared minus infix 400 4 4
&#x22BD; nor infix 400 4 4
&#x22CE; curly logical or infix 400 4 4
&#x2795; heavy plus sign infix 400 4 4
&#x2796; heavy minus sign infix 400 4 4
&#x29B8; circled reverse solidus infix 400 4 4
&#x29C5; squared falling diagonal slash infix 400 4 4
&#x29F5; reverse solidus operator infix 400 4 4
&#x29F7; reverse solidus with horizontal stroke infix 400 4 4
&#x29F9; big reverse solidus infix 400 4 4
&#x29FA; double plus infix 400 4 4
&#x29FB; triple plus infix 400 4 4
&#x2A22; plus sign with small circle above infix 400 4 4
&#x2A23; plus sign with circumflex accent above infix 400 4 4
&#x2A24; plus sign with tilde above infix 400 4 4
&#x2A25; plus sign with dot below infix 400 4 4
&#x2A26; plus sign with tilde below infix 400 4 4
&#x2A27; plus sign with subscript two infix 400 4 4
&#x2A28; plus sign with black triangle infix 400 4 4
&#x2A29; minus sign with comma above infix 400 4 4
&#x2A2A; minus sign with dot below infix 400 4 4
&#x2A2B; minus sign with falling dots infix 400 4 4
&#x2A2C; minus sign with rising dots infix 400 4 4
&#x2A2D; plus sign in left half circle infix 400 4 4
&#x2A2E; plus sign in right half circle infix 400 4 4
&#x2A39; plus sign in triangle infix 400 4 4
&#x2A3A; minus sign in triangle infix 400 4 4
&#x2A52; logical or with dot above infix 400 4 4
&#x2A54; double logical or infix 400 4 4
&#x2A56; two intersecting logical or infix 400 4 4
&#x2A57; sloping large or infix 400 4 4
&#x2A5B; logical or with middle stem infix 400 4 4
&#x2A5D; logical or with horizontal dash infix 400 4 4
&#x2A61; small vee with underbar infix 400 4 4
&#x2A62; logical or with double overbar infix 400 4 4
&#x2A63; logical or with double underbar infix 400 4 4
&#x22BB; xor infix 420 4 4
&#x2211; n-ary summation prefix 440 3 3 largeop, movablelimits, symmetric
&#x2A0A; modulo two sum prefix 440 3 3 largeop, movablelimits, symmetric
&#x2A0B; summation with integral prefix 440 3 3 largeop, symmetric
&#x2A1D; join prefix 440 3 3 largeop, movablelimits, symmetric
&#x2A1E; large left triangle operator prefix 440 3 3 largeop, movablelimits, symmetric
&#x2A01; n-ary circled plus operator prefix 460 3 3 largeop, movablelimits, symmetric
&#x222B; integral prefix 480 3 3 largeop, symmetric
&#x222C; double integral prefix 480 3 3 largeop, symmetric
&#x222D; triple integral prefix 480 3 3 largeop, symmetric
&#x222E; contour integral prefix 480 3 3 largeop, symmetric
&#x222F; surface integral prefix 480 3 3 largeop, symmetric
&#x2230; volume integral prefix 480 3 3 largeop, symmetric
&#x2231; clockwise integral prefix 480 3 3 largeop, symmetric
&#x2232; clockwise contour integral prefix 480 3 3 largeop, symmetric
&#x2233; anticlockwise contour integral prefix 480 3 3 largeop, symmetric
&#x2A0C; quadruple integral operator prefix 480 3 3 largeop, symmetric
&#x2A0D; finite part integral prefix 480 3 3 largeop, symmetric
&#x2A0E; integral with double stroke prefix 480 3 3 largeop, symmetric
&#x2A0F; integral average with slash prefix 480 3 3 largeop, symmetric
&#x2A10; circulation function prefix 480 3 3 largeop, symmetric
&#x2A11; anticlockwise integration prefix 480 3 3 largeop, symmetric
&#x2A12; line integration with rectangular path around pole prefix 480 3 3 largeop, symmetric
&#x2A13; line integration with semicircular path around pole prefix 480 3 3 largeop, symmetric
&#x2A14; line integration not including the pole prefix 480 3 3 largeop, symmetric
&#x2A15; integral around a point operator prefix 480 3 3 largeop, symmetric
&#x2A16; quaternion integral operator prefix 480 3 3 largeop, symmetric
&#x2A17; integral with leftwards arrow with hook prefix 480 3 3 largeop, symmetric
&#x2A18; integral with times sign prefix 480 3 3 largeop, symmetric
&#x2A19; integral with intersection prefix 480 3 3 largeop, symmetric
&#x2A1A; integral with union prefix 480 3 3 largeop, symmetric
&#x2A1B; integral with overbar prefix 480 3 3 largeop, symmetric
&#x2A1C; integral with underbar prefix 480 3 3 largeop, symmetric
&#x22C3; n-ary union prefix 500 3 3 largeop, movablelimits, symmetric
&#x2A03; n-ary union operator with dot prefix 500 3 3 largeop, movablelimits, symmetric
&#x2A04; n-ary union operator with plus prefix 500 3 3 largeop, movablelimits, symmetric
&#x22C0; n-ary logical and prefix 520 3 3 largeop, movablelimits, symmetric
&#x22C1; n-ary logical or prefix 520 3 3 largeop, movablelimits, symmetric
&#x22C2; n-ary intersection prefix 520 3 3 largeop, movablelimits, symmetric
&#x2A00; n-ary circled dot operator prefix 520 3 3 largeop, movablelimits, symmetric
&#x2A02; n-ary circled times operator prefix 520 3 3 largeop, movablelimits, symmetric
&#x2A05; n-ary square intersection operator prefix 520 3 3 largeop, movablelimits, symmetric
&#x2A06; n-ary square union operator prefix 520 3 3 largeop, movablelimits, symmetric
&#x2A07; two logical and operator prefix 520 3 3 largeop, movablelimits, symmetric
&#x2A08; two logical or operator prefix 520 3 3 largeop, movablelimits, symmetric
&#x2A09; n-ary times operator prefix 520 3 3 largeop, movablelimits, symmetric
&#x2AFC; large triple vertical bar operator prefix 520 3 3 largeop, movablelimits, symmetric
&#x2AFF; ⫿ n-ary white vertical bar prefix 520 3 3 largeop, movablelimits, symmetric
&#x220F; n-ary product prefix 540 3 3 largeop, movablelimits, symmetric
&#x2210; n-ary coproduct prefix 540 3 3 largeop, movablelimits, symmetric
@ @ commercial at infix 560 3 3
&#x221F; right angle prefix 580 0 0
&#x2220; angle prefix 580 0 0
&#x2221; measured angle prefix 580 0 0
&#x2222; spherical angle prefix 580 0 0
&#x22BE; right angle with arc prefix 580 0 0
&#x22BF; right triangle prefix 580 0 0
&#x27C0; three dimensional angle prefix 580 0 0
&#x299B; measured angle opening left prefix 580 0 0
&#x299C; right angle variant with square prefix 580 0 0
&#x299D; measured right angle with dot prefix 580 0 0
&#x299E; angle with s inside prefix 580 0 0
&#x299F; acute angle prefix 580 0 0
&#x29A0; spherical angle opening left prefix 580 0 0
&#x29A1; spherical angle opening up prefix 580 0 0
&#x29A2; turned angle prefix 580 0 0
&#x29A3; reversed angle prefix 580 0 0
&#x29A4; angle with underbar prefix 580 0 0
&#x29A5; reversed angle with underbar prefix 580 0 0
&#x29A6; oblique angle opening up prefix 580 0 0
&#x29A7; oblique angle opening down prefix 580 0 0
&#x29A8; measured angle with open arm ending in arrow pointing up and right prefix 580 0 0
&#x29A9; measured angle with open arm ending in arrow pointing up and left prefix 580 0 0
&#x29AA; measured angle with open arm ending in arrow pointing down and right prefix 580 0 0
&#x29AB; measured angle with open arm ending in arrow pointing down and left prefix 580 0 0
&#x29AC; measured angle with open arm ending in arrow pointing right and up prefix 580 0 0
&#x29AD; measured angle with open arm ending in arrow pointing left and up prefix 580 0 0
&#x29AE; measured angle with open arm ending in arrow pointing right and down prefix 580 0 0
&#x29AF; measured angle with open arm ending in arrow pointing left and down prefix 580 0 0
&amp;&amp; && multiple character operator: && infix 600 4 4
&#x2227; logical and infix 600 4 4
&#x22BC; nand infix 600 4 4
&#x22CF; curly logical and infix 600 4 4
&#x2A51; logical and with dot above infix 600 4 4
&#x2A53; double logical and infix 600 4 4
&#x2A55; two intersecting logical and infix 600 4 4
&#x2A58; sloping large and infix 600 4 4
&#x2A59; logical or overlapping logical and infix 600 4 4
&#x2A5A; logical and with middle stem infix 600 4 4
&#x2A5C; logical and with horizontal dash infix 600 4 4
&#x2A5E; logical and with double overbar infix 600 4 4
&#x2A5F; logical and with underbar infix 600 4 4
&#x2A60; logical and with double underbar infix 600 4 4
* * asterisk infix 620 3 3
. . full stop infix 620 3 3
&#xB7; · middle dot infix 620 3 3
&#xD7; × multiplication sign infix 620 3 3
&#x2022; bullet infix 620 3 3
&#x2043; hyphen bullet infix 620 3 3
&#x2062; invisible times infix 620 0 0
&#x2217; asterisk operator infix 620 3 3
&#x2219; bullet operator infix 620 3 3
&#x2240; wreath product infix 620 3 3
&#x2297; circled times infix 620 3 3
&#x2299; circled dot operator infix 620 3 3
&#x229B; circled asterisk operator infix 620 3 3
&#x22A0; squared times infix 620 3 3
&#x22A1; squared dot operator infix 620 3 3
&#x22BA; intercalate infix 620 3 3
&#x22C5; dot operator infix 620 3 3
&#x22C6; star operator infix 620 3 3
&#x22C7; division times infix 620 3 3
&#x22C9; left normal factor semidirect product infix 620 3 3
&#x22CA; right normal factor semidirect product infix 620 3 3
&#x22CB; left semidirect product infix 620 3 3
&#x22CC; right semidirect product infix 620 3 3
&#x2305; projective infix 620 3 3
&#x2306; perspective infix 620 3 3
&#x29C6; squared asterisk infix 620 3 3
&#x29C8; squared square infix 620 3 3
&#x29D4; times with left half black infix 620 3 3
&#x29D5; times with right half black infix 620 3 3
&#x29D6; white hourglass infix 620 3 3
&#x29D7; black hourglass infix 620 3 3
&#x29E2; shuffle product infix 620 3 3
&#x2A1D; join infix 620 3 3
&#x2A1E; large left triangle operator infix 620 3 3
&#x2A2F; vector or cross product infix 620 3 3
&#x2A30; multiplication sign with dot above infix 620 3 3
&#x2A31; multiplication sign with underbar infix 620 3 3
&#x2A32; semidirect product with bottom closed infix 620 3 3
&#x2A33; smash product infix 620 3 3
&#x2A34; multiplication sign in left half circle infix 620 3 3
&#x2A35; multiplication sign in right half circle infix 620 3 3
&#x2A36; circled multiplication sign with circumflex accent infix 620 3 3
&#x2A37; multiplication sign in double circle infix 620 3 3
&#x2A3B; multiplication sign in triangle infix 620 3 3
&#x2A3C; interior product infix 620 3 3
&#x2A3D; righthand interior product infix 620 3 3
&#x2A3F; ⨿ amalgamation or coproduct infix 620 3 3
&#x2A50; closed union with serifs and smash product infix 620 3 3
% % percent sign infix 640 3 3
\ \ reverse solidus infix 660 0 0
/ / solidus infix 680 4 4
&#xF7; ÷ division sign infix 680 4 4
&#x2044; fraction slash infix 680 4 4
&#x2215; division slash infix 680 4 4
&#x2236; ratio infix 680 4 4
&#x2298; circled division slash infix 680 4 4
&#x2797; heavy division sign infix 680 4 4
&#x27CB; mathematical rising diagonal infix 680 3 3
&#x27CD; mathematical falling diagonal infix 680 3 3
&#x29BC; circled anticlockwise-rotated division sign infix 680 4 4
&#x29C4; squared rising diagonal slash infix 680 4 4
&#x29F6; solidus with overbar infix 680 4 4
&#x29F8; big solidus infix 680 4 4
&#x2A38; circled division sign infix 680 4 4
&#x2AF6; triple colon operator infix 680 4 4
&#x2AFB; triple solidus binary relation infix 680 4 4
&#x2AFD; double solidus operator infix 680 4 4
&#x2AFE; white vertical bar infix 680 3 3
&#x2A64; z notation domain antirestriction infix 700 3 3
&#x2A65; z notation range antirestriction infix 700 3 3
+ + plus sign prefix 720 0 0
- - hyphen-minus prefix 720 0 0
&#xB1; ± plus-minus sign prefix 720 0 0
&#x2201; complement prefix 720 0 0
&#x2206; increment infix 720 0 0
&#x2212; minus sign prefix 720 0 0
&#x2213; minus-or-plus sign prefix 720 0 0
&#x2795; heavy plus sign prefix 720 0 0
&#x2796; heavy minus sign prefix 720 0 0
&#x2ADC; ⫝̸ forking infix 740 3 3
&#x2ADD; nonforking infix 740 3 3
** ** multiple character operator: ** infix 760 3 3
&#x2145; double-struck italic capital d prefix 780 3 0
&#x2146; double-struck italic small d prefix 780 3 0
&#x2202; partial differential prefix 780 3 0
&#x2207; nabla prefix 780 0 0
&lt;> <> multiple character operator: <> infix 800 3 3
^ ^ circumflex accent infix 800 3 3
! ! exclamation mark postfix 820 0 0
!! !! multiple character operator: !! postfix 820 0 0
% % percent sign postfix 820 0 0
&#x2032; prime postfix 820 0 0
? ? question mark infix 840 3 3
&#x221A; square root prefix 860 3 0
&#x221B; cube root prefix 860 3 0
&#x221C; fourth root prefix 860 3 0
&#x2061; function application infix 880 0 0
&#x2218; ring operator infix 900 3 3
&#x229A; circled ring operator infix 900 3 3
&#x22C4; diamond operator infix 900 3 3
&#x29C7; squared small circle infix 900 3 3
" " quotation mark postfix 920 0 0
&amp; & ampersand postfix 920 0 0
' ' apostrophe postfix 920 0 0
++ ++ multiple character operator: ++ postfix 920 0 0
-- -- multiple character operator: -- postfix 920 0 0
^ ^ circumflex accent postfix 920 0 0 stretchy
_ _ low line postfix 920 0 0 stretchy
` ` grave accent postfix 920 0 0
~ ~ tilde postfix 920 0 0 stretchy
&#xA8; ¨ diaeresis postfix 920 0 0
&#xAF; ¯ macron postfix 920 0 0 stretchy
&#xB0; ° degree sign postfix 920 0 0
&#xB2; ² superscript two postfix 920 0 0
&#xB3; ³ superscript three postfix 920 0 0
&#xB4; ´ acute accent postfix 920 0 0
&#xB8; ¸ cedilla postfix 920 0 0
&#xB9; ¹ superscript one postfix 920 0 0
&#x2C6; ˆ modifier letter circumflex accent postfix 920 0 0 stretchy
&#x2C7; ˇ caron postfix 920 0 0 stretchy
&#x2C9; ˉ modifier letter macron postfix 920 0 0 stretchy
&#x2CA; ˊ modifier letter acute accent postfix 920 0 0
&#x2CB; ˋ modifier letter grave accent postfix 920 0 0
&#x2CD; ˍ modifier letter low macron postfix 920 0 0 stretchy
&#x2D8; ˘ breve postfix 920 0 0
&#x2D9; ˙ dot above postfix 920 0 0
&#x2DA; ˚ ring above postfix 920 0 0
&#x2DC; ˜ small tilde postfix 920 0 0 stretchy
&#x2DD; ˝ double acute accent postfix 920 0 0
&#x2F7; ˷ modifier letter low tilde postfix 920 0 0 stretchy
&#x302; ̂ combining circumflex accent postfix 920 0 0 stretchy
&#x311; ̑ combining inverted breve postfix 920 0 0
&#x201A; single low-9 quotation mark postfix 920 0 0
&#x201B; single high-reversed-9 quotation mark postfix 920 0 0
&#x201E; double low-9 quotation mark postfix 920 0 0
&#x201F; double high-reversed-9 quotation mark postfix 920 0 0
&#x2033; double prime postfix 920 0 0
&#x2034; triple prime postfix 920 0 0
&#x2035; reversed prime postfix 920 0 0
&#x2036; reversed double prime postfix 920 0 0
&#x2037; reversed triple prime postfix 920 0 0
&#x203E; overline postfix 920 0 0 stretchy
&#x2057; quadruple prime postfix 920 0 0
&#x2064; invisible plus infix 920 0 0
&#x20DB; combining three dots above postfix 920 0 0
&#x20DC; combining four dots above postfix 920 0 0
&#x2322; frown postfix 920 0 0 stretchy
&#x2323; smile postfix 920 0 0 stretchy
&#x23B4; top square bracket postfix 920 0 0 stretchy
&#x23B5; bottom square bracket postfix 920 0 0 stretchy
&#x23CD; square foot postfix 920 0 0
&#x23DC; top parenthesis postfix 920 0 0 stretchy
&#x23DD; bottom parenthesis postfix 920 0 0 stretchy
&#x23DE; top curly bracket postfix 920 0 0 stretchy
&#x23DF; bottom curly bracket postfix 920 0 0 stretchy
&#x23E0; top tortoise shell bracket postfix 920 0 0 stretchy
&#x23E1; bottom tortoise shell bracket postfix 920 0 0 stretchy
&#x1EEF0; 𞻰 arabic mathematical operator meem with hah with tatweel postfix 920 0 0 stretchy
&#x1EEF1; 𞻱 arabic mathematical operator hah with dal postfix 920 0 0 stretchy
_ _ low line infix 940 0 0

C. MathML Accessibility

C.1 Introduction

As an essential element of the Open Web Platform, the W3C MathML specification has the unprecedented potential to enable content authors and developers to incorporate mathematical expressions on the web in such a way that the underlying structural and semantic information can be exposed to other technologies. Enabling this information exposure is foundational for accessibility, as well as providing a path for making digital mathematics content machine readable, searchable and reusable

The internationally accepted standards and underpinning principles for creating accessible digital content on the web can be found in the W3C's Web Content Accessibility Guidelines [WCAG21]. In extending these principles to digital content containing mathematical information, WCAG provides a useful framework for defining accessibility wherever MathML is used.

As the current WCAG guidelines provide no direct guidance on how to ensure mathematical content encoded as MathML will be accessible to users with disabilities, this specification defines how to apply these guidelines to digital content containing MathML.

A benefit of following these recommendations is that it helps to ensure that digital mathematics content meets the accessibility requirements already widely used around the world for web content. In addition, ensuring that digital mathematics materials are accessible will expand the readership of such content to both readers with and without disabilities.

Additional guidance on best practices will be developed over time in [MathML-Notes]. Placing these in Notes allows them to adapt and evolve independent of the MathML specification, since accessibility practices often need more frequent updating. The Notes are also intended for use with past, present, and future versions of MathML, in addition to considerations for both the MathML-Core and the full MathML specification. The approach of a separate document ensures that the evolution of MathML does not lock accessibility best practices in time, and allows content authors to apply the most recent accessibility practices.

C.2 Accessibility benefits of using MathML

Many of the advances of mathematics in the modern world (i.e., since the late Renaissance) were arguably aided by the development of early symbolic notation which continues to be evolved in our present day. While simple literacy text can be used to state underlying mathematical concepts, symbolic notation provides a succinct method of representing abstract mathematical constructs in a portable manner which can be more easily consumed, manipulated and understood by humans and machines. Mathematics notation is itself a language intended for more than just visual rendering, inspection and manipulation, as it is also intended to express the underlying meaning of the author. These characteristics of mathematical notation have in turn a direct connection to mathematics accessibility.

Accessibility has been a purposeful consideration from the very beginning of the MathML specification, as alluded to in the 1998 MathML 1.0 specification. This understanding is further reflected in the very first version of the Web Content Accessibility Guidelines (WCAG 1.0, W3C Recommendation 5-May-1999), which mentions the use of MathML as a suggested technique to comply with Checkpoint 3.1, "When an appropriate markup language exists, use markup rather than images to convey information," by including the example technique to "use MathML to mark up mathematical equations..." It is also worth noting, that under the discussion of WCAG 1.0 Guideline 3, "Use markup and style sheets and do so properly," that the editors have included the admonition that "content developers must not sacrifice appropriate markup because a certain browser or assistive technology does not process it correctly." Now some 20 years after the publication of the original WCAG recommendation, we still struggle with the fact that many content developers have been slow to adopt MathML due to those very reasons. However, with the publication of MathML 4.0, the accessibility community is hopeful of what the future will bring for widespread mathematics accessibility on the web.

Using MathML in digital content extends the potential to support a wide array of accessibility use cases. We discuss these below.

Auditory output. Technological means of providing dynamic text-to-speech output for mathematical expressions precedes the origins of MathML, and this use case has had an impact on shaping the MathML specification from the beginning. Beyond simply generating spoken text strings, the use of audio cues such as changes in spoken pitch to help provide an auditory analog of two-dimensional visual structure has been found useful. Other audio applications have included other types of audio cues such as binaural spatialization, earcons, and spearcons to help disambiguate mathematical expressions rendered by synthetic speech. MathML provides a level of robust information about the structure and syntax of mathematical expressions to enable these techniques. It is also important to note that the ability to create extensive sets of automated speech rules used by MathML-aware TTS tools provide for virtually infinite portability of math speech to the various human spoken languages (e.g., internationalization), as well as different styles of spoken math (e.g., ClearSpeak, MathSpeak, SimpleSpeak, etc.). In the future, this could provide even more types of speech rules, such as when an educational assessment needs to apply a more restrictive reading so as not to invalidate the testing construct, or when instructional content aimed at early learners needs to adopt the spoken style used in the classroom for young students.

Braille output. The tactile rendering of mathematical expressions in braille is a very important use case. For someone who is blind, interpreting mathematics through auditory rendering alone is a cognitive taxing experience except for the most basic expressions. And for a deafblind user, auditory renderings are completely inaccessible. Several math braille codes are in common use globally, such as the Nemeth braille code, UEB Technical, German braille mathematics code, French braille mathematics code, etc. Dynamic mathematics braille translators such as Liblouis support translation of MathML content on webpages for individuals who access the web via a refreshable braille display. Thus, using MathML is essential for providing dynamic braille content for mathematics.

Other forms of visual transformation. Synchronized highlighting is a common addition to text-to-speech intended for sighted users. Because MathML provides the ability to parse the underlying tree structure of expressions, individual elements of the expression can be visually highlighted as they are spoken. This enhances the ability of TTS users to stay engaged with the text reading, which can potentially increase comprehension and learning. Even for people visually reading without TTS, visual highlighting within expressions as one navigates a web page using caret browsing can be a useful accessibility feature which MathML can potentially support.

For individuals who are deaf or hard of hearing but are unable to use braille, mathematical equations rendered in MathML can potentially be turned into visually displayed text. Since research has shown that, especially among school-age children with reading impairments, the ability to understand symbolic notation occurring in mathematical expression is much more difficult than reading literary text, enabling this capability could be a useful access technique for this population.

Another potential accessibility scaffold which MathML could provide for individuals who are deaf or hard of hearing would be the ability to provide input to automated signing avatars. Automated signing avatar technology which generates American Sign Language has already been applied to elementary level mathematics add citation. Sign languages vary by county (and sometimes locality) and are not simply "word to sign" translations, as sign language has its own grammar, so being able to access the underlying tree structure of mathematical expressions as can be done with MathML will provide the potential for representing expressions in sign language from a digital document dynamically without having to use static prerecorded videos of human signers.

Graphing an equation is a commonly used means of generating a visual output which can aid in comprehending the effects and implications of the underlying mathematical expressions. This is helpful for all people, but can be especially impactful for those with cognitive or learning impairments. Some dynamic graphing utilities (e.g., Desmos and MathTrax) have extended this concept beyond a simple visual line trace, to auditory tracing (e.g., tones which rise and fall in pitch to provide an audio construct of the visual trace) as well as a dynamically generated text description of the visual graph. Using MathML in digital content will provide the potential for developers to apply such automated accessible graphing utilities to their websites.

C.3 Accessibility Guidance

C.3.1 User Agents

C.3.1.1 Accessibility tree

User agents (e.g., web browsers) should leverage information in the MathML expression tree structure to maximize accessibility. Browsers should process MathML into the DOM tree's internal representation, which contains objects representing all the markup's elements and attributes. In general, user agents will expose accessibility information via a platform accessibility service (e.g., an accessibility API), which is passed on to assistive technology applications via the accessibility tree. The accessibility tree should contain accessibility-related information for most MathML elements. Browsers should ensure the accessibility tree generated from the DOM tree retains this information so that Accessibility APIs can provide a representation that can be understood by assistive technologies. However, in compliance with the W3C User Agent Accessibility Guidelines Success Criterion 4.1.4, "If the user agent accessibility API does not provide sufficient information to one or more platform accessibility services, then Document Object Models (DOM), must be made programmatically available to assistive technologies" [UAAG20].

By ensuring that most MathML elements become nodes in the DOM tree, and the resulting accessibility tree, user agents can expose math nodes for keyboard navigation within expressions. This can support important user needs such as the ability to visually highlight elements of an expression and/or speak individual elements as one navigates with arrow keys. This can further support other forms of synchronous navigation, such as individuals using refreshable braille displays along with synthetic speech.

While it is common practice for the accessibility tree to ignore most DOM node elements that are primarily used for visual display purposes, it is important to point out that math expressions often use what appears as visual styling to convey information which can be important for some types of assistive technology applications. For example, omitting the <mspace> element from the accessibility tree will impact the ability to generate a valid math braille representation of expressions on a braille display. Further, when color is expressed in MathML with the mathcolor and mathbackground attributes, these elements need to be included if they are used to express meaning.

The alttext attribute can be used to override standard speech rule processing (e.g., as is often done in standardized assessments). However, there are numerous limitations to this method. For instance, the entire spoken text of the expression must be given in the tag, even if the author is only concerned about one small portion. Further, alttext is limited to plain text, so speech queues such as pausing and pitch changes cannot be included for passing on to speech engines. Also, the alttext attribute has no direct linkage to the MathML tree, so there will be no way to handle synchronized highlighting of the expression, nor will there be a way for users to navigate through an expression.

An early draft of MathML Accessiblity API Mappings 1.0 is available. This specification is intended for user agent developers responsible for MathML accessibility in their product. The goal of this specification is to maximize the accessibility of MathML content by ensuring each assistive technology receives MathML content with the roles, states, and properties it expects. The placing of ARIA labels and aria-labeledby is not appropriate in MathML because this will override braille generation.

C.4 Content Authors

This section considers how to use WCAG to establish requirements for accessible MathML content on the web, using the same four high-level content principles: that content should be perceivable, operable, understandable, and robust. Therefore, this section defines how to apply the conformance criteria defined in WCAG to address qualities unique to digital content containing MathML.

C.4.1 Overarching guidance

C.4.1.1 Always use markup

It is important that MathML be used for marking up all mathematics and linear chemical equation content. This precludes simply using ASCII characters or expression images in HTML (even if alt text is used). Even a single letter variable ideally should be marked up in MathML because it represents a mathematical expression. This way, audio, braille and visual renderings of the variable will be consistent throughout the page.

C.4.1.2 Use intent and arg attributes

MathML's intent and arg attributes has been developed to reduce notational ambiguity which cannot be reliably resolved by assistive technology. This also includes blanks and units, which are covered by the Intent attribute.

C.4.2 Specific Markup Guidance

C.4.2.1 Invisible Operators

Common use of mathematical notation employs several invisible operators whose symbols are not displayed but function as if the visible operator were present. These operators should be marked up in MathML to preserve their meaning as well as to prevent possible ambiguity for users of assistive technology.

Screen readers will not speak anything enclosed in an <mphantom> element; therefore, do not use <mphantom> in combination with an operator to create invisible operators.

Implicit Multiplication: The invisible times operator (&#x2062;) should be used to indicate multiplication whenever the multiplication operator is used tacitly in traditional notation.

Function Application: The "apply function" operator (&#x2061;) should be used to indicate function application.

Invisible Comma: The invisible comma or invisible separator operator (&#x2063;) should be used to semantically separate arguments or indices when commas are omitted.

Implicit Addition: In mixed fractions the invisible plus character (&#x2064;) should be used as an operator between the whole number and its fraction.

C.4.2.2 Proper Grouping of Sub-expressions

It is good practice to group sub-expressions as they would be interpreted mathematically. Properly grouping sub-expressions using <mrow> can improve display by affecting spacing, allows for more intelligent linebreaking and indentation, it can simplify semantic interpretation of presentation elements by screen readers and text-to-speech applications.

C.4.2.3 Spacing

In general, the spacing elements <mspace>, <mphantom>, and <mpadded> should not be used to convey meaning.

C.4.2.4 Numbers

All numeric quantities should be enclosed in an <mn> element. Digit group separators, such as commas, periods, or spaces, should also be included as part of the number and should not be treated as operators.

C.4.2.5 Superscripts and Subscripts

It is important to apply superscripts and subscripts to the appropriate element or sub-expression. It is not correct to apply a superscript or subscript to a closing parenthesis or any other grouping symbol. Important for navigation

C.4.2.6 Elementary Math Notation

Elementary notations have their own layout elements. For long division and stacked expressions use the proper elements such as <mlongdiv> and <mstack> instead of <mtable>.

C.4.2.7 Fill-in-the-Blanks

Blanks in a fill-in-the-blank style of question are often visualized by underlined spaces, empty circles, squares, or other symbols. To indicate a blank, use the intent and arg attributes.

In an interactive electronic environment where the user should fill the blank on the displayed page, JavaScript would typically be used to invoke an editor when the blank is clicked on. To facilitate this, an id should be added to the element to identify it for editing and eventual processing. Additionally, an onclick or similar event trigger should be added. The details depend upon the type of interaction desired, along with the specific JavaScript being used.

C.4.2.8 Tables and Lists

MathML provides built-in support for tables and equation numbering, which complements HTML functionality with lists and tables. In practice, it is not always clear which structural elements should be used. Ideally, a table (either HTML <table> or MathML <mtable>) should be used when information between aligned rows or columns are semantically related. In other cases, such as ordinary problem numbering or information presented in an ordered sequence, an HTML ordered list <ol>; is more appropriate.

Choosing between <table> and <mtable> may require some forethought in how best to meet the usability needs of the intended audience and purpose of the table content. HTML structural elements are advantageous because screen readers provide more robust table navigation, whereas the user may only "enter" or "exit" an <mtable> in a MathML island. However, the <mtable> element is useful because it can be tweaked easily for visual alignment without creating new table cells, which can improve reading flow for the user. However, <mtable> should still be used for matrices and other table-like math layouts.

C.4.2.9 Natural-language Mathematics

Instructional content for young learners may sometimes use the written form of math symbols. For example, the multiplication sign × might be written as times or multiplied by. Because times and multiplied by are ordinary words, speech engines will not have an issue reading them. However, in some cases, there may be a use-case for including these terms in MathML. For instance, the word times in x = 2 times a could be marked up as an operator by means of <mo>times</mo>.

C.4.2.10 Accessible Descriptions

It is sometimes beneficial to a reader to have additional, auxiliary information for a given mathematical construct. This is particularly the case in educational materials where newly introduced syntax benefits from repeated reinforcement. Such information is often too verbose for more familiar readers, indeed even to the same person after their first reading. Hence, common AT behavior has been to only vocalize an accessible description on user request, omitting it by default.

It is appropriate to provide such descriptions using the ARIA 1.3 attribute aria-description, which allows for a literal string value to annotate its host element. As an example, consider the minimal markup for the circumference formula, with each non-trivial component described.

<mrow aria-description="circumference of a circle">
  <mn>2</mn>
  <mi aria-description="mathematical constant">π</mi>
  <mi aria-description="radius variable">r</mi>
</mrow>

While aria-description has been used on its own for brevity, it is recommended to use it together with an intent annotation, as appropriate.

To ensure equal access, when aria-description or intent are used, useful descriptions should also be made visible on the page. A common affordance to achieve that is interactively displaying a tooltip containing the description.

D. Conformance

As well as sections marked as non-normative, all authoring guidelines, diagrams, examples, and notes in this specification are non-normative. Everything else in this specification is normative.

The key words MAY, MUST, SHOULD, and SHOULD NOT in this document are to be interpreted as described in BCP 14 [RFC2119] [RFC8174] when, and only when, they appear in all capitals, as shown here.

Information nowadays is commonly generated, processed and rendered by software tools. The exponential growth of the Web is fueling the development of advanced systems for automatically searching, categorizing, and interconnecting information. In addition, there are increasing numbers of Web services, some of which offer technically based materials and activities. Thus, although MathML can be written by hand and read by humans, whether machine-aided or just with much concentration, the future of MathML is largely tied to the ability to process it with software tools.

There are many different kinds of MathML processors: editors for authoring MathML expressions, translators for converting to and from other encodings, validators for checking MathML expressions, computation engines that evaluate, manipulate, or compare MathML expressions, and rendering engines that produce visual, aural, or tactile representations of mathematical notation. What it means to support MathML varies widely between applications. For example, the issues that arise with a validating parser are very different from those for an equation editor.

This section gives guidelines that describe different types of MathML support and make clear the extent of MathML support in a given application. Developers, users, and reviewers are encouraged to use these guidelines in characterizing products. The intention behind these guidelines is to facilitate reuse by and interoperability of MathML applications by accurately setting out their capabilities in quantifiable terms.

The W3C Math Working Group maintains MathML Compliance Guidelines. Consult this document for future updates on conformance activities and resources.

D.1 MathML Conformance

A valid MathML expression is an XML construct determined by the MathML RelaxNG Schema together with the additional requirements given in this specification.

We shall use the phrase “a MathML processor” to mean any application that can accept or produce a valid MathML expression. A MathML processor that both accepts and produces valid MathML expressions may be able to “round-trip” MathML. Perhaps the simplest example of an application that might round-trip a MathML expression would be an editor that writes it to a new file without modifications.

Three forms of MathML conformance are specified:

  1. A MathML-input-conformant processor must accept all valid MathML expressions; it should appropriately translate all MathML expressions into application-specific form allowing native application operations to be performed.

  2. A MathML-output-conformant processor must generate valid MathML, appropriately representing all application-specific data.

  3. A MathML-round-trip-conformant processor must preserve MathML equivalence. Two MathML expressions are “equivalent” if and only if both expressions have the same interpretation (as stated by the MathML Schema and specification) under any relevant circumstances, by any MathML processor. Equivalence on an element-by-element basis is discussed elsewhere in this document.

Beyond the above definitions, the MathML specification makes no demands of individual processors. In order to guide developers, the MathML specification includes advisory material; for example, there are many recommended rendering rules throughout 3. Presentation Markup. However, in general, developers are given wide latitude to interpret what kind of MathML implementation is meaningful for their own particular application.

To clarify the difference between conformance and interpretation of what is meaningful, consider some examples:

  1. In order to be MathML-input-conformant, a validating parser needs only to accept expressions, and return “true” for expressions that are valid MathML. In particular, it need not render or interpret the MathML expressions at all.

  2. A MathML computer-algebra interface based on content markup might choose to ignore all presentation markup. Provided the interface accepts all valid MathML expressions including those containing presentation markup, it would be technically correct to characterize the application as MathML-input-conformant.

  3. An equation editor might have an internal data representation that makes it easy to export some equations as MathML but not others. If the editor exports the simple equations as valid MathML, and merely displays an error message to the effect that conversion failed for the others, it is still technically MathML-output-conformant.

D.1.1 MathML Test Suite and Validator

As the previous examples show, to be useful, the concept of MathML conformance frequently involves a judgment about what parts of the language are meaningfully implemented, as opposed to parts that are merely processed in a technically correct way with respect to the definitions of conformance. This requires some mechanism for giving a quantitative statement about which parts of MathML are meaningfully implemented by a given application. To this end, the W3C Math Working Group has provided a test suite.

The test suite consists of a large number of MathML expressions categorized by markup category and dominant MathML element being tested. The existence of this test suite makes it possible, for example, to characterize quantitatively the hypothetical computer algebra interface mentioned above by saying that it is a MathML-input-conformant processor which meaningfully implements MathML content markup, including all of the expressions in the content markup section of the test suite.

Developers who choose not to implement parts of the MathML specification in a meaningful way are encouraged to itemize the parts they leave out by referring to specific categories in the test suite.

For MathML-output-conformant processors, information about currently available tools to validate MathML is maintained at the W3C MathML Validator. Developers of MathML-output-conformant processors are encouraged to verify their output using this validator.

Customers of MathML applications who wish to verify claims as to which parts of the MathML specification are implemented by an application are encouraged to use the test suites as a part of their decision processes.

D.1.2 Deprecated MathML 1.x and MathML 2.x Features

MathML 4.0 contains a number of features of earlier MathML which are now deprecated. The following points define what it means for a feature to be deprecated, and clarify the relation between deprecated features and current MathML conformance.

  1. In order to be MathML-output-conformant, authoring tools may not generate MathML markup containing deprecated features.

  2. In order to be MathML-input-conformant, rendering and reading tools must support deprecated features if they are to be in conformance with MathML 1.x or MathML 2.x. They do not have to support deprecated features to be considered in conformance with MathML 4.0. However, all tools are encouraged to support the old forms as much as possible.

  3. In order to be MathML-round-trip-conformant, a processor need only preserve MathML equivalence on expressions containing no deprecated features.

D.1.3 MathML Extension Mechanisms and Conformance

MathML 4.0 defines three basic extension mechanisms: the mglyph element provides a way of displaying glyphs for non-Unicode characters, and glyph variants for existing Unicode characters; the maction element uses attributes from other namespaces to obtain implementation-specific parameters; and content markup makes use of the definitionURL attribute, as well as Content Dictionaries and the cd attribute, to point to external definitions of mathematical semantics.

These extension mechanisms are important because they provide a way of encoding concepts that are beyond the scope of MathML 4.0 as presently explicitly specified, which allows MathML to be used for exploring new ideas not yet susceptible to standardization. However, as new ideas take hold, they may become part of future standards. For example, an emerging character that must be represented by an mglyph element today may be assigned a Unicode code point in the future. At that time, representing the character directly by its Unicode code point would be preferable. This transition into Unicode has already taken place for hundreds of characters used for mathematics.

Because the possibility of future obsolescence is inherent in the use of extension mechanisms to facilitate the discussion of new ideas, MathML can reasonably make no conformance requirements concerning the use of extension mechanisms, even when alternative standard markup is available. For example, using an mglyph element to represent an 'x' is permitted. However, authors and implementers are strongly encouraged to use standard markup whenever possible. Similarly, maintainers of documents employing MathML 4.0 extension mechanisms are encouraged to monitor relevant standards activity (e.g., Unicode, OpenMath, etc.) and to update documents as more standardized markup becomes available.

D.2 Handling of Errors

If a MathML-input-conformant application receives input containing one or more elements with an illegal number or type of attributes or child schemata, it should nonetheless attempt to render all the input in an intelligible way, i.e., to render normally those parts of the input that were valid, and to render error messages (rendered as if enclosed in an merror element) in place of invalid expressions.

MathML-output-conformant applications such as editors and translators may choose to generate merror expressions to signal errors in their input. This is usually preferable to generating valid, but possibly erroneous, MathML.

D.3 Attributes for unspecified data

The MathML attributes described in the MathML specification are intended to allow for good presentation and content markup. However it is never possible to cover all users' needs for markup. Ideally, the MathML attributes should be an open-ended list so that users can add specific attributes for specific renderers. However, this cannot be done within the confines of a single XML DTD or in a Schema. Although it can be done using extensions of the standard DTD, say, some authors will wish to use non-standard attributes to take advantage of renderer-specific capabilities while remaining strictly in conformance with the standard DTD.

To allow this, the MathML 1.0 specification Mathematical Markup Language (MathML) 1.0 Specification allowed the attribute other on all elements, for use as a hook to pass on renderer-specific information. In particular, it was intended as a hook for passing information to audio renderers, computer algebra systems, and for pattern matching in future macro/extension mechanisms. The motivation for this approach to the problem was historical, looking to PostScript, for example, where comments are widely used to pass information that is not part of PostScript.

In the next period of evolution of MathML the development of a general XML namespace mechanism seemed to make the use of the other attribute obsolete. In MathML 2.0, the other attribute is deprecated in favor of the use of namespace prefixes to identify non-MathML attributes. The other attribute has been removed in MathML 4.0. although it is still valid (with no defined behavior) in the mathml4-legacy schema.

For example, in MathML 1.0, it was recommended that if additional information was used in a renderer-specific implementation for the maction element (3.7.1 Bind Action to Sub-Expression), that information should be passed in using the other attribute:

<maction actiontype="highlight" other="color='#ff0000'"> expression </maction>

From MathML 4.0 onwards, a data-* attribute could be used:

<body>
  ...
  <maction actiontype="highlight" data-color="#ff0000"> expression </maction>
  ...
</body>

Note that the intent of allowing non-standard attributes is not to encourage software developers to use this as a loophole for circumventing the core conventions for MathML markup. Authors and applications should use non-standard attributes judiciously.

D.4 Privacy Considerations

Web platform implementations of MathML should implement [MathML-Core], and so the Privacy Considerations specified there apply.

D.5 Security Considerations

Web platform implementations of MathML should implement [MathML-Core], and so the Security Considerations specified there apply.

In some situations, MathML expressions can be parsed as XML. The security considerations of XML parsing apply then as explained in [RFC7303].

E. The Content MathML Operators

The following tables summarize key syntax information about the Content MathML operator elements.

E.1 The Content MathML Constructors

The following table gives the child element syntax for container elements that correspond to constructor symbols. See 4.3.1 Container Markup for details and examples.

The Name of the element is in the first column, and provides a link to the section that describes the constructor.

The Content column gives the child elements that may be contained within the constructor.

Name Content
set ContExp*
list ContExp*
vector ContExp*
matrix ContExp*
matrixrow ContExp*
lambda ContExp
interval ContExp,ContExp
piecewise piece*, otherwise?
piece ContExp,ContExp
otherwise ContExp

E.2 The Content MathML Attributes

The following table lists the attributes that may be supplied on specific operator elements. In addition, all operator elements allow the CommonAtt and DefEncAtt attributes.

The Name of the element is in the first column, and provides a link to the section that describes the operator.

The Attribute column specifies the name of the attribute that may be supplied on the operator element.

The Values column specifies the values that may be supplied for the attribute specific to the operator element.

Name Attribute Values
tendsto type? string
interval closure? open | closed | open-closed | closed-open
set type? set | multiset | text
list order numeric | lexicographic

E.3 The Content MathML Operators

The Name of the element is in the first column, and provides a link to the section that describes the operator.

The Symbol(s) column provides a list of csymbols that may be used to encode the operator, with links to the OpenMath symbols used in the Strict Content MathML Transformation Algorithm.

The Class column specifies the operator class, which indicates how many arguments the operator expects, and may determine the mapping to Strict Content MathML, as described in 4.3.4 Operator Classes.

The Qualifiers column lists the qualifier elements accepted by the operator, either as child elements (for container elements) or as following sibling elements (for empty operator elements).

Name Symbol(s) Class Qualifiers
plus plus nary-arith BvarQ,DomainQ
times times nary-arith BvarQ,DomainQ
gcd gcd nary-arith BvarQ,DomainQ
lcm lcm nary-arith BvarQ,DomainQ
compose left_compose nary-functional BvarQ,DomainQ
and and nary-logical BvarQ,DomainQ
or or nary-logical BvarQ,DomainQ
xor xor nary-logical BvarQ,DomainQ
selector vector_selector, matrix_selector nary-linalg
union union nary-set BvarQ,DomainQ
intersect intersect nary-set BvarQ,DomainQ
cartesianproduct cartesian_product nary-set BvarQ,DomainQ
vector vector nary-constructor BvarQ,DomainQ
matrix matrix nary-constructor BvarQ,DomainQ
matrixrow matrixrow nary-constructor BvarQ,DomainQ
eq eq nary-reln BvarQ,DomainQ
gt gt nary-reln BvarQ,DomainQ
lt lt nary-reln BvarQ,DomainQ
geq geq nary-reln BvarQ,DomainQ
leq leq nary-reln BvarQ,DomainQ
subset subset nary-set-reln
prsubset prsubset nary-set-reln
max max nary-minmax BvarQ,DomainQ
min min nary-minmax BvarQ,DomainQ
mean mean, mean nary-stats BvarQ,DomainQ
median median nary-stats BvarQ,DomainQ
mode mode nary-stats BvarQ,DomainQ
sdev sdev, sdev nary-stats BvarQ,DomainQ
variance variance, variance nary-stats BvarQ,DomainQ
quotient quotient binary-arith
divide divide binary-arith
minus minus unary_minus, minus unary-arith, binary-arith
power power binary-arith
rem remainder binary-arith
root root root unary-arith, binary-arith degree
implies implies binary-logical
equivalent equivalent binary-logical BvarQ,DomainQ
neq neq binary-reln
approx approx binary-reln
factorof factorof binary-reln
tendsto limit binary-reln
vectorproduct vectorproduct binary-linalg
scalarproduct scalarproduct binary-linalg
outerproduct outerproduct binary-linalg
in in binary-set
notin notin binary-set
notsubset notsubset binary-set
notprsubset notprsubset binary-set
setdiff setdiff, setdiff binary-set
not not unary-logical
factorial factorial unary-arith
minus minus unary_minus, minus unary-arith, binary-arith
root root root unary-arith, binary-arith degree
abs abs unary-arith
conjugate conjugate unary-arith
arg argument unary-arith
real real unary-arith
imaginary imaginary unary-arith
floor floor unary-arith
ceiling ceiling unary-arith
exp exp unary-arith
determinant determinant unary-linalg
transpose transpose unary-linalg
inverse inverse unary-functional
ident identity unary-functional
domain domain unary-functional
codomain range unary-functional
image image unary-functional
ln ln unary-functional
card size, size unary-set
sin sin unary-elementary
cos cos unary-elementary
tan tan unary-elementary
sec sec unary-elementary
csc csc unary-elementary
cot cot unary-elementary
arcsin arcsin unary-elementary
arccos arccos unary-elementary
arctan arctan unary-elementary
arcsec arcsec unary-elementary
arccsc arccsc unary-elementary
arccot arccot unary-elementary
sinh sinh unary-elementary
cosh cosh unary-elementary
tanh tanh unary-elementary
sech sech unary-elementary
csch csch unary-elementary
coth coth unary-elementary
arcsinh arcsinh unary-elementary
arccosh arccosh unary-elementary
arctanh arctanh unary-elementary
arcsech arcsech unary-elementary
arccsch arccsch unary-elementary
arccoth arccoth unary-elementary
divergence divergence unary-veccalc
grad grad unary-veccalc
curl curl unary-veccalc
laplacian Laplacian unary-veccalc
moment moment, moment unary-functional degree, momentabout
log log unary-functional logbase
exponentiale e constant-arith
imaginaryi i constant-arith
notanumber NaN constant-arith
true true constant-arith
false false constant-arith
pi pi constant-arith
eulergamma gamma constant-arith
infinity infinity constant-arith
integers Z constant-set
reals R constant-set
rationals Q constant-set
naturalnumbers N constant-set
complexes C constant-set
primes P constant-set
emptyset emptyset, emptyset constant-set
forall forall, implies quantifier BvarQ,DomainQ
exists exists, and quantifier BvarQ,DomainQ
lambda lambda lambda BvarQ,DomainQ
interval interval_cc, interval_oc, interval_co, interval_oo interval
int int defint int
diff diff Differential-Operator
partialdiff partialdiff partialdiffdegree partialdiff
sum sum sum BvarQ,DomainQ
product product product BvarQ,DomainQ
limit limit, both_sides, above, below, null limit lowlimit, condition
piecewise piecewise Constructor
piece piece Constructor
otherwise otherwise Constructor
set set, multiset nary-setlist-constructor BvarQ,DomainQ
list interval_cc, list nary-setlist-constructor BvarQ,DomainQ

F. The Strict Content MathML Transformation

MathML assigns semantics to content markup by defining a mapping to Strict Content MathML. Strict MathML, in turn, is in one-to-one correspondence with OpenMath, and the subset of OpenMath expressions obtained from content MathML expressions in this fashion all have well-defined semantics via the standard OpenMath Content Dictionary set. Consequently, the mapping of arbitrary content MathML expressions to equivalent Strict Content MathML plays a key role in underpinning the meaning of content MathML.

The mapping of arbitrary content MathML into Strict content MathML is defined algorithmically. The algorithm is described below as a collection of rewrite rules applying to specific non-Strict constructions. The individual rewrite transformations are described in the following subsections. The goal of this section is to outline the complete algorithm in one place.

The algorithm is a sequence of nine steps. Each step is applied repeatedly to rewrite the input until no further application is possible. Note that in many programming languages, such as XSLT, the natural implementation is as a recursive algorithm, rather than the multi-pass implementation suggested by the description below. The translation to XSL is straightforward and produces the same eventual Strict Content MathML. However, because the overall structure of the multi-pass algorithm is clearer, that is the formulation given here.

To transform an arbitrary content MathML expression into Strict Content MathML, apply each of the following rules in turn to the input expression until all instances of the target constructs have been eliminated:

  1. Rewrite non-strict bind and eliminate deprecated elements: Change the outer bind tags in binding expressions to apply if they have qualifiers or multiple children. This simplifies the algorithm by allowing the subsequent rules to be applied to non-strict binding expressions without case distinction. Note that the later rules will change the apply elements introduced in this step back to bind elements.

  2. Apply special case rules for idiomatic uses of qualifiers:

    1. Rewrite derivatives with rules Rewrite: diff, Rewrite: nthdiff, and Rewrite: partialdiffdegree to explicate the binding status of the variables involved.

    2. Rewrite integrals with the rules Rewrite: int, Rewrite: defint and Rewrite: defint limits to disambiguate the status of bound and free variables and of the orientation of the range of integration if it is given as a lowlimit/uplimit pair.

    3. Rewrite limits as described in Rewrite: tendsto and Rewrite: limits condition.

    4. Rewrite sums and products as described in 4.3.5.2 N-ary Sum <sum/> and 4.3.5.3 N-ary Product <product/>.

    5. Rewrite roots as described in F.2.5 Roots.

    6. Rewrite logarithms as described in F.2.6 Logarithms.

    7. Rewrite moments as described in F.2.7 Moments.

  3. Rewrite Qualifiers to domainofapplication: These rules rewrite all apply constructions using bvar and qualifiers to those using only the general domainofapplication qualifier.

    1. Intervals: Rewrite qualifiers given as interval and lowlimit/uplimit to intervals of integers via Rewrite: interval qualifier.

    2. Multiple conditions: Rewrite multiple condition qualifiers to a single one by taking their conjunction. The resulting compound condition is then rewritten to domainofapplication according to rule Rewrite: condition.

    3. Multiple domainofapplications: Rewrite multiple domainofapplication qualifiers to a single one by taking the intersection of the specified domains.

  4. Normalize Container Markup:

    1. Rewrite sets and lists by the rule Rewrite: n-ary setlist domainofapplication.

    2. Rewrite interval, vectors, matrices, and matrix rows as described in F.3.1 Intervals, 4.3.5.8 N-ary Matrix Constructors: <vector/>, <matrix/>, <matrixrow/>. Note any qualifiers will have been rewritten to domainofapplication and will be further rewritten in Step 6.

    3. Rewrite lambda expressions by the rules Rewrite: lambda and Rewrite: lambda domainofapplication.

    4. Rewrite piecewise functions as described in 4.3.10.5 Piecewise declaration <piecewise>, <piece>, <otherwise>.

  5. Apply Special Case Rules for Operators using domainofapplication Qualifiers: This step deals with the special cases for the operators introduced in 4.3 Content MathML for Specific Structures. There are different classes of special cases to be taken into account:

    1. Rewrite min, max, mean and similar n-ary/unary operators by the rules Rewrite: n-ary unary set, Rewrite: n-ary unary domainofapplication and Rewrite: n-ary unary single.

    2. Rewrite the quantifiers forall and exists used with domainofapplication to expressions using implication and conjunction by the rule Rewrite: quantifier.

    3. Rewrite integrals used with a domainofapplication element (with or without a bvar) according to the rules Rewrite: int and Rewrite: defint.

    4. Rewrite sums and products used with a domainofapplication element (with or without a bvar) as described in 4.3.5.2 N-ary Sum <sum/> and 4.3.5.3 N-ary Product <product/>.

  6. Eliminate domainofapplication: At this stage, any apply has at most one domainofapplication child and special cases have been addressed. As domainofapplication is not Strict Content MathML, it is rewritten

    1. into an application of a restricted function via the rule Rewrite: restriction if the apply does not contain a bvar child.

    2. into an application of the predicate_on_list symbol via the rules Rewrite: n-ary relations and Rewrite: n-ary relations bvar if used with a relation.

    3. into a construction with the apply_to_list symbol via the general rule Rewrite: n-ary domainofapplication for general n-ary operators.

    4. into a construction using the suchthat symbol from the set1 content dictionary in an apply with bound variables via the Rewrite: apply bvar domainofapplication rule.

  7. Rewrite non-strict token elements:

    1. Rewrite numbers represented as cn elements where the type attribute is one of e-notation, rational, complex-cartesian, complex-polar, constant as strict cn via rules Rewrite: cn sep, Rewrite: cn based_integer and Rewrite: cn constant.

    2. Rewrite any ci, csymbol or cn containing presentation MathML to semantics elements with rules Rewrite: cn presentation mathml and Rewrite: ci presentation mathml and the analogous rule for csymbol.

  8. Rewrite operators: Rewrite any remaining operator defined in 4.3 Content MathML for Specific Structures to a csymbol referencing the symbol identified in the syntax table by the rule Rewrite: element. As noted in the descriptions of each operator element, some require special case rules to determine the proper choice of symbol. Some cases of particular note are:

    1. The order of the arguments for the selector operator must be rewritten, and the symbol depends on the type of the arguments.

    2. The choice of symbol for the minus operator depends on the number of the arguments, minus or minus.

    3. The choice of symbol for some set operators depends on the values of the type of the arguments.

    4. The choice of symbol for some statistical operators depends on the values of the types of the arguments.

  9. Rewrite non-strict attributes:

    1. Rewrite the type attribute: At this point, all elements that accept the type, other than ci and csymbol, should have been rewritten into Strict Content Markup equivalents without type attributes, where type information is reflected in the choice of operator symbol. Now rewrite remaining ci and csymbol elements with a type attribute to a strict expression with semantics according to rules Rewrite: ci type annotation and Rewrite: csymbol type annotation.

    2. Rewrite definitionURL and encoding attributes: If the definitionURL and encoding attributes on a csymbol element can be interpreted as a reference to a content dictionary (see 4.2.3.2 Non-Strict uses of <csymbol> for details), then rewrite to reference the content dictionary by the cd attribute instead.

    3. Rewrite attributes: Rewrite any element with attributes that are not allowed in strict markup to a semantics construction with the element without these attributes as the first child and the attributes in annotation elements by rule Rewrite: attributes.

F.1 Rewrite non-strict bind

As described in 4.2.6 Bindings and Bound Variables <bind> and <bvar>, the strict form for the bind element does not allow qualifiers, and only allows one non-bvar child element.

Replace the bind tag in each binding expression with apply if it has qualifiers or multiple non-bvar child elements.

This step allows subsequent rules that modify non-strict binding expressions using apply to be used for non-strict binding expressions using bind without the need for a separate case.

Later rules will change these non-strict binding expressions using apply back to strict binding expressions using bind elements.

F.2 Rewrite idiomatic qualifiers

Apply special case rules for idiomatic uses of qualifiers.

F.2.1 Derivatives

Rewrite derivatives using the rules Rewrite: diff, Rewrite: nthdiff, and Rewrite: partialdiffdegree to make the binding status of the variables explicit.

For a differentiation operator it is crucial to realize that in the expression case, the variable is actually not bound by the differentiation operator.

Rewrite: diff

Translate an expression

<apply><diff/>
  <bvar><ci>x</ci></bvar>
  <ci>expression-in-x</ci>
</apply>

where <ci>expression-in-x</ci> is an expression in the variable x to the expression

<apply>
  <apply><csymbol cd="calculus1">diff</csymbol>
    <bind><csymbol cd="fns1">lambda</csymbol>
      <bvar><ci>x</ci></bvar>
      <ci>E</ci>
    </bind>
  </apply>
  <ci>x</ci>
</apply>

Note that the differentiated function is applied to the variable x making its status as a free variable explicit in strict markup. Thus the strict equivalent of

<apply><diff/>
  <bvar><ci>x</ci></bvar>
  <apply><sin/><ci>x</ci></apply>
</apply>

is

<apply>
  <apply><csymbol cd="calculus1">diff</csymbol>
    <bind><csymbol cd="fns1">lambda</csymbol>
      <bvar><ci>x</ci></bvar>
      <apply><csymbol cd="transc1">sin</csymbol><ci>x</ci></apply>
    </bind>
  </apply>
  <ci>x</ci>
</apply>

If the bvar element contains a degree element, use the nthdiff symbol.

Rewrite: nthdiff
<apply><diff/>
  <bvar><ci>x</ci><degree><ci>n</ci></degree></bvar>
  <ci>expression-in-x</ci>
</apply>

where <ci>expression-in-x</ci> is an expression in the variable x is translated to the expression

<apply>
  <apply><csymbol cd="calculus1">nthdiff</csymbol>
    <ci>n</ci>
    <bind><csymbol cd="fns1">lambda</csymbol>
      <bvar><ci>x</ci></bvar>
      <ci>expression-in-x</ci>
    </bind>
  </apply>
  <ci>x</ci>
</apply>

For example

<apply><diff/>
  <bvar><degree><cn>2</cn></degree><ci>x</ci></bvar>
  <apply><sin/><ci>x</ci></apply>
</apply>

Strict Content MathML equivalent

<apply>
  <apply><csymbol cd="calculus1">nthdiff</csymbol>
    <cn>2</cn>
    <bind><csymbol cd="fns1">lambda</csymbol>
      <bvar><ci>x</ci></bvar>
      <apply><csymbol cd="transc1">sin</csymbol><ci>x</ci></apply>
    </bind>
  </apply>
  <ci>x</ci>
</apply>

When applied to a function, the partialdiff element corresponds to the partialdiff symbol from the calculus1 content dictionary. No special rules are necessary as the two arguments of partialdiff translate directly to the two arguments of partialdiff.

Rewrite: partialdiffdegree

If partialdiff is used with an expression and bvar qualifiers it is rewritten to Strict Content MathML using the partialdiffdegree symbol.

<apply><partialdiff/>
  <bvar><ci>x1</ci><degree><ci>n1</ci></degree></bvar>
  <bvar><ci>xk</ci><degree><ci>nk</ci></degree></bvar>
  <degree><ci>total-n1-nk</ci></degree>
  <ci>expression-in-x1-xk</ci>
</apply>

where <ci>expression-in-x1-xk</ci> is an arbitrary expression involving the bound variables.

<apply>
  <apply><csymbol cd="calculus1">partialdiffdegree</csymbol>
    <apply><csymbol cd="list1">list</csymbol>
      <ci>n1</ci> <ci>nk</ci>
    </apply>
    <ci>total-n1-nk</ci>
    <bind><csymbol cd="fns1">lambda</csymbol>
      <bvar><ci>x1</ci></bvar>
      <bvar><ci>xk</ci></bvar>
      <ci>expression-in-x1-xk</ci>
    </bind>
  </apply>
  <ci>x1</ci>
  <ci>xk</ci>
</apply>

If any of the bound variables do not use a degree qualifier, <cn>1</cn> should be used in place of the degree. If the original expression did not use the total degree qualifier then the second argument to partialdiffdegree should be the sum of the degrees. For example

<apply><csymbol cd="arith1">plus</csymbol>
  <ci>n1</ci> <ci>nk</ci>
</apply>

With this rule, the expression

<apply><partialdiff/>
  <bvar><ci>x</ci><degree><ci>n</ci></degree></bvar>
  <bvar><ci>y</ci><degree><ci>m</ci></degree></bvar>
  <apply><sin/>
    <apply><times/><ci>x</ci><ci>y</ci></apply>
  </apply>
</apply>

is translated into

<apply>
  <apply><csymbol cd="calculus1">partialdiffdegree</csymbol>
    <apply><csymbol cd="list1">list</csymbol>
      <ci>n</ci><ci>m</ci>
    </apply>
    <apply><csymbol cd="arith1">plus</csymbol>
      <ci>n</ci><ci>m</ci>
    </apply>
    <bind><csymbol cd="fns1">lambda</csymbol>
      <bvar><ci>x</ci></bvar>
      <bvar><ci>y</ci></bvar>
      <apply><csymbol cd="transc1">sin</csymbol>
        <apply><csymbol cd="arith1">times</csymbol>
          <ci>x</ci><ci>y</ci>
        </apply>
      </apply>
    </bind>
    <ci>x</ci>
    <ci>y</ci>
  </apply>
</apply>

F.2.2 Integrals

Rewrite integrals using the rules Rewrite: int, Rewrite: defint and Rewrite: defint limits to disambiguate the status of bound and free variables and of the orientation of the range of integration if it is given as a lowlimit/uplimit pair.

As an indefinite integral applied to a function, the int element corresponds to the int symbol from the calculus1 content dictionary. As a definite integral applied to a function, the int element corresponds to the defint symbol from the calculus1 content dictionary.

When no bound variables are present, the translation of an indefinite integral to Strict Content Markup is straight forward. When bound variables are present, the following rule should be used.

Rewrite: int

Translate an indefinite integral, where <ci>expression-in-x</ci> is an arbitrary expression involving the bound variable(s) <ci>x</ci>

<apply><int/>
  <bvar><ci>x</ci></bvar>
  <ci>expression-in-x</ci>
</apply>

to the expression

<apply>
  <apply><csymbol cd="calculus1">int</csymbol>
    <bind><csymbol cd="fns1">lambda</csymbol>
      <bvar><ci>x</ci></bvar>
      <ci>expression-in-x</ci>
    </bind>
  </apply>
  <ci>x</ci>
</apply>

Note that as x is not bound in the original indefinite integral, the integrated function is applied to the variable x making it an explicit free variable in Strict Content Markup expression, even though it is bound in the subterm used as an argument to int.

For instance, the expression

<apply><int/>
  <bvar><ci>x</ci></bvar>
  <apply><cos/><ci>x</ci></apply>
</apply>
has the Strict Content MathML equivalent
<apply>
  <apply><csymbol cd="calculus1">int</csymbol>
    <bind><csymbol cd="fns1">lambda</csymbol>
      <bvar><ci>x</ci></bvar>
      <apply><cos/><ci>x</ci></apply>
    </bind>
  </apply>
  <ci>x</ci>
</apply>

For a definite integral without bound variables, the translation is also straightforward.

For instance, the integral of a differential form f over an arbitrary domain C represented as

<apply><int/>
  <domainofapplication><ci>C</ci></domainofapplication>
  <ci>f</ci>
</apply>

is equivalent to the Strict Content MathML:

<apply><csymbol cd="calculus1">defint</csymbol><ci>C</ci><ci>f</ci></apply>

Note, however, the additional remarks on the translations of other kinds of qualifiers that may be used to specify a domain of integration in the rules for definite integrals following.

When bound variables are present, the situation is more complicated in general, and the following rules are used.

Rewrite: defint

Translate a definite integral, where <ci>expression-in-x</ci> is an arbitrary expression involving the bound variable(s) <ci>x</ci>

<apply><int/>
  <bvar><ci>x</ci></bvar>
  <domainofapplication><ci>D</ci></domainofapplication>
  <ci>expression-in-x</ci>
</apply>

to the expression

<apply><csymbol cd="calculus1">defint</csymbol>
  <ci>D</ci>
  <bind><csymbol cd="fns1">lambda</csymbol>
    <bvar><ci>x</ci></bvar>
    <ci>expression-in-x</ci>
  </bind>
</apply>

But the definite integral with a lowlimit/uplimit pair carries the strong intuition that the range of integration is oriented, and thus swapping lower and upper limits will change the sign of the result. To accommodate this, use the following special translation rule:

Rewrite: defint limits
<apply><int/>
  <bvar><ci>x</ci></bvar>
  <lowlimit><ci>a</ci></lowlimit>
  <uplimit><ci>b</ci></uplimit>
  <ci>expression-in-x</ci>
</apply>

where <ci>expression-in-x</ci> is an expression in the variable x is translated to the expression:

<apply><csymbol cd="calculus1">defint</csymbol>
  <apply><csymbol cd="interval1">oriented_interval</csymbol>
    <ci>a</ci> <ci>b</ci>
  </apply>
  <bind><csymbol cd="fns1">lambda</csymbol>
    <bvar><ci>x</ci></bvar>
    <ci>expression-in-x</ci>
  </bind>
</apply>

The oriented_interval symbol is also used when translating the interval qualifier, when it is used to specify the domain of integration. Integration is assumed to proceed from the left endpoint to the right endpoint.

The case for multiple integrands is treated analogously.

Note that use of the condition qualifier also requires special treatment. In particular, it extends to multivariate domains by using extra bound variables and a domain corresponding to a cartesian product as in:

<bind><int/>
  <bvar><ci>x</ci></bvar>
  <bvar><ci>y</ci></bvar>
  <condition>
    <apply><and/>
      <apply><leq/><cn>0</cn><ci>x</ci></apply>
      <apply><leq/><ci>x</ci><cn>1</cn></apply>
      <apply><leq/><cn>0</cn><ci>y</ci></apply>
      <apply><leq/><ci>y</ci><cn>1</cn></apply>
    </apply>
  </condition>
  <apply><times/>
    <apply><power/><ci>x</ci><cn>2</cn></apply>
    <apply><power/><ci>y</ci><cn>3</cn></apply>
  </apply>
</bind>

Strict Content MathML equivalent

<apply><csymbol cd="calculus1">defint</csymbol>
  <apply><csymbol cd="set1">suchthat</csymbol>
    <apply><csymbol cd="set1">cartesianproduct</csymbol>
      <csymbol cd="setname1">R</csymbol>
      <csymbol cd="setname1">R</csymbol>
    </apply>
    <apply><csymbol cd="logic1">and</csymbol>
      <apply><csymbol cd="arith1">leq</csymbol><cn>0</cn><ci>x</ci></apply>
      <apply><csymbol cd="arith1">leq</csymbol><ci>x</ci><cn>1</cn></apply>
      <apply><csymbol cd="arith1">leq</csymbol><cn>0</cn><ci>y</ci></apply>
      <apply><csymbol cd="arith1">leq</csymbol><ci>y</ci><cn>1</cn></apply>
    </apply>
    <bind><csymbol cd="fns11">lambda</csymbol>
      <bvar><ci>x</ci></bvar>
      <bvar><ci>y</ci></bvar>
      <apply><csymbol cd="arith1">times</csymbol>
        <apply><csymbol cd="arith1">power</csymbol><ci>x</ci><cn>2</cn></apply>
        <apply><csymbol cd="arith1">power</csymbol><ci>y</ci><cn>3</cn></apply>
      </apply>
    </bind>
  </apply>
</apply>

F.2.3 Limits

Rewrite limits using the rules Rewrite: tendsto and Rewrite: limits condition.

The usage of tendsto to qualify a limit is formally defined by writing the expression in Strict Content MathML via the rule Rewrite: limits condition. The meanings of other more idiomatic uses of tendsto are not formally defined by this specification. When rewriting these cases to Strict Content MathML, tendsto should be rewritten to an annotated identifier as shown below.

Rewrite: tendsto
<tendsto/>

Strict Content MathML equivalent

<semantics>
  <ci>tendsto</ci>
  <annotation-xml encoding="MathML-Content">
    <tendsto/>
  </annotation-xml>
</semantics>
Rewrite: limits condition
<apply><limit/>
  <bvar><ci>x</ci></bvar>
  <condition>
    <apply><tendsto/><ci>x</ci><cn>0</cn></apply>
  </condition>
  <ci>expression-in-x</ci>
</apply>

Strict Content MathML equivalent

<apply><csymbol cd="limit1">limit</csymbol>
  <cn>0</cn>
  <csymbol cd="limit1">null</csymbol>
  <bind><csymbol cd="fns1">lambda</csymbol>
    <bvar><ci>x</ci></bvar>
    <ci>expression-in-x</ci>
  </bind>
</apply>

where <ci>expression-in-x</ci> is an arbitrary expression involving the bound variable(s), and the choice of symbol, null, depends on the type attribute of the tendsto element as described in 4.3.10.4 Limits <limit/>.

F.2.4 Sums and Products

Rewrite sums and products as described in 4.3.5.2 N-ary Sum <sum/> and 4.3.5.3 N-ary Product <product/>.

When no explicit bound variables are used, no special rules are required to rewrite sums as Strict Content beyond the generic rules for rewriting expressions using qualifiers. However, when bound variables are used, it is necessary to introduce a lambda construction to rewrite the expression in the bound variables as a function.

Content MathML

<apply><sum/>
  <bvar><ci>i</ci></bvar>
  <lowlimit><cn>0</cn></lowlimit>
  <uplimit><cn>100</cn></uplimit>
  <apply><power/><ci>x</ci><ci>i</ci></apply>
</apply>

Strict Content MathML equivalent

<apply><csymbol cd="arith1">sum</csymbol>
  <apply><csymbol cd="interval1">integer_interval</csymbol>
    <cn>0</cn>
    <cn>100</cn>
  </apply>
  <bind><csymbol cd="fns1">lambda</csymbol>
    <bvar><ci>i</ci></bvar>
    <apply><csymbol cd="arith1">power</csymbol><ci>x</ci><ci>i</ci></apply>
  </bind>
</apply>

When no explicit bound variables are used, no special rules are required to rewrite products as Strict Content beyond the generic rules for rewriting expressions using qualifiers. However, when bound variables are used, it is necessary to introduce a lambda construction to rewrite the expression in the bound variables as a function.

Content MathML

<apply><product/>
  <bvar><ci>i</ci></bvar>
  <lowlimit><cn>0</cn></lowlimit>
  <uplimit><cn>100</cn></uplimit>
  <apply><power/><ci>x</ci><ci>i</ci></apply>
</apply>

Strict Content MathML equivalent

<apply><csymbol cd="arith1">product</csymbol>
  <apply><csymbol cd="interval1">integer_interval</csymbol>
    <cn>0</cn>
    <cn>100</cn>
  </apply>
  <bind><csymbol cd="fns1">lambda</csymbol>
    <bvar><ci>i</ci></bvar>
    <apply><csymbol cd="arith1">power</csymbol><ci>x</ci><ci>i</ci></apply>
  </bind>
</apply>

F.2.5 Roots

Rewrite roots as described in F.2.5 Roots.

In Strict Content markup, the root symbol is always used with two arguments, with the second indicating the degree of the root being extracted.

Content MathML

<apply><root/><ci>x</ci></apply>

Strict Content MathML equivalent

<apply><csymbol cd="arith1">root</csymbol>
  <ci>x</ci>
  <cn type="integer">2</cn>
</apply>

Content MathML

<apply><root/>
  <degree><ci type="integer">n</ci></degree>
  <ci>a</ci>
</apply>

Strict Content MathML equivalent

<apply><csymbol cd="arith1">root</csymbol>
  <ci>a</ci>
  <cn type="integer">n</cn>
</apply>

F.2.6 Logarithms

Rewrite logarithms as described in 4.3.7.9 Logarithm <log/> , <logbase>.

When mapping log to Strict Content, one uses the log symbol denoting the function that returns the log of its second argument with respect to the base specified by the first argument. When logbase is present, it determines the base. Otherwise, the default base of 10 must be explicitly provided in Strict markup. See the following example.

<apply><plus/>
  <apply>
    <log/>
    <logbase><cn>2</cn></logbase>
    <ci>x</ci>
  </apply>
  <apply>
    <log/>
    <ci>y</ci>
  </apply>
</apply>

Strict Content MathML equivalent:

<apply>
  <csymbol cd="arith1">plus</csymbol>
  <apply>
    <csymbol cd="transc1">log</csymbol>
    <cn>2</cn>
    <ci>x</ci>
  </apply>
  <apply>
    <csymbol cd="transc1">log</csymbol>
    <cn>10</cn>
    <ci>y</ci>
  </apply>
</apply>

F.2.7 Moments

Rewrite moments as described in 4.3.7.8 Moment <moment/>, <momentabout>.

When rewriting to Strict Markup, the moment symbol from the s_data1 content dictionary is used when the moment element is applied to an explicit list of arguments. When it is applied to a distribution, then the moment symbol from the s_dist1 content dictionary should be used. Both operators take the degree as the first argument, the point as the second, followed by the data set or random variable respectively.

<apply><moment/>
  <degree><cn>3</cn></degree>
  <momentabout><ci>p</ci></momentabout>
  <ci>X</ci>
</apply>

Strict Content MathML equivalent

<apply><csymbol cd="s_dist1">moment</csymbol>
  <cn>3</cn>
  <ci>p</ci>
  <ci>X</ci>
</apply>

F.3 Rewrite to domainofapplication

Rewrite Qualifiers to domainofapplication. These rules rewrite all apply constructions using bvar and qualifiers to those using only the general domainofapplication qualifier.

F.3.1 Intervals

Rewrite qualifiers given as interval and lowlimit/uplimit to intervals of integers via Rewrite: interval qualifier.

Rewrite: interval qualifier
<apply><ci>H</ci>
  <bvar><ci>x</ci></bvar>
  <lowlimit><ci>a</ci></lowlimit>
  <uplimit><ci>b</ci></uplimit>
  <ci>C</ci>
</apply>
<apply><ci>H</ci>
  <bvar><ci>x</ci></bvar>
  <domainofapplication>
    <apply><csymbol cd="interval1">interval</csymbol>
      <ci>a</ci>
      <ci>b</ci>
    </apply>
  </domainofapplication>
  <ci>C</ci>
</apply>

The symbol used in this translation depends on the head of the application, denoted by <ci>H</ci> here. By default interval should be used, unless the semantics of the head term can be determined and indicate a more specific interval symbol. In particular, several predefined Content MathML elements should be used with more specific interval symbols. If the head is int then oriented_interval is used. When the head term is sum or product, integer_interval should be used.

The above technique for replacing lowlimit and uplimit qualifiers with a domainofapplication element is also used for replacing the interval qualifier. Note that interval is only interpreted as a qualifier if it immediately follows bvar. In other contexts interval is interpreted as a constructor, F.4.2 Intervals, vectors, matrices.

F.3.2 Multiple conditions

Rewrite multiple condition qualifiers to a single one by taking their conjunction. The resulting compound condition is then rewritten to domainofapplication according to rule Rewrite: condition.

The condition qualifier restricts a bound variable by specifying a Boolean-valued expression on a larger domain, specifying whether a given value is in the restricted domain. The condition element contains a single child that represents the truth condition. Compound conditions are formed by applying Boolean operators such as and in the condition.

Rewrite: condition

To rewrite an expression using the condition qualifier as one using domainofapplication,

<bvar><ci>x1</ci></bvar>
<bvar><ci>xn</ci></bvar>
<condition><ci>P</ci></condition>

is rewritten to

<bvar><ci>x1</ci></bvar>
<bvar><ci>xn</ci></bvar>
<domainofapplication>
  <apply><csymbol cd="set1">suchthat</csymbol>
    <ci>R</ci>
    <bind><csymbol cd="fns1">lambda</csymbol>
      <bvar><ci>x1</ci></bvar>
      <bvar><ci>xn</ci></bvar>
      <ci>P</ci>
    </bind>
  </apply>
</domainofapplication>

If the apply has a domainofapplication (perhaps originally expressed as interval or an uplimit/lowlimit pair) then that is used for <ci>R</ci>. Otherwise <ci>R</ci> is a set determined by the type attribute of the bound variable as specified in 4.2.2.2 Non-Strict uses of <ci>, if that is present. If the type is unspecified, the translation introduces an unspecified domain via content identifier <ci>R</ci>.

F.3.3 Multiple domainofapplications

Rewrite multiple domainofapplication qualifiers to a single one by taking the intersection of the specified domains.

F.4 Normalize container markup

F.4.1 Sets and Lists

Rewrite sets and lists by the rule Rewrite: n-ary setlist domainofapplication.

The use of set and list follows the same format as other n-ary constructors, however when rewriting to Strict Content MathML a variant of the usual rule is used, since the map symbol implicitly constructs the required set or list, and apply_to_list is not needed in this case.

The elements representing these n-ary operators are specified in the schema pattern nary-setlist-constructor.class.

If the argument list is given explicitly, the Rewrite: element rule applies.

When qualifiers are used to specify the list of arguments, the following rule is used.

Rewrite: n-ary setlist domainofapplication

An expression of the following form, where <set/> is either of the elements set or list and <ci>expression-in-x</ci> is an arbitrary expression involving the bound variable(s)

<set>
  <bvar><ci>x</ci></bvar>
  <domainofapplication><ci>D</ci></domainofapplication>
  <ci>expression-in-x</ci>
</set>

is rewritten to

<apply><csymbol cd="set1">map</csymbol>
  <bind><csymbol cd="fns1">lambda</csymbol>
    <bvar><ci>x</ci></bvar>
    <ci>expression-in-x</ci>
  </bind>
  <ci>D</ci>
</apply>

Note that when <ci>D</ci> is already a set or list of the appropriate type for the container element, and the lambda function created from <ci>expression-in-x</ci> is the identity, the entire container element should be rewritten directly as <ci>D</ci>.

In the case of set, the choice of Content Dictionary and symbol depends on the value of the type attribute of the arguments. By default the set symbol is used, but if one of the arguments has type attribute with value multiset, the multiset symbol is used. If there is a type attribute with value other than set or multiset the set symbol should be used, and the arguments should be annotated with their type by rewriting the type attribute using the rule Rewrite: attributes.

F.4.2 Intervals, vectors, matrices

Rewrite interval, vectors, matrices, and matrix rows as described in F.3.1 Intervals, 4.3.5.8 N-ary Matrix Constructors: <vector/>, <matrix/>, <matrixrow/>. Note any qualifiers will have been rewritten to domainofapplication and will be further rewritten in a later step.

In Strict markup, the interval element corresponds to one of four symbols from the interval1 content dictionary. If closure has the value open then interval corresponds to the interval_oo. With the value closed interval corresponds to the symbol interval_cc, with value open-closed to interval_oc, and with closed-open to interval_co.

F.4.3 Lambda expressions

Rewrite lambda expressions by the rules Rewrite: lambda and Rewrite: lambda domainofapplication.

Rewrite: lambda

If the lambda element does not contain qualifiers, the lambda expression is directly translated into a bind expression.

<lambda>
  <bvar><ci>x1</ci></bvar><bvar><ci>xn</ci></bvar>
  <ci>expression-in-x1-xn</ci>
</lambda>

rewrites to the Strict Content MathML

<bind><csymbol cd="fns1">lambda</csymbol>
  <bvar><ci>x1</ci></bvar><bvar><ci>xn</ci></bvar>
  <ci>expression-in-x1-xn</ci>
</bind>
Rewrite: lambda domainofapplication

If the lambda element does contain qualifiers, the qualifier may be rewritten to domainofapplication and then the lambda expression is translated to a function term constructed with lambda and restricted to the specified domain using restriction.

<lambda>
  <bvar><ci>x1</ci></bvar><bvar><ci>xn</ci></bvar>
  <domainofapplication><ci>D</ci></domainofapplication>
  <ci>expression-in-x1-xn</ci>
</lambda>

rewrites to the Strict Content MathML

<apply><csymbol cd="fns1">restriction</csymbol>
  <bind><csymbol cd="fns1">lambda</csymbol>
    <bvar><ci>x1</ci></bvar><bvar><ci>xn</ci></bvar>
    <ci>expression-in-x1-xn</ci>
  </bind>
  <ci>D</ci>
</apply>

F.4.4 Piecewise functions

Rewrite piecewise functions as described in 4.3.10.5 Piecewise declaration <piecewise>, <piece>, <otherwise>.

In Strict Content MathML, the container elements piecewise, piece and otherwise are mapped to applications of the constructor symbols of the same names in the piece1 CD. Apart from the fact that these three elements (respectively symbols) are used together, the mapping to Strict markup is straightforward:

Content MathML

<piecewise>
  <piece>
    <cn>0</cn>
    <apply><lt/><ci>x</ci><cn>0</cn></apply>
  </piece>
  <piece>
    <cn>1</cn>
    <apply><gt/><ci>x</ci><cn>1</cn></apply>
  </piece>
  <otherwise>
    <ci>x</ci>
  </otherwise>
</piecewise>

Strict Content MathML equivalent

<apply><csymbol cd="piece1">piecewise</csymbol>
  <apply><csymbol cd="piece1">piece</csymbol>
    <cn>0</cn>
    <apply><csymbol cd="relation1">lt</csymbol><ci>x</ci><cn>0</cn></apply>
  </apply>
  <apply><csymbol cd="piece1">piece</csymbol>
    <cn>1</cn>
    <apply><csymbol cd="relation1">gt</csymbol><ci>x</ci><cn>1</cn></apply>
  </apply>
  <apply><csymbol cd="piece1">otherwise</csymbol>
    <ci>x</ci>
  </apply>
</apply>

F.5 Rewrite domainofapplication qualifiers

Apply Special Case Rules for Operators using domainofapplication Qualifiers. This step deals with the special cases for the operators introduced in 4.3 Content MathML for Specific Structures. There are different classes of special cases to be taken into account.

F.5.1 N-ary/unary operators

Rewrite min, max, mean and similar n-ary/unary operators by the rules Rewrite: n-ary unary set, Rewrite: n-ary unary domainofapplication and Rewrite: n-ary unary single.

Rewrite: n-ary unary set

When an element, <max/>, of class nary-stats or nary-minmax is applied to an explicit list of 0 or 2 or more arguments, <ci>a1</ci><ci>a2</ci><ci>an</ci>

<apply><max/><ci>a1</ci><ci>a2</ci><ci>an</ci></apply>

it is translated to the unary application of the symbol <csymbol cd="minmax1" name="max"/> as specified in the syntax table for the element to the set of arguments, constructed using the <csymbol cd="set1" name="set"/> symbol.

<apply><csymbol cd="minmax1">max</csymbol>
  <apply><csymbol cd="set1">set</csymbol>
    <ci>a1</ci><ci>a2</ci><ci>an</ci>
  </apply>
</apply>

Like all MathML n-ary operators, the list of arguments may be specified implicitly using qualifier elements. This is expressed in Strict Content MathML using the following rule, which is similar to the rule Rewrite: n-ary domainofapplication but differs in that the symbol can be directly applied to the constructed set of arguments and it is not necessary to use apply_to_list.

Rewrite: n-ary unary domainofapplication

An expression of the following form, where <max/> represents any element of the relevant class and <ci>expression-in-x</ci> is an arbitrary expression involving the bound variable(s)

<apply><max/>
  <bvar><ci>x</ci></bvar>
  <domainofapplication><ci>D</ci></domainofapplication>
  <ci>expression-in-x</ci>
</apply>

is rewritten to

<apply><csymbol cd="minmax1">max</csymbol>
  <apply><csymbol cd="set1">map</csymbol>
    <bind><csymbol cd="fns1">lambda</csymbol>
      <bvar><ci>x</ci></bvar>
      <ci>expression-in-x</ci>
    </bind>
    <ci>D</ci>
  </apply>
</apply>

Note that when <ci>D</ci> is already a set and the lambda function created from <ci>expression-in-x</ci> is the identity, the domainofapplication term should be rewritten directly as <ci>D</ci>.

If the element is applied to a single argument the set symbol is not used and the symbol is applied directly to the argument.

Rewrite: n-ary unary single

When an element, <max/>, of class nary-stats or nary-minmax is applied to a single argument,

<apply><max/><ci>a</ci></apply>

it is translated to the unary application of the symbol in the syntax table for the element.

<apply><csymbol cd="minmax1">max</csymbol> <ci>a</ci> </apply>

Note: Earlier versions of MathML were not explicit about the correct interpretation of elements in this class, and left it undefined as to whether an expression such as max(X) was a trivial application of max to a singleton, or whether it should be interpreted as meaning the maximum of values of the set X. Applications finding that the rule Rewrite: n-ary unary single can not be applied as the supplied argument is a scalar may wish to use the rule Rewrite: n-ary unary set as an error recovery. As a further complication, in the case of the statistical functions the Content Dictionary to use in this case depends on the desired interpretation of the argument as a set of explicit data or a random variable representing a distribution.

F.5.2 Quantifiers

Rewrite the quantifiers forall and exists used with domainofapplication to expressions using implication and conjunction by the rule Rewrite: quantifier.

If used with bind and no qualifiers, then the interpretation in Strict Content MathML is simple. In general if used with apply or qualifiers, the interpretation in Strict Content MathML is via the following rule.

Rewrite: quantifier

An expression of following form where <exists/> denotes an element of class quantifier and <ci>expression-in-x</ci> is an arbitrary expression involving the bound variable(s)

<apply><exists/>
  <bvar><ci>x</ci></bvar>
  <domainofapplication><ci>D</ci></domainofapplication>
  <ci>expression-in-x</ci>
</apply>

is rewritten to an expression

<bind><csymbol cd="quant1">exists</csymbol>
  <bvar><ci>x</ci></bvar>
  <apply><csymbol cd="logic1">and</csymbol>
    <apply><csymbol cd="set1">in</csymbol><ci>x</ci><ci>D</ci></apply>
    <ci>expression-in-x</ci>
  </apply>
</bind>

where the symbols <csymbol cd="quant1">exists</csymbol> and <csymbol cd="logic1">and</csymbol> are as specified in the syntax table of the element. (The additional symbol being and in the case of exists and implies in the case of forall.) When no domainofapplication is present, no logical conjunction is necessary, and the translation is direct.

When the forall element is used with a condition qualifier the strict equivalent is constructed with the help of logical implication by the rule Rewrite: quantifier. Thus

<bind><forall/>
  <bvar><ci>p</ci></bvar>
  <bvar><ci>q</ci></bvar>
  <condition>
    <apply><and/>
      <apply><in/><ci>p</ci><rationals/></apply>
      <apply><in/><ci>q</ci><rationals/></apply>
      <apply><lt/><ci>p</ci><ci>q</ci></apply>
    </apply>
  </condition>
  <apply><lt/>
    <ci>p</ci>
    <apply><power/><ci>q</ci><cn>2</cn></apply>
  </apply>
</bind>

translates to

<bind><csymbol cd="quant1">forall</csymbol>
  <bvar><ci>p</ci></bvar>
  <bvar><ci>q</ci></bvar>
  <apply><csymbol cd="logic1">implies</csymbol>
    <apply><csymbol cd="logic1">and</csymbol>
      <apply><csymbol cd="set1">in</csymbol>
        <ci>p</ci>
        <csymbol cd="setname1">Q</csymbol>
      </apply>
      <apply><csymbol cd="set1">in</csymbol>
        <ci>q</ci>
        <csymbol cd="setname1">Q</csymbol>
      </apply>
      <apply><csymbol cd="relation1">lt</csymbol><ci>p</ci><ci>q</ci></apply>
    </apply>
    <apply><csymbol cd="relation1">lt</csymbol>
      <ci>p</ci>
      <apply><csymbol cd="arith1">power</csymbol>
        <ci>q</ci>
        <cn>2</cn>
      </apply>
    </apply>
  </apply>
</bind>

F.5.3 Integrals

Rewrite integrals used with a domainofapplication element (with or without a bvar) according to the rules Rewrite: int and Rewrite: defint. See F.2.2 Integrals.

F.5.4 Sums and products

Rewrite sums and products used with a domainofapplication element (with or without a bvar) as described in 4.3.5.2 N-ary Sum <sum/> and 4.3.5.3 N-ary Product <product/>. See F.2.4 Sums and Products.

F.6 Eliminate domainofapplication

At this stage, any apply has at most one domainofapplication child and special cases have been addressed. As domainofapplication is not Strict Content MathML, it is rewritten as one of the following cases.

By applying the rules above, expressions using the interval, condition, uplimit and lowlimit can be rewritten using only domainofapplication. Once a domainofapplication has been obtained, the final mapping to Strict markup is accomplished using the following rules:

F.6.1 Restricted function

Into an application of a restricted function via the rule Rewrite: restriction if the apply does not contain a bvar child.

Rewrite: restriction

An application of a function that is qualified by the domainofapplication qualifier (expressed by an apply element without bound variables) is converted to an application of a function term constructed with the restriction symbol.

<apply><ci>F</ci>
  <domainofapplication>
    <ci>C</ci>
  </domainofapplication>
  <ci>a1</ci>
  <ci>an</ci>
</apply>

may be written as:

<apply>
  <apply><csymbol cd="fns1">restriction</csymbol>
    <ci>F</ci>
    <ci>C</ci>
  </apply>
  <ci>a1</ci>
  <ci>an</ci>
</apply>

F.6.2 Predicate on list

Into an application of the predicate_on_list symbol via the rules Rewrite: n-ary relations and Rewrite: n-ary relations bvar if used with a relation.

Rewrite: n-ary relations

An expression of the form

<apply><lt/>
  <ci>a</ci><ci>b</ci><ci>c</ci><ci>d</ci>
</apply>

rewrites to Strict Content MathML

<apply><csymbol cd="fns2">predicate_on_list</csymbol>
  <csymbol cd="reln1">lt</csymbol>
  <apply><csymbol cd="list1">list</csymbol>
    <ci>a</ci><ci>b</ci><ci>c</ci><ci>d</ci>
  </apply>
</apply>
Rewrite: n-ary relations bvar

An expression of the form

<apply><lt/>
  <bvar><ci>x</ci></bvar>
  <domainofapplication><ci>R</ci></domainofapplication>
  <ci>expression-in-x</ci>
</apply>

where <ci>expression-in-x</ci> is an arbitrary expression involving the bound variable, rewrites to the Strict Content MathML

<apply><csymbol cd="fns2">predicate_on_list</csymbol>
  <csymbol cd="reln1">lt</csymbol>
  <apply><csymbol cd="list1">map</csymbol>
    <ci>R</ci>
    <bind><csymbol cd="fns1">lambda</csymbol>
      <bvar><ci>x</ci></bvar>
      <ci>expression-in-x</ci>
    </bind>
  </apply>
</apply>

The above rules apply to all symbols in classes nary-reln.class and nary-set-reln.class. In the latter case the choice of Content Dictionary to use depends on the type attribute on the symbol, defaulting to set1, but multiset1 should be used if type=multiset.

F.6.3 Apply to list

Into a construction with the apply_to_list symbol via the general rule Rewrite: n-ary domainofapplication for general n-ary operators.

If the argument list is given explicitly, the Rewrite: element rule applies.

Any use of qualifier elements is expressed in Strict Content MathML via explicitly applying the function to a list of arguments using the apply_to_list symbol as shown in the following rule. The rule only considers the domainofapplication qualifier as other qualifiers may be rewritten to domainofapplication as described earlier.

Rewrite: n-ary domainofapplication

An expression of the following form, where <union/> represents any element of the relevant class and <ci>expression-in-x</ci> is an arbitrary expression involving the bound variable(s)

<apply><union/>
  <bvar><ci>x</ci></bvar>
  <domainofapplication><ci>D</ci></domainofapplication>
  <ci>expression-in-x</ci>
</apply>

is rewritten to

<apply><csymbol cd="fns2">apply_to_list</csymbol>
  <csymbol cd="set1">union</csymbol>
  <apply><csymbol cd="list1">map</csymbol>
    <bind><csymbol cd="fns1">lambda</csymbol>
      <bvar><ci>x</ci></bvar>
      <ci>expression-in-x</ci>
    </bind>
    <ci>D</ci>
  </apply>
</apply>

The above rule applies to all symbols in the listed classes. In the case of nary-set.class the choice of Content Dictionary to use depends on the type attribute on the arguments, defaulting to set1, but multiset1 should be used if type=multiset.

Note that the members of the nary-constructor.class, such as vector, use constructor syntax where the arguments and qualifiers are given as children of the element rather than as children of a containing apply. In this case, the above rules apply with the analogous syntactic modifications.

F.6.4 Such that

Into a construction using the suchthat symbol from the set1 content dictionary in an apply with bound variables via the Rewrite: apply bvar domainofapplication rule.

In general, an application involving bound variables and (possibly) domainofapplication is rewritten using the following rule, which makes the domain the first positional argument of the application, and uses the lambda symbol to encode the variable bindings. Certain classes of operator have alternative rules, as described below.

Rewrite: apply bvar domainofapplication

A content MathML expression with bound variables and domainofapplication

        <apply><ci>H</ci>
          <bvar><ci>v1</ci></bvar>
...
          <bvar><ci>vn</ci></bvar>
          <domainofapplication><ci>D</ci></domainofapplication>
          <ci>A1</ci>
...
          <ci>Am</ci>
        </apply>

is rewritten to

        <apply><ci>H</ci>
          <ci>D</ci>
          <bind><csymbol cd="fns1">lambda</csymbol>
            <bvar><ci>v1</ci></bvar>
...
            <bvar><ci>vn</ci></bvar>
            <ci>A1</ci>
          </bind>
...
          <bind><csymbol cd="fns1">lambda</csymbol>
            <bvar><ci>v1</ci></bvar>
...
            <bvar><ci>vn</ci></bvar>
            <ci>Am</ci>
          </bind>
        </apply>

If there is no domainofapplication qualifier the <ci>D</ci> child is omitted.

F.7 Rewrite token elements

Rewrite non-strict token elements

F.7.1 Numbers

Rewrite numbers represented as cn elements where the type attribute is one of e-notation, rational, complex-cartesian, complex-polar, constant as strict cn via rules Rewrite: cn sep, Rewrite: cn based_integer and Rewrite: cn constant.

Rewrite: cn sep

If there are sep children of the cn, then intervening text may be rewritten as cn elements. If the cn element containing sep also has a base attribute, this is copied to each of the cn arguments of the resulting symbol, as shown below.

<cn type="rational" base="b">n<sep/>d</cn>

is rewritten to

<apply><csymbol cd="nums1">rational</csymbol>
  <cn type="integer" base="b">n</cn>
  <cn type="integer" base="b">d</cn>
</apply>

The symbol used in the result depends on the type attribute according to the following table:

type attribute OpenMath Symbol
e-notation bigfloat
rational rational
complex-cartesian complex_cartesian
complex-polar complex_polar

Note: In the case of bigfloat the symbol takes three arguments, <cn type="integer">10</cn> should be inserted as the second argument, denoting the base of the exponent used.

If the type attribute has a different value, or if there is more than one <sep/> element, then the intervening expressions are converted as above, but a system-dependent choice of symbol for the head of the application must be used.

If a base attribute has been used then the resulting expression is not Strict Content MathML, and each of the arguments needs to be recursively processed.

Rewrite: cn based_integer

A cn element with a base attribute other than 10 is rewritten as follows. (A base attribute with value 10 is simply removed.)

<cn type="integer" base="16">FF60</cn>
<apply><csymbol cd="nums1">based_integer</csymbol>
  <cn type="integer">16</cn>
  <cs>FF60</cs>
</apply>

If the original element specified type integer or if there is no type attribute, but the content of the element just consists of the characters [a-zA-Z0-9] and white space then the symbol used as the head in the resulting application should be based_integer as shown. Otherwise it should be based_float.

Rewrite: cn constant

In Strict Content MathML, constants should be represented using csymbol elements. A number of important constants are defined in the nums1 content dictionary. An expression of the form

<cn type="constant">c</cn>

has the Strict Content MathML equivalent

<csymbol cd="nums1">c2</csymbol>

where c2 corresponds to c as specified in the following table.

Content Description OpenMath Symbol
U+03C0 (&pi;) The usual π of trigonometry: approximately 3.141592653... pi
U+2147 (&ExponentialE; or &ee;) The base for natural logarithms: approximately 2.718281828... e
U+2148 (&ImaginaryI; or &ii;) Square root of -1 i
U+03B3 (&gamma;) Euler's constant: approximately 0.5772156649... gamma
U+221E (&infin; or &infty;) Infinity. Proper interpretation varies with context infinity

F.7.2 Token presentation

Rewrite any ci, csymbol or cn containing presentation MathML to semantics elements with rules Rewrite: cn presentation mathml and Rewrite: ci presentation mathml and the analogous rule for csymbol.

Rewrite: cn presentation mathml

If the cn contains Presentation MathML markup, then it may be rewritten to Strict MathML using variants of the rules above where the arguments of the constructor are ci elements annotated with the supplied Presentation MathML.

A cn expression with non-text content of the form

<cn type="rational"><mi>P</mi><sep/><mi>Q</mi></cn>

is transformed to Strict Content MathML by rewriting it to

<apply><csymbol cd="nums1">rational</csymbol>
  <semantics>
    <ci>p</ci>
    <annotation-xml encoding="MathML-Presentation">
      <mi>P</mi>
    </annotation-xml>
  </semantics>
  <semantics>
    <ci>q</ci>
    <annotation-xml encoding="MathML-Presentation">
      <mi>Q</mi>
    </annotation-xml>
  </semantics>
</apply>

Where the identifier names, p and q, (which have to be a text string) should be determined from the presentation MathML content, in a system defined way, perhaps as in the above example by taking the character data of the element ignoring any element markup. Systems doing such rewriting should ensure that constructs using the same Presentation MathML content are rewritten to semantics elements using the same ci, and that conversely constructs that use different MathML should be rewritten to different identifier names (even if the Presentation MathML has the same character data).

A related special case arises when a cn element contains character data not permitted in Strict Content MathML usage, e.g. non-digit, alphabetic characters. Conceptually, this is analogous to a cn element containing a presentation markup mtext element, and could be rewritten accordingly. However, since the resulting annotation would contain no additional rendering information, such instances should be rewritten directly as ci elements, rather than as a semantics construct.

The ci element can contain mglyph elements to refer to characters not currently available in Unicode, or a general presentation construct (see 3.1.8 Summary of Presentation Elements), which is used for rendering (see 4.1.2 Content Expressions).

Rewrite: ci presentation mathml

A ci expression with non-text content of the form

<ci><mi>P</mi></ci>

is transformed to Strict Content MathML by rewriting it to

<semantics>
  <ci>p</ci>
  <annotation-xml encoding="MathML-Presentation">
    <mi>P</mi>
  </annotation-xml>
</semantics>

Where the identifier name, p, (which has to be a text string) should be determined from the presentation MathML content, in a system defined way, perhaps as in the above example by taking the character data of the element ignoring any element markup. Systems doing such rewriting should ensure that constructs using the same Presentation MathML content are rewritten to semantics elements using the same ci, and that conversely constructs that use different MathML should be rewritten to different identifier names (even if the Presentation MathML has the same character data).

The following example encodes an atomic symbol that displays visually as C2 and that, for purposes of content, is treated as a single symbol

<ci>
  <msup><mi>C</mi><mn>2</mn></msup>
</ci>

The Strict Content MathML equivalent is

<semantics>
  <ci>C2</ci>
  <annotation-xml encoding="MathML-Presentation">
    <msup><mi>C</mi><mn>2</mn></msup>
  </annotation-xml>
</semantics>

F.8 Rewrite operators

Rewrite any remaining operator defined in 4.3 Content MathML for Specific Structures to a csymbol referencing the symbol identified in the syntax table by the rule Rewrite: element.

Rewrite: element

For example,

<plus/>

is equivalent to the Strict form

<csymbol cd="arith1">plus</csymbol>

As noted in the descriptions of each operator element, some operators require special case rules to determine the proper choice of symbol. Some cases of particular note are:

  1. The order of the arguments for the selector operator must be rewritten, and the symbol depends on the type of the arguments.

  2. The choice of symbol for the minus operator depends on the number of the arguments, minus or minus.

  3. The choice of symbol for some set operators depends on the values of the type of the arguments.

  4. The choice of symbol for some statistical operators depends on the values of the types of the arguments.

  5. The choice of symbol for the emptyset element depends on context.

F.8.1 Rewrite the minus operator

The minus element can be used as a unary arithmetic operator (e.g. to represent - x), or as a binary arithmetic operator (e.g. to represent x- y).

If it is used with one argument, minus corresponds to the unary_minus symbol.

If it is used with two arguments, minus corresponds to the minus symbol

In both cases, the translation to Strict Content markup is direct, as described in Rewrite: element. It is merely a matter of choosing the symbol that reflects the actual usage.

F.8.2 Rewrite the set operators

When translating to Strict Content Markup, if the type has value multiset, then the in symbol from multiset1 should be used instead.

When translating to Strict Content Markup, if the type has value multiset, then the notin symbol from multiset1 should be used instead.

When translating to Strict Content Markup, if the type has value multiset, then the subset symbol from multiset1 should be used instead.

When translating to Strict Content Markup, if the type has value multiset, then the prsubset symbol from multiset1 should be used instead.

When translating to Strict Content Markup, if the type has value multiset, then the notsubset symbol from multiset1 should be used instead.

When translating to Strict Content Markup, if the type has value multiset, then the notprsubset symbol from multiset1 should be used instead.

When translating to Strict Content Markup, if the type has value multiset, then the setdiff symbol from multiset1 should be used instead.

When translating to Strict Content Markup, if the type has value multiset, then the size symbol from multiset1 should be used instead.

F.8.3 Rewrite the statistical operators

When the mean element is applied to an explicit list of arguments, the translation to Strict Content markup is direct, using the mean symbol from the s_data1 content dictionary, as described in Rewrite: element. When it is applied to a distribution, then the mean symbol from the s_dist1 content dictionary should be used. In the case with qualifiers use Rewrite: n-ary domainofapplication with the same caveat.

When the sdev element is applied to an explicit list of arguments, the translation to Strict Content markup is direct, using the sdev symbol from the s_data1 content dictionary, as described in Rewrite: element. When it is applied to a distribution, then the sdev symbol from the s_dist1 content dictionary should be used. In the case with qualifiers use Rewrite: n-ary domainofapplication with the same caveat.

When the variance element is applied to an explicit list of arguments, the translation to Strict Content markup is direct, using the variance symbol from the s_data1 content dictionary, as described in Rewrite: element. When it is applied to a distribution, then the variance symbol from the s_dist1 content dictionary should be used. In the case with qualifiers use Rewrite: n-ary domainofapplication with the same caveat.

When the median element is applied to an explicit list of arguments, the translation to Strict Content markup is direct, using the median symbol from the s_data1 content dictionary, as described in Rewrite: element.

When the mode element is applied to an explicit list of arguments, the translation to Strict Content markup is direct, using the mode symbol from the s_data1 content dictionary, as described in Rewrite: element.

F.8.4 Rewrite the emptyset operator

In some situations, it may be clear from context that emptyset corresponds to the emptyset symbol from the multiset1 content dictionary. However, as there is no method other than annotation for an author to explicitly indicate this, it is always acceptable to translate to the emptyset symbol from the set1 content dictionary.

F.9 Rewrite attributes

F.9.1 Rewrite the type attribute

At this point, all elements that accept the type, other than ci and csymbol, should have been rewritten into Strict Content Markup equivalents without type attributes, where type information is reflected in the choice of operator symbol. Now rewrite remaining ci and csymbol elements with a type attribute to a strict expression with semantics according to rules Rewrite: ci type annotation and Rewrite: csymbol type annotation.

Rewrite: ci type annotation

In Strict Content, type attributes are represented via semantic attribution. An expression of the form

<ci type="T">n</ci>

is rewritten to

<semantics>
  <ci>n</ci>
  <annotation-xml cd="mathmltypes" name="type" encoding="MathML-Content">
    <ci>T</ci>
  </annotation-xml>
</semantics>

In non-Strict usage csymbol allows the use of a type attribute.

Rewrite: csymbol type annotation

In Strict Content, type attributes are represented via semantic attribution. An expression of the form

<csymbol type="T">symbolname</csymbol>

is rewritten to

<semantics>
  <csymbol>symbolname</csymbol>
  <annotation-xml cd="mathmltypes" name="type" encoding="MathML-Content">
    <ci>T</ci>
  </annotation-xml>
</semantics>

F.9.2 Rewrite definitionURL and encoding attributes

If the definitionURL and encoding attributes on a csymbol element can be interpreted as a reference to a content dictionary (see 4.2.3.2 Non-Strict uses of <csymbol> for details), then rewrite to reference the content dictionary by the cd attribute instead.

F.9.3 Rewrite attributes

Rewrite any element with attributes that are not allowed in strict markup to a semantics construction with the element without these attributes as the first child and the attributes in annotation elements by rule Rewrite: attributes.

A number of content MathML elements such as cn and interval allow attributes to specialize the semantics of the objects they represent. For these cases, special rewrite rules are given on a case-by-case basis in 4.3 Content MathML for Specific Structures. However, content MathML elements also accept attributes shared by all MathML elements, and depending on the context, may also contain attributes from other XML namespaces. Such attributes must be rewritten in alternative form in Strict Content Markup.

Rewrite: attributes

For instance,

<ci class="foo" xmlns:other="http://example.com" other:att="bla">x</ci>

is rewritten to

 <semantics>
   <ci>x</ci>
   <annotation cd="mathmlattr"
name="class" encoding="text/plain">foo</annotation>
     <annotation-xml cd="mathmlattr" name="foreign" encoding="MathML-Content">
       <apply><csymbol cd="mathmlattr">foreign_attribute</csymbol>
         <cs>http://example.com</cs>
         <cs>other</cs>
         <cs>att</cs>
         <cs>bla</cs>
       </apply>
     </annotation-xml>
   </semantics>

For MathML attributes not allowed in Strict Content MathML the content dictionary mathmlattr is referenced, which provides symbols for all attributes allowed on content MathML elements.

G. MathML Index

G.1 Index of elements

a
2.1.6 Attributes Shared by all MathML Elements 3.1.8.2 General Layout Schemata 3.3.1.1 Description 7.4.4 Linking
abs
4.3.7.2 Unary Arithmetic Operators: <factorial/>, <abs/>, <conjugate/>, <arg/>, <real/>, <imaginary/>, <floor/>, <ceiling/>, <exp/>, <minus/>, <root/>
and
4.3.5.5 N-ary Logical Operators: <and/>, <or/>, <xor/> F.3.2 Multiple conditions
annotation
2.1.7 Collapsing Whitespace in Input 2.2.1 Attributes 4.1.5 Strict Content MathML 4.2.3.1 Strict uses of <csymbol> 4.2.8 Attribution via semantics 6. Annotating MathML: semantics 6.1 Annotation keys 6.4 Annotation references 6.5.1 Description 6.6.1 Description 6.6.2 Attributes 6.7.3 Using annotation-xml in HTML documents 6.8.2 Content Markup in Presentation Markup 7.1 Introduction 7.3 Transferring MathML 7.3.2 Recommended Behaviors when Transferring 7.3.3 Discussion F. The Strict Content MathML Transformation F.9.3 Rewrite attributes
annotation-xml
2.2.1 Attributes 3.8 Semantics and Presentation 4.1.5 Strict Content MathML 4.2.3.1 Strict uses of <csymbol> 4.2.8 Attribution via semantics 4.2.10 Encoded Bytes <cbytes> 6. Annotating MathML: semantics 6.1 Annotation keys 6.2 Alternate representations 6.4 Annotation references 6.5.1 Description 6.7.1 Description 6.7.2 Attributes 6.7.3 Using annotation-xml in HTML documents 6.8.2 Content Markup in Presentation Markup 6.9.1 Top-level Parallel Markup 6.9.2 Parallel Markup via Cross-References 7.1 Introduction 7.2.4 Names of MathML Encodings 7.3 Transferring MathML 7.3.2 Recommended Behaviors when Transferring 7.3.3 Discussion 7.4 Combining MathML and Other Formats 7.4.3 Mixing MathML and HTML 7.4.5 MathML and Graphical Markup
apply
4.1.3 Expression Concepts 4.1.5 Strict Content MathML 4.2.1 Numbers <cn> 4.2.5.1 Strict Content MathML 4.2.7.2 An Acyclicity Constraint 4.3.1 Container Markup 4.3.2 Bindings with <apply> 4.3.5 N-ary Operators 4.3.5.1 N-ary Arithmetic Operators: <plus/>, <times/>, <gcd/>, <lcm/> 4.3.5.2 N-ary Sum <sum/> 4.3.5.3 N-ary Product <product/> 4.3.5.5 N-ary Logical Operators: <and/>, <or/>, <xor/> 4.3.5.7 N-ary Set Operators: <union/>, <intersect/>, <cartesianproduct/> 4.3.5.12 N-ary/Unary Arithmetic Operators: <min/>, <max/> 4.3.8.3 Partial Differentiation <partialdiff/> 7.4 Combining MathML and Other Formats F. The Strict Content MathML Transformation F.1 Rewrite non-strict bind F.3 Rewrite to domainofapplication F.3.2 Multiple conditions F.5.2 Quantifiers F.6 Eliminate domainofapplication F.6.1 Restricted function F.6.3 Apply to list F.6.4 Such that
approx
4.3.6.3 Binary Relations: <neq/>, <approx/>, <factorof/>, <tendsto/>
arg
4.3.7.2 Unary Arithmetic Operators: <factorial/>, <abs/>, <conjugate/>, <arg/>, <real/>, <imaginary/>, <floor/>, <ceiling/>, <exp/>, <minus/>, <root/>
bind
4.1.4 Variable Binding 4.1.5 Strict Content MathML 4.2.6.1 Bindings 4.2.6.3 Renaming Bound Variables 4.2.7.3 Structure Sharing and Binding 4.3.1.2 Container Markup for Binding Constructors 4.3.2 Bindings with <apply> 4.3.5 N-ary Operators F. The Strict Content MathML Transformation F.1 Rewrite non-strict bind F.4.3 Lambda expressions F.5.2 Quantifiers
bvar
4.1.4 Variable Binding 4.1.5 Strict Content MathML 4.2.6.1 Bindings 4.2.6.2 Bound Variables 4.2.6.3 Renaming Bound Variables 4.2.7.3 Structure Sharing and Binding 4.3.1.2 Container Markup for Binding Constructors 4.3.2 Bindings with <apply> 4.3.3 Qualifiers 4.3.3.1 Uses of <domainofapplication>, <interval>, <condition>, <lowlimit> and <uplimit> 4.3.3.2 Uses of <degree> 4.3.5.2 N-ary Sum <sum/> 4.3.5.3 N-ary Product <product/> 4.3.8.2 Differentiation <diff/> 4.3.8.3 Partial Differentiation <partialdiff/> 4.3.10.2 Lambda <lambda> 4.3.10.3 Interval <interval> 4.3.10.4 Limits <limit/> 6.8.2 Content Markup in Presentation Markup F. The Strict Content MathML Transformation F.1 Rewrite non-strict bind F.2.1 Derivatives F.3 Rewrite to domainofapplication F.3.1 Intervals F.5.3 Integrals F.5.4 Sums and products F.6.1 Restricted function
card
4.3.7.5 Unary Set Operators: <card/>
cartesianproduct
4.3.5.7 N-ary Set Operators: <union/>, <intersect/>, <cartesianproduct/>
cbytes
4.1.5 Strict Content MathML 4.2.10 Encoded Bytes <cbytes>
ceiling
4.3.7.2 Unary Arithmetic Operators: <factorial/>, <abs/>, <conjugate/>, <arg/>, <real/>, <imaginary/>, <floor/>, <ceiling/>, <exp/>, <minus/>, <root/>
cerror
4.1.5 Strict Content MathML 4.2.9 Error Markup <cerror>
ci
2.1.7 Collapsing Whitespace in Input 3.2.3.1 Description 4.1.3 Expression Concepts 4.1.5 Strict Content MathML 4.2.2 Content Identifiers <ci> 4.2.2.1 Strict uses of <ci> 4.2.2.2 Non-Strict uses of <ci> 4.2.2.3 Rendering Content Identifiers 4.2.3.2 Non-Strict uses of <csymbol> 4.2.6.2 Bound Variables 6.8.1 Presentation Markup in Content Markup F. The Strict Content MathML Transformation F.7.2 Token presentation F.9.1 Rewrite the type attribute
cn
2.1.7 Collapsing Whitespace in Input 3.2.4.1 Description 4.1.3 Expression Concepts 4.1.5 Strict Content MathML 4.2.1 Numbers <cn> 4.2.1.1 Rendering <cn>,<sep/>-Represented Numbers 4.2.1.2 Strict uses of <cn> 4.2.1.3 Non-Strict uses of <cn> 4.2.2.1 Strict uses of <ci> 6.8.1 Presentation Markup in Content Markup F. The Strict Content MathML Transformation F.7.1 Numbers F.7.2 Token presentation F.9.3 Rewrite attributes
codomain
4.3.7.4 Unary Functional Operators: <inverse/>, <ident/>, <domain/>, <codomain/>, <image/>, <ln/>,
compose
4.3.5.4 N-ary Functional Operators: <compose/>
condition
4.3.3 Qualifiers 4.3.3.1 Uses of <domainofapplication>, <interval>, <condition>, <lowlimit> and <uplimit> 4.3.10.1 Quantifiers: <forall/>, <exists/> 4.3.10.4 Limits <limit/> 6.8.2 Content Markup in Presentation Markup F. The Strict Content MathML Transformation F.2.2 Integrals F.3.2 Multiple conditions F.5.2 Quantifiers F.6 Eliminate domainofapplication
conjugate
4.3.7.2 Unary Arithmetic Operators: <factorial/>, <abs/>, <conjugate/>, <arg/>, <real/>, <imaginary/>, <floor/>, <ceiling/>, <exp/>, <minus/>, <root/>
cs
2.1.7 Collapsing Whitespace in Input 4.1.5 Strict Content MathML 4.2.4 String Literals <cs>
csymbol
2.1.7 Collapsing Whitespace in Input 2.2.1 Attributes 4.1.3 Expression Concepts 4.1.5 Strict Content MathML 4.1.6 Content Dictionaries 4.2.3 Content Symbols <csymbol> 4.2.3.1 Strict uses of <csymbol> 4.2.3.2 Non-Strict uses of <csymbol> 4.2.3.3 Rendering Symbols 4.2.9 Error Markup <cerror> 6.8.1 Presentation Markup in Content Markup E.3 The Content MathML Operators F. The Strict Content MathML Transformation F.7.1 Numbers F.7.2 Token presentation F.8 Rewrite operators F.9.1 Rewrite the type attribute F.9.2 Rewrite definitionURL and encoding attributes
curl
4.3.7.7 Unary Vector Calculus Operators: <divergence/>, <grad/>, <curl/>, <laplacian/>
declare
Changes to 4. Content Markup
degree
4.3.3 Qualifiers 4.3.3.2 Uses of <degree> 4.3.7.2 Unary Arithmetic Operators: <factorial/>, <abs/>, <conjugate/>, <arg/>, <real/>, <imaginary/>, <floor/>, <ceiling/>, <exp/>, <minus/>, <root/> 4.3.7.8 Moment <moment/>, <momentabout> 4.3.8.2 Differentiation <diff/> 4.3.8.3 Partial Differentiation <partialdiff/> 6.8.2 Content Markup in Presentation Markup F.2.1 Derivatives
determinant
4.3.7.3 Unary Linear Algebra Operators: <determinant/>, <transpose/>
diff
4.3.2 Bindings with <apply> 4.3.8.2 Differentiation <diff/>
divergence
4.3.7.7 Unary Vector Calculus Operators: <divergence/>, <grad/>, <curl/>, <laplacian/>
divide
4.3.6.1 Binary Arithmetic Operators: <quotient/>, <divide/>, <minus/>, <power/>, <rem/>, <root/>
domain
4.3.7.4 Unary Functional Operators: <inverse/>, <ident/>, <domain/>, <codomain/>, <image/>, <ln/>,
domainofapplication
4.3.3 Qualifiers 4.3.3.1 Uses of <domainofapplication>, <interval>, <condition>, <lowlimit> and <uplimit> 4.3.10.2 Lambda <lambda> F. The Strict Content MathML Transformation F.3 Rewrite to domainofapplication F.3.1 Intervals F.3.2 Multiple conditions F.3.3 Multiple domainofapplications F.4.2 Intervals, vectors, matrices F.4.3 Lambda expressions F.5 Rewrite domainofapplication qualifiers F.5.1 N-ary/unary operators F.5.2 Quantifiers F.5.3 Integrals F.5.4 Sums and products F.6 Eliminate domainofapplication F.6.1 Restricted function F.6.3 Apply to list F.6.4 Such that
emptyset
F.8 Rewrite operators F.8.4 Rewrite the emptyset operator
eq
4.3.5.10 N-ary Arithmetic Relations: <eq/>, <gt/>, <lt/>, <geq/>, <leq/>
equivalent
4.3.6.2 Binary Logical Operators: <implies/>, <equivalent/>
exists
F. The Strict Content MathML Transformation F.5.2 Quantifiers
exp
4.3.7.2 Unary Arithmetic Operators: <factorial/>, <abs/>, <conjugate/>, <arg/>, <real/>, <imaginary/>, <floor/>, <ceiling/>, <exp/>, <minus/>, <root/>
factorial
4.3.7.2 Unary Arithmetic Operators: <factorial/>, <abs/>, <conjugate/>, <arg/>, <real/>, <imaginary/>, <floor/>, <ceiling/>, <exp/>, <minus/>, <root/>
factorof
4.3.6.3 Binary Relations: <neq/>, <approx/>, <factorof/>, <tendsto/>
floor
4.3.7.2 Unary Arithmetic Operators: <factorial/>, <abs/>, <conjugate/>, <arg/>, <real/>, <imaginary/>, <floor/>, <ceiling/>, <exp/>, <minus/>, <root/>
fn
Changes to 4. Content Markup
forall
4.3.10.1 Quantifiers: <forall/>, <exists/> F. The Strict Content MathML Transformation F.5.2 Quantifiers
gcd
4.3.5.1 N-ary Arithmetic Operators: <plus/>, <times/>, <gcd/>, <lcm/>
geq
4.3.5.10 N-ary Arithmetic Relations: <eq/>, <gt/>, <lt/>, <geq/>, <leq/>
grad
4.3.7.7 Unary Vector Calculus Operators: <divergence/>, <grad/>, <curl/>, <laplacian/>
gt
4.3.5.10 N-ary Arithmetic Relations: <eq/>, <gt/>, <lt/>, <geq/>, <leq/>
ident
4.3.7.4 Unary Functional Operators: <inverse/>, <ident/>, <domain/>, <codomain/>, <image/>, <ln/>,
image
4.3.7.4 Unary Functional Operators: <inverse/>, <ident/>, <domain/>, <codomain/>, <image/>, <ln/>,
imaginary
4.3.7.2 Unary Arithmetic Operators: <factorial/>, <abs/>, <conjugate/>, <arg/>, <real/>, <imaginary/>, <floor/>, <ceiling/>, <exp/>, <minus/>, <root/>
img
3.2.1.1 Using images to represent symbols <mglyph/> 7.4.5 MathML and Graphical Markup
implies
4.3.6.2 Binary Logical Operators: <implies/>, <equivalent/>
in
4.3.6.5 Binary Set Operators: <in/>, <notin/>, <notsubset/>, <notprsubset/>, <setdiff/>
int
4.3.8.1 Integral <int/> F.2.2 Integrals F.3.1 Intervals
intersect
4.3.5.7 N-ary Set Operators: <union/>, <intersect/>, <cartesianproduct/>
interval
4.1.5 Strict Content MathML 4.3.1.1 Container Markup for Constructor Symbols 4.3.3 Qualifiers 4.3.3.1 Uses of <domainofapplication>, <interval>, <condition>, <lowlimit> and <uplimit> 4.3.6 Binary Operators 4.3.10.3 Interval <interval> F. The Strict Content MathML Transformation F.2.2 Integrals F.3.1 Intervals F.3.2 Multiple conditions F.4.2 Intervals, vectors, matrices F.6 Eliminate domainofapplication F.9.3 Rewrite attributes
inverse
4.3.7.4 Unary Functional Operators: <inverse/>, <ident/>, <domain/>, <codomain/>, <image/>, <ln/>,
lambda
4.3.1.2 Container Markup for Binding Constructors 4.3.2 Bindings with <apply> 4.3.10.2 Lambda <lambda> F.2.4 Sums and Products F.4.3 Lambda expressions
laplacian
4.3.7.7 Unary Vector Calculus Operators: <divergence/>, <grad/>, <curl/>, <laplacian/>
lcm
4.3.5.1 N-ary Arithmetic Operators: <plus/>, <times/>, <gcd/>, <lcm/>
leq
4.3.5.10 N-ary Arithmetic Relations: <eq/>, <gt/>, <lt/>, <geq/>, <leq/>
limit
4.3.10.4 Limits <limit/>
list
4.2.2.1 Strict uses of <ci> 4.3.5.9 N-ary Set Theoretic Constructors: <set>, <list> F.4.1 Sets and Lists
ln
4.3.7.4 Unary Functional Operators: <inverse/>, <ident/>, <domain/>, <codomain/>, <image/>, <ln/>,
log
4.1.5 Strict Content MathML 4.3.3.3 Uses of <momentabout> and <logbase> 4.3.7.9 Logarithm <log/> , <logbase> F.2.6 Logarithms
logbase
4.3.3 Qualifiers 4.3.3.3 Uses of <momentabout> and <logbase> 4.3.7.9 Logarithm <log/> , <logbase> 6.8.2 Content Markup in Presentation Markup F.2.6 Logarithms
lowlimit
4.3.3 Qualifiers 4.3.3.1 Uses of <domainofapplication>, <interval>, <condition>, <lowlimit> and <uplimit> 4.3.5.2 N-ary Sum <sum/> 4.3.5.3 N-ary Product <product/> 4.3.8.1 Integral <int/> 4.3.10.4 Limits <limit/> 6.8.2 Content Markup in Presentation Markup F. The Strict Content MathML Transformation F.2.2 Integrals F.3.1 Intervals F.3.2 Multiple conditions F.6 Eliminate domainofapplication
lt
4.3.5.10 N-ary Arithmetic Relations: <eq/>, <gt/>, <lt/>, <geq/>, <leq/>
maction
3.1.3.2 Table of argument requirements 3.1.8.6 Enlivening Expressions 3.2.5.6.3 Exception for embellished operators 3.2.7.4 Definition of space-like elements 3.3.4.1 Description 3.5.4.3 Specifying alignment groups 3.7.1 Bind Action to Sub-Expression 3.7.1.1 Attributes 7.4 Combining MathML and Other Formats D.1.3 MathML Extension Mechanisms and Conformance D.3 Attributes for unspecified data
maligngroup
3.1.8.4 Tables and Matrices 3.2.7.1 Description 3.2.7.4 Definition of space-like elements 3.3.4.1 Description 3.5.1.2 Attributes 3.5.4 Alignment Markers <maligngroup/>, <malignmark/> 3.5.4.3 Specifying alignment groups 3.5.4.4 Table cells that are not divided into alignment groups 3.5.4.5 Specifying alignment points using <malignmark/> 3.5.4.7 A simple alignment algorithm 7.4.4 Linking
malignmark
3.1.5.2 Bidirectional Layout in Token Elements 3.1.8.4 Tables and Matrices 3.2.1 Token Element Content Characters, <mglyph/> 3.2.7.4 Definition of space-like elements 3.2.8.1 Description 3.5.1.2 Attributes 3.5.4 Alignment Markers <maligngroup/>, <malignmark/> 3.5.4.3 Specifying alignment groups 3.5.4.5 Specifying alignment points using <malignmark/> 3.5.4.7 A simple alignment algorithm 7.4.4 Linking Changes to 3. Presentation Markup
math
2.1.2 MathML and Namespaces 2.2 The Top-Level <math> Element 2.2.1 Attributes 3.1.3.1 Inferred <mrow>s 3.1.3.2 Table of argument requirements 3.1.5.1 Overall Directionality of Mathematics Formulas 3.1.6 Displaystyle and Scriptlevel 3.1.7.1 Control of Linebreaks 3.2.2 Mathematics style attributes common to token elements 3.2.5.2 Attributes 3.2.5.2.3 Indentation attributes 3.7.1 Bind Action to Sub-Expression 4.2.3.1 Strict uses of <csymbol> 6.7.3 Using annotation-xml in HTML documents 7.2.1 Recognizing MathML in XML 7.2.2 Recognizing MathML in HTML 7.3.1 Basic Transfer Flavor Names and Contents 7.3.2 Recommended Behaviors when Transferring 7.3.3 Discussion 7.4.3 Mixing MathML and HTML 7.5 Using CSS with MathML Changes to 2. MathML Fundamentals
matrix
4.2.2.1 Strict uses of <ci> 4.3.5.8 N-ary Matrix Constructors: <vector/>, <matrix/>, <matrixrow/>
matrixrow
4.3.5.8 N-ary Matrix Constructors: <vector/>, <matrix/>, <matrixrow/>
max
4.3.5.12 N-ary/Unary Arithmetic Operators: <min/>, <max/> F. The Strict Content MathML Transformation F.5.1 N-ary/unary operators
mean
4.3.5.12 N-ary/Unary Arithmetic Operators: <min/>, <max/> 4.3.5.13 N-ary/Unary Statistical Operators: <mean/>, <median/>, <mode/>, <sdev/>, <variance/> F. The Strict Content MathML Transformation F.5.1 N-ary/unary operators F.8.3 Rewrite the statistical operators
median
4.3.5.13 N-ary/Unary Statistical Operators: <mean/>, <median/>, <mode/>, <sdev/>, <variance/> F.8.3 Rewrite the statistical operators
menclose
3.1.3.1 Inferred <mrow>s 3.1.3.2 Table of argument requirements 3.1.7.1 Control of Linebreaks 3.1.8.2 General Layout Schemata 3.3.9.1 Description 3.3.9.2 Attributes 3.3.9.3 Examples 3.6.8.1 Addition and Subtraction
merror
3.1.3.1 Inferred <mrow>s 3.1.3.2 Table of argument requirements 3.1.8.2 General Layout Schemata 3.3.5.1 Description 3.3.5.2 Attributes 4.2.9 Error Markup <cerror> D.2 Handling of Errors
mfenced
3.1.3.2 Table of argument requirements 3.1.7.1 Control of Linebreaks 3.1.8.2 General Layout Schemata 3.2.5.4 Examples with fences and separators 3.3.1.1 Description 3.3.8.1 Description 3.3.8.2 Attributes 3.3.8.3 Examples 3.5.4.3 Specifying alignment groups
mfrac
2.1.5.2.1 Additional notes about units 3.1 Introduction 3.1.3.2 Table of argument requirements 3.1.6 Displaystyle and Scriptlevel 3.1.7.1 Control of Linebreaks 3.1.8.2 General Layout Schemata 3.2.5.6.3 Exception for embellished operators 3.3.2.1 Description 3.3.2.2 Attributes 3.3.4.1 Description 3.3.4.2 Examples 3.3.5.3 Example 7.4 Combining MathML and Other Formats
mfraction (mathml-error)
3.3.5.3 Example
mglyph
3.1.5.2 Bidirectional Layout in Token Elements 3.1.8.1 Token Elements 3.2 Token Elements 3.2.1 Token Element Content Characters, <mglyph/> 3.2.1.1 Using images to represent symbols <mglyph/> 3.2.1.1.1 Description 3.2.1.1.2 Attributes 3.2.1.1.3 Example 3.2.8.1 Description 3.3.4.1 Description 4.2.1.3 Non-Strict uses of <cn> 4.2.3.2 Non-Strict uses of <csymbol> 4.2.4 String Literals <cs> D.1.3 MathML Extension Mechanisms and Conformance F.7.2 Token presentation Changes to 3. Presentation Markup
mi
2.1.7 Collapsing Whitespace in Input 3.1.5.2 Bidirectional Layout in Token Elements 3.1.7.1 Control of Linebreaks 3.1.8.1 Token Elements 3.2 Token Elements 3.2.1.1.1 Description 3.2.2 Mathematics style attributes common to token elements 3.2.3.1 Description 3.2.3.2 Attributes 3.2.3.3 Examples 3.2.8.1 Description 4.2.2.3 Rendering Content Identifiers 4.2.3.3 Rendering Symbols 6.8.1 Presentation Markup in Content Markup 8.2 Mathematical Alphanumeric Symbols
min
4.3.5.12 N-ary/Unary Arithmetic Operators: <min/>, <max/> F. The Strict Content MathML Transformation F.5.1 N-ary/unary operators
minus
4.2.5.1 Strict Content MathML 4.3.6.1 Binary Arithmetic Operators: <quotient/>, <divide/>, <minus/>, <power/>, <rem/>, <root/> 4.3.7.2 Unary Arithmetic Operators: <factorial/>, <abs/>, <conjugate/>, <arg/>, <real/>, <imaginary/>, <floor/>, <ceiling/>, <exp/>, <minus/>, <root/> F. The Strict Content MathML Transformation F.8 Rewrite operators F.8.1 Rewrite the minus operator
mlabeledtr
3.5.2.3 Equation Numbering 3.5.4.1 Removal Notice Changes to 3. Presentation Markup
mlongdiv
3.1.3.2 Table of argument requirements 3.1.8.5 Elementary Math Layout 3.3.9.2 Attributes 3.5 Tabular Math 3.6 Elementary Math 3.6.2.1 Description 3.6.2.2 Attributes 3.6.3.1 Description 3.6.3.2 Attributes 3.6.4.2 Attributes 3.6.5.1 Description 3.6.5.2 Attributes 3.6.7.2 Attributes C.4.2.6 Elementary Math Notation
mmultiscripts
3.1.3.2 Table of argument requirements 3.1.8.3 Script and Limit Schemata 3.2.5.6.3 Exception for embellished operators 3.4.7.1 Description 3.4.7.2 Attributes 3.4.7.3 Examples
mn
2.1.7 Collapsing Whitespace in Input 3.1.5.2 Bidirectional Layout in Token Elements 3.1.7.1 Control of Linebreaks 3.1.8.1 Token Elements 3.2 Token Elements 3.2.1.1.1 Description 3.2.4.1 Description 3.2.4.2 Attributes 3.2.4.4 Numbers that should not be written using <mn> alone 3.6.4.1 Description 3.6.8.1 Addition and Subtraction 4.2.1.1 Rendering <cn>,<sep/>-Represented Numbers 6.8.1 Presentation Markup in Content Markup C.4.2.4 Numbers
mo
2.1.7 Collapsing Whitespace in Input 3.1.4 Elements with Special Behaviors 3.1.5.2 Bidirectional Layout in Token Elements 3.1.6 Displaystyle and Scriptlevel 3.1.7.1 Control of Linebreaks 3.1.8.1 Token Elements 3.2 Token Elements 3.2.1.1.1 Description 3.2.4.1 Description 3.2.5.1 Description 3.2.5.2 Attributes 3.2.5.2.2 Linebreaking attributes 3.2.5.2.3 Indentation attributes 3.2.5.4 Examples with fences and separators 3.2.5.5 Invisible operators 3.2.5.6 Detailed rendering rules for <mo> elements 3.2.5.6.1 The operator dictionary 3.2.5.6.2 Default value of the form attribute 3.2.5.6.3 Exception for embellished operators 3.2.5.7 Stretching of operators, fences and accents 3.2.5.7.3 Horizontal Stretching Rules 3.2.7.2 Attributes 3.2.7.4 Definition of space-like elements 3.2.8.1 Description 3.3.1.1 Description 3.3.1.3.1 <mrow> of one argument 3.3.2.2 Attributes 3.3.4.1 Description 3.3.7.3 Examples 3.3.8.1 Description 3.3.8.2 Attributes 3.4.4.1 Description 3.4.4.2 Attributes 3.4.5.1 Description 3.4.5.2 Attributes 3.4.6.1 Description 3.5.4.2 Description 8.3 Non-Marking Characters Minus B. Operator Dictionary Changes to 3. Presentation Markup
mode
4.3.5.13 N-ary/Unary Statistical Operators: <mean/>, <median/>, <mode/>, <sdev/>, <variance/> F.8.3 Rewrite the statistical operators
moment
4.3.3.2 Uses of <degree> 4.3.3.3 Uses of <momentabout> and <logbase> 4.3.7.8 Moment <moment/>, <momentabout> F.2.7 Moments
momentabout
4.3.3 Qualifiers 4.3.3.3 Uses of <momentabout> and <logbase> 4.3.7.8 Moment <moment/>, <momentabout>
mover
3.1.3.2 Table of argument requirements 3.1.8.3 Script and Limit Schemata 3.2.5.2.1 Dictionary-based attributes 3.2.5.6.3 Exception for embellished operators 3.2.5.7.3 Horizontal Stretching Rules 3.3.4.1 Description 3.4.5.1 Description 3.4.5.2 Attributes 3.4.6.2 Attributes 3.4.6.3 Examples
mpadded
3.1.3.1 Inferred <mrow>s 3.1.3.2 Table of argument requirements 3.1.8.2 General Layout Schemata 3.2.5.6.3 Exception for embellished operators 3.2.7.4 Definition of space-like elements 3.3.4.1 Description 3.3.6.1 Description 3.3.6.2 Attributes 3.3.6.3 Meanings of size and position attributes 3.3.6.4 Examples 3.3.7.1 Description C.4.2.3 Spacing Changes to 3. Presentation Markup
mphantom
3.1.3.1 Inferred <mrow>s 3.1.3.2 Table of argument requirements 3.1.8.2 General Layout Schemata 3.2.5.2.3 Indentation attributes 3.2.5.6.3 Exception for embellished operators 3.2.7.1 Description 3.2.7.4 Definition of space-like elements 3.2.7.5 Legal grouping of space-like elements 3.3.7.1 Description 3.3.7.2 Attributes 3.3.7.3 Examples 3.5.4.3 Specifying alignment groups C.4.2.1 Invisible Operators C.4.2.3 Spacing
mprescripts
3.4.7.1 Description 7.4.4 Linking
mroot
3.1.3.2 Table of argument requirements 3.1.6 Displaystyle and Scriptlevel 3.1.7.1 Control of Linebreaks 3.1.8.2 General Layout Schemata 3.3.3.1 Description 3.3.3.2 Attributes
mrow
2.1.3 Children versus Arguments 2.2 The Top-Level <math> Element 3.1.1 Presentation MathML Structure 3.1.3.1 Inferred <mrow>s 3.1.3.2 Table of argument requirements 3.1.5.1 Overall Directionality of Mathematics Formulas 3.1.7.1 Control of Linebreaks 3.1.8.2 General Layout Schemata 3.2.2 Mathematics style attributes common to token elements 3.2.5.2.1 Dictionary-based attributes 3.2.5.2.3 Indentation attributes 3.2.5.6.2 Default value of the form attribute 3.2.5.6.3 Exception for embellished operators 3.2.5.6.4 Spacing around an operator 3.2.5.7.2 Vertical Stretching Rules 3.2.5.7.4 Rules Common to both Vertical and Horizontal Stretching 3.2.7.4 Definition of space-like elements 3.2.7.5 Legal grouping of space-like elements 3.3.1.1 Description 3.3.1.2 Attributes 3.3.1.3 Proper grouping of sub-expressions using <mrow> 3.3.1.3.1 <mrow> of one argument 3.3.1.3.2 Precise rule for proper grouping 3.3.1.4 Examples 3.3.2.2 Attributes 3.3.3.1 Description 3.3.4.1 Description 3.3.5.1 Description 3.3.6.1 Description 3.3.6.3 Meanings of size and position attributes 3.3.7.1 Description 3.3.7.3 Examples 3.3.8.1 Description 3.3.8.2 Attributes 3.3.8.3 Examples 3.3.9.1 Description 3.3.9.2 Attributes 3.4.7.1 Description 3.5.3.1 Description 3.5.3.2 Attributes 3.5.4.3 Specifying alignment groups 3.6.4.1 Description 3.6.5.1 Description 3.6.6.1 Description 3.6.8.1 Addition and Subtraction 3.6.8.2 Multiplication 4.2.10 Encoded Bytes <cbytes> 6.8.1 Presentation Markup in Content Markup C.4.2.2 Proper Grouping of Sub-expressions Changes to 3. Presentation Markup
ms
2.1.7 Collapsing Whitespace in Input 3.1.5.2 Bidirectional Layout in Token Elements 3.1.8.1 Token Elements 3.2 Token Elements 3.2.1.1.1 Description 3.2.8.1 Description 3.2.8.2 Attributes
mscarries
3.1.3.2 Table of argument requirements 3.1.8.5 Elementary Math Layout 3.6 Elementary Math 3.6.1.1 Description 3.6.5.1 Description 3.6.5.2 Attributes 3.6.6.1 Description 3.6.8.1 Addition and Subtraction
mscarry
3.1.3.1 Inferred <mrow>s 3.1.3.2 Table of argument requirements 3.1.8.5 Elementary Math Layout 3.6 Elementary Math 3.6.5.1 Description 3.6.5.2 Attributes 3.6.6.1 Description 3.6.6.2 Attributes 3.6.8.1 Addition and Subtraction
msgroup
3.1.3.2 Table of argument requirements 3.1.8.5 Elementary Math Layout 3.6 Elementary Math 3.6.1.1 Description 3.6.2.1 Description 3.6.3.1 Description 3.6.3.2 Attributes 3.6.4.2 Attributes 3.6.5.2 Attributes 3.6.7.2 Attributes 3.6.8.2 Multiplication
msline
3.1.8.5 Elementary Math Layout 3.6 Elementary Math 3.6.1.1 Description 3.6.2.1 Description 3.6.7.1 Description 3.6.7.2 Attributes 3.6.8.1 Addition and Subtraction 3.6.8.4 Repeating decimal
mspace
2.1.7 Collapsing Whitespace in Input 3.1.7.1 Control of Linebreaks 3.1.8.1 Token Elements 3.2 Token Elements 3.2.1 Token Element Content Characters, <mglyph/> 3.2.2 Mathematics style attributes common to token elements 3.2.5.2.2 Linebreaking attributes 3.2.5.2.3 Indentation attributes 3.2.7.1 Description 3.2.7.2 Attributes 3.2.7.4 Definition of space-like elements 3.3.4.1 Description 8.3 Non-Marking Characters C.3.1.1 Accessibility tree C.4.2.3 Spacing Changes to 3. Presentation Markup
msqrt
3.1.3.1 Inferred <mrow>s 3.1.3.2 Table of argument requirements 3.1.7.1 Control of Linebreaks 3.1.8.2 General Layout Schemata 3.3.3.1 Description 3.3.3.2 Attributes 3.3.9.2 Attributes
msrow
3.1.3.2 Table of argument requirements 3.1.8.5 Elementary Math Layout 3.6 Elementary Math 3.6.1.1 Description 3.6.4.1 Description 3.6.4.2 Attributes 3.6.5.2 Attributes 3.6.8.2 Multiplication 3.6.8.4 Repeating decimal
mstack
3.1.3.2 Table of argument requirements 3.1.8.5 Elementary Math Layout 3.1.9.2 MathML Full-only Attributes 3.3.4.1 Description 3.5 Tabular Math 3.6 Elementary Math 3.6.1.1 Description 3.6.1.2 Attributes 3.6.2.1 Description 3.6.2.2 Attributes 3.6.3.1 Description 3.6.3.2 Attributes 3.6.4.1 Description 3.6.4.2 Attributes 3.6.5.1 Description 3.6.5.2 Attributes 3.6.7.1 Description 3.6.7.2 Attributes 3.6.8.4 Repeating decimal C.4.2.6 Elementary Math Notation
mstyle
2.1.5.2.1 Additional notes about units 2.1.5.3 Default values of attributes 2.2.1 Attributes 3.1.3.1 Inferred <mrow>s 3.1.3.2 Table of argument requirements 3.1.5.1 Overall Directionality of Mathematics Formulas 3.1.7.1 Control of Linebreaks 3.1.8.2 General Layout Schemata 3.1.9 Attributes common to presentation elements 3.2.2 Mathematics style attributes common to token elements 3.2.5.2 Attributes 3.2.5.2.2 Linebreaking attributes 3.2.5.2.3 Indentation attributes 3.2.5.6.3 Exception for embellished operators 3.2.7.4 Definition of space-like elements 3.3.4.1 Description 3.3.4.2 Examples 3.3.8.2 Attributes 3.5.4.3 Specifying alignment groups 3.6.1.2 Attributes 3.6.4.1 Description Changes to 3. Presentation Markup
msub
3.1.3.2 Table of argument requirements 3.1.8.3 Script and Limit Schemata 3.2.3.1 Description 3.2.5.6.3 Exception for embellished operators 3.4.1.1 Description 3.4.1.2 Attributes 3.4.3.1 Description
msubsup
3.1.3.2 Table of argument requirements 3.1.8.3 Script and Limit Schemata 3.2.5.6.3 Exception for embellished operators 3.4.3.1 Description 3.4.3.2 Attributes 3.4.3.3 Examples 3.4.6.3 Examples 3.4.7.2 Attributes
msup
3.1.3.2 Table of argument requirements 3.1.4 Elements with Special Behaviors 3.1.8.3 Script and Limit Schemata 3.2.3.1 Description 3.2.5.6.3 Exception for embellished operators 3.2.7.5 Legal grouping of space-like elements 3.4.2.1 Description 3.4.2.2 Attributes 3.4.3.1 Description 5.8 Intent Examples
mtable
3.1.3.2 Table of argument requirements 3.1.7.1 Control of Linebreaks 3.1.8.4 Tables and Matrices 3.2.5.7.3 Horizontal Stretching Rules 3.3.4.1 Description 3.5 Tabular Math 3.5.1.1 Description 3.5.1.2 Attributes 3.5.1.3 Examples 3.5.2.1 Description 3.5.2.2 Attributes 3.5.2.3 Equation Numbering 3.5.3.2 Attributes 3.5.4 Alignment Markers <maligngroup/>, <malignmark/> 3.5.4.1 Removal Notice 3.5.4.2 Description 3.5.4.3 Specifying alignment groups 3.5.4.7 A simple alignment algorithm 3.6.1.2 Attributes 4.3.5.8 N-ary Matrix Constructors: <vector/>, <matrix/>, <matrixrow/> 5.8.2 Tables C.4.2.6 Elementary Math Notation C.4.2.8 Tables and Lists
mtd
3.1.3.1 Inferred <mrow>s 3.1.3.2 Table of argument requirements 3.1.8.4 Tables and Matrices 3.2.5.7.2 Vertical Stretching Rules 3.2.5.7.3 Horizontal Stretching Rules 3.3.4.1 Description 3.5 Tabular Math 3.5.1.1 Description 3.5.2.1 Description 3.5.2.3 Equation Numbering 3.5.3.1 Description 3.5.3.2 Attributes 3.5.4.2 Description 3.5.4.3 Specifying alignment groups 3.5.4.7 A simple alignment algorithm Changes to 3. Presentation Markup
mtext
2.1.7 Collapsing Whitespace in Input 3.1.5.2 Bidirectional Layout in Token Elements 3.1.8.1 Token Elements 3.2 Token Elements 3.2.1.1.1 Description 3.2.2.1 Embedding HTML in MathML 3.2.6.1 Description 3.2.6.2 Attributes 3.2.7.1 Description 3.2.7.4 Definition of space-like elements 3.2.8.1 Description 3.5.4.4 Table cells that are not divided into alignment groups 7.4 Combining MathML and Other Formats 7.4.1 Mixing MathML and XHTML 7.4.3 Mixing MathML and HTML Minus 8.4.2 Pseudo-scripts F.7.2 Token presentation
mtr
3.1.3.2 Table of argument requirements 3.1.8.4 Tables and Matrices 3.2.5.7.2 Vertical Stretching Rules 3.3.4.1 Description 3.5 Tabular Math 3.5.1.1 Description 3.5.2.1 Description 3.5.2.2 Attributes 3.5.2.3 Equation Numbering 3.5.3.1 Description 3.5.4.1 Removal Notice 3.5.4.7 A simple alignment algorithm 4.3.5.8 N-ary Matrix Constructors: <vector/>, <matrix/>, <matrixrow/> Changes to 3. Presentation Markup
munder
3.1.3.2 Table of argument requirements 3.1.8.3 Script and Limit Schemata 3.2.5.2.1 Dictionary-based attributes 3.2.5.6.3 Exception for embellished operators 3.2.5.7.3 Horizontal Stretching Rules 3.3.4.1 Description 3.4.4.1 Description 3.4.4.2 Attributes 3.4.5.2 Attributes 3.4.6.2 Attributes 3.4.6.3 Examples
munderover
3.1.3.2 Table of argument requirements 3.1.8.3 Script and Limit Schemata 3.2.5.2.1 Dictionary-based attributes 3.2.5.6.3 Exception for embellished operators 3.2.5.7.3 Horizontal Stretching Rules 3.3.4.1 Description 3.4.6.1 Description 3.4.6.2 Attributes 3.4.6.3 Examples
neq
4.3.6.3 Binary Relations: <neq/>, <approx/>, <factorof/>, <tendsto/>
none/>
3.6.5.1 Description
none
7.4.4 Linking Changes to 3. Presentation Markup
not
4.3.7.1 Unary Logical Operators: <not/>
notin
4.3.6.5 Binary Set Operators: <in/>, <notin/>, <notsubset/>, <notprsubset/>, <setdiff/>
notprsubset
4.3.6.5 Binary Set Operators: <in/>, <notin/>, <notsubset/>, <notprsubset/>, <setdiff/>
notsubset
4.3.6.5 Binary Set Operators: <in/>, <notin/>, <notsubset/>, <notprsubset/>, <setdiff/>
ol>
C.4.2.8 Tables and Lists
OMA (openmath)
4.1.5 Strict Content MathML
OMATP (openmath)
4.1.5 Strict Content MathML
OMATTR (openmath)
4.1.5 Strict Content MathML
OMB (openmath)
4.1.5 Strict Content MathML
OMBIND (openmath)
4.1.5 Strict Content MathML
OMBVAR (openmath)
4.1.5 Strict Content MathML
OME (openmath)
4.1.5 Strict Content MathML
OMF (openmath)
4.1.5 Strict Content MathML
OMFOREIGN (openmath)
4.1.5 Strict Content MathML
OMI (openmath)
4.1.5 Strict Content MathML
OMR (openmath)
4.1.5 Strict Content MathML
OMS (openmath)
4.1.5 Strict Content MathML
OMSTR (openmath)
4.1.5 Strict Content MathML
OMV (openmath)
4.1.5 Strict Content MathML
or
4.3.5.5 N-ary Logical Operators: <and/>, <or/>, <xor/>
otherwise
4.3.1.1 Container Markup for Constructor Symbols 4.3.10.5 Piecewise declaration <piecewise>, <piece>, <otherwise> F.4.4 Piecewise functions
outerproduct
4.3.6.4 Binary Linear Algebra Operators: <vectorproduct/>, <scalarproduct/>, <outerproduct/>
partialdiff
4.3 Content MathML for Specific Structures 4.3.8.3 Partial Differentiation <partialdiff/> F.2.1 Derivatives
piece
4.3.1.1 Container Markup for Constructor Symbols 4.3.10.5 Piecewise declaration <piecewise>, <piece>, <otherwise> F.4.4 Piecewise functions
piecewise
4.3.1.1 Container Markup for Constructor Symbols 4.3.10.5 Piecewise declaration <piecewise>, <piece>, <otherwise> F.4.4 Piecewise functions
plus
4.2.5.1 Strict Content MathML 4.3.5.1 N-ary Arithmetic Operators: <plus/>, <times/>, <gcd/>, <lcm/> 4.3.5.2 N-ary Sum <sum/>
power
4.3.6.1 Binary Arithmetic Operators: <quotient/>, <divide/>, <minus/>, <power/>, <rem/>, <root/>
product
4.3.5.1 N-ary Arithmetic Operators: <plus/>, <times/>, <gcd/>, <lcm/> 4.3.5.3 N-ary Product <product/> F.3.1 Intervals
prsubset
4.3.5.11 N-ary Set Theoretic Relations: <subset/>, <prsubset/>
quotient
4.3.6.1 Binary Arithmetic Operators: <quotient/>, <divide/>, <minus/>, <power/>, <rem/>, <root/>
real
4.3.7.2 Unary Arithmetic Operators: <factorial/>, <abs/>, <conjugate/>, <arg/>, <real/>, <imaginary/>, <floor/>, <ceiling/>, <exp/>, <minus/>, <root/>
reln
Changes to 4. Content Markup
rem
4.3.6.1 Binary Arithmetic Operators: <quotient/>, <divide/>, <minus/>, <power/>, <rem/>, <root/>
root
4.3.3.2 Uses of <degree> 4.3.6.1 Binary Arithmetic Operators: <quotient/>, <divide/>, <minus/>, <power/>, <rem/>, <root/> 4.3.7.2 Unary Arithmetic Operators: <factorial/>, <abs/>, <conjugate/>, <arg/>, <real/>, <imaginary/>, <floor/>, <ceiling/>, <exp/>, <minus/>, <root/>
scalarproduct
4.3.6.4 Binary Linear Algebra Operators: <vectorproduct/>, <scalarproduct/>, <outerproduct/>
sdev
4.3.5.13 N-ary/Unary Statistical Operators: <mean/>, <median/>, <mode/>, <sdev/>, <variance/> F.8.3 Rewrite the statistical operators
selector
4.3.5.6 N-ary Linear Algebra Operators: <selector/> F. The Strict Content MathML Transformation F.8 Rewrite operators
semantics
3.2.5.6.3 Exception for embellished operators 3.2.7.4 Definition of space-like elements 3.5.4.3 Specifying alignment groups 3.8 Semantics and Presentation 4.1.5 Strict Content MathML 4.2.2.2 Non-Strict uses of <ci> 4.2.6.2 Bound Variables 4.2.8 Attribution via semantics 6. Annotating MathML: semantics 6.2 Alternate representations 6.4 Annotation references 6.5.1 Description 6.6.2 Attributes 6.7.2 Attributes 6.8.1 Presentation Markup in Content Markup 6.9 Parallel Markup 6.9.1 Top-level Parallel Markup 6.9.2 Parallel Markup via Cross-References 7.1 Introduction 7.3 Transferring MathML 7.3.2 Recommended Behaviors when Transferring 7.3.3 Discussion 7.4 Combining MathML and Other Formats 7.4.5 MathML and Graphical Markup F. The Strict Content MathML Transformation F.7.2 Token presentation F.9.1 Rewrite the type attribute F.9.3 Rewrite attributes Changes to 6. Annotating MathML: semantics
sep
4.2.1 Numbers <cn> 4.2.1.1 Rendering <cn>,<sep/>-Represented Numbers 4.2.1.3 Non-Strict uses of <cn> F.7.1 Numbers
set
4.1.5 Strict Content MathML 4.2.2.1 Strict uses of <ci> 4.3.5.9 N-ary Set Theoretic Constructors: <set>, <list> F.4.1 Sets and Lists
setdiff
4.3.6.5 Binary Set Operators: <in/>, <notin/>, <notsubset/>, <notprsubset/>, <setdiff/>
share
4.1.5 Strict Content MathML 4.2.7.1 The share element 4.2.7.2 An Acyclicity Constraint 4.2.7.3 Structure Sharing and Binding 4.2.7.4 Rendering Expressions with Structure Sharing Changes to 4. Content Markup
sin
4.1.5 Strict Content MathML
span (xhtml)
6.7.3 Using annotation-xml in HTML documents
subset
4.3.5.11 N-ary Set Theoretic Relations: <subset/>, <prsubset/>
sum
4.2.5.2 Rendering Applications 4.3.5.1 N-ary Arithmetic Operators: <plus/>, <times/>, <gcd/>, <lcm/> 4.3.5.2 N-ary Sum <sum/> F.3.1 Intervals
svg (svg)
7.4.1 Mixing MathML and XHTML
table (xhtml)
3.5 Tabular Math C.4.2.8 Tables and Lists
td (xhtml)
3.5 Tabular Math
tendsto
4.3.6.3 Binary Relations: <neq/>, <approx/>, <factorof/>, <tendsto/> 4.3.10.4 Limits <limit/> F.2.3 Limits
times
4.3.5.1 N-ary Arithmetic Operators: <plus/>, <times/>, <gcd/>, <lcm/> 4.3.5.3 N-ary Product <product/>
tr (xhtml)
3.5 Tabular Math
transpose
4.3.7.3 Unary Linear Algebra Operators: <determinant/>, <transpose/>
union
4.3.5.7 N-ary Set Operators: <union/>, <intersect/>, <cartesianproduct/>
uplimit
4.3.3 Qualifiers 4.3.3.1 Uses of <domainofapplication>, <interval>, <condition>, <lowlimit> and <uplimit> 4.3.5.2 N-ary Sum <sum/> 4.3.5.3 N-ary Product <product/> 4.3.8.1 Integral <int/> 6.8.2 Content Markup in Presentation Markup F. The Strict Content MathML Transformation F.2.2 Integrals F.3.1 Intervals F.3.2 Multiple conditions F.6 Eliminate domainofapplication
variance
4.3.5.13 N-ary/Unary Statistical Operators: <mean/>, <median/>, <mode/>, <sdev/>, <variance/> F.8.3 Rewrite the statistical operators
vector
4.2.2.1 Strict uses of <ci> 4.3.5.8 N-ary Matrix Constructors: <vector/>, <matrix/>, <matrixrow/> F.6.3 Apply to list
vectorproduct
4.3.6.4 Binary Linear Algebra Operators: <vectorproduct/>, <scalarproduct/>, <outerproduct/>
xor
4.3.5.5 N-ary Logical Operators: <and/>, <or/>, <xor/>

H. Working Group Membership and Acknowledgments

This section is non-normative.

H.1 The Math Working Group Membership

The current Math Working Group is chartered from April 2021, until May 2023 and is co-chaired by Neil Soiffer and Brian Kardell (Igalia).

Between 2019 and 2021 the W3C MathML-Refresh Community Group was chaired by Neil Soiffer and developed the initial proposal for MathML Core and requirements for MathML 4.

The W3C Math Working Group responsible for MathML 3 (2012–2013) was co-chaired by David Carlisle of NAG and Patrick Ion of the AMS; Patrick Ion and Robert Miner of Design Science were co-chairs 2006-2011. Contact the co-chairs about membership in the Working Group. For the current membership see the W3C Math home page.

Robert Miner, whose leadership and contributions were essential to the development of the Math Working Group and MathML from their beginnings, died tragically young in December 2011.

Participants in the Working Group responsible for MathML 3.0 have been:

Ron Ausbrooks, Laurent Bernardin, Pierre-Yves Bertholet, Bert Bos, Mike Brenner, Olga Caprotti, David Carlisle, Giorgi Chavchanidze, Ananth Coorg, Stéphane Dalmas, Stan Devitt, Sam Dooley, Margaret Hinchcliffe, Patrick Ion, Michael Kohlhase, Azzeddine Lazrek, Dennis Leas, Paul Libbrecht, Manolis Mavrikis, Bruce Miller, Robert Miner, Chris Rowley, Murray Sargent III, Kyle Siegrist, Andrew Smith, Neil Soiffer, Stephen Watt, Mohamed Zergaoui

All the above persons have been members of the Math Working Group, but some not for the whole life of the Working Group. The 22 authors listed for MathML3 at the start of that specification are those who contributed reworkings and reformulations used in the actual text of the specification. Thus the list includes the principal authors of MathML2 much of whose text was repurposed here. They were, of course, supported and encouraged by the activity and discussions of the whole Math Working Group, and by helpful commentary from outside it, both within the W3C and further afield.

For 2003 to 2006 W3C Math Activity comprised a Math Interest Group, chaired by David Carlisle of NAG and Robert Miner of Design Science.

The W3C Math Working Group (2001–2003) was co-chaired by Patrick Ion of the AMS, and Angel Diaz of IBM from June 2001 to May 2002; afterwards Patrick Ion continued as chair until the end of the WG's extended charter.

Participants in the Working Group responsible for MathML 2.0, second edition were:

Ron Ausbrooks, Laurent Bernardin, Stephen Buswell, David Carlisle, Stéphane Dalmas, Stan Devitt, Max Froumentin, Patrick Ion, Michael Kohlhase, Robert Miner, Luca Padovani, Ivor Philips, Murray Sargent III, Neil Soiffer, Paul Topping, Stephen Watt

Earlier active participants of the W3C Math Working Group (2001 – 2003) have included:

Angel Diaz, Sam Dooley, Barry MacKichan

The W3C Math Working Group was co-chaired by Patrick Ion of the AMS, and Angel Diaz of IBM from July 1998 to December 2000.

Participants in the Working Group responsible for MathML 2.0 were:

Ron Ausbrooks, Laurent Bernardin, Stephen Buswell, David Carlisle, Stéphane Dalmas, Stan Devitt, Angel Diaz, Ben Hinkle, Stephen Hunt, Douglas Lovell, Patrick Ion, Robert Miner, Ivor Philips, Nico Poppelier, Dave Raggett, T.V. Raman, Murray Sargent III, Neil Soiffer, Irene Schena, Paul Topping, Stephen Watt

Earlier active participants of this second W3C Math Working Group have included:

Sam Dooley, Robert Sutor, Barry MacKichan

At the time of release of MathML 1.0 [MathML1] the Math Working Group was co-chaired by Patrick Ion and Robert Miner, then of the Geometry Center. Since that time several changes in membership have taken place. In the course of the update to MathML 1.01, in addition to people listed in the original membership below, corrections were offered by David Carlisle, Don Gignac, Kostya Serebriany, Ben Hinkle, Sebastian Rahtz, Sam Dooley and others.

Participants in the Math Working Group responsible for the finished MathML 1.0 specification were:

Stephen Buswell, Stéphane Dalmas, Stan Devitt, Angel Diaz, Brenda Hunt, Stephen Hunt, Patrick Ion, Robert Miner, Nico Poppelier, Dave Raggett, T.V. Raman, Bruce Smith, Neil Soiffer, Robert Sutor, Paul Topping, Stephen Watt, Ralph Youngen

Others who had been members of the W3C Math WG for periods at earlier stages were:

Stephen Glim, Arnaud Le Hors, Ron Whitney, Lauren Wood, Ka-Ping Yee

H.2 Acknowledgments

The Working Group benefited from the help of many other people in developing the specification for MathML 1.0. We would like to particularly name Barbara Beeton, Chris Hamlin, John Jenkins, Ira Polans, Arthur Smith, Robby Villegas and Joe Yurvati for help and information in assembling the character tables in 8. Characters, Entities and Fonts, as well as Peter Flynn, Russell S.S. O'Connor, Andreas Strotmann, and other contributors to the www-math mailing list for their careful proofreading and constructive criticisms.

As the Math Working Group went on to MathML 2.0, it again was helped by many from the W3C family of Working Groups with whom we necessarily had a great deal of interaction. Outside the W3C, a particularly active relevant front was the interface with the Unicode Technical Committee (UTC) and the NTSC WG2 dealing with ISO 10646. There the STIX project put together a proposal for the addition of characters for mathematical notation to Unicode, and this work was again spearheaded by Barbara Beeton of the AMS. The whole problem ended split into three proposals, two of which were advanced by Murray Sargent of Microsoft, a Math WG member and member of the UTC. But the mathematical community should be grateful for essential help and guidance over a couple of years of refinement of the proposals to help mathematics provided by Kenneth Whistler of Sybase, and a UTC and WG2 member, and by Asmus Freytag, also involved in the UTC and WG2 deliberations, and always a stalwart and knowledgeable supporter of the needs of scientific notation.

I. Changes

I.1 Changes between MathML 3.0 Second Edition and MathML 4.0

Changes to the Frontmatter

  • Changes to the references to match new W3C specification rules, and to use the new W3C CSS formatting style, most notably affecting the table of contents styling.
  • Update the Status of This Document, in particular using https and referencing the GitHub Issues page as required for current W3C publications.
  • Modified the definition of MathML color and length valued attributes to be explicitly based on the syntax used in [MathML-Core] which in turn uses definitions provided by CSS3.
  • Remove the mode and macros attributes from <math>. These have been deprecated since MathML 2. macros had no defined behaviour, and mode can be replaced by suitable use of display. The mathml4-legacy schema makes these valid if needed for legacy applications.
  • Remove the other attribute. This have been deprecated since MathML 2. The mathml4-legacy schema makes this valid if needed for legacy applications.
  • Separate the examples in 3.2.3.3 Examples and 3.2.4.3 Examples to improve their appearance when rendered.
  • Clarify that negative numbers should be marked up with an explicit mo operator in 3.2.4.4 Numbers that should not be written using <mn> alone.
  • Correct the long division notation names in 3.6.2.2 Attributes.
  • Clarify that the horizontal alignment of scripts in 3.4.7 Prescripts and Tensor Indices <mmultiscripts>, <mprescripts/> is towards the base, and add a new example.
  • The deprecated MathML 1 attributes on token elements: fontfamily, fontweight, fontstyle, fontsize, color and background are removed in favor of mathvariant, mathsize, mathcolor and mathbackground. These attributes are also no longer valid on mstyle. The mathml4-legacy schema makes these valid if needed for legacy applications.
  • All the deprecated font related attributes have been dropped from mglyph which is still retained to include images in MathML.
  • The value indentingnewline is no longer valid for mspace (it was equivalent to newline).
  • In MathML table rows and cells must be explicitly marked wih mtr and mtd. The [MathML1] required that an implementation infer the row markup if it was omitted.
  • The use of malignmark has been restricted and simplified, matching the features implemented in existing implementations. The groupalign attribute on table elements is no longer supported.
  • The deprecated mo attributes, fence and separator, have been removed (and are also no longer listed as properties in B. Operator Dictionary). They are still valid in the A.2.6 Legacy MathML schema, but invalid in the default schema.
  • The deprecated element none is replaced by an empty mrow throughout, to match [MathML-Core].
  • The element mlabeledtr and the associated attributes side and minlabelspacing are no longer specified. They are removed from the default schema but valid in the Legacy Schema.
  • To align with MathML-Core, the special extended syntax for mpadded length attributes ( "+" | "-" )? unsigned-number ( ("%" pseudo-unit?) | pseudo-unit | unit | namedspace )? is no longer supported. Most of the functionality is still available using standard CSS length syntax. See Note: mpadded lengths.
  • Renamed Chapter from Mixing Markup Languages for Mathematical Expressions
  • The existing text on using the <semantics> element to mix Presentation and Content MathML is maintained in the second section, although reduced with some non normative text and examples moved to [MathML-Notes].
  • MathML 3 deprecated the use of encoding and definitionURL on <semantics>. They are invalid in this specification. The mathml4-legacy schema may be used if these attributes need to be validated for a legacy application.
  • Some rewriting of the text and adjusting references as the Media type registrations have been moved from an Appendix of this specification to a separate document, [MathML-Media-Types].

Changes to Media Types

  • Media type registrations have been moved from an Appendix of this specification to a separate document, [MathML-Media-Types].
  • The schema was updated to match MathML4
  • The schema was refactored with a new mathml4-core schema matching [MathML-Core] being used as the basis for mathml4-presentation, and a new mathml4-legacy schema that can be used to validate an existing corpus of documents matching [MathML3].
  • The spacing values and priorities of the elements were reviewed and adjusted.
  • A new compact presentation is provided as well as the tabular presentation used previously.
  • The underlying data files were updated to Unicode 14/15/16.
  • This new appendix collects together requirements and issues related to accessibility.
  • These new appendices collect together the syntax tables, mappings to OpenMath and rewrite rules that were previously distributed throughout 4. Content Markup.

J. References

J.1 Normative references

[Bidi]
Unicode Bidirectional Algorithm. Manish Goregaokar मनीष गोरेगांवकर; Robin Leroy. Unicode Consortium. 13 August 2025. Unicode Standard Annex #9. URL: https://www.unicode.org/reports/tr9/tr9-51.html
[CSS-Color-3]
CSS Color Module Level 3. Tantek Çelik; Chris Lilley; David Baron. W3C. 18 January 2022. W3C Recommendation. URL: https://www.w3.org/TR/css-color-3/
[CSS-VALUES-3]
CSS Values and Units Module Level 3. Tab Atkins Jr.; Elika Etemad. W3C. 22 March 2024. CRD. URL: https://www.w3.org/TR/css-values-3/
[CSS21]
Cascading Style Sheets Level 2 Revision 1 (CSS 2.1) Specification. Bert Bos; Tantek Çelik; Ian Hickson; Håkon Wium Lie. W3C. 7 June 2011. W3C Recommendation. URL: https://www.w3.org/TR/CSS2/
[DLMF]
NIST Digital Library of Mathematical Functions, Release 1.1.5. F. W. J. Olver; A. B. Olde Daalhuis; D. W. Lozier; B. I. Schneider; R. F. Boisvert; C. W. Clark; B. R. Miller; B. V. Saunders; H. S. Cohl; M. A. McClain. 2022-03-15. URL: http://dlmf.nist.gov/
[Entities]
XML Entity Definitions for Characters (3rd Edition). Patrick D F Ion; David Carlisle. W3C. 7 March 2023. W3C Recommendation. URL: https://www.w3.org/TR/xml-entity-names/
[HTML]
HTML Standard. Anne van Kesteren; Domenic Denicola; Dominic Farolino; Ian Hickson; Philip Jägenstedt; Simon Pieters. WHATWG. Living Standard. URL: https://html.spec.whatwg.org/multipage/
[IEEE754]
IEEE754.
[INFRA]
Infra Standard. Anne van Kesteren; Domenic Denicola. WHATWG. Living Standard. URL: https://infra.spec.whatwg.org/
[IRI]
Internationalized Resource Identifiers (IRIs). M. Duerst; M. Suignard. IETF. January 2005. Proposed Standard. URL: https://www.rfc-editor.org/rfc/rfc3987
[MathML-AAM]
MathML Accessiblity API Mappings 1.0. W3C. W3C Editor's Draft. URL: https://w3c.github.io/mathml-aam/
[MathML-Core]
MathML Core. David Carlisle; Frédéric Wang. W3C. 24 June 2025. W3C Candidate Recommendation. URL: https://www.w3.org/TR/mathml-core/
[MathML-Media-Types]
MathML Media-type Declarations. W3C. W3C Editor's Draft. URL: https://w3c.github.io/mathml-docs/mathml-media-types/
[Namespaces]
Namespaces in XML 1.0 (Third Edition). Tim Bray; Dave Hollander; Andrew Layman; Richard Tobin; Henry Thompson et al. W3C. 8 December 2009. W3C Recommendation. URL: https://www.w3.org/TR/xml-names/
[OpenMath]
The OpenMath Standard. S. Buswell; O. Caprotti; D. P. Carlisle; M. C. Dewar; M. Gaëtano; M. Kohlhase; J. H. Davenport; P. D. F. Ion; T. Wiesing. The OpenMath Society. July 2019. URL: https://openmath.org/standard/om20-2019-07-01/omstd20.html
[RELAXNG-SCHEMA]
Information technology -- Document Schema Definition Language (DSDL) -- Part 2: Regular-grammar-based validation -- RELAX NG. ISO/IEC. 2008. URL: http://standards.iso.org/ittf/PubliclyAvailableStandards/c052348_ISO_IEC_19757-2_2008(E).zip
[RFC2045]
Multipurpose Internet Mail Extensions (MIME) Part One: Format of Internet Message Bodies. N. Freed; N. Borenstein. IETF. November 1996. Draft Standard. URL: https://www.rfc-editor.org/rfc/rfc2045
[RFC2046]
Multipurpose Internet Mail Extensions (MIME) Part Two: Media Types. N. Freed; N. Borenstein. IETF. November 1996. Draft Standard. URL: https://www.rfc-editor.org/rfc/rfc2046
[RFC2119]
Key words for use in RFCs to Indicate Requirement Levels. S. Bradner. IETF. March 1997. Best Current Practice. URL: https://www.rfc-editor.org/rfc/rfc2119
[RFC3986]
Uniform Resource Identifier (URI): Generic Syntax. T. Berners-Lee; R. Fielding; L. Masinter. IETF. January 2005. Internet Standard. URL: https://www.rfc-editor.org/rfc/rfc3986
[RFC7303]
XML Media Types. H. Thompson; C. Lilley. IETF. July 2014. Proposed Standard. URL: https://www.rfc-editor.org/rfc/rfc7303
[RFC8174]
Ambiguity of Uppercase vs Lowercase in RFC 2119 Key Words. B. Leiba. IETF. May 2017. Best Current Practice. URL: https://www.rfc-editor.org/rfc/rfc8174
[rfc9110]
HTTP Semantics. R. Fielding, Ed.; M. Nottingham, Ed.; J. Reschke, Ed. IETF. June 2022. Internet Standard. URL: https://httpwg.org/specs/rfc9110.html
[SVG]
Scalable Vector Graphics (SVG) 1.1 (Second Edition). Erik Dahlström; Patrick Dengler; Anthony Grasso; Chris Lilley; Cameron McCormack; Doug Schepers; Jonathan Watt; Jon Ferraiolo; Jun Fujisawa; Dean Jackson et al. W3C. 16 August 2011. W3C Recommendation. URL: https://www.w3.org/TR/SVG11/
[UAAG20]
User Agent Accessibility Guidelines (UAAG) 2.0. James Allan; Greg Lowney; Kimberly Patch; Jeanne F Spellman. W3C. 15 December 2015. W3C Working Group Note. URL: https://www.w3.org/TR/UAAG20/
[Unicode]
The Unicode Standard. Unicode Consortium. URL: https://www.unicode.org/versions/latest/
[WCAG21]
Web Content Accessibility Guidelines (WCAG) 2.1. Michael Cooper; Andrew Kirkpatrick; Joshue O'Connor; Alastair Campbell. W3C. 6 May 2025. W3C Recommendation. URL: https://www.w3.org/TR/WCAG21/
[XML]
Extensible Markup Language (XML) 1.0 (Fifth Edition). Tim Bray; Jean Paoli; Michael Sperberg-McQueen; Eve Maler; François Yergeau et al. W3C. 26 November 2008. W3C Recommendation. URL: https://www.w3.org/TR/xml/
[XMLSchemaDatatypes]
XML Schema Part 2: Datatypes Second Edition. Paul V. Biron; Ashok Malhotra. W3C. 28 October 2004. W3C Recommendation. URL: https://www.w3.org/TR/xmlschema-2/
[XMLSchemas]
XML Schema Part 1: Structures Second Edition. Henry Thompson; David Beech; Murray Maloney; Noah Mendelsohn et al. W3C. 28 October 2004. W3C Recommendation. URL: https://www.w3.org/TR/xmlschema-1/

J.2 Informative references

[Concept-Lists]
Maintaining MathML Concept Lists. W3C. note. URL: https://w3c.github.io/mathml-docs/concept-lists/
[MathML-Notes]
Notes on MathML. W3C. note. URL: https://w3c.github.io/mathml-docs/notes-on-mathml/
[MathML-Types]
Structured Types in MathML 2.0. Stan Devitt; Michael Kohlhase; Max Froumentin. W3C. 10 November 2003. W3C Working Group Note. URL: https://www.w3.org/TR/mathml-types/
[MathML1]
Mathematical Markup Language (MathML) 1.0 Specification. Patrick D F Ion; Robert R Miner. W3C. 7 April 1998. W3C Recommendation. URL: https://www.w3.org/TR/1998/REC-MathML-19980407/
[MathML3]
Mathematical Markup Language (MathML) Version 3.0 2nd Edition. David Carlisle; Patrick D F Ion; Robert R Miner. W3C. 10 April 2014. W3C Recommendation. URL: https://www.w3.org/TR/MathML3/
[MathMLforCSS]
MathMLforCSS.
[Modularization]
XHTML™ Modularization 1.1. Daniel Austin; Subramanian Peruvemba; Shane McCarron; Masayasu Ishikawa; Mark Birbeck et al. W3C. 8 October 2008. W3C Recommendation. URL: https://www.w3.org/TR/2008/REC-xhtml-modularization-20081008/
[OMDoc1.2]
OMDoc1.2.
[RDF]
Resource Description Framework (RDF): Concepts and Abstract Syntax. Graham Klyne; Jeremy Carroll. W3C. 10 February 2004. W3C Recommendation. URL: https://www.w3.org/TR/rdf-concepts/
[XHTML]
XHTML™ 1.0 The Extensible HyperText Markup Language (Second Edition). Steven Pemberton. W3C. 27 March 2018. W3C Recommendation. URL: https://www.w3.org/TR/xhtml1/
[XHTML-MathML-SVG]
An XHTML + MathML + SVG Profile. Masayasu Ishikawa. W3C. 9 August 2002. W3C Working Draft. URL: https://www.w3.org/TR/XHTMLplusMathMLplusSVG/
XML Linking Language (XLink) Version 1.0. Steven DeRose; Eve Maler; David Orchard. W3C. 27 June 2001. W3C Recommendation. URL: https://www.w3.org/TR/xlink/