W3C

Document Object Model (DOM) Level 3 Core Specification

Version 1.0

W3C Proposed Recommendation 05 February 2004

This version:
http://www.w3.org/TR/2004/PR-DOM-Level-3-Core-20040205
Latest version:
http://www.w3.org/TR/DOM-Level-3-Core
Previous version:
http://www.w3.org/TR/2003/CR-DOM-Level-3-Core-20031107
Editors:
Arnaud Le Hors, IBM
Philippe Le Hégaret, W3C
Lauren Wood, SoftQuad, Inc. (WG Chair emerita, for DOM Level 1 and 2)
Gavin Nicol, Inso EPS (for DOM Level 1)
Jonathan Robie, Texcel Research and Software AG (for DOM Level 1 and 2)
Mike Champion, Arbortext and Software AG (for DOM Level 1 and 2)
Steve Byrne, JavaSoft (for DOM Level 1 until November 19, 1997)

This document is also available in these non-normative formats: XML file, plain text, PostScript file, PDF file, single HTML file, and ZIP file.


Abstract

This specification defines the Document Object Model Core Level 3, a platform- and language-neutral interface that allows programs and scripts to dynamically access and update the content, structure and style of documents. The Document Object Model Core Level 3 builds on the Document Object Model Core Level 2 [DOM Level 2 Core].

This version enhances DOM Level 2 Core by completing the mapping between DOM and the XML Information Set [XML Information Set], including the support for XML Base [XML Base], adding the ability to attach user information to DOM Nodes or to bootstrap a DOM implementation, providing mechanisms to resolve namespace prefixes or to manipulate "ID" attributes, giving to type information, etc.

Status of this document

This section describes the status of this document at the time of its publication. Other documents may supersede this document. A list of current W3C publications and the latest revision of this technical report can be found in the W3C technical reports index at http://www.w3.org/TR/.

This document contains the Document Object Model Level 3 Core specification and is a Proposed Recommendation. It has been produced as part of the W3C DOM Activity. The authors of this document are the DOM Working Group members. For more information about DOM, readers can also refer to DOM FAQ and DOM Conformance Test Suites.

It is based on the feedback received during the Candidate Recommendation period. An implementation report is available.

W3C Advisory Committee Representatives are now invited to submit their formal review via Web form, as described in the Call for Review. Additional comments may be sent to a Team-only list, dom-review@w3.org. The public is invited to send comments to the public mailing list www-dom@w3.org (public archive). The review period ends on 5 March 2004.

Publication as a Proposed Recommendation does not imply endorsement by the W3C Membership. This is a draft document and may be updated, replaced or obsoleted by other documents at any time. It is inappropriate to cite this document as other than work in progress.

Patent disclosures relevant to this specification may be found on the Working Group's patent disclosure page.

Table of contents

05 February 2004

Expanded Table of Contents

05 February 2004

W3C Copyright Notices and Licenses

Copyright © 2004 World Wide Web Consortium, (Massachusetts Institute of Technology, European Research Consortium for Informatics and Mathematics, Keio University). All Rights Reserved.

This document is published under the W3C® Document Copyright Notice and License. The bindings within this document are published under the W3C® Software Copyright Notice and License. The software license requires "Notice of any changes or modifications to the W3C files, including the date changes were made." Consequently, modified versions of the DOM bindings must document that they do not conform to the W3C standard; in the case of the IDL definitions, the pragma prefix can no longer be 'w3c.org'; in the case of the Java language binding, the package names can no longer be in the 'org.w3c' package.


Note: This section is a copy of the W3C® Document Notice and License and could be found at http://www.w3.org/Consortium/Legal/2002/copyright-documents-20021231.

Copyright © 2004 World Wide Web Consortium, (Massachusetts Institute of Technology, European Research Consortium for Informatics and Mathematics, Keio University). All Rights Reserved.

http://www.w3.org/Consortium/Legal/2002/copyright-documents-20021231

Public documents on the W3C site are provided by the copyright holders under the following license. By using and/or copying this document, or the W3C document from which this statement is linked, you (the licensee) agree that you have read, understood, and will comply with the following terms and conditions:

Permission to copy, and distribute the contents of this document, or the W3C document from which this statement is linked, in any medium for any purpose and without fee or royalty is hereby granted, provided that you include the following on ALL copies of the document, or portions thereof, that you use:

  1. A link or URL to the original W3C document.
  2. The pre-existing copyright notice of the original author, or if it doesn't exist, a notice (hypertext is preferred, but a textual representation is permitted) of the form: "Copyright © [$date-of-document] World Wide Web Consortium, (Massachusetts Institute of Technology, European Research Consortium for Informatics and Mathematics, Keio University). All Rights Reserved. http://www.w3.org/Consortium/Legal/2002/copyright-documents-20021231"
  3. If it exists, the STATUS of the W3C document.

When space permits, inclusion of the full text of this NOTICE should be provided. We request that authorship attribution be provided in any software, documents, or other items or products that you create pursuant to the implementation of the contents of this document, or any portion thereof.

No right to create modifications or derivatives of W3C documents is granted pursuant to this license. However, if additional requirements (documented in the Copyright FAQ) are satisfied, the right to create modifications or derivatives is sometimes granted by the W3C to individuals complying with those requirements.

THIS DOCUMENT IS PROVIDED "AS IS," AND COPYRIGHT HOLDERS MAKE NO REPRESENTATIONS OR WARRANTIES, EXPRESS OR IMPLIED, INCLUDING, BUT NOT LIMITED TO, WARRANTIES OF MERCHANTABILITY, FITNESS FOR A PARTICULAR PURPOSE, NON-INFRINGEMENT, OR TITLE; THAT THE CONTENTS OF THE DOCUMENT ARE SUITABLE FOR ANY PURPOSE; NOR THAT THE IMPLEMENTATION OF SUCH CONTENTS WILL NOT INFRINGE ANY THIRD PARTY PATENTS, COPYRIGHTS, TRADEMARKS OR OTHER RIGHTS.

COPYRIGHT HOLDERS WILL NOT BE LIABLE FOR ANY DIRECT, INDIRECT, SPECIAL OR CONSEQUENTIAL DAMAGES ARISING OUT OF ANY USE OF THE DOCUMENT OR THE PERFORMANCE OR IMPLEMENTATION OF THE CONTENTS THEREOF.

The name and trademarks of copyright holders may NOT be used in advertising or publicity pertaining to this document or its contents without specific, written prior permission. Title to copyright in this document will at all times remain with copyright holders.


Note: This section is a copy of the W3C® Software Copyright Notice and License and could be found at http://www.w3.org/Consortium/Legal/2002/copyright-software-20021231

Copyright © 2004 World Wide Web Consortium, (Massachusetts Institute of Technology, European Research Consortium for Informatics and Mathematics, Keio University). All Rights Reserved.

http://www.w3.org/Consortium/Legal/2002/copyright-software-20021231

This work (and included software, documentation such as READMEs, or other related items) is being provided by the copyright holders under the following license. By obtaining, using and/or copying this work, you (the licensee) agree that you have read, understood, and will comply with the following terms and conditions.

Permission to copy, modify, and distribute this software and its documentation, with or without modification, for any purpose and without fee or royalty is hereby granted, provided that you include the following on ALL copies of the software and documentation or portions thereof, including modifications:

  1. The full text of this NOTICE in a location viewable to users of the redistributed or derivative work.
  2. Any pre-existing intellectual property disclaimers, notices, or terms and conditions. If none exist, the W3C® Short Software Notice should be included (hypertext is preferred, text is permitted) within the body of any redistributed or derivative code.
  3. Notice of any changes or modifications to the files, including the date changes were made. (We recommend you provide URIs to the location from which the code is derived.)

THIS SOFTWARE AND DOCUMENTATION IS PROVIDED "AS IS," AND COPYRIGHT HOLDERS MAKE NO REPRESENTATIONS OR WARRANTIES, EXPRESS OR IMPLIED, INCLUDING BUT NOT LIMITED TO, WARRANTIES OF MERCHANTABILITY OR FITNESS FOR ANY PARTICULAR PURPOSE OR THAT THE USE OF THE SOFTWARE OR DOCUMENTATION WILL NOT INFRINGE ANY THIRD PARTY PATENTS, COPYRIGHTS, TRADEMARKS OR OTHER RIGHTS.

COPYRIGHT HOLDERS WILL NOT BE LIABLE FOR ANY DIRECT, INDIRECT, SPECIAL OR CONSEQUENTIAL DAMAGES ARISING OUT OF ANY USE OF THE SOFTWARE OR DOCUMENTATION.

The name and trademarks of copyright holders may NOT be used in advertising or publicity pertaining to the software without specific, written prior permission. Title to copyright in this software and any associated documentation will at all times remain with copyright holders.

Note: This section is a copy of the W3C® Short Software Notice and could be found at http://www.w3.org/Consortium/Legal/2002/copyright-software-short-notice-20021231

Copyright © 2004 World Wide Web Consortium, (Massachusetts Institute of Technology, European Research Consortium for Informatics and Mathematics, Keio University). All Rights Reserved.

Copyright © [$date-of-software] World Wide Web Consortium, (Massachusetts Institute of Technology, European Research Consortium for Informatics and Mathematics, Keio University). All Rights Reserved. This work is distributed under the W3C® Software License [1] in the hope that it will be useful, but WITHOUT ANY WARRANTY; without even the implied warranty of MERCHANTABILITY or FITNESS FOR A PARTICULAR PURPOSE.

[1] http://www.w3.org/Consortium/Legal/2002/copyright-software-20021231

05 February 2004

What is the Document Object Model?

Editors:
Philippe Le Hégaret, W3C
Lauren Wood, SoftQuad Software Inc. (for DOM Level 2)
Jonathan Robie, Texcel (for DOM Level 1)

Introduction

The Document Object Model (DOM) is an application programming interface (API) for valid HTML and well-formed XML documents. It defines the logical structure of documents and the way a document is accessed and manipulated. In the DOM specification, the term "document" is used in the broad sense - increasingly, XML is being used as a way of representing many different kinds of information that may be stored in diverse systems, and much of this would traditionally be seen as data rather than as documents. Nevertheless, XML presents this data as documents, and the DOM may be used to manage this data.

With the Document Object Model, programmers can build documents, navigate their structure, and add, modify, or delete elements and content. Anything found in an HTML or XML document can be accessed, changed, deleted, or added using the Document Object Model, with a few exceptions - in particular, the DOM interfaces for the XML internal and external subsets have not yet been specified.

As a W3C specification, one important objective for the Document Object Model is to provide a standard programming interface that can be used in a wide variety of environments and applications. The DOM is designed to be used with any programming language. In order to provide a precise, language-independent specification of the DOM interfaces, we have chosen to define the specifications in Object Management Group (OMG) IDL [OMG IDL], as defined in the CORBA 2.3.1 specification [CORBA]. In addition to the OMG IDL specification, we provide language bindings for Java [Java] and ECMAScript [ECMAScript] (an industry-standard scripting language based on JavaScript [JavaScript] and JScript [JScript]). Because of language binding restrictions, a mapping has to be applied between the OMG IDL and the programming language in used. For example, while the DOM uses IDL attributes in the definition of interfaces, Java does not allow interfaces to contain attributes:

// example 1: removing the first child of an element using ECMAScript
mySecondTrElement.removeChild(mySecondTrElement.firstChild);

// example 2: removing the first child of an element using Java
mySecondTrElement.removeChild(mySecondTrElement.getFirstChild());

Note: OMG IDL is used only as a language-independent and implementation-neutral way to specify interfaces. Various other IDLs could have been used ([COM], [Java IDL], [MIDL], ...). In general, IDLs are designed for specific computing environments. The Document Object Model can be implemented in any computing environment, and does not require the object binding runtimes generally associated with such IDLs.

What the Document Object Model is

The DOM is a programming API for documents. It is based on an object structure that closely resembles the structure of the documents it models. For instance, consider this table, taken from an XHTML document:

<table>
  <tbody> 
    <tr> 
      <td>Shady Grove</td>
      <td>Aeolian</td> 
    </tr> 
    <tr>
      <td>Over the River, Charlie</td>        
      <td>Dorian</td> 
    </tr> 
  </tbody>
</table>

A graphical representation of the DOM of the example table, with whitespaces in element content (often abusively called "ignorable whitespace") removed, is:

graphical representation of the DOM of the example table

Figure: graphical representation of the DOM of the example table [SVG 1.0 version]

An example of DOM manipulation using ECMAScript would be:

// access the tbody element from the table element
var myTbodyElement = myTableElement.firstChild;

// access its second tr element
// The list of children starts at 0 (and not 1).
var mySecondTrElement = myTbodyElement.childNodes[1];

// remove its first td element
mySecondTrElement.removeChild(mySecondTrElement.firstChild);

// change the text content of the remaining td element
mySecondTrElement.firstChild.firstChild.data = "Peter";

In the DOM, documents have a logical structure which is very much like a tree; to be more precise, which is like a "forest" or "grove", which can contain more than one tree. Each document contains zero or one doctype nodes, one document element node, and zero or more comments or processing instructions; the document element serves as the root of the element tree for the document. However, the DOM does not specify that documents must be implemented as a tree or a grove, nor does it specify how the relationships among objects be implemented. The DOM is a logical model that may be implemented in any convenient manner. In this specification, we use the term structure model to describe the tree-like representation of a document. We also use the term "tree" when referring to the arrangement of those information items which can be reached by using "tree-walking" methods; (this does not include attributes). One important property of DOM structure models is structural isomorphism: if any two Document Object Model implementations are used to create a representation of the same document, they will create the same structure model, in accordance with the XML Information Set [XML Information Set].

Note: There may be some variations depending on the parser being used to build the DOM. For instance, the DOM may not contain white spaces in element content if the parser discards them.

The name "Document Object Model" was chosen because it is an "object model" in the traditional object oriented design sense: documents are modeled using objects, and the model encompasses not only the structure of a document, but also the behavior of a document and the objects of which it is composed. In other words, the nodes in the above diagram do not represent a data structure, they represent objects, which have functions and identity. As an object model, the DOM identifies:

The structure of SGML documents has traditionally been represented by an abstract data model, not by an object model. In an abstract data model, the model is centered around the data. In object oriented programming languages, the data itself is encapsulated in objects that hide the data, protecting it from direct external manipulation. The functions associated with these objects determine how the objects may be manipulated, and they are part of the object model.

What the Document Object Model is not

This section is designed to give a more precise understanding of the DOM by distinguishing it from other systems that may seem to be like it.

Where the Document Object Model came from

The DOM originated as a specification to allow JavaScript scripts and Java programs to be portable among Web browsers. "Dynamic HTML" was the immediate ancestor of the Document Object Model, and it was originally thought of largely in terms of browsers. However, when the DOM Working Group was formed at W3C, it was also joined by vendors in other domains, including HTML or XML editors and document repositories. Several of these vendors had worked with SGML before XML was developed; as a result, the DOM has been influenced by SGML Groves and the HyTime standard. Some of these vendors had also developed their own object models for documents in order to provide an API for SGML/XML editors or document repositories, and these object models have also influenced the DOM.

Entities and the DOM Core

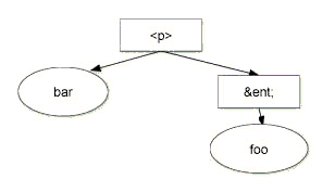
In the fundamental DOM interfaces, there are no objects representing entities. Numeric character references, and references to the pre-defined entities in HTML and XML, are replaced by the single character that makes up the entity's replacement. For example, in:

        <p>This is a dog &amp; a cat</p>        
      

the "&amp;" will be replaced by the character "&", and the text in the P element will form a single continuous sequence of characters. Since numeric character references and pre-defined entities are not recognized as such in CDATA sections, or in the SCRIPT and STYLE elements in HTML, they are not replaced by the single character they appear to refer to. If the example above were enclosed in a CDATA section, the "&amp;" would not be replaced by "&"; neither would the <p> be recognized as a start tag. The representation of general entities, both internal and external, are defined within the extended (XML) interfaces of Document Object Model Core.

Note: When a DOM representation of a document is serialized as XML or HTML text, applications will need to check each character in text data to see if it needs to be escaped using a numeric or pre-defined entity. Failing to do so could result in invalid HTML or XML. Also, implementations should be aware of the fact that serialization into a character encoding ("charset") that does not fully cover ISO 10646 may fail if there are characters in markup or CDATA sections that are not present in the encoding.

DOM Architecture

The DOM specifications provide a set of APIs that forms the DOM API. Each DOM specification defines one or more modules and each module is associated with one feature name. For example, the DOM Core specification (this specification) defines two modules:

The following representation contains all DOM modules, represented using their feature names, defined along the DOM specifications:

A view of the DOM Architecture

Figure: A view of the DOM Architecture [SVG 1.0 version]

A DOM implementation can then implement one (i.e. only the Core module) or more modules depending on the host application. A Web user agent is very likely to implement the "MouseEvents" module, while a server-side application will have no use of this module and will probably not implement it.

Conformance

This section explains the different levels of conformance to DOM Level 3. DOM Level 3 consists of 16 modules. It is possible to conform to DOM Level 3, or to a DOM Level 3 module.

An implementation is DOM Level 3 conformant if it supports the Core module defined in this document (see Fundamental Interfaces: Core module). An implementation conforms to a DOM Level 3 module if it supports all the interfaces for that module and the associated semantics.

Here is the complete list of DOM Level 3.0 modules and the features used by them. Feature names are case-insensitive.

Core module
defines the feature "Core".
XML module
Defines the feature "XML".
Events module
defines the feature "Events" in [DOM Level 3 Events].
User interface Events module
defines the feature "UIEvents" in [DOM Level 3 Events].
Mouse Events module
defines the feature "MouseEvents" in [DOM Level 3 Events].
Text Events module
defines the feature "TextEvents" in [DOM Level 3 Events].
Keyboard Events module
defines the feature "KeyboardEvents" in [DOM Level 3 Events].
Mutation Events module
defines the feature "MutationEvents" in [DOM Level 3 Events].
Mutation name Events module
defines the feature "MutationNameEvents" in [DOM Level 3 Events].
HTML Events module
defines the feature "HTMLEvents" in [DOM Level 3 Events].
Load and Save module
defines the feature "LS" in [DOM Level 3 Load and Save].
Asynchronous load module
defines the feature "LS-Async" in [DOM Level 3 Load and Save].
Validation module
defines the feature "Validation" in [DOM Level 3 Validation].
XPath module
defines the feature "XPath" in [DOM Level 3 XPath].

A DOM implementation must not return true to the DOMImplementation.hasFeature(feature, version) method of the DOMImplementation interface for that feature unless the implementation conforms to that module. The version number for all features used in DOM Level 3.0 is "3.0".

DOM Interfaces and DOM Implementations

The DOM specifies interfaces which may be used to manage XML or HTML documents. It is important to realize that these interfaces are an abstraction - much like "abstract base classes" in C++, they are a means of specifying a way to access and manipulate an application's internal representation of a document. Interfaces do not imply a particular concrete implementation. Each DOM application is free to maintain documents in any convenient representation, as long as the interfaces shown in this specification are supported. Some DOM implementations will be existing programs that use the DOM interfaces to access software written long before the DOM specification existed. Therefore, the DOM is designed to avoid implementation dependencies; in particular,

  1. Attributes defined in the IDL do not imply concrete objects which must have specific data members - in the language bindings, they are translated to a pair of get()/set() functions, not to a data member. Read-only attributes have only a get() function in the language bindings.
  2. DOM applications may provide additional interfaces and objects not found in this specification and still be considered DOM conformant.
  3. Because we specify interfaces and not the actual objects that are to be created, the DOM cannot know what constructors to call for an implementation. In general, DOM users call the createX() methods on the Document class to create document structures, and DOM implementations create their own internal representations of these structures in their implementations of the createX() functions.

The Level 2 interfaces were extended to provide both Level 2 and Level 3 functionality.

DOM implementations in languages other than Java or ECMAScript may choose bindings that are appropriate and natural for their language and run time environment. For example, some systems may need to create a Document3 class which inherits from a Document class and contains the new methods and attributes.

DOM Level 3 does not specify multithreading mechanisms.

05 February 2004

1. Document Object Model Core

Editors:
Arnaud Le Hors, IBM
Philippe Le Hégaret, W3C
Gavin Nicol, Inso EPS (for DOM Level 1)
Lauren Wood, SoftQuad, Inc. (for DOM Level 1)
Mike Champion, Arbortext and Software AG (for DOM Level 1 from November 20, 1997)
Steve Byrne, JavaSoft (for DOM Level 1 until November 19, 1997)

Table of contents

This specification defines a set of objects and interfaces for accessing and manipulating document objects. The functionality specified (the Core functionality) is sufficient to allow software developers and Web script authors to access and manipulate parsed HTML [HTML 4.01] and XML [XML 1.0] content inside conforming products. The DOM Core API also allows creation and population of a Document object using only DOM API calls. A solution for loading a Document and saving it persistently is proposed in [DOM Level 3 Load and Save].

1.1 Overview of the DOM Core Interfaces

1.1.1 The DOM Structure Model

The DOM presents documents as a hierarchy of Node objects that also implement other, more specialized interfaces. Some types of nodes may have child nodes of various types, and others are leaf nodes that cannot have anything below them in the document structure. For XML and HTML, the node types, and which node types they may have as children, are as follows:

The DOM also specifies a NodeList interface to handle ordered lists of Nodes, such as the children of a Node, or the elements returned by the Element.getElementsByTagNameNS(namespaceURI, localName) method, and also a NamedNodeMap interface to handle unordered sets of nodes referenced by their name attribute, such as the attributes of an Element. NodeList and NamedNodeMap objects in the DOM are live; that is, changes to the underlying document structure are reflected in all relevant NodeList and NamedNodeMap objects. For example, if a DOM user gets a NodeList object containing the children of an Element, then subsequently adds more children to that element (or removes children, or modifies them), those changes are automatically reflected in the NodeList, without further action on the user's part. Likewise, changes to a Node in the tree are reflected in all references to that Node in NodeList and NamedNodeMap objects.

Finally, the interfaces Text, Comment, and CDATASection all inherit from the CharacterData interface.

1.1.2 Memory Management

Most of the APIs defined by this specification are interfaces rather than classes. That means that an implementation need only expose methods with the defined names and specified operation, not implement classes that correspond directly to the interfaces. This allows the DOM APIs to be implemented as a thin veneer on top of legacy applications with their own data structures, or on top of newer applications with different class hierarchies. This also means that ordinary constructors (in the Java or C++ sense) cannot be used to create DOM objects, since the underlying objects to be constructed may have little relationship to the DOM interfaces. The conventional solution to this in object-oriented design is to define factory methods that create instances of objects that implement the various interfaces. Objects implementing some interface "X" are created by a "createX()" method on the Document interface; this is because all DOM objects live in the context of a specific Document.

The Core DOM APIs are designed to be compatible with a wide range of languages, including both general-user scripting languages and the more challenging languages used mostly by professional programmers. Thus, the DOM APIs need to operate across a variety of memory management philosophies, from language bindings that do not expose memory management to the user at all, through those (notably Java) that provide explicit constructors but provide an automatic garbage collection mechanism to automatically reclaim unused memory, to those (especially C/C++) that generally require the programmer to explicitly allocate object memory, track where it is used, and explicitly free it for re-use. To ensure a consistent API across these platforms, the DOM does not address memory management issues at all, but instead leaves these for the implementation. Neither of the explicit language bindings defined by the DOM API (for ECMAScript and Java) require any memory management methods, but DOM bindings for other languages (especially C or C++) may require such support. These extensions will be the responsibility of those adapting the DOM API to a specific language, not the DOM Working Group.

1.1.3 Naming Conventions

While it would be nice to have attribute and method names that are short, informative, internally consistent, and familiar to users of similar APIs, the names also should not clash with the names in legacy APIs supported by DOM implementations. Furthermore, both OMG IDL [OMG IDL] and ECMAScript [ECMAScript] have significant limitations in their ability to disambiguate names from different namespaces that make it difficult to avoid naming conflicts with short, familiar names. So, DOM names tend to be long and descriptive in order to be unique across all environments.

The Working Group has also attempted to be internally consistent in its use of various terms, even though these may not be common distinctions in other APIs. For example, the DOM API uses the method name "remove" when the method changes the structural model, and the method name "delete" when the method gets rid of something inside the structure model. The thing that is deleted is not returned. The thing that is removed may be returned, when it makes sense to return it.

1.1.4 Inheritance vs. Flattened Views of the API

The DOM Core APIs present two somewhat different sets of interfaces to an XML/HTML document: one presenting an "object oriented" approach with a hierarchy of inheritance, and a "simplified" view that allows all manipulation to be done via the Node interface without requiring casts (in Java and other C-like languages) or query interface calls in COM environments. These operations are fairly expensive in Java and COM, and the DOM may be used in performance-critical environments, so we allow significant functionality using just the Node interface. Because many other users will find the inheritance hierarchy easier to understand than the "everything is a Node" approach to the DOM, we also support the full higher-level interfaces for those who prefer a more object-oriented API.

In practice, this means that there is a certain amount of redundancy in the API. The Working Group considers the "inheritance" approach the primary view of the API, and the full set of functionality on Node to be "extra" functionality that users may employ, but that does not eliminate the need for methods on other interfaces that an object-oriented analysis would dictate. (Of course, when the O-O analysis yields an attribute or method that is identical to one on the Node interface, we don't specify a completely redundant one.) Thus, even though there is a generic Node.nodeName attribute on the Node interface, there is still a Element.tagName attribute on the Element interface; these two attributes must contain the same value, but the it is worthwhile to support both, given the different constituencies the DOM API must satisfy.

1.2 Basic types

To ensure interoperability, this specification specifies the following basic types used in various DOM modules. Even though the DOM uses the basic types in the interfaces, bindings may use different types and normative bindings are only given for Java and ECMAScript in this specification.

1.2.1 The DOMString type

The DOMString type is used to store [Unicode] characters as a sequence of 16-bit units using UTF-16 as defined in [Unicode] and Amendment 1 of [ISO/IEC 10646].

Characters are fully normalized as defined in appendix B of [XML 1.1] if:

Note that, with the exceptions of Document.normalizeDocument() and Node.normalize(), manipulating characters using DOM methods does not guarantee to preserve a fully-normalized text.

Type Definition DOMString

A DOMString is a sequence of 16-bit units.


IDL Definition
valuetype DOMString sequence<unsigned short>;

The UTF-16 encoding was chosen because of its widespread industry practice. Note that for both HTML and XML, the document character set (and therefore the notation of numeric character references) is based on UCS [ISO/IEC 10646]. A single numeric character reference in a source document may therefore in some cases correspond to two 16-bit units in a DOMString (a high surrogate and a low surrogate). For issues related to string comparisons, refer to String comparisons in the DOM.

For Java and ECMAScript, DOMString is bound to the String type because both languages also use UTF-16 as their encoding.

Note: As of August 2000, the OMG IDL specification ([OMG IDL]) included a wstring type. However, that definition did not meet the interoperability criteria of the DOM API since it relied on negotiation to decide the width and encoding of a character.

1.2.2 The DOMTimeStamp type

The DOMTimeStamp type is used to store an absolute or relative time.

Type Definition DOMTimeStamp

A DOMTimeStamp represents a number of milliseconds.


IDL Definition
typedef unsigned long long DOMTimeStamp;

For Java, DOMTimeStamp is bound to the long type. For ECMAScript, DOMTimeStamp is bound to the Date type because the range of the integer type is too small.

1.2.3 The DOMUserData type

The DOMUserData type is used to store application data.

Type Definition DOMUserData

A DOMUserData represents a reference to application data.


IDL Definition
typedef any DOMUserData;

For Java, DOMUserData is bound to the Object type. For ECMAScript, DOMUserData is bound to any type.

1.2.4 The DOMObject type

The DOMObject type is used to represent an object.

Type Definition DOMObject

A DOMObject represents an object reference.


IDL Definition
typedef Object DOMObject;

For Java and ECMAScript, DOMObject is bound to the Object type.

1.3 General considerations

1.3.1 String comparisons in the DOM

The DOM has many interfaces that imply string matching. For XML, string comparisons are case-sensitive and performed with a binary comparison of the 16-bit units of the DOMStrings. However, for case-insensitive markup languages, such as HTML 4.01 or earlier, these comparisons are case-insensitive where appropriate.

Note that HTML processors often perform specific case normalizations (canonicalization) of the markup before the DOM structures are built. This is typically using uppercase for element names and lowercase for attribute names. For this reason, applications should also compare element and attribute names returned by the DOM implementation in a case-insensitive manner.

The character normalization, i.e. transforming into their fully normalized form as as defined in [XML 1.1], is assumed to happen at serialization time. The DOM Level 3 Load and Save module [DOM Level 3 Load and Save] provides a serialization mechanism (see the DOMSerializer interface, section 2.3.1) and uses the DOMConfiguration parameters "normalize-characters" and "check-character-normalization" to assure that text is fully normalized [XML 1.1]. Other serialization mechanisms built on top of the DOM Level 3 Core also have to assure that text is fully normalized.

1.3.2 DOM URIs

The DOM specification relies on DOMString values as resource identifiers, such that the following conditions are met:

  1. An absolute identifier absolutely identifies a resource on the Web;
  2. Simple string equality establishes equality of absolute resource identifiers, and no other equivalence of resource identifiers is considered significant to the DOM specification;
  3. A relative identifier is easily detected and made absolute relative to an absolute identifier;
  4. Retrieval of content of a resource may be accomplished where required.

The term "absolute URI" refers to a complete resource identifier and the term "relative URI" refers to an incomplete resource identifier.

Within the DOM specifications, these identifiers are called URIs, "Uniform Resource Identifiers", but this is meant abstractly. The DOM implementation does not necessarily process its URIs according to the URI specification [IETF RFC 2396]. Generally the particular form of these identifiers must be ignored.

When is not possible to completely ignore the type of a DOM URI, either because a relative identifier must be made absolute or because content must be retrieved, the DOM implementation must at least support identifier types appropriate to the content being processed. [HTML 4.01], [XML 1.0], and associated namespace specification [XML Namespaces] rely on [IETF RFC 2396] to determine permissible characters and resolving relative URIs. Other specifications such as namespaces in XML 1.1 [XML Namespaces 1.1] may rely on alternative resource identifier types that may, for example, include non-ASCII characters, necessitating support for alternative resource identifier types where required by applicable specifications.

1.3.3 XML Namespaces

DOM Level 2 and 3 support XML namespaces [XML Namespaces] by augmenting several interfaces of the DOM Level 1 Core to allow creating and manipulating elements and attributes associated to a namespace. When [XML 1.1] is in use (see Document.xmlVersion), DOM Level 3 also supports [XML Namespaces 1.1].

As far as the DOM is concerned, special attributes used for declaring XML namespaces are still exposed and can be manipulated just like any other attribute. However, nodes are permanently bound to namespace URIs as they get created. Consequently, moving a node within a document, using the DOM, in no case results in a change of its namespace prefix or namespace URI. Similarly, creating a node with a namespace prefix and namespace URI, or changing the namespace prefix of a node, does not result in any addition, removal, or modification of any special attributes for declaring the appropriate XML namespaces. Namespace validation is not enforced; the DOM application is responsible. In particular, since the mapping between prefixes and namespace URIs is not enforced, in general, the resulting document cannot be serialized naively. For example, applications may have to declare every namespace in use when serializing a document.

In general, the DOM implementation (and higher) doesn't perform any URI normalization or canonicalization. The URIs given to the DOM are assumed to be valid (e.g., characters such as white spaces are properly escaped), and no lexical checking is performed. Absolute URI references are treated as strings and compared literally. How relative namespace URI references are treated is undefined. To ensure interoperability only absolute namespace URI references (i.e., URI references beginning with a scheme name and a colon) should be used. Applications should use the value null as the namespaceURI parameter for methods if they wish to have no namespace. In programming languages where empty strings can be differentiated from null, empty strings, when given as a namespace URI, are converted to null. This is true even though the DOM does no lexical checking of URIs.

Note: Element.setAttributeNS(null, ...) puts the attribute in the per-element-type partitions as defined in XML Namespace Partitions in [XML Namespaces].

Note: In the DOM, all namespace declaration attributes are by definition bound to the namespace URI: "http://www.w3.org/2000/xmlns/". These are the attributes whose namespace prefix or qualified name is "xmlns" as introduced in [XML Namespaces 1.1].

In a document with no namespaces, the child list of an EntityReference node is always the same as that of the corresponding Entity. This is not true in a document where an entity contains unbound namespace prefixes. In such a case, the descendants of the corresponding EntityReference nodes may be bound to different namespace URIs, depending on where the entity references are. Also, because, in the DOM, nodes always remain bound to the same namespace URI, moving such EntityReference nodes can lead to documents that cannot be serialized. This is also true when the DOM Level 1 method Document.createEntityReference(name) is used to create entity references that correspond to such entities, since the descendants of the returned EntityReference are unbound. While DOM Level 3 does have support for the resolution of namespace prefixes, use of such entities and entity references should be avoided or used with extreme care.

The "NS" methods, such as Document.createElementNS(namespaceURI, qualifiedName) and Document.createAttributeNS(namespaceURI, qualifiedName), are meant to be used by namespace aware applications. Simple applications that do not use namespaces can use the DOM Level 1 methods, such as Document.createElement(tagName) and Document.createAttribute(name). Elements and attributes created in this way do not have any namespace prefix, namespace URI, or local name.

Note: DOM Level 1 methods are namespace ignorant. Therefore, while it is safe to use these methods when not dealing with namespaces, using them and the new ones at the same time should be avoided. DOM Level 1 methods solely identify attribute nodes by their Node.nodeName. On the contrary, the DOM Level 2 methods related to namespaces, identify attribute nodes by their Node.namespaceURI and Node.localName. Because of this fundamental difference, mixing both sets of methods can lead to unpredictable results. In particular, using Element.setAttributeNS(namespaceURI, qualifiedName, value), an element may have two attributes (or more) that have the same Node.nodeName, but different Node.namespaceURIs. Calling Element.getAttribute(name) with that nodeName could then return any of those attributes. The result depends on the implementation. Similarly, using Element.setAttributeNode(newAttr), one can set two attributes (or more) that have different Node.nodeNames but the same Node.prefix and Node.namespaceURI. In this case Element.getAttributeNodeNS(namespaceURI, localName) will return either attribute, in an implementation dependent manner. The only guarantee in such cases is that all methods that access a named item by its nodeName will access the same item, and all methods which access a node by its URI and local name will access the same node. For instance, Element.setAttribute(name, value) and Element.setAttributeNS(namespaceURI, qualifiedName, value) affect the node that Element.getAttribute(name) and Element.getAttributeNS(namespaceURI, localName), respectively, return.

1.3.4 Base URIs

The DOM Level 3 adds support for the [base URI] property defined in [XML Information Set] by providing a new attribute on the Node interface that exposes this information. However, unlike the Node.namespaceURI attribute, the Node.baseURI attribute is not a static piece of information that every node carries. Instead, it is a value that is dynamically computed according to [XML Base]. This means its value depends on the location of the node in the tree and moving the node from one place to another in the tree may affect its value. Other changes, such as adding or changing an xml:base attribute on the node being queried or one of its ancestors may also affect its value.

One consequence of this it that when external entity references are expanded while building a Document one may need to add, or change, an xml:base attribute to the Element nodes originally contained in the entity being expanded so that the Node.baseURI returns the correct value. In the case of ProcessingInstruction nodes originally contained in the entity being expanded the information is lost. [DOM Level 3 Load and Save] handles elements as described here and generates a warning in the latter case.

1.3.5 Mixed DOM implementations

As new XML vocabularies are developed, those defining the vocabularies are also beginning to define specialized APIs for manipulating XML instances of those vocabularies. This is usually done by extending the DOM to provide interfaces and methods that perform operations frequently needed by their users. For example, the MathML [MathML 2.0] and SVG [SVG 1.1] specifications have developed DOM extensions to allow users to manipulate instances of these vocabularies using semantics appropriate to images and mathematics, respectively, as well as the generic DOM XML semantics. Instances of SVG or MathML are often embedded in XML documents conforming to a different schema such as XHTML.

While the Namespaces in XML specification [XML Namespaces] provides a mechanism for integrating these documents at the syntax level, it has become clear that the DOM Level 2 Recommendation [DOM Level 2 Core] is not rich enough to cover all the issues that have been encountered in having these different DOM implementations be used together in a single application. DOM Level 3 deals with the requirements brought about by embedding fragments written according to a specific markup language (the embedded component) in a document where the rest of the markup is not written according to that specific markup language (the host document). It does not deal with fragments embedded by reference or linking.

A DOM implementation supporting DOM Level 3 Core should be able to collaborate with subcomponents implementing specific DOMs to assemble a compound document that can be traversed and manipulated via DOM interfaces as if it were a seamless whole.

The normal typecast operation on an object should support the interfaces expected by legacy code for a given document type. Typecasting techniques may not be adequate for selecting between multiple DOM specializations of an object which were combined at run time, because they may not all be part of the same object as defined by the binding's object model. Conflicts are most obvious with the Document object, since it is shared as owner by the rest of the document. In a homogeneous document, elements rely on the Document for specialized services and construction of specialized nodes. In a heterogeneous document, elements from different modules expect different services and APIs from the same Document object, since there can only be one owner and root of the document hierarchy.

1.3.6 DOM Features

Each DOM module defines one or more features, as listed in the conformance section (Conformance). Features are case-insensitive and are also defined for a specific set of versions. For example, this specification defines the features "Core" and "XML", for the version "3.0". Versions "1.0" and "2.0" can also be used for features defined in the corresponding DOM Levels. To avoid possible conflicts, as a convention, names referring to features defined outside the DOM specification should be made unique. Applications could then request for features to be supported by a DOM implementation using the methods DOMImplementationSource.getDOMImplementation(features) or DOMImplementationSource.getDOMImplementationList(features), check the features supported by a DOM implementation using the method DOMImplementation.hasFeature(feature, version), or by a specific node using Node.isSupported(feature, version). Note that when using the methods that take a feature and a version as parameters, applications can use null or empty string for the version parameter if they don't wish to specify a particular version for the specified feature.

Up to the DOM Level 2 modules, all interfaces, that were an extension of existing ones, were accessible using binding-specific casting mechanisms if the feature associated to the extension was supported. For example, an instance of the EventTarget interface could be obtained from an instance of the Node interface if the feature "Events" was supported by the node.

As discussed Mixed DOM implementations, DOM Level 3 Core should be able to collaborate with subcomponents implementing specific DOMs. For that effect, the methods DOMImplementation.getFeature(feature, version) and Node.getFeature(feature, version) were introduced. In the case of DOMImplementation.hasFeature(feature, version) and Node.isSupported(feature, version), if a plus sign "+" is prepended to any feature name, implementations are considered in which the specified feature may not be directly castable but would require discovery through DOMImplementation.getFeature(feature, version) and Node.getFeature(feature, version). Without a plus, only features whose interfaces are directly castable are considered.

// example 1, without prepending the "+"
if (myNode.isSupported("Events", "3.0")) {
    EventTarget evt = (EventTarget) myNode;
    // ...
}
// example 2, with the "+"
if (myNode.isSupported("+Events", "3.0")) {
    // (the plus sign "+" is irrelevant for the getFeature method itself
    // and is ignored by this method anyway)
    EventTarget evt = (EventTarget) myNode.getFeature("Events", "3.0");
    // ...
}

1.3.7 Bootstrapping

Because previous versions of the DOM specification only defined a set of interfaces, applications had to rely on some implementation dependent code to start from. However, hard-coding the application to a specific implementation prevents the application from running on other implementations and from using the most-suitable implementation of the environment. At the same time, implementations may also need to load modules or perform other setup to efficiently adapt to different and sometimes mutually-exclusive feature sets.

To solve these problems this specification introduces a DOMImplementationRegistry object with a function that lets an application find implementations, based on the specific features it requires. How this object is found and what it exactly looks like is not defined here, because this cannot be done in a language-independent manner. Instead, each language binding defines its own way of doing this. See Java Language Binding and ECMAScript Language Binding for specifics.

In all cases, though, the DOMImplementationRegistry provides a getDOMImplementation method accepting a features string, which is passed to every known DOMImplementationSource until a suitable DOMImplementation is found and returned. The DOMImplementationRegistry also provides a getDOMImplementationList method accepting a features string, which is passed to every known DOMImplementationSource, and returns a list of suitable DOMImplementations. Those two methods are the same as the ones found on the DOMImplementationSource interface.

Any number of DOMImplementationSource objects can be registered. A source may return one or more DOMImplementation singletons or construct new DOMImplementation objects, depending upon whether the requested features require specialized state in the DOMImplementation object.

1.4 Fundamental Interfaces: Core module

The interfaces within this section are considered fundamental, and must be fully implemented by all conforming implementations of the DOM, including all HTML DOM implementations [DOM Level 2 HTML], unless otherwise specified.

A DOM application may use the DOMImplementation.hasFeature(feature, version) method with parameter values "Core" and "3.0" (respectively) to determine whether or not this module is supported by the implementation. Any implementation that conforms to DOM Level 3 or a DOM Level 3 module must conform to the Core module. Please refer to additional information about conformance in this specification. The DOM Level 3 Core module is backward compatible with the DOM Level 2 Core [DOM Level 2 Core] module, i.e. a DOM Level 3 Core implementation who returns true for "Core" with the version number "3.0" must also return true for this feature when the version number is "2.0", "" or, null.

Exception DOMException

DOM operations only raise exceptions in "exceptional" circumstances, i.e., when an operation is impossible to perform (either for logical reasons, because data is lost, or because the implementation has become unstable). In general, DOM methods return specific error values in ordinary processing situations, such as out-of-bound errors when using NodeList.

Implementations should raise other exceptions under other circumstances. For example, implementations should raise an implementation-dependent exception if a null argument is passed when null was not expected.

Some languages and object systems do not support the concept of exceptions. For such systems, error conditions may be indicated using native error reporting mechanisms. For some bindings, for example, methods may return error codes similar to those listed in the corresponding method descriptions.


IDL Definition
exception DOMException {
  unsigned short   code;
};
// ExceptionCode
const unsigned short      INDEX_SIZE_ERR                 = 1;
const unsigned short      DOMSTRING_SIZE_ERR             = 2;
const unsigned short      HIERARCHY_REQUEST_ERR          = 3;
const unsigned short      WRONG_DOCUMENT_ERR             = 4;
const unsigned short      INVALID_CHARACTER_ERR          = 5;
const unsigned short      NO_DATA_ALLOWED_ERR            = 6;
const unsigned short      NO_MODIFICATION_ALLOWED_ERR    = 7;
const unsigned short      NOT_FOUND_ERR                  = 8;
const unsigned short      NOT_SUPPORTED_ERR              = 9;
const unsigned short      INUSE_ATTRIBUTE_ERR            = 10;
// Introduced in DOM Level 2:
const unsigned short      INVALID_STATE_ERR              = 11;
// Introduced in DOM Level 2:
const unsigned short      SYNTAX_ERR                     = 12;
// Introduced in DOM Level 2:
const unsigned short      INVALID_MODIFICATION_ERR       = 13;
// Introduced in DOM Level 2:
const unsigned short      NAMESPACE_ERR                  = 14;
// Introduced in DOM Level 2:
const unsigned short      INVALID_ACCESS_ERR             = 15;
// Introduced in DOM Level 3:
const unsigned short      VALIDATION_ERR                 = 16;
// Introduced in DOM Level 3:
const unsigned short      TYPE_MISMATCH_ERR              = 17;

Definition group ExceptionCode

An integer indicating the type of error generated.

Note: Other numeric codes are reserved for W3C for possible future use.

Defined Constants
DOMSTRING_SIZE_ERR
If the specified range of text does not fit into a DOMString.
HIERARCHY_REQUEST_ERR
If any Node is inserted somewhere it doesn't belong.
INDEX_SIZE_ERR
If index or size is negative, or greater than the allowed value.
INUSE_ATTRIBUTE_ERR
If an attempt is made to add an attribute that is already in use elsewhere.
INVALID_ACCESS_ERR, introduced in DOM Level 2.
If a parameter or an operation is not supported by the underlying object.
INVALID_CHARACTER_ERR
If an invalid or illegal character is specified, such as in a name.
INVALID_MODIFICATION_ERR, introduced in DOM Level 2.
If an attempt is made to modify the type of the underlying object.
INVALID_STATE_ERR, introduced in DOM Level 2.
If an attempt is made to use an object that is not, or is no longer, usable.
NAMESPACE_ERR, introduced in DOM Level 2.
If an attempt is made to create or change an object in a way which is incorrect with regard to namespaces.
NOT_FOUND_ERR
If an attempt is made to reference a Node in a context where it does not exist.
NOT_SUPPORTED_ERR
If the implementation does not support the requested type of object or operation.
NO_DATA_ALLOWED_ERR
If data is specified for a Node which does not support data.
NO_MODIFICATION_ALLOWED_ERR
If an attempt is made to modify an object where modifications are not allowed.
SYNTAX_ERR, introduced in DOM Level 2.
If an invalid or illegal string is specified.
TYPE_MISMATCH_ERR, introduced in DOM Level 3.
If the type of an object is incompatible with the expected type of the parameter associated to the object.
VALIDATION_ERR, introduced in DOM Level 3.
If a call to a method such as insertBefore or removeChild would make the Node invalid with respect to "partial validity", this exception would be raised and the operation would not be done. This code is used in [DOM Level 3 Validation]. Refer to this specification for further information.
WRONG_DOCUMENT_ERR
If a Node is used in a different document than the one that created it (that doesn't support it).
Interface DOMStringList (introduced in DOM Level 3)

The DOMStringList interface provides the abstraction of an ordered collection of DOMString values, without defining or constraining how this collection is implemented. The items in the DOMStringList are accessible via an integral index, starting from 0.


IDL Definition
// Introduced in DOM Level 3:
interface DOMStringList {
  DOMString          item(in unsigned long index);
  readonly attribute unsigned long   length;
  boolean            contains(in DOMString str);
};

Attributes
length of type unsigned long, readonly
The number of DOMStrings in the list. The range of valid child node indices is 0 to length-1 inclusive.
Methods
contains
Test if a string is part of this DOMStringList.
Parameters
str of type DOMString
The string to look for.
Return Value

boolean

true if the string has been found, false otherwise.

No Exceptions
item
Returns the indexth item in the collection. If index is greater than or equal to the number of DOMStrings in the list, this returns null.
Parameters
index of type unsigned long
Index into the collection.
Return Value

DOMString

The DOMString at the indexth position in the DOMStringList, or null if that is not a valid index.

No Exceptions
Interface NameList (introduced in DOM Level 3)

The NameList interface provides the abstraction of an ordered collection of parallel pairs of name and namespace values (which could be null values), without defining or constraining how this collection is implemented. The items in the NameList are accessible via an integral index, starting from 0.


IDL Definition
// Introduced in DOM Level 3:
interface NameList {
  DOMString          getName(in unsigned long index);
  DOMString          getNamespaceURI(in unsigned long index);
  readonly attribute unsigned long   length;
  boolean            contains(in DOMString str);
  boolean            containsNS(in DOMString namespaceURI, 
                                in DOMString name);
};

Attributes
length of type unsigned long, readonly
The number of pairs (name and namespaceURI) in the list. The range of valid child node indices is 0 to length-1 inclusive.
Methods
contains
Test if a name is part of this NameList.
Parameters
str of type DOMString
The name to look for.
Return Value

boolean

true if the name has been found, false otherwise.

No Exceptions
containsNS
Test if the pair namespaceURI/name is part of this NameList.
Parameters
namespaceURI of type DOMString
The namespace URI to look for.
name of type DOMString
The name to look for.
Return Value

boolean

true if the pair namespaceURI/name has been found, false otherwise.

No Exceptions
getName
Returns the indexth name item in the collection.
Parameters
index of type unsigned long
Index into the collection.
Return Value

DOMString

The name at the indexth position in the NameList, or null if there is no name for the specified index or if the index is out of range.

No Exceptions
getNamespaceURI
Returns the indexth namespaceURI item in the collection.
Parameters
index of type unsigned long
Index into the collection.
Return Value

DOMString

The namespace URI at the indexth position in the NameList, or null if there is no name for the specified index or if the index is out of range.

No Exceptions
Interface DOMImplementationList (introduced in DOM Level 3)

The DOMImplementationList interface provides the abstraction of an ordered collection of DOM implementations, without defining or constraining how this collection is implemented. The items in the DOMImplementationList are accessible via an integral index, starting from 0.


IDL Definition
// Introduced in DOM Level 3:
interface DOMImplementationList {
  DOMImplementation  item(in unsigned long index);
  readonly attribute unsigned long   length;
};

Attributes
length of type unsigned long, readonly
The number of DOMImplementations in the list. The range of valid child node indices is 0 to length-1 inclusive.
Methods
item
Returns the indexth item in the collection. If index is greater than or equal to the number of DOMImplementations in the list, this returns null.
Parameters
index of type unsigned long
Index into the collection.
Return Value

DOMImplementation

The DOMImplementation at the indexth position in the DOMImplementationList, or null if that is not a valid index.

No Exceptions
Interface DOMImplementationSource (introduced in DOM Level 3)

This interface permits a DOM implementer to supply one or more implementations, based upon requested features and versions, as specified in DOM Features. Each implemented DOMImplementationSource object is listed in the binding-specific list of available sources so that its DOMImplementation objects are made available.


IDL Definition

Methods
getDOMImplementation
A method to request the first DOM implementation that supports the specified features.
Parameters
features of type DOMString
A string that specifies which features and versions are required. This is a space separated list in which each feature is specified by its name optionally followed by a space and a version number.
This method returns the first item of the list returned by getDOMImplementationList.
As an example, the string "XML 3.0 Traversal +Events 2.0" will request a DOM implementation that supports the module "XML" for its 3.0 version, a module that support of the "Traversal" module for any version, and the module "Events" for its 2.0 version. The module "Events" must be accessible using the method Node.getFeature() and DOMImplementation.getFeature().
Return Value

DOMImplementation

The first DOM implementation that support the desired features, or null if this source has none.

No Exceptions
getDOMImplementationList
A method to request a list of DOM implementations that support the specified features and versions, as specified in DOM Features.
Parameters
features of type DOMString
A string that specifies which features and versions are required. This is a space separated list in which each feature is specified by its name optionally followed by a space and a version number. This is something like: "XML 3.0 Traversal +Events 2.0"
Return Value

DOMImplementationList

A list of DOM implementations that support the desired features.

No Exceptions
Interface DOMImplementation

The DOMImplementation interface provides a number of methods for performing operations that are independent of any particular instance of the document object model.


IDL Definition
interface DOMImplementation {
  boolean            hasFeature(in DOMString feature, 
                                in DOMString version);
  // Introduced in DOM Level 2:
  DocumentType       createDocumentType(in DOMString qualifiedName, 
                                        in DOMString publicId, 
                                        in DOMString systemId)
                                        raises(DOMException);
  // Introduced in DOM Level 2:
  Document           createDocument(in DOMString namespaceURI, 
                                    in DOMString qualifiedName, 
                                    in DocumentType doctype)
                                        raises(DOMException);
  // Introduced in DOM Level 3:
  DOMObject          getFeature(in DOMString feature, 
                                in DOMString version);
};

Methods
createDocument introduced in DOM Level 2
Creates a DOM Document object of the specified type with its document element.
Note that based on the DocumentType given to create the document, the implementation may instantiate specialized Document objects that support additional features than the "Core", such as "HTML" [DOM Level 2 HTML]. On the other hand, setting the DocumentType after the document was created makes this very unlikely to happen. Alternatively, specialized Document creation methods, such as createHTMLDocument [DOM Level 2 HTML], can be used to obtain specific types of Document objects.
Parameters
namespaceURI of type DOMString
The namespace URI of the document element to create or null.
qualifiedName of type DOMString
The qualified name of the document element to be created or null.
doctype of type DocumentType
The type of document to be created or null.
When doctype is not null, its Node.ownerDocument attribute is set to the document being created.
Return Value

Document

A new Document object with its document element. If the NamespaceURI, qualifiedName, and doctype are null, the returned Document is empty with no document element.

Exceptions

DOMException

INVALID_CHARACTER_ERR: Raised if the specified qualified name contains an illegal character according to [XML 1.0].

NAMESPACE_ERR: Raised if the qualifiedName is malformed, if the qualifiedName has a prefix and the namespaceURI is null, or if the qualifiedName is null and the namespaceURI is different from null, or if the qualifiedName has a prefix that is "xml" and the namespaceURI is different from "http://www.w3.org/XML/1998/namespace" [XML Namespaces], or if the DOM implementation does not support the "XML" feature but a non-null namespace URI was provided, since namespaces were defined by XML.

WRONG_DOCUMENT_ERR: Raised if doctype has already been used with a different document or was created from a different implementation.

NOT_SUPPORTED_ERR: May be raised if the implementation does not support the feature "XML" and the language exposed through the Document does not support XML Namespaces (such as [HTML 4.01]).

createDocumentType introduced in DOM Level 2
Creates an empty DocumentType node. Entity declarations and notations are not made available. Entity reference expansions and default attribute additions do not occur..
Parameters
qualifiedName of type DOMString
The qualified name of the document type to be created.
publicId of type DOMString
The external subset public identifier.
systemId of type DOMString
The external subset system identifier.
Return Value

DocumentType

A new DocumentType node with Node.ownerDocument set to null.

Exceptions

DOMException

INVALID_CHARACTER_ERR: Raised if the specified qualified name contains an illegal character according to [XML 1.0].

NAMESPACE_ERR: Raised if the qualifiedName is malformed.

NOT_SUPPORTED_ERR: May be raised if the implementation does not support the feature "XML" and the language exposed through the Document does not support XML Namespaces (such as [HTML 4.01]).

getFeature introduced in DOM Level 3
This method returns a specialized object which implements the specialized APIs of the specified feature and version, as specified in DOM Features. The specialized object may also be obtained by using binding-specific casting methods but is not necessarily expected to, as discussed in Mixed DOM implementations. This method also allow the implementation to provide specialized objects which do not support the DOMImplementation interface.
Parameters
feature of type DOMString
The name of the feature requested. Note that any plus sign "+" prepended to the name of the feature will be ignored since it is not significant in the context of this method.
version of type DOMString
This is the version number of the feature to test.
Return Value

DOMObject

Returns an object which implements the specialized APIs of the specified feature and version, if any, or null if there is no object which implements interfaces associated with that feature. If the DOMObject returned by this method implements the DOMImplementation interface, it must delegate to the primary core DOMImplementation and not return results inconsistent with the primary core DOMImplementation such as hasFeature, getFeature, etc.

No Exceptions
hasFeature
Test if the DOM implementation implements a specific feature and version, as specified in DOM Features.
Parameters
feature of type DOMString
The name of the feature to test.
version of type DOMString
This is the version number of the feature to test.
Return Value

boolean

true if the feature is implemented in the specified version, false otherwise.

No Exceptions
Interface DocumentFragment

DocumentFragment is a "lightweight" or "minimal" Document object. It is very common to want to be able to extract a portion of a document's tree or to create a new fragment of a document. Imagine implementing a user command like cut or rearranging a document by moving fragments around. It is desirable to have an object which can hold such fragments and it is quite natural to use a Node for this purpose. While it is true that a Document object could fulfill this role, a Document object can potentially be a heavyweight object, depending on the underlying implementation. What is really needed for this is a very lightweight object. DocumentFragment is such an object.

Furthermore, various operations -- such as inserting nodes as children of another Node -- may take DocumentFragment objects as arguments; this results in all the child nodes of the DocumentFragment being moved to the child list of this node.

The children of a DocumentFragment node are zero or more nodes representing the tops of any sub-trees defining the structure of the document. DocumentFragment nodes do not need to be well-formed XML documents (although they do need to follow the rules imposed upon well-formed XML parsed entities, which can have multiple top nodes). For example, a DocumentFragment might have only one child and that child node could be a Text node. Such a structure model represents neither an HTML document nor a well-formed XML document.

When a DocumentFragment is inserted into a Document (or indeed any other Node that may take children) the children of the DocumentFragment and not the DocumentFragment itself are inserted into the Node. This makes the DocumentFragment very useful when the user wishes to create nodes that are siblings; the DocumentFragment acts as the parent of these nodes so that the user can use the standard methods from the Node interface, such as Node.insertBefore and Node.appendChild.


IDL Definition
interface DocumentFragment : Node {
};

Interface Document

The Document interface represents the entire HTML or XML document. Conceptually, it is the root of the document tree, and provides the primary access to the document's data.

Since elements, text nodes, comments, processing instructions, etc. cannot exist outside the context of a Document, the Document interface also contains the factory methods needed to create these objects. The Node objects created have a ownerDocument attribute which associates them with the Document within whose context they were created.


IDL Definition
interface Document : Node {
  // Modified in DOM Level 3:
  readonly attribute DocumentType    doctype;
  readonly attribute DOMImplementation implementation;
  readonly attribute Element         documentElement;
  Element            createElement(in DOMString tagName)
                                        raises(DOMException);
  DocumentFragment   createDocumentFragment();
  Text               createTextNode(in DOMString data);
  Comment            createComment(in DOMString data);
  CDATASection       createCDATASection(in DOMString data)
                                        raises(DOMException);
  ProcessingInstruction createProcessingInstruction(in DOMString target, 
                                                    in DOMString data)
                                        raises(DOMException);
  Attr               createAttribute(in DOMString name)
                                        raises(DOMException);
  EntityReference    createEntityReference(in DOMString name)
                                        raises(DOMException);
  NodeList           getElementsByTagName(in DOMString tagname);
  // Introduced in DOM Level 2:
  Node               importNode(in Node importedNode, 
                                in boolean deep)
                                        raises(DOMException);
  // Introduced in DOM Level 2:
  Element            createElementNS(in DOMString namespaceURI, 
                                     in DOMString qualifiedName)
                                        raises(DOMException);
  // Introduced in DOM Level 2:
  Attr               createAttributeNS(in DOMString namespaceURI, 
                                       in DOMString qualifiedName)
                                        raises(DOMException);
  // Introduced in DOM Level 2:
  NodeList           getElementsByTagNameNS(in DOMString namespaceURI, 
                                            in DOMString localName);
  // Introduced in DOM Level 2:
  Element            getElementById(in DOMString elementId);
  // Introduced in DOM Level 3:
  readonly attribute DOMString       inputEncoding;
  // Introduced in DOM Level 3:
  readonly attribute DOMString       xmlEncoding;
  // Introduced in DOM Level 3:
           attribute boolean         xmlStandalone;
                                        // raises(DOMException) on setting

  // Introduced in DOM Level 3:
           attribute DOMString       xmlVersion;
                                        // raises(DOMException) on setting

  // Introduced in DOM Level 3:
           attribute boolean         strictErrorChecking;
  // Introduced in DOM Level 3:
           attribute DOMString       documentURI;
  // Introduced in DOM Level 3:
  Node               adoptNode(in Node source)
                                        raises(DOMException);
  // Introduced in DOM Level 3:
  readonly attribute DOMConfiguration domConfig;
  // Introduced in DOM Level 3:
  void               normalizeDocument();
  // Introduced in DOM Level 3:
  Node               renameNode(in Node n, 
                                in DOMString namespaceURI, 
                                in DOMString qualifiedName)
                                        raises(DOMException);
};

Attributes
doctype of type DocumentType, readonly, modified in DOM Level 3
The Document Type Declaration (see DocumentType) associated with this document. For XML documents without a document type declaration this returns null. For HTML documents, a DocumentType object may be returned, independently of the presence or absence of document type declaration in the HTML document.
This provides direct access to the DocumentType node, child node of this Document. This node can be set at document creation time and later changed through the use of child nodes manipulation methods, such as Node.insertBefore, or Node.replaceChild. Note, however, that while some implementations may instantiate different types of Document objects supporting additional features than the "Core", such as "HTML" [DOM Level 2 HTML], based on the DocumentType specified at creation time, changing it afterwards is very unlikely to result in a change of the features supported.
documentElement of type Element, readonly
This is a convenience attribute that allows direct access to the child node that is the document element of the document.
documentURI of type DOMString, introduced in DOM Level 3
The location of the document or null if undefined or if the Document was created using DOMImplementation.createDocument. No lexical checking is performed when setting this attribute; this could result in a null value returned when using Node.baseURI.
Beware that when the Document supports the feature "HTML" [DOM Level 2 HTML], the href attribute of the HTML BASE element takes precedence over this attribute when computing Node.baseURI.
domConfig of type DOMConfiguration, readonly, introduced in DOM Level 3
The configuration used when Document.normalizeDocument() is invoked.
implementation of type DOMImplementation, readonly
The DOMImplementation object that handles this document. A DOM application may use objects from multiple implementations.
inputEncoding of type DOMString, readonly, introduced in DOM Level 3
An attribute specifying the encoding used for this document at the time of the parsing. This is null when it is not known, such as when the Document was created in memory.
strictErrorChecking of type boolean, introduced in DOM Level 3
An attribute specifying whether error checking is enforced or not. When set to false, the implementation is free to not test every possible error case normally defined on DOM operations, and not raise any DOMException on DOM operations or report errors while using Document.normalizeDocument(). In case of error, the behavior is undefined. This attribute is true by default.
xmlEncoding of type DOMString, readonly, introduced in DOM Level 3
An attribute specifying, as part of the XML declaration, the encoding of this document. This is null when unspecified.
xmlStandalone of type boolean, introduced in DOM Level 3
An attribute specifying, as part of the XML declaration, whether this document is standalone. This is false when unspecified.

Note: No verification is done on the value when setting this attribute. Applications should use Document.normalizeDocument() with the "validate" parameter to verify if the value matches the validity constraint for standalone document declaration as defined in [XML 1.0].

Exceptions on setting

DOMException

NOT_SUPPORTED_ERR: Raised if this document does not support the "XML" feature.

xmlVersion of type DOMString, introduced in DOM Level 3
An attribute specifying, as part of the XML declaration, the version number of this document. If there is no declaration and if this document supports the "XML" feature, the value is "1.0". If this document does not support the "XML" feature, the value is always null. Changing this attribute will affect methods that check for illegal characters in XML names. Application should invoke Document.normalizeDocument() in order to check for illegal characters in the Nodes that are already part of this Document.
DOM applications may use the DOMImplementation.hasFeature(feature, version) method with parameter values "XMLVersion" and "1.0" (respectively) to determine if an implementation supports [XML 1.0]. DOM applications may use the same method with parameter values "XMLVersion" and "1.1" (respectively) to determine if an implementation supports [XML 1.1]. In both cases, in order to support XML, an implementation must also support the "XML" feature defined in this specification. Document objects supporting a version of the "XMLVersion" feature must not raise a NOT_SUPPORTED_ERR exception for the same version number when using Document.xmlVersion.
Exceptions on setting

DOMException

NOT_SUPPORTED_ERR: Raised if the version is set to a value that is not supported by this Document or if this document does not support the "XML" feature.

Methods
adoptNode introduced in DOM Level 3
Attempts to adopt a node from another document to this document. If supported, it changes the ownerDocument of the source node, its children, as well as the attached attribute nodes if there are any. If the source node has a parent it is first removed from the child list of its parent. This effectively allows moving a subtree from one document to another (unlike importNode() which create a copy of the source node instead of moving it). When it fails, applications should use Document.importNode() instead. Note that if the adopted node is already part of this document (i.e. the source and target document are the same), this method still has the effect of removing the source node from the child list of its parent, if any. The following list describes the specifics for each type of node.
ATTRIBUTE_NODE
The ownerElement attribute is set to null and the specified flag is set to true on the adopted Attr. The descendants of the source Attr are recursively adopted.
DOCUMENT_FRAGMENT_NODE
The descendants of the source node are recursively adopted.
DOCUMENT_NODE
Document nodes cannot be adopted.
DOCUMENT_TYPE_NODE
DocumentType nodes cannot be adopted.
ELEMENT_NODE
Specified attribute nodes of the source element are adopted. Default attributes are discarded, though if the document being adopted into defines default attributes for this element name, those are assigned. The descendants of the source element are recursively adopted.
ENTITY_NODE
Entity nodes cannot be adopted.
ENTITY_REFERENCE_NODE
Only the EntityReference node itself is adopted, the descendants are discarded, since the source and destination documents might have defined the entity differently. If the document being imported into provides a definition for this entity name, its value is assigned.
NOTATION_NODE
Notation nodes cannot be adopted.
PROCESSING_INSTRUCTION_NODE, TEXT_NODE, CDATA_SECTION_NODE, COMMENT_NODE
These nodes can all be adopted. No specifics.

Note: Since it does not create new nodes unlike the Document.importNode() method, this method does not raise an INVALID_CHARACTER_ERR exception, and applications should use the Document.normalizeDocument() method to check if an imported name contain an illegal character according to the XML version in use.

Parameters
source of type Node
The node to move into this document.
Return Value

Node

The adopted node, or null if this operation fails, such as when the source node comes from a different implementation.

Exceptions

DOMException

NOT_SUPPORTED_ERR: Raised if the source node is of type DOCUMENT, DOCUMENT_TYPE.

NO_MODIFICATION_ALLOWED_ERR: Raised when the source node is readonly.

createAttribute
Creates an Attr of the given name. Note that the Attr instance can then be set on an Element using the setAttributeNode method.
To create an attribute with a qualified name and namespace URI, use the createAttributeNS method.
Parameters
name of type DOMString
The name of the attribute.
Return Value

Attr

A new Attr object with the nodeName attribute set to name, and localName, prefix, and namespaceURI set to null. The value of the attribute is the empty string.

Exceptions

DOMException

INVALID_CHARACTER_ERR: Raised if the specified name contains an illegal character according to the XML version in use specified in the Document.xmlVersion attribute.

createAttributeNS introduced in DOM Level 2
Creates an attribute of the given qualified name and namespace URI.
Per [XML Namespaces], applications must use the value null as the namespaceURI parameter for methods if they wish to have no namespace.
Parameters
namespaceURI of type DOMString
The namespace URI of the attribute to create.
qualifiedName of type DOMString
The qualified name of the attribute to instantiate.
Return Value

Attr

A new Attr object with the following attributes:

Attribute Value
Node.nodeName qualifiedName
Node.namespaceURI namespaceURI
Node.prefix prefix, extracted from qualifiedName, or null if there is no prefix
Node.localName local name, extracted from qualifiedName
Attr.name qualifiedName
Node.nodeValue the empty string
Exceptions

DOMException

INVALID_CHARACTER_ERR: Raised if the specified qualifiedName contains an illegal character according to the XML version in use specified in the Document.xmlVersion attribute.

NAMESPACE_ERR: Raised if the qualifiedName is a malformed qualified name, if the qualifiedName has a prefix and the namespaceURI is null, if the qualifiedName has a prefix that is "xml" and the namespaceURI is different from "http://www.w3.org/XML/1998/namespace", if the qualifiedName or its prefix is "xmlns" and the namespaceURI is different from "http://www.w3.org/2000/xmlns/", or if the namespaceURI is "http://www.w3.org/2000/xmlns/" and neither the qualifiedName nor its prefix is "xmlns".

NOT_SUPPORTED_ERR: Always thrown if the current document does not support the "XML" feature, since namespaces were defined by XML.

createCDATASection
Creates a CDATASection node whose value is the specified string.
Parameters
data of type DOMString
The data for the CDATASection contents.
Return Value

CDATASection

The new CDATASection object.

Exceptions

DOMException

NOT_SUPPORTED_ERR: Raised if this document is an HTML document.

createComment
Creates a Comment node given the specified string.
Parameters
data of type DOMString
The data for the node.
Return Value

Comment

The new Comment object.

No Exceptions
createDocumentFragment
Creates an empty DocumentFragment object.
Return Value
No Parameters
No Exceptions
createElement
Creates an element of the type specified. Note that the instance returned implements the Element interface, so attributes can be specified directly on the returned object.
In addition, if there are known attributes with default values, Attr nodes representing them are automatically created and attached to the element.
To create an element with a qualified name and namespace URI, use the createElementNS method.
Parameters
tagName of type DOMString
The name of the element type to instantiate. For XML, this is case-sensitive, otherwise it depends on the case-sensitivity of the markup language in use. In that case, the name is mapped to the canonical form of that markup by the DOM implementation.
Return Value

Element

A new Element object with the nodeName attribute set to tagName, and localName, prefix, and namespaceURI set to null.

Exceptions

DOMException

INVALID_CHARACTER_ERR: Raised if the specified name contains an illegal character according to the XML version in use specified in the Document.xmlVersion attribute.

createElementNS introduced in DOM Level 2
Creates an element of the given qualified name and namespace URI.
Per [XML Namespaces], applications must use the value null as the namespaceURI parameter for methods if they wish to have no namespace.
Parameters
namespaceURI of type DOMString
The namespace URI of the element to create.
qualifiedName of type DOMString
The qualified name of the element type to instantiate.
Return Value

Element

A new Element object with the following attributes:

Attribute Value
Node.nodeName qualifiedName
Node.namespaceURI namespaceURI
Node.prefix prefix, extracted from qualifiedName, or null if there is no prefix
Node.localName local name, extracted from qualifiedName
Element.tagName qualifiedName
Exceptions

DOMException

INVALID_CHARACTER_ERR: Raised if the specified qualifiedName contains an illegal character according to the XML version in use specified in the Document.xmlVersion attribute.

NAMESPACE_ERR: Raised if the qualifiedName is a malformed qualified name, if the qualifiedName has a prefix and the namespaceURI is null, or if the qualifiedName has a prefix that is "xml" and the namespaceURI is different from "http://www.w3.org/XML/1998/namespace" [XML Namespaces], or if the qualifiedName or its prefix is "xmlns" and the namespaceURI is different from "http://www.w3.org/2000/xmlns/", or if the namespaceURI is "http://www.w3.org/2000/xmlns/" and neither the qualifiedName nor its prefix is "xmlns".

NOT_SUPPORTED_ERR: Always thrown if the current document does not support the "XML" feature, since namespaces were defined by XML.

createEntityReference
Creates an EntityReference object. In addition, if the referenced entity is known, the child list of the EntityReference node is made the same as that of the corresponding Entity node.

Note: If any descendant of the Entity node has an unbound namespace prefix, the corresponding descendant of the created EntityReference node is also unbound; (its namespaceURI is null). The DOM Level 2 and 3 do not support any mechanism to resolve namespace prefixes in this case.

Parameters
name of type DOMString
The name of the entity to reference.
Unlike Document.createElementNS or Document.createAttributeNS, no namespace well-formed checking is done on the entity name. Applications should invoke Document.normalizeDocument() with the parameter "namespaces" set to true in order to ensure that the entity name is namespace well-formed.
Return Value
Exceptions

DOMException

INVALID_CHARACTER_ERR: Raised if the specified name contains an illegal character according to the XML version in use specified in the Document.xmlVersion attribute.

NOT_SUPPORTED_ERR: Raised if this document is an HTML document.

createProcessingInstruction
Creates a ProcessingInstruction node given the specified name and data strings.
Parameters
target of type DOMString
The target part of the processing instruction.
Unlike Document.createElementNS or Document.createAttributeNS, no namespace well-formed checking is done on the target name. Applications should invoke Document.normalizeDocument() with the parameter "namespaces" set to true in order to ensure that the target name is namespace well-formed.
data of type DOMString
The data for the node.
Return Value
Exceptions

DOMException

INVALID_CHARACTER_ERR: Raised if the specified target contains an illegal character according to the XML version in use specified in the Document.xmlVersion attribute.

NOT_SUPPORTED_ERR: Raised if this document is an HTML document.

createTextNode
Creates a Text node given the specified string.
Parameters
data of type DOMString
The data for the node.
Return Value

Text

The new Text object.

No Exceptions
getElementById introduced in DOM Level 2
Returns the Element that has an ID attribute with the given value. If no such element exists, this returns null. If more than one element has an ID attribute with that value, what is returned is undefined.
The DOM implementation is expected to use the attribute Attr.isId to determine if an attribute is of type ID.

Note: Attributes with the name "ID" or "id" are not of type ID unless so defined.

Parameters
elementId of type DOMString
The unique id value for an element.
Return Value

Element

The matching element or null if there is none.

No Exceptions
getElementsByTagName
Returns a NodeList of all the Elements in document order with a given tag name and are contained in the document.
Parameters
tagname of type DOMString
The name of the tag to match on. The special value "*" matches all tags. For XML, the tagname parameter is case-sensitive, otherwise it depends on the case-sensitivity of the markup language in use.
Return Value

NodeList

A new NodeList object containing all the matched Elements.

No Exceptions
getElementsByTagNameNS introduced in DOM Level 2
Returns a NodeList of all the Elements with a given local name and namespace URI in document order.
Parameters
namespaceURI of type DOMString
The namespace URI of the elements to match on. The special value "*" matches all namespaces.
localName of type DOMString
The local name of the elements to match on. The special value "*" matches all local names.
Return Value

NodeList

A new NodeList object containing all the matched Elements.

No Exceptions
importNode introduced in DOM Level 2
Imports a node from another document to this document, without altering or removing the source node from the original document; this method creates a new copy of the source node. The returned node has no parent; (parentNode is null).
For all nodes, importing a node creates a node object owned by the importing document, with attribute values identical to the source node's nodeName and nodeType, plus the attributes related to namespaces (prefix, localName, and namespaceURI). As in the cloneNode operation, the source node is not altered. User data associated to the imported node is not carried over. However, if any UserDataHandlers has been specified along with the associated data these handlers will be called with the appropriate parameters before this method returns.
Additional information is copied as appropriate to the nodeType, attempting to mirror the behavior expected if a fragment of XML or HTML source was copied from one document to another, recognizing that the two documents may have different DTDs in the XML case. The following list describes the specifics for each type of node.
ATTRIBUTE_NODE
The ownerElement attribute is set to null and the specified flag is set to true on the generated Attr. The descendants of the source Attr are recursively imported and the resulting nodes reassembled to form the corresponding subtree.
Note that the deep parameter has no effect on Attr nodes; they always carry their children with them when imported.
DOCUMENT_FRAGMENT_NODE
If the deep option was set to true, the descendants of the source DocumentFragment are recursively imported and the resulting nodes reassembled under the imported DocumentFragment to form the corresponding subtree. Otherwise, this simply generates an empty DocumentFragment.
DOCUMENT_NODE
Document nodes cannot be imported.
DOCUMENT_TYPE_NODE
DocumentType nodes cannot be imported.
ELEMENT_NODE
Specified attribute nodes of the source element are imported, and the generated Attr nodes are attached to the generated Element. Default attributes are not copied, though if the document being imported into defines default attributes for this element name, those are assigned. If the importNode deep parameter was set to true, the descendants of the source element are recursively imported and the resulting nodes reassembled to form the corresponding subtree.
ENTITY_NODE
Entity nodes can be imported, however in the current release of the DOM the DocumentType is readonly. Ability to add these imported nodes to a DocumentType will be considered for addition to a future release of the DOM.
On import, the publicId, systemId, and notationName attributes are copied. If a deep import is requested, the descendants of the the source Entity are recursively imported and the resulting nodes reassembled to form the corresponding subtree.
ENTITY_REFERENCE_NODE
Only the EntityReference itself is copied, even if a deep import is requested, since the source and destination documents might have defined the entity differently. If the document being imported into provides a definition for this entity name, its value is assigned.
NOTATION_NODE
Notation nodes can be imported, however in the current release of the DOM the DocumentType is readonly. Ability to add these imported nodes to a DocumentType will be considered for addition to a future release of the DOM.
On import, the publicId and systemId attributes are copied.
Note that the deep parameter has no effect on this type of nodes since they cannot have any children.
PROCESSING_INSTRUCTION_NODE
The imported node copies its target and data values from those of the source node.
Note that the deep parameter has no effect on this type of nodes since they cannot have any children.
TEXT_NODE, CDATA_SECTION_NODE, COMMENT_NODE
These three types of nodes inheriting from CharacterData copy their data and length attributes from those of the source node.
Note that the deep parameter has no effect on these types of nodes since they cannot have any children.
Parameters
importedNode of type Node
The node to import.
deep of type boolean
If true, recursively import the subtree under the specified node; if false, import only the node itself, as explained above. This has no effect on nodes that cannot have any children, and on Attr, and EntityReference nodes.
Return Value

Node

The imported node that belongs to this Document.

Exceptions

DOMException

NOT_SUPPORTED_ERR: Raised if the type of node being imported is not supported.

INVALID_CHARACTER_ERR: Raised if one the imported names contain an illegal character according to the XML version in use specified in the Document.xmlVersion attribute. This may happen when importing an XML 1.1 [XML 1.1] element into an XML 1.0 document, for instance.

normalizeDocument introduced in DOM Level 3
This method acts as if the document was going through a save and load cycle, putting the document in a "normal" form. As a consequence, this method updates the replacement tree of EntityReference nodes and normalizes Text nodes, as defined in the method Node.normalize().
Otherwise, the actual result depends on the features being set on the Document.domConfig object and governing what operations actually take place. Noticeably this method could also make the document namespace well-formed according to the algorithm described in Namespace normalization, check the character normalization, remove the CDATASection nodes, etc. See DOMConfiguration for details.
// Keep in the document the information defined
// in the XML Information Set (Java example)
DOMConfiguration docConfig = myDocument.getDomConfig();
docConfig.setParameter("infoset", Boolean.TRUE);
myDocument.normalizeDocument();

Mutation events, when supported, are generated to reflect the changes occurring on the document.
If errors occur during the invocation of this method, such as an attempt to update a read-only node or a Node.nodeName contains an invalid character according to the XML version in use, errors or warnings (DOMError.SEVERITY_ERROR or DOMError.SEVERITY_WARNING) will be reported using the DOMErrorHandler object associated with the "error-handler" parameter. Note this method might also report fatal errors (DOMError.SEVERITY_FATAL_ERROR) if an implementation cannot recover from an error.
No Parameters
No Return Value
No Exceptions
renameNode introduced in DOM Level 3
Rename an existing node of type ELEMENT_NODE or ATTRIBUTE_NODE.
When possible this simply changes the name of the given node, otherwise this creates a new node with the specified name and replaces the existing node with the new node as described below.
If simply changing the name of the given node is not possible, the following operations are performed: a new node is created, any registered event listener is registered on the new node, any user data attached to the old node is removed from that node, the old node is removed from its parent if it has one, the children are moved to the new node, if the renamed node is an Element its attributes are moved to the new node, the new node is inserted at the position the old node used to have in its parent's child nodes list if it has one, the user data that was attached to the old node is attached to the new node.
When the node being renamed is an Element only the specified attributes are moved, default attributes originated from the DTD are updated according to the new element name. In addition, the implementation may update default attributes from other schemas. Applications should use Document.normalizeDocument() to guarantee these attributes are up-to-date.
When the node being renamed is an Attr that is attached to an Element, the node is first removed from the Element attributes map. Then, once renamed, either by modifying the existing node or creating a new one as described above, it is put back.
In addition,
  • a user data event NODE_RENAMED is fired,
  • when the implementation supports the feature "MutationNameEvents", each mutation operation involved in this method fires the appropriate event, and in the end the event {http://www.w3.org/2001/xml-events, DOMElementNameChanged} or {http://www.w3.org/2001/xml-events, DOMAttributeNameChanged} is fired.
Parameters
n of type Node
The node to rename.
namespaceURI of type DOMString
The new namespace URI.
qualifiedName of type DOMString
The new qualified name.
Return Value

Node

The renamed node. This is either the specified node or the new node that was created to replace the specified node.

Exceptions

DOMException

NOT_SUPPORTED_ERR: Raised when the type of the specified node is neither ELEMENT_NODE nor ATTRIBUTE_NODE, or if the implementation does not support the renaming of the document element.

INVALID_CHARACTER_ERR: Raised if the new qualified name contains an illegal character according to the XML version in use specified in the Document.xmlVersion attribute.

WRONG_DOCUMENT_ERR: Raised when the specified node was created from a different document than this document.

NAMESPACE_ERR: Raised if the qualifiedName is a malformed qualified name, if the qualifiedName has a prefix and the namespaceURI is null, or if the qualifiedName has a prefix that is "xml" and the namespaceURI is different from "http://www.w3.org/XML/1998/namespace" [XML Namespaces]. Also raised, when the node being renamed is an attribute, if the qualifiedName, or its prefix, is "xmlns" and the namespaceURI is different from "http://www.w3.org/2000/xmlns/".

INVALID_CHARACTER_ERR: Raised if the specified name contains an illegal character according to the XML version in use specified in the Document.xmlVersion attribute.

Interface Node

The Node interface is the primary datatype for the entire Document Object Model. It represents a single node in the document tree. While all objects implementing the Node interface expose methods for dealing with children, not all objects implementing the Node interface may have children. For example, Text nodes may not have children, and adding children to such nodes results in a DOMException being raised.

The attributes nodeName, nodeValue and attributes are included as a mechanism to get at node information without casting down to the specific derived interface. In cases where there is no obvious mapping of these attributes for a specific nodeType (e.g., nodeValue for an Element or attributes for a Comment), this returns null. Note that the specialized interfaces may contain additional and more convenient mechanisms to get and set the relevant information.


IDL Definition
interface Node {

  // NodeType
  const unsigned short      ELEMENT_NODE                   = 1;
  const unsigned short      ATTRIBUTE_NODE                 = 2;
  const unsigned short      TEXT_NODE                      = 3;
  const unsigned short      CDATA_SECTION_NODE             = 4;
  const unsigned short      ENTITY_REFERENCE_NODE          = 5;
  const unsigned short      ENTITY_NODE                    = 6;
  const unsigned short      PROCESSING_INSTRUCTION_NODE    = 7;
  const unsigned short      COMMENT_NODE                   = 8;
  const unsigned short      DOCUMENT_NODE                  = 9;
  const unsigned short      DOCUMENT_TYPE_NODE             = 10;
  const unsigned short      DOCUMENT_FRAGMENT_NODE         = 11;
  const unsigned short      NOTATION_NODE                  = 12;

  readonly attribute DOMString       nodeName;
           attribute DOMString       nodeValue;
                                        // raises(DOMException) on setting
                                        // raises(DOMException) on retrieval

  readonly attribute unsigned short  nodeType;
  readonly attribute Node            parentNode;
  readonly attribute NodeList        childNodes;
  readonly attribute Node            firstChild;
  readonly attribute Node            lastChild;
  readonly attribute Node            previousSibling;
  readonly attribute Node            nextSibling;
  readonly attribute NamedNodeMap    attributes;
  // Modified in DOM Level 2:
  readonly attribute Document        ownerDocument;
  // Modified in DOM Level 3:
  Node               insertBefore(in Node newChild, 
                                  in Node refChild)
                                        raises(DOMException);
  // Modified in DOM Level 3:
  Node               replaceChild(in Node newChild, 
                                  in Node oldChild)
                                        raises(DOMException);
  // Modified in DOM Level 3:
  Node               removeChild(in Node oldChild)
                                        raises(DOMException);
  // Modified in DOM Level 3:
  Node               appendChild(in Node newChild)
                                        raises(DOMException);
  boolean            hasChildNodes();
  Node               cloneNode(in boolean deep);
  // Modified in DOM Level 3:
  void               normalize();
  // Introduced in DOM Level 2:
  boolean            isSupported(in DOMString feature, 
                                 in DOMString version);
  // Introduced in DOM Level 2:
  readonly attribute DOMString       namespaceURI;
  // Introduced in DOM Level 2:
           attribute DOMString       prefix;
                                        // raises(DOMException) on setting

  // Introduced in DOM Level 2:
  readonly attribute DOMString       localName;
  // Introduced in DOM Level 2:
  boolean            hasAttributes();
  // Introduced in DOM Level 3:
  readonly attribute DOMString       baseURI;

  // DocumentPosition
  const unsigned short      DOCUMENT_POSITION_DISCONNECTED = 0x01;
  const unsigned short      DOCUMENT_POSITION_PRECEDING    = 0x02;
  const unsigned short      DOCUMENT_POSITION_FOLLOWING    = 0x04;
  const unsigned short      DOCUMENT_POSITION_CONTAINS     = 0x08;
  const unsigned short      DOCUMENT_POSITION_CONTAINED_BY = 0x10;
  const unsigned short      DOCUMENT_POSITION_IMPLEMENTATION_SPECIFIC = 0x20;

  // Introduced in DOM Level 3:
  unsigned short     compareDocumentPosition(in Node other)
                                        raises(DOMException);
  // Introduced in DOM Level 3:
           attribute DOMString       textContent;
                                        // raises(DOMException) on setting
                                        // raises(DOMException) on retrieval

  // Introduced in DOM Level 3:
  boolean            isSameNode(in Node other);
  // Introduced in DOM Level 3:
  DOMString          lookupPrefix(in DOMString namespaceURI);
  // Introduced in DOM Level 3:
  boolean            isDefaultNamespace(in DOMString namespaceURI);
  // Introduced in DOM Level 3:
  DOMString          lookupNamespaceURI(in DOMString prefix);
  // Introduced in DOM Level 3:
  boolean            isEqualNode(in Node arg);
  // Introduced in DOM Level 3:
  DOMObject          getFeature(in DOMString feature, 
                                in DOMString version);
  // Introduced in DOM Level 3:
  DOMUserData        setUserData(in DOMString key, 
                                 in DOMUserData data, 
                                 in UserDataHandler handler);
  // Introduced in DOM Level 3:
  DOMUserData        getUserData(in DOMString key);
};

Definition group NodeType

An integer indicating which type of node this is.

Note: Numeric codes up to 200 are reserved to W3C for possible future use.

Defined Constants
ATTRIBUTE_NODE
The node is an Attr.
CDATA_SECTION_NODE
The node is a CDATASection.
COMMENT_NODE
The node is a Comment.
DOCUMENT_FRAGMENT_NODE
The node is a DocumentFragment.
DOCUMENT_NODE
The node is a Document.
DOCUMENT_TYPE_NODE
The node is a DocumentType.
ELEMENT_NODE
The node is an Element.
ENTITY_NODE
The node is an Entity.
ENTITY_REFERENCE_NODE
The node is an EntityReference.
NOTATION_NODE
The node is a Notation.
PROCESSING_INSTRUCTION_NODE
The node is a ProcessingInstruction.
TEXT_NODE
The node is a Text node.

The values of nodeName, nodeValue, and attributes vary according to the node type as follows:

Interface nodeName nodeValue attributes
Attr same as Attr.name same as Attr.value null
CDATASection "#cdata-section" same as CharacterData.data, the content of the CDATA Section null
Comment "#comment" same as CharacterData.data, the content of the comment null
Document "#document" null null
DocumentFragment "#document-fragment" null null
DocumentType same as DocumentType.name null null
Element same as Element.tagName null NamedNodeMap
Entity entity name null null
EntityReference name of entity referenced null null
Notation notation name null null
ProcessingInstruction same as ProcessingInstruction.target same as ProcessingInstruction.data null
Text "#text" same as CharacterData.data, the content of the text node null
Definition group DocumentPosition

A bitmask indicating the relative document position of a node with respect to another node.

If the two nodes being compared are the same node, then no flags are set on the return.

Otherwise, the order of two nodes is determined by looking for common containers -- containers which contain both. A node directly contains any child nodes. A node also directly contains any other nodes attached to it such as attributes contained in an element or entities and notations contained in a document type. Nodes contained in contained nodes are also contained, but less-directly as the number of intervening containers increases.

If there is no common container node, then the order is based upon order between the root container of each node that is in no container. In this case, the result is disconnected and implementation-specific. This result is stable as long as these outer-most containing nodes remain in memory and are not inserted into some other containing node. This would be the case when the nodes belong to different documents or fragments, and cloning the document or inserting a fragment might change the order.

If one of the nodes being compared contains the other node, then the container precedes the contained node, and reversely the contained node follows the container. For example, when comparing an element against its own attribute or child, the element node precedes its attribute node and its child node, which both follow it.

If neither of the previous cases apply, then there exists a most-direct container common to both nodes being compared. In this case, the order is determined based upon the two determining nodes directly contained in this most-direct common container that either are or contain the corresponding nodes being compared.

If these two determining nodes are both child nodes, then the natural DOM order of these determining nodes within the containing node is returned as the order of the corresponding nodes. This would be the case, for example, when comparing two child elements of the same element.

If one of the two determining nodes is a child node and the other is not, then the corresponding node of the child node follows the corresponding node of the non-child node. This would be the case, for example, when comparing an attribute of an element with a child element of the same element.

If neither of the two determining node is a child node and one determining node has a greater value of nodeType than the other, then the corresponding node precedes the other. This would be the case, for example, when comparing an entity of a document type against a notation of the same document type.

If neither of the two determining node is a child node and nodeType is the same for both determining nodes, then an implementation-dependent order between the determining nodes is returned. This order is stable as long as no nodes of the same nodeType are inserted into or removed from the direct container. This would be the case, for example, when comparing two attributes of the same element, and inserting or removing additional attributes might change the order between existing attributes.

Defined Constants
DOCUMENT_POSITION_CONTAINED_BY
The node is contained by the reference node. A node which is contained is always following, too.
DOCUMENT_POSITION_CONTAINS
The node contains the reference node. A node which contains is always preceding, too.
DOCUMENT_POSITION_DISCONNECTED
The two nodes are disconnected. Order between disconnected nodes is always implementation-specific.
DOCUMENT_POSITION_FOLLOWING
The node follows the reference node.
DOCUMENT_POSITION_IMPLEMENTATION_SPECIFIC
The determination of preceding versus following is implementation-specific.
DOCUMENT_POSITION_PRECEDING
The second node precedes the reference node.
Attributes
attributes of type NamedNodeMap, readonly
A NamedNodeMap containing the attributes of this node (if it is an Element) or null otherwise.
baseURI of type DOMString, readonly, introduced in DOM Level 3
The absolute base URI of this node or null if the implementation wasn't able to obtain an absolute URI. This value is computed as described in Base URIs. However, when the Document supports the feature "HTML" [DOM Level 2 HTML], the base URI is computed using first the value of the href attribute of the HTML BASE element if any, and the value of the documentURI attribute from the Document interface otherwise.
childNodes of type NodeList, readonly
A NodeList that contains all children of this node. If there are no children, this is a NodeList containing no nodes.
firstChild of type Node, readonly
The first child of this node. If there is no such node, this returns null.
lastChild of type Node, readonly
The last child of this node. If there is no such node, this returns null.
localName of type DOMString, readonly, introduced in DOM Level 2
Returns the local part of the qualified name of this node.
For nodes of any type other than ELEMENT_NODE and ATTRIBUTE_NODE and nodes created with a DOM Level 1 method, such as Document.createElement(), this is always null.
namespaceURI of type DOMString, readonly, introduced in DOM Level 2
The namespace URI of this node, or null if it is unspecified (see XML Namespaces).
This is not a computed value that is the result of a namespace lookup based on an examination of the namespace declarations in scope. It is merely the namespace URI given at creation time.
For nodes of any type other than ELEMENT_NODE and ATTRIBUTE_NODE and nodes created with a DOM Level 1 method, such as Document.createElement(), this is always null.

Note: Per the Namespaces in XML Specification [XML Namespaces] an attribute does not inherit its namespace from the element it is attached to. If an attribute is not explicitly given a namespace, it simply has no namespace.

nextSibling of type Node, readonly
The node immediately following this node. If there is no such node, this returns null.
nodeName of type DOMString, readonly
The name of this node, depending on its type; see the table above.
nodeType of type unsigned short, readonly
A code representing the type of the underlying object, as defined above.
nodeValue of type DOMString
The value of this node, depending on its type; see the table above. When it is defined to be null, setting it has no effect, including if the node is read-only.
Exceptions on setting

DOMException

NO_MODIFICATION_ALLOWED_ERR: Raised when the node is readonly and if it is not defined to be null.

Exceptions on retrieval

DOMException

DOMSTRING_SIZE_ERR: Raised when it would return more characters than fit in a DOMString variable on the implementation platform.

ownerDocument of type Document, readonly, modified in DOM Level 2
The Document object associated with this node. This is also the Document object used to create new nodes. When this node is a Document or a DocumentType which is not used with any Document yet, this is null.
parentNode of type Node, readonly
The parent of this node. All nodes, except Attr, Document, DocumentFragment, Entity, and Notation may have a parent. However, if a node has just been created and not yet added to the tree, or if it has been removed from the tree, this is null.
prefix of type DOMString, introduced in DOM Level 2
The namespace prefix of this node, or null if it is unspecified. When it is defined to be null, setting it has no effect, including if the node is read-only.
Note that setting this attribute, when permitted, changes the nodeName attribute, which holds the qualified name, as well as the tagName and name attributes of the Element and Attr interfaces, when applicable.
Setting the prefix to null makes it unspecified, setting it to an empty string is implementation dependent.
Note also that changing the prefix of an attribute that is known to have a default value, does not make a new attribute with the default value and the original prefix appear, since the namespaceURI and localName do not change.
For nodes of any type other than ELEMENT_NODE and ATTRIBUTE_NODE and nodes created with a DOM Level 1 method, such as createElement from the Document interface, this is always null.
Exceptions on setting

DOMException

INVALID_CHARACTER_ERR: Raised if the specified prefix contains an illegal character according to the XML version in use specified in the Document.xmlVersion attribute.

NO_MODIFICATION_ALLOWED_ERR: Raised if this node is readonly.

NAMESPACE_ERR: Raised if the specified prefix is malformed per the Namespaces in XML specification, if the namespaceURI of this node is null, if the specified prefix is "xml" and the namespaceURI of this node is different from "http://www.w3.org/XML/1998/namespace", if this node is an attribute and the specified prefix is "xmlns" and the namespaceURI of this node is different from "http://www.w3.org/2000/xmlns/", or if this node is an attribute and the qualifiedName of this node is "xmlns" [XML Namespaces].

previousSibling of type Node, readonly
The node immediately preceding this node. If there is no such node, this returns null.
textContent of type DOMString, introduced in DOM Level 3
This attribute returns the text content of this node and its descendants. When it is defined to be null, setting it has no effect. On setting, any possible children this node may have are removed and, if it the new string is not empty or null, replaced by a single Text node containing the string this attribute is set to.
On getting, no serialization is performed, the returned string does not contain any markup. No whitespace normalization is performed and the returned string does not contain the white spaces in element content (see the attribute Text.isElementContentWhitespace). Similarly, on setting, no parsing is performed either, the input string is taken as pure textual content.
The string returned is made of the text content of this node depending on its type, as defined below:
Node type Content
ELEMENT_NODE, ATTRIBUTE_NODE, ENTITY_NODE, ENTITY_REFERENCE_NODE, DOCUMENT_FRAGMENT_NODE concatenation of the textContent attribute value of every child node, excluding COMMENT_NODE and PROCESSING_INSTRUCTION_NODE nodes. This is the empty string if the node has no children.
TEXT_NODE, CDATA_SECTION_NODE, COMMENT_NODE, PROCESSING_INSTRUCTION_NODE nodeValue
DOCUMENT_NODE, DOCUMENT_TYPE_NODE, NOTATION_NODE null
Exceptions on setting

DOMException

NO_MODIFICATION_ALLOWED_ERR: Raised when the node is readonly.

Exceptions on retrieval

DOMException

DOMSTRING_SIZE_ERR: Raised when it would return more characters than fit in a DOMString variable on the implementation platform.

Methods
appendChild modified in DOM Level 3
Adds the node newChild to the end of the list of children of this node. If the newChild is already in the tree, it is first removed.
Parameters
newChild of type Node
The node to add.
If it is a DocumentFragment object, the entire contents of the document fragment are moved into the child list of this node
Return Value

Node

The node added.

Exceptions

DOMException

HIERARCHY_REQUEST_ERR: Raised if this node is of a type that does not allow children of the type of the newChild node, or if the node to append is one of this node's ancestors or this node itself, or if this node is of type Document and the DOM application attempts to append a second DocumentType or Element node.

WRONG_DOCUMENT_ERR: Raised if newChild was created from a different document than the one that created this node.

NO_MODIFICATION_ALLOWED_ERR: Raised if this node is readonly or if the previous parent of the node being inserted is readonly.

NOT_SUPPORTED_ERR: if the newChild node is a child of the Document node, this exception might be raised if the DOM implementation doesn't support the removal of the DocumentType child or Element child.

cloneNode
Returns a duplicate of this node, i.e., serves as a generic copy constructor for nodes. The duplicate node has no parent (parentNode is null) and no user data. User data associated to the imported node is not carried over. However, if any UserDataHandlers has been specified along with the associated data these handlers will be called with the appropriate parameters before this method returns.
Cloning an Element copies all attributes and their values, including those generated by the XML processor to represent defaulted attributes, but this method does not copy any children it contains unless it is a deep clone. This includes text contained in an the Element since the text is contained in a child Text node. Cloning an Attr directly, as opposed to be cloned as part of an Element cloning operation, returns a specified attribute (specified is true). Cloning an Attr always clones its children, since they represent its value, no matter whether this is a deep clone or not. Cloning an EntityReference automatically constructs its subtree if a corresponding Entity is available, no matter whether this is a deep clone or not. Cloning any other type of node simply returns a copy of this node.
Note that cloning an immutable subtree results in a mutable copy, but the children of an EntityReference clone are readonly. In addition, clones of unspecified Attr nodes are specified. And, cloning Document, DocumentType, Entity, and Notation nodes is implementation dependent.
Parameters
deep of type boolean
If true, recursively clone the subtree under the specified node; if false, clone only the node itself (and its attributes, if it is an Element).
Return Value

Node

The duplicate node.

No Exceptions
compareDocumentPosition introduced in DOM Level 3
Compares the reference node, i.e. the node on which this method is being called, with a node, i.e. the one passed as a parameter, with regard to their position in the document and according to the document order.
Parameters
other of type Node
The node to compare against the reference node.
Return Value

unsigned short

Returns how the node is positioned relatively to the reference node.

Exceptions

DOMException

NOT_SUPPORTED_ERR: when the compared nodes are from different DOM implementations that do not coordinate to return consistent implementation-specific results.

getFeature introduced in DOM Level 3
This method returns a specialized object which implements the specialized APIs of the specified feature and version, as specified in DOM Features. The specialized object may also be obtained by using binding-specific casting methods but is not necessarily expected to, as discussed in Mixed DOM implementations. This method also allow the implementation to provide specialized objects which do not support the Node interface.
Parameters
feature of type DOMString
The name of the feature requested. Note that any plus sign "+" prepended to the name of the feature will be ignored since it is not significant in the context of this method.
version of type DOMString
This is the version number of the feature to test.
Return Value

DOMObject

Returns an object which implements the specialized APIs of the specified feature and version, if any, or null if there is no object which implements interfaces associated with that feature. If the DOMObject returned by this method implements the Node interface, it must delegate to the primary core Node and not return results inconsistent with the primary core Node such as attributes, childNodes, etc.

No Exceptions
getUserData introduced in DOM Level 3
Retrieves the object associated to a key on a this node. The object must first have been set to this node by calling setUserData with the same key.
Parameters
key of type DOMString
The key the object is associated to.
Return Value

DOMUserData

Returns the DOMUserData associated to the given key on this node, or null if there was none.

No Exceptions
hasAttributes introduced in DOM Level 2
Returns whether this node (if it is an element) has any attributes.
Return Value

boolean

Returns true if this node has any attributes, false otherwise.

No Parameters
No Exceptions
hasChildNodes
Returns whether this node has any children.
Return Value

boolean

Returns true if this node has any children, false otherwise.

No Parameters
No Exceptions
insertBefore modified in DOM Level 3
Inserts the node newChild before the existing child node refChild. If refChild is null, insert newChild at the end of the list of children.
If newChild is a DocumentFragment object, all of its children are inserted, in the same order, before refChild. If the newChild is already in the tree, it is first removed.

Note: Inserting a node before itself is implementation dependent.

Parameters
newChild of type Node
The node to insert.
refChild of type Node
The reference node, i.e., the node before which the new node must be inserted.
Return Value

Node

The node being inserted.

Exceptions

DOMException

HIERARCHY_REQUEST_ERR: Raised if this node is of a type that does not allow children of the type of the newChild node, or if the node to insert is one of this node's ancestors or this node itself, or if this node is of type Document and the DOM application attempts to insert a second DocumentType or Element node.

WRONG_DOCUMENT_ERR: Raised if newChild was created from a different document than the one that created this node.

NO_MODIFICATION_ALLOWED_ERR: Raised if this node is readonly or if the parent of the node being inserted is readonly.

NOT_FOUND_ERR: Raised if refChild is not a child of this node.

NOT_SUPPORTED_ERR: if this node is of type Document, this exception might be raised if the DOM implementation doesn't support the insertion of a DocumentType or Element node.

isDefaultNamespace introduced in DOM Level 3
This method checks if the specified namespaceURI is the default namespace or not.
Parameters
namespaceURI of type DOMString
The namespace URI to look for.
Return Value

boolean

Returns true if the specified namespaceURI is the default namespace, false otherwise.

No Exceptions
isEqualNode introduced in DOM Level 3
Tests whether two nodes are equal.
This method tests for equality of nodes, not sameness (i.e., whether the two nodes are references to the same object) which can be tested with Node.isSameNode(). All nodes that are the same will also be equal, though the reverse may not be true.
Two nodes are equal if and only if the following conditions are satisfied:
  • The two nodes are of the same type.
  • The following string attributes are equal: nodeName, localName, namespaceURI, prefix, nodeValue. This is: they are both null, or they have the same length and are character for character identical.
  • The attributes NamedNodeMaps are equal. This is: they are both null, or they have the same length and for each node that exists in one map there is a node that exists in the other map and is equal, although not necessarily at the same index.
  • The childNodes NodeLists are equal. This is: they are both null, or they have the same length and contain equal nodes at the same index. Note that normalization can affect equality; to avoid this, nodes should be normalized before being compared.

For two DocumentType nodes to be equal, the following conditions must also be satisfied:
  • The following string attributes are equal: publicId, systemId, internalSubset.
  • The entities NamedNodeMaps are equal.
  • The notations NamedNodeMaps are equal.

On the other hand, the following do not affect equality: the ownerDocument, baseURI, and parentNode attributes, the specified attribute for Attr nodes, the schemaTypeInfo attribute for Attr and Element nodes, the Text.isElementContentWhitespace attribute for Text nodes, as well as any user data or event listeners registered on the nodes.

Note: As a general rule, anything not mentioned in the description above is not significant in consideration of equality checking. Note that future versions of this specification may take into account more attributes and implementations conform to this specification are expected to be updated accordingly.

Parameters
arg of type Node
The node to compare equality with.
Return Value

boolean

Returns true if the nodes are equal, false otherwise.

No Exceptions
isSameNode introduced in DOM Level 3
Returns whether this node is the same node as the given one.
This method provides a way to determine whether two Node references returned by the implementation reference the same object. When two Node references are references to the same object, even if through a proxy, the references may be used completely interchangeably, such that all attributes have the same values and calling the same DOM method on either reference always has exactly the same effect.
Parameters
other of type Node
The node to test against.
Return Value

boolean

Returns true if the nodes are the same, false otherwise.

No Exceptions
isSupported introduced in DOM Level 2
Tests whether the DOM implementation implements a specific feature and that feature is supported by this node, as specified in DOM Features.
Parameters
feature of type DOMString
The name of the feature to test.
version of type DOMString
This is the version number of the feature to test.
Return Value

boolean

Returns true if the specified feature is supported on this node, false otherwise.

No Exceptions
lookupNamespaceURI introduced in DOM Level 3
Look up the namespace URI associated to the given prefix, starting from this node.
See Namespace URI Lookup for details on the algorithm used by this method.
Parameters
prefix of type DOMString
The prefix to look for. If this parameter is null, the method will return the default namespace URI if any.
Return Value

DOMString

Returns the associated namespace URI or null if none is found.

No Exceptions
lookupPrefix introduced in DOM Level 3
Look up the prefix associated to the given namespace URI, starting from this node. The default namespace declarations are ignored by this method.
See Namespace Prefix Lookup for details on the algorithm used by this method.
Parameters
namespaceURI of type DOMString
The namespace URI to look for.
Return Value

DOMString

Returns an associated namespace prefix if found or null if none is found. If more than one prefix are associated to the namespace prefix, the returned namespace prefix is implementation dependent.

No Exceptions
normalize modified in DOM Level 3
Puts all Text nodes in the full depth of the sub-tree underneath this Node, including attribute nodes, into a "normal" form where only structure (e.g., elements, comments, processing instructions, CDATA sections, and entity references) separates Text nodes, i.e., there are neither adjacent Text nodes nor empty Text nodes. This can be used to ensure that the DOM view of a document is the same as if it were saved and re-loaded, and is useful when operations (such as XPointer [XPointer] lookups) that depend on a particular document tree structure are to be used. If the parameter "normalize-characters" of the DOMConfiguration object attached to the Node.ownerDocument is true, this method will also fully normalize the characters of the Text nodes.

Note: In cases where the document contains CDATASections, the normalize operation alone may not be sufficient, since XPointers do not differentiate between Text nodes and CDATASection nodes.

No Parameters
No Return Value
No Exceptions
removeChild modified in DOM Level 3
Removes the child node indicated by oldChild from the list of children, and returns it.
Parameters
oldChild of type Node
The node being removed.
Return Value

Node

The node removed.

Exceptions

DOMException

NO_MODIFICATION_ALLOWED_ERR: Raised if this node is readonly.

NOT_FOUND_ERR: Raised if oldChild is not a child of this node.

NOT_SUPPORTED_ERR: if this node is of type Document, this exception might be raised if the DOM implementation doesn't support the removal of the DocumentType child or the Element child.

replaceChild modified in DOM Level 3
Replaces the child node oldChild with newChild in the list of children, and returns the oldChild node.
If newChild is a DocumentFragment object, oldChild is replaced by all of the DocumentFragment children, which are inserted in the same order. If the newChild is already in the tree, it is first removed.

Note: Replacing a node with itself is implementation dependent.

Parameters
newChild of type Node
The new node to put in the child list.
oldChild of type Node
The node being replaced in the list.
Return Value

Node

The node replaced.

Exceptions

DOMException

HIERARCHY_REQUEST_ERR: Raised if this node is of a type that does not allow children of the type of the newChild node, or if the node to put in is one of this node's ancestors or this node itself, or if this node is of type Document and the result of the replacement operation would add a second DocumentType or Element on the Document node.

WRONG_DOCUMENT_ERR: Raised if newChild was created from a different document than the one that created this node.

NO_MODIFICATION_ALLOWED_ERR: Raised if this node or the parent of the new node is readonly.

NOT_FOUND_ERR: Raised if oldChild is not a child of this node.

NOT_SUPPORTED_ERR: if this node is of type Document, this exception might be raised if the DOM implementation doesn't support the replacement of the DocumentType child or Element child.

setUserData introduced in DOM Level 3
Associate an object to a key on this node. The object can later be retrieved from this node by calling getUserData with the same key.
Parameters
key of type DOMString
The key to associate the object to.
data of type DOMUserData
The object to associate to the given key, or null to remove any existing association to that key.
handler of type UserDataHandler
The handler to associate to that key, or null.
Return Value

DOMUserData

Returns the DOMUserData previously associated to the given key on this node, or null if there was none.

No Exceptions
Interface NodeList

The NodeList interface provides the abstraction of an ordered collection of nodes, without defining or constraining how this collection is implemented. NodeList objects in the DOM are live.

The items in the NodeList are accessible via an integral index, starting from 0.


IDL Definition
interface NodeList {
  Node               item(in unsigned long index);
  readonly attribute unsigned long   length;
};

Attributes
length of type unsigned long, readonly
The number of nodes in the list. The range of valid child node indices is 0 to length-1 inclusive.
Methods
item
Returns the indexth item in the collection. If index is greater than or equal to the number of nodes in the list, this returns null.
Parameters
index of type unsigned long
Index into the collection.
Return Value

Node

The node at the indexth position in the NodeList, or null if that is not a valid index.

No Exceptions
Interface NamedNodeMap

Objects implementing the NamedNodeMap interface are used to represent collections of nodes that can be accessed by name. Note that NamedNodeMap does not inherit from NodeList; NamedNodeMaps are not maintained in any particular order. Objects contained in an object implementing NamedNodeMap may also be accessed by an ordinal index, but this is simply to allow convenient enumeration of the contents of a NamedNodeMap, and does not imply that the DOM specifies an order to these Nodes.

NamedNodeMap objects in the DOM are live.


IDL Definition
interface NamedNodeMap {
  Node               getNamedItem(in DOMString name);
  Node               setNamedItem(in Node arg)
                                        raises(DOMException);
  Node               removeNamedItem(in DOMString name)
                                        raises(DOMException);
  Node               item(in unsigned long index);
  readonly attribute unsigned long   length;
  // Introduced in DOM Level 2:
  Node               getNamedItemNS(in DOMString namespaceURI, 
                                    in DOMString localName)
                                        raises(DOMException);
  // Introduced in DOM Level 2:
  Node               setNamedItemNS(in Node arg)
                                        raises(DOMException);
  // Introduced in DOM Level 2:
  Node               removeNamedItemNS(in DOMString namespaceURI, 
                                       in DOMString localName)
                                        raises(DOMException);
};

Attributes
length of type unsigned long, readonly
The number of nodes in this map. The range of valid child node indices is 0 to length-1 inclusive.
Methods
getNamedItem
Retrieves a node specified by name.
Parameters
name of type DOMString
The nodeName of a node to retrieve.
Return Value

Node

A Node (of any type) with the specified nodeName, or null if it does not identify any node in this map.

No Exceptions
getNamedItemNS introduced in DOM Level 2
Retrieves a node specified by local name and namespace URI.
Per [XML Namespaces], applications must use the value null as the namespaceURI parameter for methods if they wish to have no namespace.
Parameters
namespaceURI of type DOMString
The namespace URI of the node to retrieve.
localName of type DOMString
The local name of the node to retrieve.
Return Value

Node

A Node (of any type) with the specified local name and namespace URI, or null if they do not identify any node in this map.

Exceptions

DOMException

NOT_SUPPORTED_ERR: May be raised if the implementation does not support the feature "XML" and the language exposed through the Document does not support XML Namespaces (such as [HTML 4.01]).

item
Returns the indexth item in the map. If index is greater than or equal to the number of nodes in this map, this returns null.
Parameters
index of type unsigned long
Index into this map.
Return Value

Node

The node at the indexth position in the map, or null if that is not a valid index.

No Exceptions
removeNamedItem
Removes a node specified by name. When this map contains the attributes attached to an element, if the removed attribute is known to have a default value, an attribute immediately appears containing the default value as well as the corresponding namespace URI, local name, and prefix when applicable.
Parameters
name of type DOMString
The nodeName of the node to remove.
Return Value

Node

The node removed from this map if a node with such a name exists.

Exceptions

DOMException

NOT_FOUND_ERR: Raised if there is no node named name in this map.

NO_MODIFICATION_ALLOWED_ERR: Raised if this map is readonly.

removeNamedItemNS introduced in DOM Level 2
Removes a node specified by local name and namespace URI. A removed attribute may be known to have a default value when this map contains the attributes attached to an element, as returned by the attributes attribute of the Node interface. If so, an attribute immediately appears containing the default value as well as the corresponding namespace URI, local name, and prefix when applicable.
Per [XML Namespaces], applications must use the value null as the namespaceURI parameter for methods if they wish to have no namespace.
Parameters
namespaceURI of type DOMString
The namespace URI of the node to remove.
localName of type DOMString
The local name of the node to remove.
Return Value

Node

The node removed from this map if a node with such a local name and namespace URI exists.

Exceptions

DOMException

NOT_FOUND_ERR: Raised if there is no node with the specified namespaceURI and localName in this map.

NO_MODIFICATION_ALLOWED_ERR: Raised if this map is readonly.

NOT_SUPPORTED_ERR: May be raised if the implementation does not support the feature "XML" and the language exposed through the Document does not support XML Namespaces (such as [HTML 4.01]).

setNamedItem
Adds a node using its nodeName attribute. If a node with that name is already present in this map, it is replaced by the new one. Replacing a node by itself has no effect.
As the nodeName attribute is used to derive the name which the node must be stored under, multiple nodes of certain types (those that have a "special" string value) cannot be stored as the names would clash. This is seen as preferable to allowing nodes to be aliased.
Parameters
arg of type Node
A node to store in this map. The node will later be accessible using the value of its nodeName attribute.
Return Value

Node

If the new Node replaces an existing node the replaced Node is returned, otherwise null is returned.

Exceptions

DOMException

WRONG_DOCUMENT_ERR: Raised if arg was created from a different document than the one that created this map.

NO_MODIFICATION_ALLOWED_ERR: Raised if this map is readonly.

INUSE_ATTRIBUTE_ERR: Raised if arg is an Attr that is already an attribute of another Element object. The DOM user must explicitly clone Attr nodes to re-use them in other elements.

HIERARCHY_REQUEST_ERR: Raised if an attempt is made to add a node doesn't belong in this NamedNodeMap. Examples would include trying to insert something other than an Attr node into an Element's map of attributes, or a non-Entity node into the DocumentType's map of Entities.

setNamedItemNS introduced in DOM Level 2
Adds a node using its namespaceURI and localName. If a node with that namespace URI and that local name is already present in this map, it is replaced by the new one. Replacing a node by itself has no effect.
Per [XML Namespaces], applications must use the value null as the namespaceURI parameter for methods if they wish to have no namespace.
Parameters
arg of type Node
A node to store in this map. The node will later be accessible using the value of its namespaceURI and localName attributes.
Return Value

Node

If the new Node replaces an existing node the replaced Node is returned, otherwise null is returned.

Exceptions

DOMException

WRONG_DOCUMENT_ERR: Raised if arg was created from a different document than the one that created this map.

NO_MODIFICATION_ALLOWED_ERR: Raised if this map is readonly.

INUSE_ATTRIBUTE_ERR: Raised if arg is an Attr that is already an attribute of another Element object. The DOM user must explicitly clone Attr nodes to re-use them in other elements.

HIERARCHY_REQUEST_ERR: Raised if an attempt is made to add a node doesn't belong in this NamedNodeMap. Examples would include trying to insert something other than an Attr node into an Element's map of attributes, or a non-Entity node into the DocumentType's map of Entities.

NOT_SUPPORTED_ERR: May be raised if the implementation does not support the feature "XML" and the language exposed through the Document does not support XML Namespaces (such as [HTML 4.01]).

Interface CharacterData

The CharacterData interface extends Node with a set of attributes and methods for accessing character data in the DOM. For clarity this set is defined here rather than on each object that uses these attributes and methods. No DOM objects correspond directly to CharacterData, though Text and others do inherit the interface from it. All offsets in this interface start from 0.

As explained in the DOMString interface, text strings in the DOM are represented in UTF-16, i.e. as a sequence of 16-bit units. In the following, the term 16-bit units is used whenever necessary to indicate that indexing on CharacterData is done in 16-bit units.


IDL Definition
interface CharacterData : Node {
           attribute DOMString       data;
                                        // raises(DOMException) on setting
                                        // raises(DOMException) on retrieval

  readonly attribute unsigned long   length;
  DOMString          substringData(in unsigned long offset, 
                                   in unsigned long count)
                                        raises(DOMException);
  void               appendData(in DOMString arg)
                                        raises(DOMException);
  void               insertData(in unsigned long offset, 
                                in DOMString arg)
                                        raises(DOMException);
  void               deleteData(in unsigned long offset, 
                                in unsigned long count)
                                        raises(DOMException);
  void               replaceData(in unsigned long offset, 
                                 in unsigned long count, 
                                 in DOMString arg)
                                        raises(DOMException);
};

Attributes
data of type DOMString
The character data of the node that implements this interface. The DOM implementation may not put arbitrary limits on the amount of data that may be stored in a CharacterData node. However, implementation limits may mean that the entirety of a node's data may not fit into a single DOMString. In such cases, the user may call substringData to retrieve the data in appropriately sized pieces.
Exceptions on setting

DOMException

NO_MODIFICATION_ALLOWED_ERR: Raised when the node is readonly.

Exceptions on retrieval

DOMException

DOMSTRING_SIZE_ERR: Raised when it would return more characters than fit in a DOMString variable on the implementation platform.

length of type unsigned long, readonly
The number of 16-bit units that are available through data and the substringData method below. This may have the value zero, i.e., CharacterData nodes may be empty.
Methods
appendData
Append the string to the end of the character data of the node. Upon success, data provides access to the concatenation of data and the DOMString specified.
Parameters
arg of type DOMString
The DOMString to append.
Exceptions

DOMException

NO_MODIFICATION_ALLOWED_ERR: Raised if this node is readonly.

No Return Value
deleteData
Remove a range of 16-bit units from the node. Upon success, data and length reflect the change.
Parameters
offset of type unsigned long
The offset from which to start removing.
count of type unsigned long
The number of 16-bit units to delete. If the sum of offset and count exceeds length then all 16-bit units from offset to the end of the data are deleted.
Exceptions

DOMException

INDEX_SIZE_ERR: Raised if the specified offset is negative or greater than the number of 16-bit units in data, or if the specified count is negative.

NO_MODIFICATION_ALLOWED_ERR: Raised if this node is readonly.

No Return Value
insertData
Insert a string at the specified 16-bit unit offset.
Parameters
offset of type unsigned long
The character offset at which to insert.
arg of type DOMString
The DOMString to insert.
Exceptions

DOMException

INDEX_SIZE_ERR: Raised if the specified offset is negative or greater than the number of 16-bit units in data.

NO_MODIFICATION_ALLOWED_ERR: Raised if this node is readonly.

No Return Value
replaceData
Replace the characters starting at the specified 16-bit unit offset with the specified string.
Parameters
offset of type unsigned long
The offset from which to start replacing.
count of type unsigned long
The number of 16-bit units to replace. If the sum of offset and count exceeds length, then all 16-bit units to the end of the data are replaced; (i.e., the effect is the same as a remove method call with the same range, followed by an append method invocation).
arg of type DOMString
The DOMString with which the range must be replaced.
Exceptions

DOMException

INDEX_SIZE_ERR: Raised if the specified offset is negative or greater than the number of 16-bit units in data, or if the specified count is negative.

NO_MODIFICATION_ALLOWED_ERR: Raised if this node is readonly.

No Return Value
substringData
Extracts a range of data from the node.
Parameters
offset of type unsigned long
Start offset of substring to extract.
count of type unsigned long
The number of 16-bit units to extract.
Return Value

DOMString

The specified substring. If the sum of offset and count exceeds the length, then all 16-bit units to the end of the data are returned.

Exceptions

DOMException

INDEX_SIZE_ERR: Raised if the specified offset is negative or greater than the number of 16-bit units in data, or if the specified count is negative.

DOMSTRING_SIZE_ERR: Raised if the specified range of text does not fit into a DOMString.

Interface Attr

The Attr interface represents an attribute in an Element object. Typically the allowable values for the attribute are defined in a schema associated with the document.

Attr objects inherit the Node interface, but since they are not actually child nodes of the element they describe, the DOM does not consider them part of the document tree. Thus, the Node attributes parentNode, previousSibling, and nextSibling have a null value for Attr objects. The DOM takes the view that attributes are properties of elements rather than having a separate identity from the elements they are associated with; this should make it more efficient to implement such features as default attributes associated with all elements of a given type. Furthermore, Attr nodes may not be immediate children of a DocumentFragment. However, they can be associated with Element nodes contained within a DocumentFragment. In short, users and implementors of the DOM need to be aware that Attr nodes have some things in common with other objects inheriting the Node interface, but they also are quite distinct.

The attribute's effective value is determined as follows: if this attribute has been explicitly assigned any value, that value is the attribute's effective value; otherwise, if there is a declaration for this attribute, and that declaration includes a default value, then that default value is the attribute's effective value; otherwise, the attribute does not exist on this element in the structure model until it has been explicitly added. Note that the Node.nodeValue attribute on the Attr instance can also be used to retrieve the string version of the attribute's value(s).

If the attribute was not explicitly given a value in the instance document but has a default value provided by the schema associated with the document, an attribute node will be created with specified set to false. Removing attribute nodes for which a default value is defined in the schema generates a new attribute node with the default value and specified set to false. If validation occurred while invoking Document.normalizeDocument(), attribute nodes with specified equals to false are recomputed according to the default attribute values provided by the schema. If no default value is associate with this attribute in the schema, the attribute node is discarded.

In XML, where the value of an attribute can contain entity references, the child nodes of the Attr node may be either Text or EntityReference nodes (when these are in use; see the description of EntityReference for discussion).

The DOM Core represents all attribute values as simple strings, even if the DTD or schema associated with the document declares them of some specific type such as tokenized.

The way attribute value normalization is performed by the DOM implementation depends on how much the implementation knows about the schema in use. Typically, the value and nodeValue attributes of an Attr node initially returns the normalized value given by the parser. It is also the case after Document.normalizeDocument() is called (assuming the right options have been set). But this may not be the case after mutation, independently of whether the mutation is performed by setting the string value directly or by changing the Attr child nodes. In particular, this is true when character references are involved, given that they are not represented in the DOM and they impact attribute value normalization. On the other hand, if the implementation knows about the schema in use when the attribute value is changed, and it is of a different type than CDATA, it may normalize it again at that time. This is especially true of specialized DOM implementations, such as SVG DOM implementations, which store attribute values in an internal form different from a string.

The following table gives some examples of the relations between the attribute value in the original document (parsed attribute), the value as exposed in the DOM, and the serialization of the value:

Examples Parsed attribute value Initial Attr.value Serialized attribute value
Character reference
"x&#178;=5"
"x²=5"
"x&#178;=5"
Built-in character entity
"y&lt;6"
"y<6"
"y&lt;6"
Literal newline between
"x=5&#10;y=6"
"x=5
y=6"
"x=5&#10;y=6"
Normalized newline between
"x=5
y=6"
"x=5 y=6"
"x=5 y=6"
Entity e with literal newline
<!ENTITY e
'...&#10;...'>
[...]>
"x=5&e;y=6"
Dependent on Implementation and Load Options Dependent on Implementation and Load/Save Options

IDL Definition
interface Attr : Node {
  readonly attribute DOMString       name;
  readonly attribute boolean         specified;
           attribute DOMString       value;
                                        // raises(DOMException) on setting

  // Introduced in DOM Level 2:
  readonly attribute Element         ownerElement;
  // Introduced in DOM Level 3:
  readonly attribute TypeInfo        schemaTypeInfo;
  // Introduced in DOM Level 3:
  readonly attribute boolean         isId;
};

Attributes
isId of type boolean, readonly, introduced in DOM Level 3
Returns whether this attribute is known to be of type ID (i.e. to contain an identifier for its owner element) or not. When it is and its value is unique, the ownerElement of this attribute can be retrieved using the method Document.getElementById. The implementation could use several ways to determine if an attribute node is known to contain an identifier:
  • If validation occurred using an XML Schema [XML Schema Part 1] while loading the document or while invoking Document.normalizeDocument(), the post-schema-validation infoset contributions (PSVI contributions) values are used to determine if this attribute is a schema-determined ID attribute using the schema-determined ID definition in [XPointer].
  • If validation occurred using a DTD while loading the document or while invoking Document.normalizeDocument(), the infoset [type definition] value is used to determine if this attribute is a DTD-determined ID attribute using the DTD-determined ID definition in [XPointer].
  • from the use of the methods Element.setIdAttribute(), Element.setIdAttributeNS(), or Element.setIdAttributeNode(), i.e. it is an user-determined ID attribute;

    Note: XPointer framework (see section 3.2 in [XPointer]) consider the DOM user-determined ID attribute as being part of the XPointer externally-determined ID definition.

  • using mechanisms that are outside the scope of this specification, it is then an externally-determined ID attribute. This includes using schema languages different from XML schema and DTD.

If validation occurred while invoking Document.normalizeDocument(), all user-determined ID attributes are reset and all attribute nodes ID information are then reevaluated in accordance to the schema used. As a consequence, if the Attr.schemaTypeInfo attribute contains an ID type, isId will always return true.
name of type DOMString, readonly
Returns the name of this attribute. If Node.localName is different from null, this attribute is a qualified name.
ownerElement of type Element, readonly, introduced in DOM Level 2
The Element node this attribute is attached to or null if this attribute is not in use.
schemaTypeInfo of type TypeInfo, readonly, introduced in DOM Level 3
The type information associated with this attribute. While the type information contained in this attribute is guarantee to be correct after loading the document or invoking Document.normalizeDocument(), schemaTypeInfo may not be reliable if the node was moved.
specified of type boolean, readonly
True if this attribute was explicitly given a value in the instance document, false otherwise. If the application changed the value of this attribute node (even if it ends up having the same value as the default value) then it is set to true. The implementation may handle attributes with default values from other schemas similarly but applications should use Document.normalizeDocument() to guarantee this information is up-to-date.
value of type DOMString
On retrieval, the value of the attribute is returned as a string. Character and general entity references are replaced with their values. See also the method getAttribute on the Element interface.
On setting, this creates a Text node with the unparsed contents of the string, i.e. any characters that an XML processor would recognize as markup are instead treated as literal text. See also the method Element.setAttribute().
Some specialized implementations, such as some [SVG 1.1] implementations, may do normalization automatically, even after mutation; in such case, the value on retrieval may differ from the value on setting.
Exceptions on setting

DOMException

NO_MODIFICATION_ALLOWED_ERR: Raised when the node is readonly.

Interface Element

The Element interface represents an element in an HTML or XML document. Elements may have attributes associated with them; since the Element interface inherits from Node, the generic Node interface attribute attributes may be used to retrieve the set of all attributes for an element. There are methods on the Element interface to retrieve either an Attr object by name or an attribute value by name. In XML, where an attribute value may contain entity references, an Attr object should be retrieved to examine the possibly fairly complex sub-tree representing the attribute value. On the other hand, in HTML, where all attributes have simple string values, methods to directly access an attribute value can safely be used as a convenience.

Note: In DOM Level 2, the method normalize is inherited from the Node interface where it was moved.


IDL Definition
interface Element : Node {
  readonly attribute DOMString       tagName;
  DOMString          getAttribute(in DOMString name);
  void               setAttribute(in DOMString name, 
                                  in DOMString value)
                                        raises(DOMException);
  void               removeAttribute(in DOMString name)
                                        raises(DOMException);
  Attr               getAttributeNode(in DOMString name);
  Attr               setAttributeNode(in Attr newAttr)
                                        raises(DOMException);
  Attr               removeAttributeNode(in Attr oldAttr)
                                        raises(DOMException);
  NodeList           getElementsByTagName(in DOMString name);
  // Introduced in DOM Level 2:
  DOMString          getAttributeNS(in DOMString namespaceURI, 
                                    in DOMString localName)
                                        raises(DOMException);
  // Introduced in DOM Level 2:
  void               setAttributeNS(in DOMString namespaceURI, 
                                    in DOMString qualifiedName, 
                                    in DOMString value)
                                        raises(DOMException);
  // Introduced in DOM Level 2:
  void               removeAttributeNS(in DOMString namespaceURI, 
                                       in DOMString localName)
                                        raises(DOMException);
  // Introduced in DOM Level 2:
  Attr               getAttributeNodeNS(in DOMString namespaceURI, 
                                        in DOMString localName)
                                        raises(DOMException);
  // Introduced in DOM Level 2:
  Attr               setAttributeNodeNS(in Attr newAttr)
                                        raises(DOMException);
  // Introduced in DOM Level 2:
  NodeList           getElementsByTagNameNS(in DOMString namespaceURI, 
                                            in DOMString localName)
                                        raises(DOMException);
  // Introduced in DOM Level 2:
  boolean            hasAttribute(in DOMString name);
  // Introduced in DOM Level 2:
  boolean            hasAttributeNS(in DOMString namespaceURI, 
                                    in DOMString localName)
                                        raises(DOMException);
  // Introduced in DOM Level 3:
  readonly attribute TypeInfo        schemaTypeInfo;
  // Introduced in DOM Level 3:
  void               setIdAttribute(in DOMString name, 
                                    in boolean isId)
                                        raises(DOMException);
  // Introduced in DOM Level 3:
  void               setIdAttributeNS(in DOMString namespaceURI, 
                                      in DOMString localName, 
                                      in boolean isId)
                                        raises(DOMException);
  // Introduced in DOM Level 3:
  void               setIdAttributeNode(in Attr idAttr, 
                                        in boolean isId)
                                        raises(DOMException);
};

Attributes
schemaTypeInfo of type TypeInfo, readonly, introduced in DOM Level 3
The type information associated with this element.
tagName of type DOMString, readonly
The name of the element. If Node.localName is different from null, this attribute is a qualified name. For example, in:
          <elementExample id="demo"> 
          ... 
          </elementExample> ,
        
tagName has the value "elementExample". Note that this is case-preserving in XML, as are all of the operations of the DOM. The HTML DOM returns the tagName of an HTML element in the canonical uppercase form, regardless of the case in the source HTML document.
Methods
getAttribute
Retrieves an attribute value by name.
Parameters
name of type DOMString
The name of the attribute to retrieve.
Return Value

DOMString

The Attr value as a string, or the empty string if that attribute does not have a specified or default value.

No Exceptions
getAttributeNS introduced in DOM Level 2
Retrieves an attribute value by local name and namespace URI.
Per [XML Namespaces], applications must use the value null as the namespaceURI parameter for methods if they wish to have no namespace.
Parameters
namespaceURI of type DOMString
The namespace URI of the attribute to retrieve.
localName of type DOMString
The local name of the attribute to retrieve.
Return Value

DOMString

The Attr value as a string, or the empty string if that attribute does not have a specified or default value.

Exceptions

DOMException

NOT_SUPPORTED_ERR: May be raised if the implementation does not support the feature "XML" and the language exposed through the Document does not support XML Namespaces (such as [HTML 4.01]).

getAttributeNode
Retrieves an attribute node by name.
To retrieve an attribute node by qualified name and namespace URI, use the getAttributeNodeNS method.
Parameters
name of type DOMString
The name (nodeName) of the attribute to retrieve.
Return Value

Attr

The Attr node with the specified name (nodeName) or null if there is no such attribute.

No Exceptions
getAttributeNodeNS introduced in DOM Level 2
Retrieves an Attr node by local name and namespace URI.
Per [XML Namespaces], applications must use the value null as the namespaceURI parameter for methods if they wish to have no namespace.
Parameters
namespaceURI of type DOMString
The namespace URI of the attribute to retrieve.
localName of type DOMString
The local name of the attribute to retrieve.
Return Value

Attr

The Attr node with the specified attribute local name and namespace URI or null if there is no such attribute.

Exceptions

DOMException

NOT_SUPPORTED_ERR: May be raised if the implementation does not support the feature "XML" and the language exposed through the Document does not support XML Namespaces (such as [HTML 4.01]).

getElementsByTagName
Returns a NodeList of all descendant Elements with a given tag name, in document order.
Parameters
name of type DOMString
The name of the tag to match on. The special value "*" matches all tags.
Return Value

NodeList

A list of matching Element nodes.

No Exceptions
getElementsByTagNameNS introduced in DOM Level 2
Returns a NodeList of all the descendant Elements with a given local name and namespace URI in document order.
Parameters
namespaceURI of type DOMString
The namespace URI of the elements to match on. The special value "*" matches all namespaces.
localName of type DOMString
The local name of the elements to match on. The special value "*" matches all local names.
Return Value

NodeList

A new NodeList object containing all the matched Elements.

Exceptions

DOMException

NOT_SUPPORTED_ERR: May be raised if the implementation does not support the feature "XML" and the language exposed through the Document does not support XML Namespaces (such as [HTML 4.01]).

hasAttribute introduced in DOM Level 2
Returns true when an attribute with a given name is specified on this element or has a default value, false otherwise.
Parameters
name of type DOMString
The name of the attribute to look for.
Return Value

boolean

true if an attribute with the given name is specified on this element or has a default value, false otherwise.

No Exceptions
hasAttributeNS introduced in DOM Level 2
Returns true when an attribute with a given local name and namespace URI is specified on this element or has a default value, false otherwise.
Per [XML Namespaces], applications must use the value null as the namespaceURI parameter for methods if they wish to have no namespace.
Parameters
namespaceURI of type DOMString
The namespace URI of the attribute to look for.
localName of type DOMString
The local name of the attribute to look for.
Return Value

boolean

true if an attribute with the given local name and namespace URI is specified or has a default value on this element, false otherwise.

Exceptions

DOMException

NOT_SUPPORTED_ERR: May be raised if the implementation does not support the feature "XML" and the language exposed through the Document does not support XML Namespaces (such as [HTML 4.01]).

removeAttribute
Removes an attribute by name. If a default value for the removed attribute is defined in the DTD, a new attribute immediately appears with the default value as well as the corresponding namespace URI, local name, and prefix when applicable. The implementation may handle default values from other schemas similarly but applications should use Document.normalizeDocument() to guarantee this information is up-to-date.
If no attribute with this name is found, this method has no effect.
To remove an attribute by local name and namespace URI, use the removeAttributeNS method.
Parameters
name of type DOMString
The name of the attribute to remove.
Exceptions

DOMException

NO_MODIFICATION_ALLOWED_ERR: Raised if this node is readonly.

No Return Value
removeAttributeNS introduced in DOM Level 2
Removes an attribute by local name and namespace URI. If a default value for the removed attribute is defined in the DTD, a new attribute immediately appears with the default value as well as the corresponding namespace URI, local name, and prefix when applicable. The implementation may handle default values from other schemas similarly but applications should use Document.normalizeDocument() to guarantee this information is up-to-date.
If no attribute with this local name and namespace URI is found, this method has no effect.
Per [XML Namespaces], applications must use the value null as the namespaceURI parameter for methods if they wish to have no namespace.
Parameters
namespaceURI of type DOMString
The namespace URI of the attribute to remove.
localName of type DOMString
The local name of the attribute to remove.
Exceptions

DOMException

NO_MODIFICATION_ALLOWED_ERR: Raised if this node is readonly.

NOT_SUPPORTED_ERR: May be raised if the implementation does not support the feature "XML" and the language exposed through the Document does not support XML Namespaces (such as [HTML 4.01]).

No Return Value
removeAttributeNode
Removes the specified attribute node. If a default value for the removed Attr node is defined in the DTD, a new node immediately appears with the default value as well as the corresponding namespace URI, local name, and prefix when applicable. The implementation may handle default values from other schemas similarly but applications should use Document.normalizeDocument() to guarantee this information is up-to-date.
Parameters
oldAttr of type Attr
The Attr node to remove from the attribute list.
Return Value

Attr

The Attr node that was removed.

Exceptions

DOMException

NO_MODIFICATION_ALLOWED_ERR: Raised if this node is readonly.

NOT_FOUND_ERR: Raised if oldAttr is not an attribute of the element.

setAttribute
Adds a new attribute. If an attribute with that name is already present in the element, its value is changed to be that of the value parameter. This value is a simple string; it is not parsed as it is being set. So any markup (such as syntax to be recognized as an entity reference) is treated as literal text, and needs to be appropriately escaped by the implementation when it is written out. In order to assign an attribute value that contains entity references, the user must create an Attr node plus any Text and EntityReference nodes, build the appropriate subtree, and use setAttributeNode to assign it as the value of an attribute.
To set an attribute with a qualified name and namespace URI, use the setAttributeNS method.
Parameters
name of type DOMString
The name of the attribute to create or alter.
value of type DOMString
Value to set in string form.
Exceptions

DOMException

INVALID_CHARACTER_ERR: Raised if the specified name contains an illegal character according to the XML version in use specified in the Document.xmlVersion attribute.

NO_MODIFICATION_ALLOWED_ERR: Raised if this node is readonly.

No Return Value
setAttributeNS introduced in DOM Level 2
Adds a new attribute. If an attribute with the same local name and namespace URI is already present on the element, its prefix is changed to be the prefix part of the qualifiedName, and its value is changed to be the value parameter. This value is a simple string; it is not parsed as it is being set. So any markup (such as syntax to be recognized as an entity reference) is treated as literal text, and needs to be appropriately escaped by the implementation when it is written out. In order to assign an attribute value that contains entity references, the user must create an Attr node plus any Text and EntityReference nodes, build the appropriate subtree, and use setAttributeNodeNS or setAttributeNode to assign it as the value of an attribute.
Per [XML Namespaces], applications must use the value null as the namespaceURI parameter for methods if they wish to have no namespace.
Parameters
namespaceURI of type DOMString
The namespace URI of the attribute to create or alter.
qualifiedName of type DOMString
The qualified name of the attribute to create or alter.
value of type DOMString
The value to set in string form.
Exceptions

DOMException

INVALID_CHARACTER_ERR: Raised if the specified qualified name contains an illegal character according to the XML version in use specified in the Document.xmlVersion attribute.

NO_MODIFICATION_ALLOWED_ERR: Raised if this node is readonly.

NAMESPACE_ERR: Raised if the qualifiedName is malformed per the Namespaces in XML specification, if the qualifiedName has a prefix and the namespaceURI is null, if the qualifiedName has a prefix that is "xml" and the namespaceURI is different from "http://www.w3.org/XML/1998/namespace", if the qualifiedName or its prefix is "xmlns" and the namespaceURI is different from "http://www.w3.org/2000/xmlns/", or if the namespaceURI is "http://www.w3.org/2000/xmlns/" and neither the qualifiedName nor its prefix is "xmlns".

NOT_SUPPORTED_ERR: May be raised if the implementation does not support the feature "XML" and the language exposed through the Document does not support XML Namespaces (such as [HTML 4.01]).

No Return Value
setAttributeNode
Adds a new attribute node. If an attribute with that name (nodeName) is already present in the element, it is replaced by the new one. Replacing an attribute node by itself has no effect.
To add a new attribute node with a qualified name and namespace URI, use the setAttributeNodeNS method.
Parameters
newAttr of type Attr
The Attr node to add to the attribute list.
Return Value

Attr

If the newAttr attribute replaces an existing attribute, the replaced Attr node is returned, otherwise null is returned.

Exceptions

DOMException

WRONG_DOCUMENT_ERR: Raised if newAttr was created from a different document than the one that created the element.

NO_MODIFICATION_ALLOWED_ERR: Raised if this node is readonly.

INUSE_ATTRIBUTE_ERR: Raised if newAttr is already an attribute of another Element object. The DOM user must explicitly clone Attr nodes to re-use them in other elements.

setAttributeNodeNS introduced in DOM Level 2
Adds a new attribute. If an attribute with that local name and that namespace URI is already present in the element, it is replaced by the new one. Replacing an attribute node by itself has no effect.
Per [XML Namespaces], applications must use the value null as the namespaceURI parameter for methods if they wish to have no namespace.
Parameters
newAttr of type Attr
The Attr node to add to the attribute list.
Return Value

Attr

If the newAttr attribute replaces an existing attribute with the same local name and namespace URI, the replaced Attr node is returned, otherwise null is returned.

Exceptions

DOMException

WRONG_DOCUMENT_ERR: Raised if newAttr was created from a different document than the one that created the element.

NO_MODIFICATION_ALLOWED_ERR: Raised if this node is readonly.

INUSE_ATTRIBUTE_ERR: Raised if newAttr is already an attribute of another Element object. The DOM user must explicitly clone Attr nodes to re-use them in other elements.

NOT_SUPPORTED_ERR: May be raised if the implementation does not support the feature "XML" and the language exposed through the Document does not support XML Namespaces (such as [HTML 4.01]).

setIdAttribute introduced in DOM Level 3
If the parameter isId is true, this method declares the specified attribute to be a user-determined ID attribute. This affects the value of Attr.isId and the behavior of Document.getElementById, but does not change any schema that may be in use, in particular this does not affect the Attr.schemaTypeInfo of the specified Attr node. Use the value false for the parameter isId to undeclare an attribute for being a user-determined ID attribute.
To specify an attribute by local name and namespace URI, use the setIdAttributeNS method.
Parameters
name of type DOMString
The name of the attribute.
isId of type boolean
Whether the attribute is a of type ID.
Exceptions

DOMException

NO_MODIFICATION_ALLOWED_ERR: Raised if this node is readonly.

NOT_FOUND_ERR: Raised if the specified node is not an attribute of this element.

No Return Value
setIdAttributeNS introduced in DOM Level 3
If the parameter isId is true, this method declares the specified attribute to be a user-determined ID attribute. This affects the value of Attr.isId and the behavior of Document.getElementById, but does not change any schema that may be in use, in particular this does not affect the Attr.schemaTypeInfo of the specified Attr node. Use the value false for the parameter isId to undeclare an attribute for being a user-determined ID attribute.
Parameters
namespaceURI of type DOMString
The namespace URI of the attribute.
localName of type DOMString
The local name of the attribute.
isId of type boolean
Whether the attribute is a of type ID.
Exceptions

DOMException

NO_MODIFICATION_ALLOWED_ERR: Raised if this node is readonly.

NOT_FOUND_ERR: Raised if the specified node is not an attribute of this element.

No Return Value
setIdAttributeNode introduced in DOM Level 3
Declares the attribute specified by node to be of type ID, i.e. the Attr node becomes a user-determined ID attribute and its attribute Attr.isId will be true. Note, however, that this simply affects the attribute Attr.isId of the Attr node and does not change any schema that may be in use, in particular this does not affect the Attr.schemaTypeInfo of the specified Attr node.
Parameters
idAttr of type Attr
The attribute node.
isId of type boolean
Whether the attribute is a of type ID.
Exceptions

DOMException

NO_MODIFICATION_ALLOWED_ERR: Raised if this node is readonly.

NOT_FOUND_ERR: Raised if the specified node is not an attribute of this element.

No Return Value
Interface Text

The Text interface inherits from CharacterData and represents the textual content (termed character data in XML) of an Element or Attr. If there is no markup inside an element's content, the text is contained in a single object implementing the Text interface that is the only child of the element. If there is markup, it is parsed into the information items (elements, comments, etc.) and Text nodes that form the list of children of the element.

When a document is first made available via the DOM, there is only one Text node for each block of text. Users may create adjacent Text nodes that represent the contents of a given element without any intervening markup, but should be aware that there is no way to represent the separations between these nodes in XML or HTML, so they will not (in general) persist between DOM editing sessions. The Node.normalize() method merges any such adjacent Text objects into a single node for each block of text.

No lexical check is done on the content of a Text node and, depending on its position in the document, some characters must be escaped during serialization using character references; e.g. the characters "<&" if the textual content is part of an element or of an attribute, the character sequence "]]>" when part of an element, the quotation mark character " or the apostrophe character ' when part of an attribute.


IDL Definition
interface Text : CharacterData {
  Text               splitText(in unsigned long offset)
                                        raises(DOMException);
  // Introduced in DOM Level 3:
  readonly attribute boolean         isElementContentWhitespace;
  // Introduced in DOM Level 3:
  readonly attribute DOMString       wholeText;
  // Introduced in DOM Level 3:
  Text               replaceWholeText(in DOMString content)
                                        raises(DOMException);
};

Attributes
isElementContentWhitespace of type boolean, readonly, introduced in DOM Level 3
Returns whether this text node contains element content whitespace, often abusively called "ignorable whitespace". The text node is determined to contain whitespace in element content during the load of the document or if validation occurs while using Document.normalizeDocument().
wholeText of type DOMString, readonly, introduced in DOM Level 3
Returns all text of Text nodes logically-adjacent text nodes to this node, concatenated in document order.
For instance, in the example below wholeText on the Text node that contains "bar" returns "barfoo", while on the Text node that contains "foo" it returns "barfoo".
barTextNode.wholeText value is "barfoo"

Figure: barTextNode.wholeText value is "barfoo" [SVG 1.0 version]

Methods
replaceWholeText introduced in DOM Level 3
Replaces the text of the current node and all logically-adjacent text nodes with the specified text. All logically-adjacent text nodes are removed including the current node unless it was the recipient of the replacement text.
This method returns the node which received the replacement text. The returned node is:
  • null, when the replacement text is the empty string;
  • the current node, except when the current node is read-only;
  • a new Text node of the same type (Text or CDATASection) as the current node inserted at the location of the replacement.

For instance, in the above example calling replaceWholeText on the Text node that contains "bar" with "yo" in argument results in the following:
barTextNode.replaceWholeText("yo") modifies the textual content of barTextNode with "yo"

Figure: barTextNode.replaceWholeText("yo") modifies the textual content of barTextNode with "yo" [SVG 1.0 version]


Where the nodes to be removed are read-only descendants of an EntityReference, the EntityReference must be removed instead of the read-only nodes. If any EntityReference to be removed has descendants that are not EntityReference, Text, or CDATASection nodes, the replaceWholeText method must fail before performing any modification of the document, raising a DOMException with the code NO_MODIFICATION_ALLOWED_ERR.
For instance, in the example below calling replaceWholeText on the Text node that contains "bar" fails, because the EntityReference node "ent" contains an Element node which cannot be removed.
barTextNode.replaceWholeText("yo") raises a NO_MODIFICATION_ALLOWED_ERR DOMException

Figure: barTextNode.replaceWholeText("yo") raises a NO_MODIFICATION_ALLOWED_ERR DOMException [SVG 1.0 version]

Parameters
content of type DOMString
The content of the replacing Text node.
Return Value

Text

The Text node created with the specified content.

Exceptions

DOMException

NO_MODIFICATION_ALLOWED_ERR: Raised if one of the Text nodes being replaced is readonly.

splitText
Breaks this node into two nodes at the specified offset, keeping both in the tree as siblings. After being split, this node will contain all the content up to the offset point. A new node of the same type, which contains all the content at and after the offset point, is returned. If the original node had a parent node, the new node is inserted as the next sibling of the original node. When the offset is equal to the length of this node, the new node has no data.
Parameters
offset of type unsigned long
The 16-bit unit offset at which to split, starting from 0.
Return Value

Text

The new node, of the same type as this node.

Exceptions

DOMException

INDEX_SIZE_ERR: Raised if the specified offset is negative or greater than the number of 16-bit units in data.

NO_MODIFICATION_ALLOWED_ERR: Raised if this node is readonly.

Interface Comment

This interface inherits from CharacterData and represents the content of a comment, i.e., all the characters between the starting '<!--' and ending '-->'. Note that this is the definition of a comment in XML, and, in practice, HTML, although some HTML tools may implement the full SGML comment structure.

No lexical check is done on the content of a comment and it is therefore possible to have the character sequence "--" (double-hyphen) in the content, which is illegal in a comment per section 2.5 of [XML 1.0]. The presence of this character sequence must generate a fatal error during serialization.


IDL Definition
interface Comment : CharacterData {
};

Interface TypeInfo (introduced in DOM Level 3)

The TypeInfo interface represents a type referenced from Element or Attr nodes, specified in the schemas associated with the document. The type is a pair of a namespace URI and name properties, and depends on the document's schema.

If the document's schema is an XML DTD [XML 1.0], the values are computed as follows:

  • If this type is referenced from an Attr node, typeNamespace is "http://www.w3.org/TR/REC-xml" and typeName represents the [attribute type] property in the [XML Information Set]. If there is no declaration for the attribute, typeNamespace and typeName are null.
  • If this type is referenced from an Element node, typeNamespace and typeName are null.

If the document's schema is an XML Schema [XML Schema Part 1], the values are computed as follows using the post-schema-validation infoset contributions (also called PSVI contributions):

  • If the [validity] property exists AND is "invalid" or "notKnown": the {target namespace} and {name} properties of the declared type if available, otherwise null.

    Note: At the time of writing, the XML Schema specification does not require exposing the declared type. Thus, DOM implementations might choose not to provide type information if validity is not valid.

  • If the [validity] property exists and is "valid":
    1. If [member type definition] exists:
      1. If {name} is not absent, then expose {name} and {target namespace} properties of the [member type definition] property;
      2. Otherwise, expose the namespace and local name of the corresponding anonymous type name.
    2. If the [type definition] property exists:
      1. If {name} is not absent, then expose {name} and {target namespace} properties of the [type definition] property;
      2. Otherwise, expose the namespace and local name of the corresponding anonymous type name.
    3. If the [member type definition anonymous] exists:
      1. If it is false, then expose [member type definition name] and [member type definition namespace] properties;
      2. Otherwise, expose the namespace and local name of the corresponding anonymous type name.
    4. If the [type definition anonymous] exists:
      1. If it is false, then expose [type definition name] and [type definition namespace] properties;
      2. Otherwise, expose the namespace and local name of the corresponding anonymous type name.

Note: Other schema languages are outside the scope of the W3C and therefore should define how to represent their type systems using TypeInfo.


IDL Definition
// Introduced in DOM Level 3:
interface TypeInfo {
  readonly attribute DOMString       typeName;
  readonly attribute DOMString       typeNamespace;

  // DerivationMethods
  const unsigned long       DERIVATION_RESTRICTION         = 0x00000001;
  const unsigned long       DERIVATION_EXTENSION           = 0x00000002;
  const unsigned long       DERIVATION_UNION               = 0x00000004;
  const unsigned long       DERIVATION_LIST                = 0x00000008;

  boolean            isDerivedFrom(in DOMString typeNamespaceArg, 
                                   in DOMString typeNameArg, 
                                   in unsigned long derivationMethod);
};

Definition group DerivationMethods

The type of derivation, used by the method TypeInfo.isDerivedFrom().

Defined Constants
DERIVATION_EXTENSION
If the document's schema is an XML Schema [XML Schema Part 1], this constant represents the derivation by extension if complex types are involved.
DERIVATION_LIST
If the document's schema is an XML Schema [XML Schema Part 1], this constant represents the list if simple types are involved.
DERIVATION_RESTRICTION
If the document's schema is an XML Schema [XML Schema Part 1], this constant represents the derivation by restriction if complex types are involved, or a restriction if simple types are involved.
DERIVATION_UNION
If the document's schema is an XML Schema [XML Schema Part 1], this constant represents the union if simple types are involved.
Attributes
typeName of type DOMString, readonly
The name of a type declared for the associated element or attribute, or null if unknown.
typeNamespace of type DOMString, readonly
The namespace of the type declared for the associated element or attribute or null if the element does not have declaration or if no namespace information is available.
Methods
isDerivedFrom
The method checks if this TypeInfo derives from the specified ancestor type.
Parameters
typeNamespaceArg of type DOMString
the namespace of the ancestor type.
typeNameArg of type DOMString
the name of the ancestor type.
derivationMethod of type unsigned long
the type of derivation and conditions applied between two types, as described in the list of constants provided in this interface. Note that those constants:
  • are only defined if the document's schema is an XML Schema;
  • could be combined if XML Schema types are involved.
  • TypeInfo.DERIVATION_EXTENSION only applies to XML Schema complex types.

The value 0x00000000 represents any kind of derivation method.
Return Value

boolean

true if the specified type is an ancestor according to the derivation parameter, false otherwise. If the document's schema is a DTD or no schema is associated with the document, this method will always return false.

No Exceptions
Interface UserDataHandler (introduced in DOM Level 3)

When associating an object to a key on a node using Node.setUserData() the application can provide a handler that gets called when the node the object is associated to is being cloned, imported, or renamed. This can be used by the application to implement various behaviors regarding the data it associates to the DOM nodes. This interface defines that handler.


IDL Definition
// Introduced in DOM Level 3:
interface UserDataHandler {

  // OperationType
  const unsigned short      NODE_CLONED                    = 1;
  const unsigned short      NODE_IMPORTED                  = 2;
  const unsigned short      NODE_DELETED                   = 3;
  const unsigned short      NODE_RENAMED                   = 4;
  const unsigned short      NODE_ADOPTED                   = 5;

  void               handle(in unsigned short operation, 
                            in DOMString key, 
                            in DOMUserData data, 
                            in Node src, 
                            in Node dst);
};

Definition group OperationType

An integer indicating the type of operation being performed on a node.

Defined Constants
NODE_ADOPTED
The node is adopted, using Node.adoptNode().
NODE_CLONED
The node is cloned, using Node.cloneNode().
NODE_DELETED
The node is deleted.

Note: This may not be supported or may not be reliable in certain environments, such as Java, where the implementation has no real control over when objects are actually deleted.

NODE_IMPORTED
The node is imported, using Node.importNode().
NODE_RENAMED
The node is renamed, using Node.renameNode().
Methods
handle
This method is called whenever the node for which this handler is registered is imported or cloned.
DOM applications must not raised exceptions in a UserDataHandler. The effect of throwing exceptions from the handler is DOM implementation dependent.
Parameters
operation of type unsigned short
Specifies the type of operation that is being performed on the node.
key of type DOMString
Specifies the key for which this handler is being called.
data of type DOMUserData
Specifies the data for which this handler is being called.
src of type Node
Specifies the node being cloned, adopted, imported, or renamed. This is null when the node is being deleted.
dst of type Node
Specifies the node newly created if any, or null.
No Return Value
No Exceptions
Interface DOMError (introduced in DOM Level 3)

DOMError is an interface that describes an error.


IDL Definition
// Introduced in DOM Level 3:
interface DOMError {

  // ErrorSeverity
  const unsigned short      SEVERITY_WARNING               = 1;
  const unsigned short      SEVERITY_ERROR                 = 2;
  const unsigned short      SEVERITY_FATAL_ERROR           = 3;

  readonly attribute unsigned short  severity;
  readonly attribute DOMString       message;
  readonly attribute DOMString       type;
  readonly attribute DOMObject       relatedException;
  readonly attribute DOMObject       relatedData;
  readonly attribute DOMLocator      location;
};

Definition group ErrorSeverity

An integer indicating the severity of the error.

Defined Constants
SEVERITY_ERROR
The severity of the error described by the DOMError is error. A SEVERITY_ERROR may not cause the processing to stop if the error can be recovered, unless DOMErrorHandler.handleError() returns false.
SEVERITY_FATAL_ERROR
The severity of the error described by the DOMError is fatal error. A SEVERITY_FATAL_ERROR will cause the normal processing to stop. The return value of DOMErrorHandler.handleError() is ignored unless the implementation chooses to continue, in which case the behavior becomes undefined.
SEVERITY_WARNING
The severity of the error described by the DOMError is warning. A SEVERITY_WARNING will not cause the processing to stop, unless DOMErrorHandler.handleError() returns false.
Attributes
location of type DOMLocator, readonly
The location of the error.
message of type DOMString, readonly
An implementation specific string describing the error that occurred.
relatedData of type DOMObject, readonly
The related DOMError.type dependent data if any.
relatedException of type DOMObject, readonly
The related platform dependent exception if any.
severity of type unsigned short, readonly
The severity of the error, either SEVERITY_WARNING, SEVERITY_ERROR, or SEVERITY_FATAL_ERROR.
type of type DOMString, readonly
A DOMString indicating which related data is expected in relatedData. Users should refer to the specification of the error in order to find its DOMString type and relatedData definitions if any.

Note: As an example, Document.normalizeDocument() does generate warnings when the "split-cdata-sections" parameter is in use. Therefore, the method generates a SEVERITY_WARNING with type "cdata-section-splitted" and the first CDATASection node in document order resulting from the split is returned by the relatedData attribute.

Interface DOMErrorHandler (introduced in DOM Level 3)

DOMErrorHandler is a callback interface that the DOM implementation can call when reporting errors that happens while processing XML data, or when doing some other processing (e.g. validating a document). A DOMErrorHandler object can be attached to a Document using the "error-handler" on the DOMConfiguration interface. If more than one error needs to be reported during an operation, the sequence and numbers of the errors passed to the error handler are implementation dependent.

The application that is using the DOM implementation is expected to implement this interface.


IDL Definition
// Introduced in DOM Level 3:
interface DOMErrorHandler {
  boolean            handleError(in DOMError error);
};

Methods
handleError
This method is called on the error handler when an error occurs.
If an exception is thrown from this method, it is considered to be equivalent of returning true.
Parameters
error of type DOMError
The error object that describes the error. This object may be reused by the DOM implementation across multiple calls to the handleError method.
Return Value

boolean

If the handleError method returns false, the DOM implementation should stop the current processing when possible. If the method returns true, the processing may continue depending on DOMError.severity.

No Exceptions
Interface DOMLocator (introduced in DOM Level 3)

DOMLocator is an interface that describes a location (e.g. where an error occurred).


IDL Definition
// Introduced in DOM Level 3:
interface DOMLocator {
  readonly attribute long            lineNumber;
  readonly attribute long            columnNumber;
  readonly attribute long            byteOffset;
  readonly attribute long            utf16Offset;
  readonly attribute Node            relatedNode;
  readonly attribute DOMString       uri;
};

Attributes
byteOffset of type long, readonly
The byte offset into the input source this locator is pointing to or -1 if there is no byte offset available.
columnNumber of type long, readonly
The column number this locator is pointing to, or -1 if there is no column number available.
lineNumber of type long, readonly
The line number this locator is pointing to, or -1 if there is no column number available.
relatedNode of type Node, readonly
The node this locator is pointing to, or null if no node is available.
uri of type DOMString, readonly
The URI this locator is pointing to, or null if no URI is available.
utf16Offset of type long, readonly
The UTF-16, as defined in [Unicode] and Amendment 1 of [ISO/IEC 10646], offset into the input source this locator is pointing to or -1 if there is no UTF-16 offset available.
Interface DOMConfiguration (introduced in DOM Level 3)

The DOMConfiguration interface represents the configuration of a document and maintains a table of recognized parameters. Using the configuration, it is possible to change Document.normalizeDocument() behavior, such as replacing the CDATASection nodes with Text nodes or specifying the type of the schema that must be used when the validation of the Document is requested. DOMConfiguration objects are also used in [DOM Level 3 Load and Save] in the DOMParser and DOMSerializer interfaces.

The parameter names used by the DOMConfiguration object are defined throughout the DOM Level 3 specifications. Names are case-insensitive. To avoid possible conflicts, as a convention, names referring to parameters defined outside the DOM specification should be made unique. Because parameters are exposed as properties in the ECMAScript Language Binding, names are recommended to follow the section "5.16 Identifiers" of [Unicode] with the addition of the character '-' (HYPHEN-MINUS) but it is not enforced by the DOM implementation. DOM Level 3 Core Implementations are required to recognize all parameters defined in this specification. Some parameter values may also be required to be supported by the implementation. Refer to the definition of the parameter to know if a value must be supported or not.

Note: Parameters are similar to features and properties used in SAX2 [SAX].

The following list of parameters defined in the DOM:

"canonical-form"
true
[optional]
Canonicalize the document according to the rules specified in [Canonical XML], such as removing the DocumentType node (if any) from the tree, or removing superfluous namespace declarations from each element. Note that this is limited to what can be represented in the DOM; in particular, there is no way to specify the order of the attributes in the DOM. In addition,
Setting this parameter to true will also set the state of the parameters listed below. Later changes to the state of one of those parameters will revert "canonical-form" back to false.
Parameters set to false: "entities", "normalize-characters", "cdata-sections".
Parameters set to true: "namespaces", "namespace-declarations", "well-formed", "element-content-whitespace".
Other parameters are not changed unless explicitly specified in the description of the parameters.
false
[required] (default)
Do not canonicalize the document.
"cdata-sections"
true
[required] (default)
Keep CDATASection nodes in the document.
false
[required]
Transform CDATASection nodes in the document into Text nodes. The new Text node is then combined with any adjacent Text node.
"check-character-normalization"
true
[optional]
Check if the characters in the document are fully normalized, as defined in appendix B of [XML 1.1].
false
[required] (default)
Do not check if characters are normalized.
"comments"
true
[required] (default)
Keep Comment nodes in the document.
false
[required]
Discard Comment nodes in the document.
"datatype-normalization"
true
[optional]
Exposed schema-normalized values in the tree. Since this parameter requires to have schema information, the "validate" parameter will also be set to true. Having this parameter activated when "validate" is false has no effect and no schema-normalization will happen.

Note: Since the document contains the result of the XML 1.0 processing, this parameter does not apply to attribute value normalization as defined in section 3.3.3 of [XML 1.0] and is only meant for schema languages other than Document Type Definition (DTD).

false
[required] (default)
Do not perform schema normalization on the tree.
"element-content-whitespace"
true
[required] (default)
Keep all whitespaces in the document.
false
[optional]
Discard all Text nodes that contain whitespaces in element content, as described in [element content whitespace]. The implementation is expected to use the attribute Text.isElementContentWhitespace to determine if a Text node should be discarded or not.
"entities"
true
[required] (default)
Keep EntityReference nodes in the document.
false
[required]
Remove all EntityReference nodes from the document, putting the entity expansions directly in their place. Text nodes are normalized, as defined in Node.normalize. Only EntityReference nodes to non-defined entities are kept in the document, with their associated Entity nodes if any.
"error-handler"
[required]
Contains a DOMErrorHandler object. If an error is encountered in the document, the implementation will call back the DOMErrorHandler registered using this parameter. The implementation may provide a default DOMErrorHandler object.
When called, DOMError.relatedData will contain the closest node to where the error occurred. If the implementation is unable to determine the node where the error occurs, DOMError.relatedData will contain the Document node. Mutations to the document from within an error handler will result in implementation dependent behavior.
"infoset"
true
[required]
Keep in the document the information defined in the XML Information Set [XML Information Set].
This forces the following parameters to false: "validate-if-schema", "entities", "datatype-normalization", "cdata-sections".
This forces the following parameters to true: "namespace-declarations", "well-formed", "element-content-whitespace", "comments", "namespaces".
Other parameters are not changed unless explicitly specified in the description of the parameters.
Note that querying this parameter with getParameter returns true only if the individual parameters specified above are appropriately set.
false
Setting infoset to false has no effect.
"namespaces"
true
[required] (default)
Perform the namespace processing as defined in Namespace normalization.
false
[optional]
Do not perform the namespace processing.
"namespace-declarations"
This parameter has no effect if the parameter "namespaces" is set to false.
true
[required] (default)
Include namespace declaration attributes, specified or defaulted from the schema, in the document. See also the sections "Declaring Namespaces" in [XML Namespaces] and [XML Namespaces 1.1].
false
[required]
Discard all namespace declaration attributes. The namespace prefixes (Node.prefix) are retained even if this parameter is set to false.
"normalize-characters"
true
[optional]
Fully normalized the characters in the document as defined in appendix B of [XML 1.1].
false
[required] (default)
Do not perform character normalization.
"schema-location"
[optional]
Represent a DOMString object containing a list of URIs, separated by whitespaces (characters matching the nonterminal production S defined in section 2.3 [XML 1.0]), that represents the schemas against which validation should occur, i.e. the current schema. The types of schemas referenced in this list must match the type specified with schema-type, otherwise the behavior of an implementation is undefined.
The schemas specified using this property take precedence to the schema information specified in the document itself. For namespace aware schema, if a schema specified using this property and a schema specified in the document instance (i.e. using the schemaLocation attribute) in a schema document (i.e. using schema import mechanisms) share the same targetNamespace, the schema specified by the user using this property will be used. If two schemas specified using this property share the same targetNamespace or have no namespace, the behavior is implementation dependent.
If no location has been provided, this parameter is null.

Note: The "schema-location" parameter is ignored unless the "schema-type" parameter value is set. It is strongly recommended that Document.documentURI will be set so that an implementation can successfully resolve any external entities referenced.

"schema-type"
[optional]
Represent a DOMString object containing an absolute URI and representing the type of the schema language used to validate a document against. Note that no lexical checking is done on the absolute URI.
If this parameter is not set, a default value may be provided by the implementation, based on the schema languages supported and on the schema language used at load time. If no value is provided, this parameter is null.

Note: For XML Schema [XML Schema Part 1], applications must use the value "http://www.w3.org/2001/XMLSchema". For XML DTD [XML 1.0], applications must use the value "http://www.w3.org/TR/REC-xml". Other schema languages are outside the scope of the W3C and therefore should recommend an absolute URI in order to use this method.

"split-cdata-sections"
true
[required] (default)
Split CDATA sections containing the CDATA section termination marker ']]>'. When a CDATA section is split a warning is issued with a DOMError.type equals to "cdata-sections-splitted" and DOMError.relatedData equals to the first CDATASection node in document order resulting from the split.
false
[required]
Signal an error if a CDATASection contains an unrepresentable character.
"validate"
true
[optional]
Require the validation against a schema (i.e. XML schema, DTD, any other type or representation of schema) of the document as it is being normalized as defined by [XML 1.0]. If validation errors are found, or no schema was found, the error handler is notified. Schema-normalized values will not be exposed according to the schema in used unless the parameter "datatype-normalization" is true.
This parameter will reevaluate:

Note: "validate-if-schema" and "validate" are mutually exclusive, setting one of them to true will set the other one to false. Applications should also consider setting the parameter "well-formed" to true, which is the default for that option, when validating the document.

false
[required] (default)
Do not accomplish schema processing, including the internal subset processing. Note that validation might still happen if "validate-if-schema" is true.
"validate-if-schema"
true
[optional]
Enable validation only if a declaration for the document element can be found in a schema (independently of where it is found, i.e. XML schema, DTD, or any other type or representation of schema). If validation is enabled, this parameter has the same behavior as the parameter "validate" set to true.

Note: "validate-if-schema" and "validate" are mutually exclusive, setting one of them to true will set the other one to false.

false
[required] (default)
No schema processing should be performed if the document has a schema, including internal subset processing. Note that validation must still happen if "validate" is true.
"well-formed"
true
[required] (default)
Check if all nodes are XML well formed according to the XML version in use in Document.xmlVersion:
false
[optional]
Do not check for XML well-formedness.

The resolution of the system identifiers associated with entities is done using Document.documentURI. However, when the feature "LS" defined in [DOM Level 3 Load and Save] is supported by the DOM implementation, the parameter "resource-resolver" can also be used on DOMConfiguration objects attached to Document nodes. If this parameter is set, Document.normalizeDocument() will invoke the resource resolver instead of using Document.documentURI.


IDL Definition
// Introduced in DOM Level 3:
interface DOMConfiguration {
  void               setParameter(in DOMString name, 
                                  in DOMUserData value)
                                        raises(DOMException);
  DOMUserData        getParameter(in DOMString name)
                                        raises(DOMException);
  boolean            canSetParameter(in DOMString name, 
                                     in DOMUserData value);
  readonly attribute DOMStringList   parameterNames;
};

Attributes
parameterNames of type DOMStringList, readonly
The list of the parameters supported by this DOMConfiguration object and for which at least one value can be set by the application. Note that this list can also contain parameter names defined outside this specification.
Methods
canSetParameter
Check if setting a parameter to a specific value is supported.
Parameters
name of type DOMString
The name of the parameter to check.
value of type DOMUserData
An object. if null, the returned value is true.
Return Value

boolean

true if the parameter could be successfully set to the specified value, or false if the parameter is not recognized or the requested value is not supported. This does not change the current value of the parameter itself.

No Exceptions
getParameter
Return the value of a parameter if known.
Parameters
name of type DOMString
The name of the parameter.
Return Value

DOMUserData

The current object associated with the specified parameter or null if no object has been associated or if the parameter is not supported.

Exceptions

DOMException

NOT_FOUND_ERR: Raised when the parameter name is not recognized.

setParameter
Set the value of a parameter.
Parameters
name of type DOMString
The name of the parameter to set.
value of type DOMUserData
The new value or null if the user wishes to unset the parameter. While the type of the value parameter is defined as DOMUserData, the object type must match the type defined by the definition of the parameter. For example, if the parameter is "error-handler", the value must be of type DOMErrorHandler.
Exceptions

DOMException

NOT_FOUND_ERR: Raised when the parameter name is not recognized.

NOT_SUPPORTED_ERR: Raised when the parameter name is recognized but the requested value cannot be set.

TYPE_MISMATCH_ERR: Raised if the value type for this parameter name is incompatible with the expected value type.

No Return Value

1.5 Extended Interfaces: XML module

The interfaces defined here form part of the DOM Core specification, but objects that expose these interfaces will never be encountered in a DOM implementation that deals only with HTML.

The interfaces found within this section are not mandatory. A DOM application may use the DOMImplementation.hasFeature(feature, version) method with parameter values "XML" and "3.0" (respectively) to determine whether or not this module is supported by the implementation. In order to fully support this module, an implementation must also support the "Core" feature defined in Fundamental Interfaces: Core module and the feature "XMLVersion" with version "1.0" defined in Document.xmlVersion. Please refer to additional information about Conformance in this specification. The DOM Level 3 XML module is backward compatible with the DOM Level 2 XML [DOM Level 2 Core] and DOM Level 1 XML [DOM Level 1] modules, i.e. a DOM Level 3 XML implementation who returns true for "XML" with the version number "3.0" must also return true for this feature when the version number is "2.0", "1.0", "" or, null.

Interface CDATASection

CDATA sections are used to escape blocks of text containing characters that would otherwise be regarded as markup. The only delimiter that is recognized in a CDATA section is the "]]>" string that ends the CDATA section. CDATA sections cannot be nested. Their primary purpose is for including material such as XML fragments, without needing to escape all the delimiters.

The CharacterData.data attribute holds the text that is contained by the CDATA section. Note that this may contain characters that need to be escaped outside of CDATA sections and that, depending on the character encoding ("charset") chosen for serialization, it may be impossible to write out some characters as part of a CDATA section.

The CDATASection interface inherits from the CharacterData interface through the Text interface. Adjacent CDATASection nodes are not merged by use of the normalize method of the Node interface.

No lexical check is done on the content of a CDATA section and it is therefore possible to have the character sequence "]]>" in the content, which is illegal in a CDATA section per section 2.7 of [XML 1.0]. The presence of this character sequence must generate a fatal error during serialization or the cdata section must be splitted before the serialization (see also the parameter "split-cdata-sections" in the DOMConfiguration interface).

Note: Because no markup is recognized within a CDATASection, character numeric references cannot be used as an escape mechanism when serializing. Therefore, action needs to be taken when serializing a CDATASection with a character encoding where some of the contained characters cannot be represented. Failure to do so would not produce well-formed XML.
One potential solution in the serialization process is to end the CDATA section before the character, output the character using a character reference or entity reference, and open a new CDATA section for any further characters in the text node. Note, however, that some code conversion libraries at the time of writing do not return an error or exception when a character is missing from the encoding, making the task of ensuring that data is not corrupted on serialization more difficult.


IDL Definition
interface CDATASection : Text {
};

Interface DocumentType

Each Document has a doctype attribute whose value is either null or a DocumentType object. The DocumentType interface in the DOM Core provides an interface to the list of entities that are defined for the document, and little else because the effect of namespaces and the various XML schema efforts on DTD representation are not clearly understood as of this writing.

DOM Level 3 doesn't support editing DocumentType nodes. DocumentType nodes are read-only.


IDL Definition
interface DocumentType : Node {
  readonly attribute DOMString       name;
  readonly attribute NamedNodeMap    entities;
  readonly attribute NamedNodeMap    notations;
  // Introduced in DOM Level 2:
  readonly attribute DOMString       publicId;
  // Introduced in DOM Level 2:
  readonly attribute DOMString       systemId;
  // Introduced in DOM Level 2:
  readonly attribute DOMString       internalSubset;
};

Attributes
entities of type NamedNodeMap, readonly
A NamedNodeMap containing the general entities, both external and internal, declared in the DTD. Parameter entities are not contained. Duplicates are discarded. For example in:
<!DOCTYPE ex SYSTEM "ex.dtd" [
  <!ENTITY foo "foo">
  <!ENTITY bar "bar">
  <!ENTITY bar "bar2">
  <!ENTITY % baz "baz">
]>
<ex/>
the interface provides access to foo and the first declaration of bar but not the second declaration of bar or baz. Every node in this map also implements the Entity interface.
The DOM Level 2 does not support editing entities, therefore entities cannot be altered in any way.
internalSubset of type DOMString, readonly, introduced in DOM Level 2
The internal subset as a string, or null if there is none. This is does not contain the delimiting square brackets.

Note: The actual content returned depends on how much information is available to the implementation. This may vary depending on various parameters, including the XML processor used to build the document.

name of type DOMString, readonly
The name of DTD; i.e., the name immediately following the DOCTYPE keyword.
notations of type NamedNodeMap, readonly
A NamedNodeMap containing the notations declared in the DTD. Duplicates are discarded. Every node in this map also implements the Notation interface.
The DOM Level 2 does not support editing notations, therefore notations cannot be altered in any way.
publicId of type DOMString, readonly, introduced in DOM Level 2
The public identifier of the external subset.
systemId of type DOMString, readonly, introduced in DOM Level 2
The system identifier of the external subset. This may be an absolute URI or not.
Interface Notation

This interface represents a notation declared in the DTD. A notation either declares, by name, the format of an unparsed entity (see section 4.7 of the XML 1.0 specification [XML 1.0]), or is used for formal declaration of processing instruction targets (see section 2.6 of the XML 1.0 specification [XML 1.0]). The nodeName attribute inherited from Node is set to the declared name of the notation.

The DOM Core does not support editing Notation nodes; they are therefore readonly.

A Notation node does not have any parent.


IDL Definition
interface Notation : Node {
  readonly attribute DOMString       publicId;
  readonly attribute DOMString       systemId;
};

Attributes
publicId of type DOMString, readonly
The public identifier of this notation. If the public identifier was not specified, this is null.
systemId of type DOMString, readonly
The system identifier of this notation. If the system identifier was not specified, this is null. This may be an absolute URI or not.
Interface Entity

This interface represents a known entity, either parsed or unparsed, in an XML document. Note that this models the entity itself not the entity declaration.

The nodeName attribute that is inherited from Node contains the name of the entity.

An XML processor may choose to completely expand entities before the structure model is passed to the DOM; in this case there will be no EntityReference nodes in the document tree.

XML does not mandate that a non-validating XML processor read and process entity declarations made in the external subset or declared in parameter entities. This means that parsed entities declared in the external subset need not be expanded by some classes of applications, and that the replacement text of the entity may not be available. When the replacement text is available, the corresponding Entity node's child list represents the structure of that replacement value. Otherwise, the child list is empty.

DOM Level 3 does not support editing Entity nodes; if a user wants to make changes to the contents of an Entity, every related EntityReference node has to be replaced in the structure model by a clone of the Entity's contents, and then the desired changes must be made to each of those clones instead. Entity nodes and all their descendants are readonly.

An Entity node does not have any parent.

Note: If the entity contains an unbound namespace prefix, the namespaceURI of the corresponding node in the Entity node subtree is null. The same is true for EntityReference nodes that refer to this entity, when they are created using the createEntityReference method of the Document interface.


IDL Definition
interface Entity : Node {
  readonly attribute DOMString       publicId;
  readonly attribute DOMString       systemId;
  readonly attribute DOMString       notationName;
  // Introduced in DOM Level 3:
  readonly attribute DOMString       inputEncoding;
  // Introduced in DOM Level 3:
  readonly attribute DOMString       xmlEncoding;
  // Introduced in DOM Level 3:
  readonly attribute DOMString       xmlVersion;
};

Attributes
inputEncoding of type DOMString, readonly, introduced in DOM Level 3
An attribute specifying the encoding used for this entity at the time of parsing, when it is an external parsed entity. This is null if it an entity from the internal subset or if it is not known.
notationName of type DOMString, readonly
For unparsed entities, the name of the notation for the entity. For parsed entities, this is null.
publicId of type DOMString, readonly
The public identifier associated with the entity if specified, and null otherwise.
systemId of type DOMString, readonly
The system identifier associated with the entity if specified, and null otherwise. This may be an absolute URI or not.
xmlEncoding of type DOMString, readonly, introduced in DOM Level 3
An attribute specifying, as part of the text declaration, the encoding of this entity, when it is an external parsed entity. This is null otherwise.
xmlVersion of type DOMString, readonly, introduced in DOM Level 3
An attribute specifying, as part of the text declaration, the version number of this entity, when it is an external parsed entity. This is null otherwise.
Interface EntityReference

EntityReference nodes may be used to represent an entity reference in the tree. Note that character references and references to predefined entities are considered to be expanded by the HTML or XML processor so that characters are represented by their Unicode equivalent rather than by an entity reference. Moreover, the XML processor may completely expand references to entities while building the Document, instead of providing EntityReference nodes. If it does provide such nodes, then for an EntityReference node that represents a reference to a known entity an Entity exists, and the subtree of the EntityReference node is a copy of the Entity node subtree. However, the latter may not be true when an entity contains an unbound namespace prefix. In such a case, because the namespace prefix resolution depends on where the entity reference is, the descendants of the EntityReference node may be bound to different namespace URIs. When an EntityReference node represents a reference to an unknown entity, the node has no children and its replacement value, when used by Attr.value for example, is empty.

As for Entity nodes, EntityReference nodes and all their descendants are readonly.

Note: EntityReference nodes may cause element content and attribute value normalization problems when, such as in XML 1.0 and XML Schema, the normalization is performed after entity reference are expanded.


IDL Definition
interface EntityReference : Node {
};

Interface ProcessingInstruction

The ProcessingInstruction interface represents a "processing instruction", used in XML as a way to keep processor-specific information in the text of the document.

No lexical check is done on the content of a processing instruction and it is therefore possible to have the character sequence "?>" in the content, which is illegal a processing instruction per section 2.6 of [XML 1.0]. The presence of this character sequence must generate a fatal error during serialization.


IDL Definition
interface ProcessingInstruction : Node {
  readonly attribute DOMString       target;
           attribute DOMString       data;
                                        // raises(DOMException) on setting

};

Attributes
data of type DOMString
The content of this processing instruction. This is from the first non white space character after the target to the character immediately preceding the ?>.
Exceptions on setting

DOMException

NO_MODIFICATION_ALLOWED_ERR: Raised when the node is readonly.

target of type DOMString, readonly
The target of this processing instruction. XML defines this as being the first token following the markup that begins the processing instruction.

05 February 2004

Appendix A: Changes

Editor:
Philippe Le Hégaret, W3C

Table of contents

This section summarizes the changes between [DOM Level 2 Core] and this new version of the Core specification.

A.1 New sections

The following new sections have been added:

A.2 Changes to DOM Level 2 Core interfaces and exceptions

Interface Attr
The Attr interface has two new attributes, Attr.schemaTypeInfo, and Attr.isId.
Interface Document
The Document interface has seven new attributes: Document.inputEncoding, Document.xmlEncoding, Document.xmlStandalone, Document.xmlVersion, Document.strictErrorChecking, Document.documentURI, and Document.domConfig. It has three new methods: Document.adoptNode(source), Document.normalizeDocument(), and Document.renameNode(n, namespaceURI, qualifiedName). The attribute Document.doctype has been modified.
Exception DOMException
The DOMException has two new exception codes: VALIDATION_ERR and TYPE_MISMATCH_ERR.
Interface DOMImplementation
The DOMImplementation interface has one new method, DOMImplementation.getFeature(feature, version).
Interface Entity
The Entity interface has three new attributes: Entity.inputEncoding, Entity.xmlEncoding, and Entity.xmlVersion.
Interface Element
The Element interface has one new attribute, Element.schemaTypeInfo, and three new methods: Element.setIdAttribute(name, isId), Element.setIdAttributeNS(namespaceURI, localName, isId), and Element.setIdAttributeNode(idAttr, isId).
Interface Node
The Node interface has two new attributes, Node.baseURI and Node.textContent. It has nine new methods: Node.compareDocumentPosition(other), Node.isSameNode(other), Node.lookupPrefix(namespaceURI), Node.isDefaultNamespace(namespaceURI), Node.lookupNamespaceURI(prefix), Node.isEqualNode(arg), Node.getFeature(feature, version), Node.setUserData(key, data, handler), Node.getUserData(key). It introduced 6 new constants: Node.DOCUMENT_POSITION_DISCONNECTED, Node.DOCUMENT_POSITION_PRECEDING, Node.DOCUMENT_POSITION_FOLLOWING, Node.DOCUMENT_POSITION_CONTAINS, Node.DOCUMENT_POSITION_CONTAINED_BY, and Node.DOCUMENT_POSITION_IMPLEMENTATION_SPECIFIC. The methods Node.insertBefore(newChild, refChild), Node.replaceChild(newChild, oldChild) and Node.removeChild(oldChild) have been modified.
Interface Text
The Text interface has two new attributes, Text.wholeText and Text.isElementContentWhitespace, and one new method, Text.replaceWholeText(content).

A.3 New DOM features

"XMLVersion"
The "XMLVersion" DOM feature was introduced to represent if an implementation is able to support [XML 1.0] or [XML 1.1]. See Document.xmlVersion.

A.4 New types

DOMUserData
The DOMUserData type was added to the Core module.
DOMObject
The DOMObject type was added to the Core module.

A.5 New interfaces

DOMStringList
The DOMStringList interface has one attribute, DOMStringList.length, and one method, DOMStringList.item(index).
NameList
The NameList interface has one attribute, NameList.length, and two methods, NameList.getName(index) and NameList.getNamespaceURI(index).
DOMImplementationList
The DOMImplementationList interface has one attribute, DOMImplementationList.length, and one method, DOMImplementationList.item(index).
DOMImplementationSource
The DOMImplementationSource interface has two methods, DOMImplementationSource.getDOMImplementation(features), and DOMImplementationSource.getDOMImplementationList(features).
TypeInfo
The TypeInfo interface has two attributes, TypeInfo.typeName, and TypeInfo.typeNamespace.
UserDataHandler
The UserDataHandler interface has one method, UserDataHandler.handle(operation, key, data, src, dst), and four constants: UserDataHandler.NODE_CLONED, UserDataHandler.NODE_IMPORTED, UserDataHandler.NODE_DELETED, and UserDataHandler.NODE_RENAMED.
DOMError
The DOMError interface has six attributes: DOMError.severity, DOMError.message, DOMError.type, DOMError.relatedException, DOMError.relatedData, and DOMError.location. It has four constants: DOMError.SEVERITY_WARNING, DOMError.SEVERITY_ERROR, and DOMError.SEVERITY_FATAL_ERROR.
DOMErrorHandler
The DOMErrorHandler interface has one method: DOMErrorHandler.handleError(error).
DOMLocator
The DOMLocator interface has seven attributes: DOMLocator.lineNumber, DOMLocator.columnNumber, DOMLocator.byteOffset, DOMLocator.utf16Offset, DOMLocator.relatedNode, DOMLocator.uri, and DOMLocator.lineNumber.
DOMConfiguration
The DOMConfiguration interface has one attribute: DOMConfiguration.parameterNames. It also has three methods: DOMConfiguration.setParameter(name, value), DOMConfiguration.getParameter(name), and DOMConfiguration.canSetParameter(name, value).

A.6 Objects

This specification defines one object, only provided in the bindings:

DOMImplementationRegistry
The DOMImplementationRegistry object has two methods, DOMImplementationRegistry.getDOMImplementation(features), and DOMImplementationRegistry.getDOMImplementationList(features).

05 February 2004

Appendix B: Namespaces Algorithms

Editors:
Arnaud Le Hors, IBM
Elena Litani, IBM

Table of contents

 

This appendix contains several namespace algorithms, such as namespace normalization algorithm that fixes namespace information in the Document Object Model to produce a namespace well-formed document. If [XML 1.0] is in use (see Document.xmlVersion) the algorithms conform to [XML Namespaces], otherwise if [XML 1.1] is in use, algorithms conform to [XML Namespaces 1.1].

B.1 Namespace normalization

Namespace declaration attributes and prefixes are normalized as part of the normalizeDocument method of the Document interface as if the following method described in pseudo code was called on the document element.

void Element.normalizeNamespaces()
{

  // Pick up local namespace declarations
  // 
  for ( all DOM Level 2 valid local namespace declaration attributes of Element ) 
  {    
      if (the namespace declaration is invalid) 
      {
          // Note: The prefix xmlns is used only to declare namespace bindings and
          // is by definition bound to the namespace name http://www.w3.org/2000/xmlns/.
          // It must not be declared. No other prefix may be bound to this namespace name.         
               
          ==> Report an error.

      } 
      else 
      {
          ==>  Record the namespace declaration
      }
  }


  // Fixup element's namespace
  //
  if ( Element's namespaceURI != null )
  {
    if ( Element's prefix/namespace pair (or default namespace,
         if no prefix) are within the scope of a binding )
    {
      ==> do nothing, declaration in scope is inherited

      See section "B.1.1: Scope of a binding" for an example

    }
    else
    {
      ==> Create a local namespace declaration attr for this namespace,
          with Element's current prefix (or a default namespace, if
          no prefix). If there's a conflicting local declaration
          already present, change its value to use this namespace.

          See section "B.1.2: Conflicting namespace declaration" for an example

          // NOTE that this may break other nodes within this Element's
          // subtree, if they're already using this prefix.
          // They will be repaired when we reach them.
    }
  }
  else
  {
    // Element has no namespace URI:
    if ( Element's localName is null )
    {
       // DOM Level 1 node
       ==> if in process of validation against a namespace aware schema 
           (i.e XML Schema) report a fatal error: the processor can not recover 
           in this situation. 
           Otherwise, report an error: no namespace fixup will be performed on this node.
    }
    else
    {
      // Element has no pseudo-prefix
      if ( there's a conflicting local default namespace declaration
           already present )
      {
        ==> change its value to use this empty namespace.

      }
      // NOTE that this may break other nodes within this Element's
      // subtree, if they're already using the default namespaces.
      // They will be repaired when we reach them.
    }
  }


  // Examine and polish the attributes
  //
  for ( all non-namespace Attrs of Element )
  {
     if ( Attr[i] has a namespace URI )
     {
        if ( attribute has no prefix (default namespace decl does not apply to attributes) 
             OR
             attribute prefix is not declared
             OR
             conflict: attribute has a prefix that conflicts with a binding
                       already active in scope)
        {              
           if (namespaceURI matches an in scope declaration of one or more prefixes) 
           {
               // pick the most local binding available; 
               // if there is more than one pick one arbitrarily

               ==> change attribute's prefix.
           }
           else 
           {
               if (the current prefix is not null and it has no in scope declaration) 
               {
                   ==> declare this prefix
               } 
               else 
               {
                   // find a prefix following the pattern "NS" +index (starting at 1)
                   // make sure this prefix is not declared in the current scope.
                   // create a local namespace declaration attribute

                   ==> change attribute's prefix.
               }
           }           
        }
     }    
     else
     {
        // Attr[i] has no namespace URI
            
        if ( Attr[i] has no localName )
        {
           // DOM Level 1 node
           ==> if in process of validation against a namespace aware schema 
               (i.e XML Schema) report a fatal error: the processor can not recover 
                in this situation. 
                Otherwise, report an error: no namespace fixup will be performed on this node.
        }
        else
        { 
           // attr has no namespace URI and no prefix
           // no action is required, since attrs don't use default
           ==> do nothing 
        }
     }
  } // end for-all-Attrs

  // do this recursively
  for ( all child elements of Element )
  {
    childElement.normalizeNamespaces()
  }
} // end Element.normalizeNamespaces
      

B.1.1 Scope of a binding

Note: This section is informative.

An element's prefix/namespace URI pair is said to be within the scope of a binding if its namespace prefix is bound to the same namespace URI in the [in-scope namespaces] defined in [XML Information Set].

As an example, the following document is loaded in a DOM tree:

<root>
  <parent xmlns:ns="http://www.example.org/ns1"
          xmlns:bar="http://www.example.org/ns2">
    <ns:child1 xmlns:ns="http://www.example.org/ns2"/>
  </parent>
</root>
      

In the case of the child1 element, the namespace prefix and namespace URI are within the scope of the appropriate namespace declaration given that the namespace prefix ns of child1 is bound to http://www.example.org/ns2.

Using the method Node.appendChild, a child2 element is added as a sibling of child1 with the same namespace prefix and namespace URI, i.e. "ns" and "http://www.example.org/ns2" respectively. Unlike child1 which contains the appropriate namespace declaration in its attributes, child2's prefix/namespace URI pair is within the scope of the namespace declaration of its parent, and the namespace prefix "ns" is bound to "http://www.example.org/ns1". child2's prefix/namespace URI pair is therefore not within the scope of a binding. In order to put them within a scope of a binding, the namespace normalization algorithm will create a namespace declaration attribute value to bind the namespace prefix "ns" to the namespace URI "http://www.example.org/ns2" and will attach to child2. The XML representation of the document after the completion of the namespace normalization algorithm will be:

<root>
  <parent xmlns:ns="http://www.example.org/ns1"
          xmlns:bar="http://www.example.org/ns2">
    <ns:child1 xmlns:ns="http://www.example.org/ns2"/>
    <ns:child2 xmlns:ns="http://www.example.org/ns2"/>
  </parent>
</root>
      

To determine if an element is within the scope of a binding, one can invoke Node.lookupNamespaceURI, using its namespace prefix as the parameter, and compare the resulting namespace URI against the desired URI, or one can invoke Node.isDefaultNamespaceURI using its namespace URI if the element has no namespace prefix.

B.1.2 Conflicting namespace declaration

Note: This section is informative.

A conflicting namespace declaration could occur on an element if an Element node and a namespace declaration attribute use the same prefix but map them to two different namespace URIs.

As an example, the following document is loaded in a DOM tree:

<root>
  <ns:child1 xmlns:ns="http://www.example.org/ns1">
    <ns:child2/> 
  </ns:child1>   
</root>
      

Using the method Node.renameNode, the namespace URI of the element child1 is renamed from "http://www.example.org/ns1" to "http://www.example.org/ns2". The namespace prefix "ns" is now mapped to two different namespace URIs at the element child1 level and thus the namespace declaration is declared conflicting. The namespace normalization algorithm will resolved the namespace prefix conflict by modifying the namespace declaration attribute value from "http://www.example.org/ns1" to "http://www.example.org/ns2". The algorithm will then continue and consider the element child2, will no longer find a namespace declaration mapping the namespace prefix "ns" to "http://www.example.org/ns1" in the element's scope, and will create a new one. The XML representation of the document after the completion of the namespace normalization algorithm will be:

<root>
  <ns:child1 xmlns:ns="http://www.example.org/ns2">
    <ns:child2  xmlns:ns="http://www.example.org/ns1"/> 
  </ns:child1>   
</root>
      

B.2 Namespace Prefix Lookup

The following describes in pseudo code the algorithm used in the lookupPrefix method of the Node interface. Before returning found prefix the algorithm needs to make sure that the prefix is not redefined on an element from which the lookup started. This methods ignores DOM Level 1 nodes.

Note: This method ignores all default namespace declarations. To look up default namespace use isDefaultNamespace method.

DOMString lookupPrefix(in DOMString namespaceURI)
{
  if (namespaceURI has no value, i.e. namespaceURI is null or empty string) {
     return null;
  }
  short type = this.getNodeType(); 
  switch (type) { 
        case Node.ELEMENT_NODE: 
        { 
             return lookupNamespacePrefix(namespaceURI, this); 
        } 
        case Node.DOCUMENT_NODE:
        { 
             return getDocumentElement().lookupNamespacePrefix(namespaceURI); 
        } 
        case Node.ENTITY_NODE : 
        case Node.NOTATION_NODE: 
        case Node.DOCUMENT_FRAGMENT_NODE: 
        case Node.DOCUMENT_TYPE_NODE: 
            return null;  // type is unknown  
        case Node.ATTRIBUTE_NODE:
        {
             if ( Attr has an owner Element ) 
             { 
                 return ownerElement.lookupNamespacePrefix(namespaceURI); 
             } 
             return null; 
        } 
        default:
        { 
           if (Node has an ancestor Element )
           // EntityReferences may have to be skipped to get to it 
           { 
                    return ancestor.lookupNamespacePrefix(namespaceURI); 
           } 
            return null; 
        } 
     } 
 } 


DOMString lookupNamespacePrefix(DOMString namespaceURI, Element originalElement){ 
        if ( Element has a namespace and Element's namespace == namespaceURI and 
             Element has a prefix and 
             originalElement.lookupNamespaceURI(Element's prefix) == namespaceURI) 
        { 
             return (Element's prefix); 
        } 
        if ( Element has attributes)
        { 
            for ( all DOM Level 2 valid local namespace declaration attributes of Element )
            {
                if (Attr's prefix == "xmlns" and 
                   Attr's value == namespaceURI and 
                   originalElement.lookupNamespaceURI(Attr's localname) == namespaceURI) 
                   { 
                      return (Attr's localname);
                   } 
            }
        } 

        if (Node has an ancestor Element ) 
           // EntityReferences may have to be skipped to get to it 
        { 
            return ancestor.lookupNamespacePrefix(namespaceURI, originalElement); 
        } 
        return null; 
    } 

B.3 Default Namespace Lookup

The following describes in pseudo code the algorithm used in the isDefaultNamespace method of the Node interface. This methods ignores DOM Level 1 nodes.

boolean isDefaultNamespace(in DOMString namespaceURI)
{
  switch (nodeType) {
  case ELEMENT_NODE:  
     if ( Element has no prefix )
     {
          return (Element's namespace == namespaceURI);
     }
     if ( Element has attributes and there is a valid DOM Level 2 
          default namespace declaration, i.e. Attr's localName == "xmlns" )
     {
          return (Attr's value == namespaceURI);
     }

     if ( Element has an ancestor Element )
         // EntityReferences may have to be skipped to get to it
     {
          return ancestorElement.isDefaultNamespace(namespaceURI);
     }
     else {
          return unknown (false);
     }    
  case DOCUMENT_NODE:
     return documentElement.isDefaultNamespace(namespaceURI);
  case ENTITY_NODE:
  case NOTATION_NODE:
  case DOCUMENT_TYPE_NODE:
  case DOCUMENT_FRAGMENT_NODE:
     return unknown (false);
  case ATTRIBUTE_NODE:
     if ( Attr has an owner Element )
     {          
          return ownerElement.isDefaultNamespace(namespaceURI);
     }
     else {
          return unknown (false);
     }    
  default:
     if ( Node has an ancestor Element )
         // EntityReferences may have to be skipped to get to it
     {          
          return ancestorElement.isDefaultNamespace(namespaceURI);
     }
     else {
          return unknown (false);
     }    
  }
}
      

B.4 Namespace URI Lookup

The following describes in pseudo code the algorithm used in the lookupNamespaceURI method of the Node interface. This methods ignores DOM Level 1 nodes.

DOMString lookupNamespaceURI(in DOMString prefix) 
{ 
  switch (nodeType) { 
     case ELEMENT_NODE: 
     { 
         if ( Element's namespace != null and Element's prefix == prefix ) 
         { 
               // Note: prefix could be "null" in this case we are looking for default namespace 
               return (Element's namespace);
         } 
         if ( Element has attributes)
         { 
            for ( all DOM Level 2 valid local namespace declaration attributes of Element )
            {
                 if (Attr's prefix == "xmlns" and Attr's localName == prefix ) 
                       // non default namespace
                 { 
                        if (Attr's value is not empty) 
                        {
                          return (Attr's value);
                        }         
                        return unknown (null);                   
                 } 
                 else if (Attr's localname == "xmlns" and prefix == null)
                       // default namespace
                 { 
                        if (Attr's value is not empty) 
                        {
                          return (Attr's value);
                        }         
                        return unknown (null); 
                 } 
           }
         } 
         if ( Element has an ancestor Element ) 
            // EntityReferences may have to be skipped to get to it 
         { 
                   return ancestorElement.lookupNamespaceURI(prefix); 
         } 
         return null; 
     } 
     case DOCUMENT_NODE: 
          return documentElement.lookupNamespaceURI(prefix) 

     case ENTITY_NODE: 
     case NOTATION_NODE: 
     case DOCUMENT_TYPE_NODE: 
     case DOCUMENT_FRAGMENT_NODE: 
           return unknown (null); 

     case ATTRIBUTE_NODE: 
         if (Attr has an owner Element) 
         { 
             return ownerElement.lookupNamespaceURI(prefix); 
         } 
         else 
         { 
             return unknown (null); 
         } 
     default: 
         if (Node has an ancestor Element) 
          // EntityReferences may have to be skipped to get to it 
         { 
             return ancestorElement.lookupNamespaceURI(prefix); 
         } 
         else { 
             return unknown (null); 
         } 
  } 
} 
      

05 February 2004

Appendix E: Accessing code point boundaries

Mark Davis, IBM
Lauren Wood, SoftQuad Software Inc.

Table of contents

E.1 Introduction

This appendix is an informative, not a normative, part of the Level 3 DOM specification.

Characters are represented in Unicode by numbers called code points (also called scalar values). These numbers can range from 0 up to 1,114,111 = 10FFFF16 (although some of these values are illegal). Each code point can be directly encoded with a 32-bit code unit. This encoding is termed UCS-4 (or UTF-32). The DOM specification, however, uses UTF-16, in which the most frequent characters (which have values less than FFFF16) are represented by a single 16-bit code unit, while characters above FFFF16 use a special pair of code units called a surrogate pair. For more information, see [Unicode] or the Unicode Web site.

While indexing by code points as opposed to code units is not common in programs, some specifications such as [XPath 1.0] (and therefore XSLT and [XPointer]) use code point indices. For interfacing with such formats it is recommended that the programming language provide string processing methods for converting code point indices to code unit indices and back. Some languages do not provide these functions natively; for these it is recommended that the native String type that is bound to DOMString be extended to enable this conversion. An example of how such an API might look is supplied below.

Note: Since these methods are supplied as an illustrative example of the type of functionality that is required, the names of the methods, exceptions, and interface may differ from those given here.

E.2 Methods

Interface StringExtend

Extensions to a language's native String class or interface


IDL Definition
interface StringExtend {
  int                findOffset16(in int offset32)
                                        raises(StringIndexOutOfBoundsException);
  int                findOffset32(in int offset16)
                                        raises(StringIndexOutOfBoundsException);
};

Methods
findOffset16
Returns the UTF-16 offset that corresponds to a UTF-32 offset. Used for random access.

Note: You can always round-trip from a UTF-32 offset to a UTF-16 offset and back. You can round-trip from a UTF-16 offset to a UTF-32 offset and back if and only if the offset16 is not in the middle of a surrogate pair. Unmatched surrogates count as a single UTF-16 value.

Parameters
offset32 of type int
UTF-32 offset.
Return Value

int

UTF-16 offset

Exceptions

StringIndexOutOfBoundsException

if offset32 is out of bounds.

findOffset32
Returns the UTF-32 offset corresponding to a UTF-16 offset. Used for random access. To find the UTF-32 length of a string, use:
len32 = findOffset32(source, source.length());

Note: If the UTF-16 offset is into the middle of a surrogate pair, then the UTF-32 offset of the end of the pair is returned; that is, the index of the char after the end of the pair. You can always round-trip from a UTF-32 offset to a UTF-16 offset and back. You can round-trip from a UTF-16 offset to a UTF-32 offset and back if and only if the offset16 is not in the middle of a surrogate pair. Unmatched surrogates count as a single UTF-16 value.

Parameters
offset16 of type int
UTF-16 offset
Return Value

int

UTF-32 offset

Exceptions

StringIndexOutOfBoundsException

if offset16 is out of bounds.

05 February 2004

Appendix F: IDL Definitions

This appendix contains the complete OMG IDL [OMG IDL] for the Level 3 Document Object Model Core definitions.

The IDL files are also available as: http://www.w3.org/TR/2004/PR-DOM-Level-3-Core-20040205/idl.zip

dom.idl:

// File: dom.idl

#ifndef _DOM_IDL_
#define _DOM_IDL_

#pragma prefix "w3c.org"
module dom
{

  valuetype DOMString sequence<unsigned short>;

  typedef   unsigned long long DOMTimeStamp;

  typedef   any DOMUserData;

  typedef   Object DOMObject;

  interface DOMImplementation;
  interface DocumentType;
  interface Document;
  interface NodeList;
  interface NamedNodeMap;
  interface UserDataHandler;
  interface Element;
  interface TypeInfo;
  interface DOMLocator;

  exception DOMException {
    unsigned short   code;
  };
  // ExceptionCode
  const unsigned short      INDEX_SIZE_ERR                 = 1;
  const unsigned short      DOMSTRING_SIZE_ERR             = 2;
  const unsigned short      HIERARCHY_REQUEST_ERR          = 3;
  const unsigned short      WRONG_DOCUMENT_ERR             = 4;
  const unsigned short      INVALID_CHARACTER_ERR          = 5;
  const unsigned short      NO_DATA_ALLOWED_ERR            = 6;
  const unsigned short      NO_MODIFICATION_ALLOWED_ERR    = 7;
  const unsigned short      NOT_FOUND_ERR                  = 8;
  const unsigned short      NOT_SUPPORTED_ERR              = 9;
  const unsigned short      INUSE_ATTRIBUTE_ERR            = 10;
  // Introduced in DOM Level 2:
  const unsigned short      INVALID_STATE_ERR              = 11;
  // Introduced in DOM Level 2:
  const unsigned short      SYNTAX_ERR                     = 12;
  // Introduced in DOM Level 2:
  const unsigned short      INVALID_MODIFICATION_ERR       = 13;
  // Introduced in DOM Level 2:
  const unsigned short      NAMESPACE_ERR                  = 14;
  // Introduced in DOM Level 2:
  const unsigned short      INVALID_ACCESS_ERR             = 15;
  // Introduced in DOM Level 3:
  const unsigned short      VALIDATION_ERR                 = 16;
  // Introduced in DOM Level 3:
  const unsigned short      TYPE_MISMATCH_ERR              = 17;


  // Introduced in DOM Level 3:
  interface DOMStringList {
    DOMString          item(in unsigned long index);
    readonly attribute unsigned long   length;
    boolean            contains(in DOMString str);
  };

  // Introduced in DOM Level 3:
  interface NameList {
    DOMString          getName(in unsigned long index);
    DOMString          getNamespaceURI(in unsigned long index);
    readonly attribute unsigned long   length;
    boolean            contains(in DOMString str);
    boolean            containsNS(in DOMString namespaceURI, 
                                  in DOMString name);
  };

  // Introduced in DOM Level 3:
  interface DOMImplementationList {
    DOMImplementation  item(in unsigned long index);
    readonly attribute unsigned long   length;
  };

  // Introduced in DOM Level 3:
  interface DOMImplementationSource {
    DOMImplementation  getDOMImplementation(in DOMString features);
    DOMImplementationList getDOMImplementationList(in DOMString features);
  };

  interface DOMImplementation {
    boolean            hasFeature(in DOMString feature, 
                                  in DOMString version);
    // Introduced in DOM Level 2:
    DocumentType       createDocumentType(in DOMString qualifiedName, 
                                          in DOMString publicId, 
                                          in DOMString systemId)
                                        raises(DOMException);
    // Introduced in DOM Level 2:
    Document           createDocument(in DOMString namespaceURI, 
                                      in DOMString qualifiedName, 
                                      in DocumentType doctype)
                                        raises(DOMException);
    // Introduced in DOM Level 3:
    DOMObject          getFeature(in DOMString feature, 
                                  in DOMString version);
  };

  interface Node {

    // NodeType
    const unsigned short      ELEMENT_NODE                   = 1;
    const unsigned short      ATTRIBUTE_NODE                 = 2;
    const unsigned short      TEXT_NODE                      = 3;
    const unsigned short      CDATA_SECTION_NODE             = 4;
    const unsigned short      ENTITY_REFERENCE_NODE          = 5;
    const unsigned short      ENTITY_NODE                    = 6;
    const unsigned short      PROCESSING_INSTRUCTION_NODE    = 7;
    const unsigned short      COMMENT_NODE                   = 8;
    const unsigned short      DOCUMENT_NODE                  = 9;
    const unsigned short      DOCUMENT_TYPE_NODE             = 10;
    const unsigned short      DOCUMENT_FRAGMENT_NODE         = 11;
    const unsigned short      NOTATION_NODE                  = 12;

    readonly attribute DOMString       nodeName;
             attribute DOMString       nodeValue;
                                        // raises(DOMException) on setting
                                        // raises(DOMException) on retrieval

    readonly attribute unsigned short  nodeType;
    readonly attribute Node            parentNode;
    readonly attribute NodeList        childNodes;
    readonly attribute Node            firstChild;
    readonly attribute Node            lastChild;
    readonly attribute Node            previousSibling;
    readonly attribute Node            nextSibling;
    readonly attribute NamedNodeMap    attributes;
    // Modified in DOM Level 2:
    readonly attribute Document        ownerDocument;
    // Modified in DOM Level 3:
    Node               insertBefore(in Node newChild, 
                                    in Node refChild)
                                        raises(DOMException);
    // Modified in DOM Level 3:
    Node               replaceChild(in Node newChild, 
                                    in Node oldChild)
                                        raises(DOMException);
    // Modified in DOM Level 3:
    Node               removeChild(in Node oldChild)
                                        raises(DOMException);
    // Modified in DOM Level 3:
    Node               appendChild(in Node newChild)
                                        raises(DOMException);
    boolean            hasChildNodes();
    Node               cloneNode(in boolean deep);
    // Modified in DOM Level 3:
    void               normalize();
    // Introduced in DOM Level 2:
    boolean            isSupported(in DOMString feature, 
                                   in DOMString version);
    // Introduced in DOM Level 2:
    readonly attribute DOMString       namespaceURI;
    // Introduced in DOM Level 2:
             attribute DOMString       prefix;
                                        // raises(DOMException) on setting

    // Introduced in DOM Level 2:
    readonly attribute DOMString       localName;
    // Introduced in DOM Level 2:
    boolean            hasAttributes();
    // Introduced in DOM Level 3:
    readonly attribute DOMString       baseURI;

    // DocumentPosition
    const unsigned short      DOCUMENT_POSITION_DISCONNECTED = 0x01;
    const unsigned short      DOCUMENT_POSITION_PRECEDING    = 0x02;
    const unsigned short      DOCUMENT_POSITION_FOLLOWING    = 0x04;
    const unsigned short      DOCUMENT_POSITION_CONTAINS     = 0x08;
    const unsigned short      DOCUMENT_POSITION_CONTAINED_BY = 0x10;
    const unsigned short      DOCUMENT_POSITION_IMPLEMENTATION_SPECIFIC = 0x20;

    // Introduced in DOM Level 3:
    unsigned short     compareDocumentPosition(in Node other)
                                        raises(DOMException);
    // Introduced in DOM Level 3:
             attribute DOMString       textContent;
                                        // raises(DOMException) on setting
                                        // raises(DOMException) on retrieval

    // Introduced in DOM Level 3:
    boolean            isSameNode(in Node other);
    // Introduced in DOM Level 3:
    DOMString          lookupPrefix(in DOMString namespaceURI);
    // Introduced in DOM Level 3:
    boolean            isDefaultNamespace(in DOMString namespaceURI);
    // Introduced in DOM Level 3:
    DOMString          lookupNamespaceURI(in DOMString prefix);
    // Introduced in DOM Level 3:
    boolean            isEqualNode(in Node arg);
    // Introduced in DOM Level 3:
    DOMObject          getFeature(in DOMString feature, 
                                  in DOMString version);
    // Introduced in DOM Level 3:
    DOMUserData        setUserData(in DOMString key, 
                                   in DOMUserData data, 
                                   in UserDataHandler handler);
    // Introduced in DOM Level 3:
    DOMUserData        getUserData(in DOMString key);
  };

  interface NodeList {
    Node               item(in unsigned long index);
    readonly attribute unsigned long   length;
  };

  interface NamedNodeMap {
    Node               getNamedItem(in DOMString name);
    Node               setNamedItem(in Node arg)
                                        raises(DOMException);
    Node               removeNamedItem(in DOMString name)
                                        raises(DOMException);
    Node               item(in unsigned long index);
    readonly attribute unsigned long   length;
    // Introduced in DOM Level 2:
    Node               getNamedItemNS(in DOMString namespaceURI, 
                                      in DOMString localName)
                                        raises(DOMException);
    // Introduced in DOM Level 2:
    Node               setNamedItemNS(in Node arg)
                                        raises(DOMException);
    // Introduced in DOM Level 2:
    Node               removeNamedItemNS(in DOMString namespaceURI, 
                                         in DOMString localName)
                                        raises(DOMException);
  };

  interface CharacterData : Node {
             attribute DOMString       data;
                                        // raises(DOMException) on setting
                                        // raises(DOMException) on retrieval

    readonly attribute unsigned long   length;
    DOMString          substringData(in unsigned long offset, 
                                     in unsigned long count)
                                        raises(DOMException);
    void               appendData(in DOMString arg)
                                        raises(DOMException);
    void               insertData(in unsigned long offset, 
                                  in DOMString arg)
                                        raises(DOMException);
    void               deleteData(in unsigned long offset, 
                                  in unsigned long count)
                                        raises(DOMException);
    void               replaceData(in unsigned long offset, 
                                   in unsigned long count, 
                                   in DOMString arg)
                                        raises(DOMException);
  };

  interface Attr : Node {
    readonly attribute DOMString       name;
    readonly attribute boolean         specified;
             attribute DOMString       value;
                                        // raises(DOMException) on setting

    // Introduced in DOM Level 2:
    readonly attribute Element         ownerElement;
    // Introduced in DOM Level 3:
    readonly attribute TypeInfo        schemaTypeInfo;
    // Introduced in DOM Level 3:
    readonly attribute boolean         isId;
  };

  interface Element : Node {
    readonly attribute DOMString       tagName;
    DOMString          getAttribute(in DOMString name);
    void               setAttribute(in DOMString name, 
                                    in DOMString value)
                                        raises(DOMException);
    void               removeAttribute(in DOMString name)
                                        raises(DOMException);
    Attr               getAttributeNode(in DOMString name);
    Attr               setAttributeNode(in Attr newAttr)
                                        raises(DOMException);
    Attr               removeAttributeNode(in Attr oldAttr)
                                        raises(DOMException);
    NodeList           getElementsByTagName(in DOMString name);
    // Introduced in DOM Level 2:
    DOMString          getAttributeNS(in DOMString namespaceURI, 
                                      in DOMString localName)
                                        raises(DOMException);
    // Introduced in DOM Level 2:
    void               setAttributeNS(in DOMString namespaceURI, 
                                      in DOMString qualifiedName, 
                                      in DOMString value)
                                        raises(DOMException);
    // Introduced in DOM Level 2:
    void               removeAttributeNS(in DOMString namespaceURI, 
                                         in DOMString localName)
                                        raises(DOMException);
    // Introduced in DOM Level 2:
    Attr               getAttributeNodeNS(in DOMString namespaceURI, 
                                          in DOMString localName)
                                        raises(DOMException);
    // Introduced in DOM Level 2:
    Attr               setAttributeNodeNS(in Attr newAttr)
                                        raises(DOMException);
    // Introduced in DOM Level 2:
    NodeList           getElementsByTagNameNS(in DOMString namespaceURI, 
                                              in DOMString localName)
                                        raises(DOMException);
    // Introduced in DOM Level 2:
    boolean            hasAttribute(in DOMString name);
    // Introduced in DOM Level 2:
    boolean            hasAttributeNS(in DOMString namespaceURI, 
                                      in DOMString localName)
                                        raises(DOMException);
    // Introduced in DOM Level 3:
    readonly attribute TypeInfo        schemaTypeInfo;
    // Introduced in DOM Level 3:
    void               setIdAttribute(in DOMString name, 
                                      in boolean isId)
                                        raises(DOMException);
    // Introduced in DOM Level 3:
    void               setIdAttributeNS(in DOMString namespaceURI, 
                                        in DOMString localName, 
                                        in boolean isId)
                                        raises(DOMException);
    // Introduced in DOM Level 3:
    void               setIdAttributeNode(in Attr idAttr, 
                                          in boolean isId)
                                        raises(DOMException);
  };

  interface Text : CharacterData {
    Text               splitText(in unsigned long offset)
                                        raises(DOMException);
    // Introduced in DOM Level 3:
    readonly attribute boolean         isElementContentWhitespace;
    // Introduced in DOM Level 3:
    readonly attribute DOMString       wholeText;
    // Introduced in DOM Level 3:
    Text               replaceWholeText(in DOMString content)
                                        raises(DOMException);
  };

  interface Comment : CharacterData {
  };

  // Introduced in DOM Level 3:
  interface TypeInfo {
    readonly attribute DOMString       typeName;
    readonly attribute DOMString       typeNamespace;

    // DerivationMethods
    const unsigned long       DERIVATION_RESTRICTION         = 0x00000001;
    const unsigned long       DERIVATION_EXTENSION           = 0x00000002;
    const unsigned long       DERIVATION_UNION               = 0x00000004;
    const unsigned long       DERIVATION_LIST                = 0x00000008;

    boolean            isDerivedFrom(in DOMString typeNamespaceArg, 
                                     in DOMString typeNameArg, 
                                     in unsigned long derivationMethod);
  };

  // Introduced in DOM Level 3:
  interface UserDataHandler {

    // OperationType
    const unsigned short      NODE_CLONED                    = 1;
    const unsigned short      NODE_IMPORTED                  = 2;
    const unsigned short      NODE_DELETED                   = 3;
    const unsigned short      NODE_RENAMED                   = 4;
    const unsigned short      NODE_ADOPTED                   = 5;

    void               handle(in unsigned short operation, 
                              in DOMString key, 
                              in DOMUserData data, 
                              in Node src, 
                              in Node dst);
  };

  // Introduced in DOM Level 3:
  interface DOMError {

    // ErrorSeverity
    const unsigned short      SEVERITY_WARNING               = 1;
    const unsigned short      SEVERITY_ERROR                 = 2;
    const unsigned short      SEVERITY_FATAL_ERROR           = 3;

    readonly attribute unsigned short  severity;
    readonly attribute DOMString       message;
    readonly attribute DOMString       type;
    readonly attribute DOMObject       relatedException;
    readonly attribute DOMObject       relatedData;
    readonly attribute DOMLocator      location;
  };

  // Introduced in DOM Level 3:
  interface DOMErrorHandler {
    boolean            handleError(in DOMError error);
  };

  // Introduced in DOM Level 3:
  interface DOMLocator {
    readonly attribute long            lineNumber;
    readonly attribute long            columnNumber;
    readonly attribute long            byteOffset;
    readonly attribute long            utf16Offset;
    readonly attribute Node            relatedNode;
    readonly attribute DOMString       uri;
  };

  // Introduced in DOM Level 3:
  interface DOMConfiguration {
    void               setParameter(in DOMString name, 
                                    in DOMUserData value)
                                        raises(DOMException);
    DOMUserData        getParameter(in DOMString name)
                                        raises(DOMException);
    boolean            canSetParameter(in DOMString name, 
                                       in DOMUserData value);
    readonly attribute DOMStringList   parameterNames;
  };

  interface CDATASection : Text {
  };

  interface DocumentType : Node {
    readonly attribute DOMString       name;
    readonly attribute NamedNodeMap    entities;
    readonly attribute NamedNodeMap    notations;
    // Introduced in DOM Level 2:
    readonly attribute DOMString       publicId;
    // Introduced in DOM Level 2:
    readonly attribute DOMString       systemId;
    // Introduced in DOM Level 2:
    readonly attribute DOMString       internalSubset;
  };

  interface Notation : Node {
    readonly attribute DOMString       publicId;
    readonly attribute DOMString       systemId;
  };

  interface Entity : Node {
    readonly attribute DOMString       publicId;
    readonly attribute DOMString       systemId;
    readonly attribute DOMString       notationName;
    // Introduced in DOM Level 3:
    readonly attribute DOMString       inputEncoding;
    // Introduced in DOM Level 3:
    readonly attribute DOMString       xmlEncoding;
    // Introduced in DOM Level 3:
    readonly attribute DOMString       xmlVersion;
  };

  interface EntityReference : Node {
  };

  interface ProcessingInstruction : Node {
    readonly attribute DOMString       target;
             attribute DOMString       data;
                                        // raises(DOMException) on setting

  };

  interface DocumentFragment : Node {
  };

  interface Document : Node {
    // Modified in DOM Level 3:
    readonly attribute DocumentType    doctype;
    readonly attribute DOMImplementation implementation;
    readonly attribute Element         documentElement;
    Element            createElement(in DOMString tagName)
                                        raises(DOMException);
    DocumentFragment   createDocumentFragment();
    Text               createTextNode(in DOMString data);
    Comment            createComment(in DOMString data);
    CDATASection       createCDATASection(in DOMString data)
                                        raises(DOMException);
    ProcessingInstruction createProcessingInstruction(in DOMString target, 
                                                      in DOMString data)
                                        raises(DOMException);
    Attr               createAttribute(in DOMString name)
                                        raises(DOMException);
    EntityReference    createEntityReference(in DOMString name)
                                        raises(DOMException);
    NodeList           getElementsByTagName(in DOMString tagname);
    // Introduced in DOM Level 2:
    Node               importNode(in Node importedNode, 
                                  in boolean deep)
                                        raises(DOMException);
    // Introduced in DOM Level 2:
    Element            createElementNS(in DOMString namespaceURI, 
                                       in DOMString qualifiedName)
                                        raises(DOMException);
    // Introduced in DOM Level 2:
    Attr               createAttributeNS(in DOMString namespaceURI, 
                                         in DOMString qualifiedName)
                                        raises(DOMException);
    // Introduced in DOM Level 2:
    NodeList           getElementsByTagNameNS(in DOMString namespaceURI, 
                                              in DOMString localName);
    // Introduced in DOM Level 2:
    Element            getElementById(in DOMString elementId);
    // Introduced in DOM Level 3:
    readonly attribute DOMString       inputEncoding;
    // Introduced in DOM Level 3:
    readonly attribute DOMString       xmlEncoding;
    // Introduced in DOM Level 3:
             attribute boolean         xmlStandalone;
                                        // raises(DOMException) on setting

    // Introduced in DOM Level 3:
             attribute DOMString       xmlVersion;
                                        // raises(DOMException) on setting

    // Introduced in DOM Level 3:
             attribute boolean         strictErrorChecking;
    // Introduced in DOM Level 3:
             attribute DOMString       documentURI;
    // Introduced in DOM Level 3:
    Node               adoptNode(in Node source)
                                        raises(DOMException);
    // Introduced in DOM Level 3:
    readonly attribute DOMConfiguration domConfig;
    // Introduced in DOM Level 3:
    void               normalizeDocument();
    // Introduced in DOM Level 3:
    Node               renameNode(in Node n, 
                                  in DOMString namespaceURI, 
                                  in DOMString qualifiedName)
                                        raises(DOMException);
  };
};

#endif // _DOM_IDL_

05 February 2004

Appendix D: Configuration Settings

Editor:
Elena Litani, IBM

D.1 Configuration Scenarios

Using the DOMConfiguration users can change behavior of the DOMParser, DOMSerializer and Document.normalizeDocument(). If a DOM implementation supports XML Schemas and DTD validation, the table below defines behavior of such implementation following various parameter settings on the DOMConfiguration. Errors are effectively reported only if a DOMErrorHandler object is attached to the "error-handler" parameter.

"schema-type" "validate" "validate-if-schema" Instance schemas, i.e. the current schema Outcome Other parameters
null true false DTD and XML Schema Implementation dependent The outcome of setting the "datatype-normalization", "element-content-whitespace" or "namespaces" parameters to true or false is implementation dependent.
false true
null true false none Report an error Setting the "datatype-normalization" to true or false has no effect on the DOM.
false true No error is reported
null true false DTD Validate against DTD Setting the "datatype-normalization" to true or false has no effect on the DOM.
false true
null true false XML Schema Validate against XML Schema The outcome of setting the "namespaces" to false is implementation dependent (likely to be an error). Setting the "element-content-whitespace" to false does not have any effect on the DOM.
false true
"http://www.w3.org/TR/REC-xml" true false DTD or XML Schema or both If DTD is found, validate against DTD. Otherwise, report an error. Setting the "datatype-normalization" to true or false has no effect on the DOM.
false true If DTD is found, validate against DTD.
"http://www.w3.org/2001/XMLSchema" true false DTD or XML Schema or both If XML Schema is found, validate against the schema. Otherwise, report an error. Setting the "datatype-normalization" to true exposes XML Schema normalized values in the DOM. The outcome of setting the "namespaces" to false is implementation dependent (likely to be an error).
false true If XML Schema is found, validate against the schema.
"http://www.w3.org/2001/XMLSchema" or "http://www.w3.org/TR/REC-xml" false false DTD or XML Schema or both If XML Schema is found, it is ignored. DOM implementations may use information available in the DTD to perform entity resolution. Setting the "datatype-normalization" to true of false has no effect on the DOM.

Note: If an error has to be reported, as specified in the "Outcome" column above, the DOMError.type is "no-schema-available".

05 February 2004

Appendix C: Infoset mapping

Editor:
Philippe Le Hégaret, W3C

Table of contents

This appendix contains the mappings between the XML Information Set [XML Information Set] model and the Document Object Model. Starting from a Document node, each information item is mapped to its respective Node, and each Node is mapped to its respective information item. As used in the Infoset specification, the Infoset property names are shown in square brackets, [thus].

Unless specified, the Infoset to DOM node mapping makes no distinction between unknown and no value since both will be exposed as null (or false if the DOM attribute is of type boolean).

C.1 Document node mapping

C.1.1 Infoset to Document node

An document information item maps to a Document node. The attributes of the corresponding Document node are constructed as follows:

Attribute Value
Node.nodeName "#document"
Node.nodeValue null
Node.nodeType Node.DOCUMENT_NODE
Node.parentNode null
Node.childNodes A NodeList containing the information items in the [children] property.
Node.firstChild The first node contained in Node.childNodes
Node.lastChild The last node contained in Node.childNodes
Node.previousSibling null
Node.nextSibling null
Node.attributes null
Node.ownerDocument null
Node.namespaceURI null
Node.prefix null
Node.localName null
Node.baseURI same as Document.documentURI
Node.textContent null
Document.doctype The document type information item
Document.implementation The DOMImplementation object used to create this node
Document.documentElement The [document element] property
Document.inputEncoding The [character encoding scheme] property
Document.xmlEncoding null
Document.xmlStandalone The [standalone] property, or false if the latter has no value.
Document.xmlVersion The [version] property, or "1.0" if the latter has no value.
Document.strictErrorChecking true
Document.documentURI The [base URI] property
Document.domConfig A DOMConfiguration object whose parameters are set to their default values

The [notations], [unparsed entities] properties are being exposed in the DocumentType node.

Note: The [all declarations processed] property is not exposed through the Document node.

C.1.2 Document node to Infoset

A Document node maps to an document information item. Document nodes with no namespace URI (Node.namespaceURI equals to null) cannot be represented using the Infoset. The properties of the corresponding document information item are constructed as follows:

Property Value
[children] Node.childNodes
[document element] Document.documentElement
[notations] Document.doctype.notations
[unparsed entities] The information items from Document.doctype.entities, whose Node.childNodes is an empty list
[base URI] Document.documentURI
[character encoding scheme] Document.inputEncoding
[standalone] Document.xmlStandalone
[version] Document.xmlVersion
[all declarations processed] The value is implementation dependent

C.2 Element node mapping

C.2.1 Infoset to Element node

An element information item maps to a Element node. The attributes of the corresponding Element node are constructed as follows:

Attribute Value
Node.nodeName same as Element.tagName
Node.nodeValue null
Node.nodeType Node.ELEMENT_NODE
Node.parentNode The [parent] property
Node.childNodes A NodeList containing the information items in the [children] property
Node.firstChild The first node contained in Node.childNodes
Node.lastChild The last node contained in Node.childNodes
Node.previousSibling The information item preceding the current one on the [children] property contained in the [parent] property
Node.nextSibling The information item following the current one on the [children] property contained in the [parent] property
Node.attributes The information items contained in the [attributes] and [namespace attributes] properties
Node.ownerDocument The document information item
Node.namespaceURI The [namespace name] property
Node.prefix The [prefix] property
Node.localName The [local name] property
Node.baseURI The [base URI] property
Node.textContent Concatenation of the Node.textContent attribute value of every child node, excluding COMMENT_NODE and PROCESSING_INSTRUCTION_NODE nodes. This is the empty string if the node has no children.
Element.tagName If the [prefix] property has no value, this contains the [local name] property. Otherwise, this contains the concatenation of the [prefix] property, the colon ':' character, and the [local name] property.
Element.schemaTypeInfo A TypeInfo object whose TypeInfo.typeNamespace and TypeInfo.typeName are inferred from the schema in use if available.

Note: The [in-scope namespaces] property is not exposed through the Element node.

C.2.2 Element node to Infoset

An Element node maps to an element information item. Because the Infoset only represents unexpanded entity references, non-empty EntityReference nodes contained in Node.childNodes need to be replaced by their content. DOM applications could use the Document.normalizeDocument() method for that effect with the "entities" parameter set to false. The properties of the corresponding element information item are constructed as follows:

Property Value
[namespace name] Node.namespaceURI
[local name] Node.localName
[prefix] Node.prefix
[children] Node.childNodes, whose expanded entity references (EntityReference nodes with children) have been replaced with their content.
[attributes] The nodes contained in Node.attributes, whose Node.namespaceURI value is different from "http://www.w3.org/2000/xmlns/"
[namespace attributes] The nodes contained in Node.attributes, whose Node.namespaceURI value is "http://www.w3.org/2000/xmlns/"
[in-scope namespaces] The namespace information items computed using the [namespace attributes] properties of this node and its ancestors. If the [DOM Level 3 XPath] module is supported, the namespace information items can also be computed from the XPathNamespace nodes.
[base URI] Node.baseURI
[parent] Node.parentNode

C.3 Attr node mapping

C.3.1 Infoset to Attr node

An attribute information item map to a Attr node. The attributes of the corresponding Attr node are constructed as follows:

Attribute/Method Value
Node.nodeName same as Attr.name
Node.nodeValue same as Attr.value
Node.nodeType Node.ATTRIBUTE_NODE
Node.parentNode null
Node.childNodes A NodeList containing one Text node whose text content is the same as Attr.value.
Node.firstChild The Text node contained in Node.childNodes
Node.lastChild The Text node contained in Node.childNodes
Node.previousSibling null
Node.nextSibling null
Node.attributes null
Node.ownerDocument The document information item
Node.namespaceURI The [namespace name] property
Node.prefix The [prefix] property
Node.localName The [local name] property
Node.baseURI null
Node.textContent the value of Node.textContent of the Text child. same as Node.nodeValue (since this attribute node only contains one Text node)
Attr.name If the [prefix] property has no value, this contains the [local name] property. Otherwise, this contains the concatenation of the [prefix] property, the colon ':' character, and the [local name] property.
Attr.specified The [specified] property
Attr.value The [normalized value] property
Attr.ownerElement The [owner element] property
Attr.schemaTypeInfo A TypeInfo object whose TypeInfo.typeNamespace is "http://www.w3.org/TR/REC-xml" and TypeInfo.typeName is the [attribute type] property
Attr.isId if the [attribute type] property is ID, this method return true

C.3.2 Attr node to Infoset

An Attr node maps to an attribute information item. Attr nodes with no namespace URI (Node.namespaceURI equals to null) cannot be represented using the Infoset. The properties of the corresponding attribute information item are constructed as follows:

Property Value
[namespace name] Node.namespaceURI
[local name] Node.localName
[prefix] Node.prefix
[normalized value] Attr.value
[specified] Attr.specified
[attribute type] Using the TypeInfo object referenced from Attr.schemaTypeInfo, the value of TypeInfo.typeName if TypeInfo.typeNamespace is "http://www.w3.org/TR/REC-xml".
[references] if the computed [attribute type] property is IDREF, IDREFS, ENTITY, ENTITIES, or NOTATION, the value of this property is an ordered list of the element, unparsed entity, or notation information items referred to in the attribute value, in the order that they appear there. The ordered list is computed using Node.ownerDocument.getElementById, Node.ownerDocument.doctype.entities, and Node.ownerDocument.doctype.notations.
[owner element] Attr.ownerElement

C.4 ProcessingInstruction node mapping

C.4.1 Infoset to ProcessingInstruction node

A processing instruction information item map to a ProcessingInstruction node. The attributes of the corresponding ProcessingInstruction node are constructed as follows:

Attribute Value
Node.nodeName same as ProcessingInstruction.target
Node.nodeValue same as ProcessingInstruction.data
Node.nodeType Node.PROCESSING_INSTRUCTION_NODE
Node.parentNode The [parent] property
Node.childNodes empty NodeList
Node.firstChild null
Node.lastChild null
Node.previousSibling null
Node.nextSibling null
Node.attributes null
Node.ownerDocument The document information item
Node.namespaceURI null
Node.prefix null
Node.localName null
Node.baseURI The [base URI] property of the parent element if any. The [base URI] property of the processing instruction information item is not exposed through the ProcessingInstruction node.
Node.textContent same as Node.nodeValue
ProcessingInstruction.target The [target] property
ProcessingInstruction.data The [content] property

C.4.2 ProcessingInstruction node to Infoset

A ProcessingInstruction node maps to an processing instruction information item. The properties of the corresponding processing instruction information item are constructed as follows:

Property Value
[target] ProcessingInstruction.target
[content] ProcessingInstruction.data
[base URI] Node.baseURI (which is equivalent to the base URI of its parent element if any)
[notation] The Notation node named by the target and if available from Node.ownerDocument.doctype.notations
[parent] Node.parentNode

C.5 EntityReference node mapping

C.5.1 Infoset to EntityReference node

An unexpanded entity reference information item maps to a EntityReference node. The attributes of the corresponding EntityReference node are constructed as follows:

Attribute Value
Node.nodeName The [name] property
Node.nodeValue null
Node.nodeType Node.ENTITY_REFERENCE_NODE
Node.parentNode the [parent] property
Node.childNodes Empty NodeList
Node.firstChild null
Node.lastChild null
Node.previousSibling null
Node.nextSibling null
Node.attributes null
Node.ownerDocument The document information item
Node.namespaceURI null
Node.prefix null
Node.localName null
Node.baseURI The [declaration base URI] property
Node.textContent null (the node has no children)

Note: The [system identifier] and [public identifier] properties are not exposed through the EntityReference node, but throught the Entity node reference from this EntityReference node, if any.

C.5.2 EntityReference node to Infoset

An EntityReference node maps to an unexpanded entity reference information item. EntityReference nodes with children (Node.childNodes contains a non-empty list) cannot be represented using the Infoset. The properties of the corresponding unexpanded entity reference information item are constructed as follows:

Property Value
[name] Node.nodeName
[system identifier] The Entity.systemId value of the Entity node available from Node.ownerDocument.doctype.entities if available
[public identifier] The Entity.publicId value of the Entity node available from Node.ownerDocument.doctype.entities if available
[declaration base URI] Node.baseURI
[parent] Node.parentNode

C.6 Text and CDATASection nodes mapping

Since the [XML Information Set] doesn't represent the boundaries of CDATA marked sections, CDATASection nodes cannot occur from an infoset mapping.

C.6.1 Infoset to Text node

Consecutive character information items map to a Text node. The attributes of the corresponding Text node are constructed as follows:

Attribute/Method Value
Node.nodeName "#text"
Node.nodeValue same as CharacterData.data
Node.nodeType Node.TEXT_NODE
Node.parentNode The [parent] property
Node.childNodes empty NodeList
Node.firstChild null
Node.lastChild null
Node.previousSibling null
Node.nextSibling null
Node.attributes null
Node.ownerDocument The document information item
Node.namespaceURI null
Node.prefix null
Node.localName null
Node.baseURI null
Node.textContent same as Node.nodeValue
CharacterData.data A DOMString including all [character code] contained in the character information items
CharacterData.length The number of 16-bit units needed to encode all ISO 10646 character code contained in the character information items using the UTF-16 encoding.
Text.isElementContentWhitespace The [element content whitespace] property
Text.wholeText same as CharacterData.data

Note: By construction, the values of the [parent] and [element content whitespace] properties are necessarily the sames for all consecutive character information items.

C.6.2 Text and CDATASection nodes to Infoset

The text content of a Text or a CDATASection node maps to a sequence of character information items. The number of items is less or equal to CharacterData.length. Text nodes contained in Attr nodes are mapped to the Infoset using the Attr.value attribute. Text nodes contained in Document nodes cannot be represented using the Infoset. The properties of the corresponding character information items are constructed as follows:

Property Value
[character code] The ISO 10646 character code produced using one or two 16-bit units from CharacterData.data
[element content whitespace] Text.isElementContentWhitespace
[parent] Node.parentNode

C.7 Comment node mapping

C.7.1 Infoset to Comment node

A comment information item maps to a Comment node. The attributes of the corresponding Comment node are constructed as follows:

Attribute Value
Node.nodeName "#comment"
Node.nodeValue same as CharacterData.data
Node.nodeType Node.COMMENT_NODE
Node.parentNode The [parent] property
Node.childNodes empty NodeList
Node.firstChild null
Node.lastChild null
Node.previousSibling null
Node.nextSibling null
Node.attributes null
Node.ownerDocument The document information item
Node.namespaceURI null
Node.prefix null
Node.localName null
Node.baseURI null
Node.textContent same as Node.nodeValue
CharacterData.data The [content] property encoded using the UTF-16 encoding.
CharacterData.length The number of 16-bit units needed to encode all ISO character code contained in the [content] property using the UTF-16 encoding.

C.7.2 Comment node to Infoset

A Comment maps to a comment information item. The properties of the corresponding comment information item are constructed as follows:

Property Value
[content] CharacterData.data
[parent] Node.parentNode

C.8 DocumentType node mapping

C.8.1 Infoset to DocumentType node

A document type declaration information item maps to a DocumentType node. The attributes of the corresponding DocumentType node are constructed as follows:

Attribute Value
Node.nodeName same as DocumentType.name
Node.nodeValue null
Node.nodeType Node.DOCUMENT_TYPE_NODE
Node.parentNode The [parent] property
Node.childNodes empty NodeList
Node.firstChild null
Node.lastChild null
Node.previousSibling null
Node.nextSibling null
Node.attributes null
Node.ownerDocument The document information item
Node.namespaceURI null
Node.prefix null
Node.localName null
Node.baseURI null
Node.textContent null
DocumentType.name The name of the document element.
DocumentType.entities The [unparsed entities] property available from the document information item.
DocumentType.notations The [notations] property available from the document information item.
DocumentType.publicId The [public identifier] property
DocumentType.systemId The [system identifier] property
DocumentType.internalSubset The value is implementation dependent

Note: The [children] property is not exposed through the DocumentType node.

C.8.2 DocumentType node to Infoset

A DocumentType maps to a document type declaration information item. The properties of the corresponding document type declaration information item are constructed as follows:

Property Value
[system identifier] DocumentType.systemId
[public identifier] DocumentType.publicId
[children] The value of this property is implementation dependent
[parent] Node.parentNode

C.9 Entity node mapping

C.9.1 Infoset to Entity node

An unparsed entity information item maps to a Entity node. The attributes of the corresponding Entity node are constructed as follows:

Attribute Value
Node.nodeName The [name] property
Node.nodeValue null
Node.nodeType Node.ENTITY_NODE
Node.parentNode null
Node.childNodes Empty NodeList
Node.firstChild null
Node.lastChild null
Node.previousSibling null
Node.nextSibling null
Node.attributes null
Node.ownerDocument The document information item
Node.namespaceURI null
Node.prefix null
Node.localName null
Node.baseURI The [declaration base URI] property
Node.textContent "" (the node has no children)
Entity.publicId The [public identifier] property
Entity.systemId The [system identifier] property
Entity.notationName The [notation name] property
Entity.inputEncoding null
Entity.xmlEncoding null
Entity.xmlVersion null

Note: The [notation] property is available through the DocumentType node.

C.9.2 Entity node to Infoset

An Entity node maps to an unparsed entity information item. Entity nodes with children (Node.childNodes contains a non-empty list) cannot be represented using the Infoset. The properties of the corresponding unparsed entity information item are constructed as follows:

Property Value
[name] Node.nodeName
[system identifier] Entity.systemId
[public identifier] Entity.publicId
[declaration base URI] Node.baseURI
[notation name] Entity.notationName
[notation] The Notation node referenced from DocumentType.notations whose name is the [notation name] property

C.10 Notation node mapping

C.10.1 Infoset to Notation node

A notation information item maps to a Notation node. The attributes of the corresponding Notation node are constructed as follows:

Attribute Value
Node.nodeName The [name] property
Node.nodeValue null
Node.nodeType Node.NOTATION_NODE
Node.parentNode null
Node.childNodes Empty NodeList
Node.firstChild null
Node.lastChild null
Node.previousSibling null
Node.nextSibling null
Node.attributes null
Node.ownerDocument The document information item
Node.namespaceURI null
Node.prefix null
Node.localName null
Node.baseURI The [declaration base URI] property
Node.textContent null
Notation.publicId The [public identifier] property
Notation.systemId The [system identifier] property

C.10.2 Notation node to Infoset

A Notation maps to a notation information item. The properties of the corresponding notation information item are constructed as follows:

Property Value
[name] Node.nodeName
[system identifier] Notation.systemId
[public identifier] Notation.publicId
[parent] Node.parentNode

05 February 2004

Appendix G: Java Language Binding

This appendix contains the complete Java [Java] bindings for the Level 3 Document Object Model Core.

The Java files are also available as http://www.w3.org/TR/2004/PR-DOM-Level-3-Core-20040205/java-binding.zip

G.1 Java Binding Extension

Note: This section is informative.

This section defines the DOMImplementationRegistry object, discussed in Bootstrapping, for Java.

The DOMImplementationRegistry is first initialized by the application or the implementation, depending on the context, through the Java system property "org.w3c.dom.DOMImplementationSourceList". The value of this property is a space separated list of names of available classes implementing the DOMImplementationSource interface.

org/w3c/dom/bootstrap/DOMImplementationRegistry.java:

/**
 * This class holds the list of registered DOMImplementations. The contents 
 * of the registry are drawn from the System Property 
 * <code>org.w3c.dom.DOMImplementationSourceList</code>, which must contain a 
 * white-space delimited sequence of the names of classes implementing 
 * <code>DOMImplementationSource</code>.
 * Applications may also register DOMImplementationSource
 * implementations by using a method on this class. They may then
 * query instances of the registry for implementations supporting
 * specific features.
 *
 * <p>Example:</p>
 * <pre class='example'>
 * // get an instance of the DOMImplementation registry
 * DOMImplementationRegistry registry = DOMImplementationRegistry.newInstance();
 * // get a DOM implementation the Level 3 XML module
 * DOMImplementation domImpl = registry.getDOMImplementation("XML 3.0");
 * </pre>
 * <p>This provides an application with an implementation-independent 
 * starting point.</p>
 *
 * @see DOMImplementation
 * @see DOMImplementationSource
 * @since DOM Level 3
 */

package org.w3c.dom.bootstrap;

import java.lang.reflect.Method;
import java.lang.reflect.InvocationTargetException;
import java.lang.ClassLoader;
import java.lang.String;
import java.util.StringTokenizer;
import java.util.Enumeration;
import java.util.Vector;

import org.w3c.dom.DOMImplementationSource;
import org.w3c.dom.DOMImplementationList;
import org.w3c.dom.DOMImplementation;

public class DOMImplementationRegistry { 

    // The system property to specify the DOMImplementationSource class names.
    public final static String PROPERTY =
        "org.w3c.dom.DOMImplementationSourceList";

    private Vector _sources;

    // deny construction by other classes
    private DOMImplementationRegistry() {
    }

    // deny construction by other classes
    private DOMImplementationRegistry(Vector srcs) {
        _sources = srcs;
    }


    /* 
     * This method queries the System property
     * <code>org.w3c.dom.DOMImplementationSourceList</code>. If it is
     * able to read and parse the property, it attempts to instantiate
     * classes according to each space-delimited substring. Any
     * exceptions it encounters are thrown to the application. An application
     * must call this method before using the class.
     * @return  an initialized instance of DOMImplementationRegistry
     */ 
    public static DOMImplementationRegistry newInstance()               
            throws ClassNotFoundException, InstantiationException, 
            IllegalAccessException
    {
        Vector _sources = new Vector();    

        // fetch system property:
        String p = System.getProperty(PROPERTY);
        if (p != null) {
            StringTokenizer st = new StringTokenizer(p);
            while (st.hasMoreTokens()) {
                String sourceName = st.nextToken();
                // Use context class loader, falling back to Class.forName
                // if and only if this fails...
                Object source = getClass(sourceName).newInstance();
                _sources.add(source);
            }
        }
        return new DOMImplementationRegistry(_sources);
    }


    /**
     * Return the first registered implementation that has the desired
     * features, or null if none is found.
     *
     * @param features A string that specifies which features are required.
     *                 This is a space separated list in which each feature is
     *                 specified by its name optionally followed by a space
     *                 and a version number.
     *                 This is something like: "XML 1.0 Traversal +Events 2.0"
     * @return An implementation that has the desired features, or
     *   <code>null</code> if this source has none.
     */
    public DOMImplementation getDOMImplementation(String features)
            throws ClassNotFoundException,
            InstantiationException, IllegalAccessException, ClassCastException
    {
        int    size  = _sources.size();
        String name  = null;
        for (int i = 0; i < size; i++) {
            DOMImplementationSource source =
                (DOMImplementationSource) _sources.get(i);

            DOMImplementation impl = source.getDOMImplementation(features);
            if (impl != null) {
                return impl;
            }       
        }
        return null;
    }

    /**
     * Return the list of all registered implementation that support the desired
     * features.
     *
     * @param features A string that specifies which features are required.
     *                 This is a space separated list in which each feature is
     *                 specified by its name optionally followed by a space
     *                 and a version number.
     *                 This is something like: "XML 1.0 Traversal +Events 2.0"
     * @return A list of DOMImplementations that support the desired features.
     */
    public DOMImplementationList getDOMImplementationList(String features)
            throws ClassNotFoundException,
            InstantiationException, IllegalAccessException, ClassCastException
    {
        int    size  = _sources.size();
        DOMImplementationListImpl list = new DOMImplementationListImpl();
        String name = null;
        for (int i = 0; i < size; i++) {
            DOMImplementationSource source =
                (DOMImplementationSource) _sources.get(i);

            DOMImplementationList impls =
                 source.getDOMImplementationList(features);
            for (int j = 0; j < impls.getLength(); j++) {
                list.add(impls.item(j));
            }
        }
        return list;
    }

    /**
     * Register an implementation.
     */
    public void addSource(DOMImplementationSource s)
            throws ClassNotFoundException,
            InstantiationException, IllegalAccessException
    {
        _sources.add(s);
    }

    private static Class getClass (String className)
                throws ClassNotFoundException, IllegalAccessException,
                InstantiationException {
        Method m = null;
        ClassLoader cl = null;

        try {
            m = Thread.class.getMethod("getContextClassLoader", null);
        } catch (NoSuchMethodException e) {
            // Assume that we are running JDK 1.1, use the current ClassLoader
            cl = DOMImplementationRegistry.class.getClassLoader();
        }

        if (cl == null ) {
            try {
                cl = (ClassLoader) m.invoke(Thread.currentThread(), null);
            } catch (IllegalAccessException e) {
                // assert(false)
                throw new UnknownError(e.getMessage());
            } catch (InvocationTargetException e) {
                // assert(e.getTargetException() instanceof SecurityException)
                throw new UnknownError(e.getMessage());
            }
        }
        if (cl == null) { 
            // fall back to Class.forName
            return Class.forName(className);
        }
        try { 
            return cl.loadClass(className);
        } catch (ClassNotFoundException e) {
            return Class.forName(className);
        }
    }
}
  

org/w3c/dom/bootstrap/DOMImplementationListImpl.java:

/**
 * This class holds a list of DOMImplementations.
 *
 * @since DOM Level 3
 */

package org.w3c.dom.bootstrap;

import java.util.Vector;

import org.w3c.dom.DOMImplementationList;
import org.w3c.dom.DOMImplementation;

public class DOMImplementationListImpl
             implements DOMImplementationList { 
    
    private Vector sources;

    /* 
     * Construct an empty list of DOMImplementations
     * @return  an initialized instance of DOMImplementationRegistry
     */ 
    public DOMImplementationListImpl()
    {
        sources = new Vector();    
    }

    /**
     *  Returns the <code>index</code>th item in the collection. If 
     * <code>index</code> is greater than or equal to the number of 
     * <code>DOMImplementation</code>s in the list, this returns 
     * <code>null</code>. 
     * @param index Index into the collection.
     * @return  The <code>DOMImplementation</code> at the <code>index</code>
     *   th position in the <code>DOMImplementationList</code>, or 
     *   <code>null</code> if that is not a valid index. 
     */
    public DOMImplementation item(int index)
    {
       try {
           return (DOMImplementation) sources.elementAt(index);
       } catch (ArrayIndexOutOfBoundsException e) {
           return null;
       }
    }

    /**
     * The number of <code>DOMImplementation</code>s in the list. The range 
     * of valid child node indices is 0 to <code>length-1</code> inclusive. 
     */
    public int getLength() {
        return sources.size();
    }

    /**
     * Add a <code>DOMImplementation</code> in the list.
     */
    public void add(DOMImplementation domImpl) {
        sources.add(domImpl);
    }
}
  

With this, the first line of an application typically becomes something like (modulo exception handling):

    // get a DOM Level 3 implementation that supports the XML module.
    DOMImplementation impl = DOMImplementationRegistry.getDOMImplementation("XML 3.0");
  

G.2 Other Core interfaces

org/w3c/dom/DOMException.java:

package org.w3c.dom;

public class DOMException extends RuntimeException {
    public DOMException(short code, String message) {
       super(message);
       this.code = code;
    }
    public short   code;
    // ExceptionCode
    public static final short INDEX_SIZE_ERR            = 1;
    public static final short DOMSTRING_SIZE_ERR        = 2;
    public static final short HIERARCHY_REQUEST_ERR     = 3;
    public static final short WRONG_DOCUMENT_ERR        = 4;
    public static final short INVALID_CHARACTER_ERR     = 5;
    public static final short NO_DATA_ALLOWED_ERR       = 6;
    public static final short NO_MODIFICATION_ALLOWED_ERR = 7;
    public static final short NOT_FOUND_ERR             = 8;
    public static final short NOT_SUPPORTED_ERR         = 9;
    public static final short INUSE_ATTRIBUTE_ERR       = 10;
    public static final short INVALID_STATE_ERR         = 11;
    public static final short SYNTAX_ERR                = 12;
    public static final short INVALID_MODIFICATION_ERR  = 13;
    public static final short NAMESPACE_ERR             = 14;
    public static final short INVALID_ACCESS_ERR        = 15;
    public static final short VALIDATION_ERR            = 16;
    public static final short TYPE_MISMATCH_ERR         = 17;

}

org/w3c/dom/DOMStringList.java:

package org.w3c.dom;

public interface DOMStringList {
    public String item(int index);

    public int getLength();

    public boolean contains(String str);

}

org/w3c/dom/NameList.java:

package org.w3c.dom;

public interface NameList {
    public String getName(int index);

    public String getNamespaceURI(int index);

    public int getLength();

    public boolean contains(String str);

    public boolean containsNS(String namespaceURI, 
                              String name);

}

org/w3c/dom/DOMImplementationList.java:

package org.w3c.dom;

public interface DOMImplementationList {
    public DOMImplementation item(int index);

    public int getLength();

}

org/w3c/dom/DOMImplementationSource.java:

package org.w3c.dom;

public interface DOMImplementationSource {
    public DOMImplementation getDOMImplementation(String features);

    public DOMImplementationList getDOMImplementationList(String features);

}

org/w3c/dom/DOMImplementation.java:

package org.w3c.dom;

public interface DOMImplementation {
    public boolean hasFeature(String feature, 
                              String version);

    public DocumentType createDocumentType(String qualifiedName, 
                                           String publicId, 
                                           String systemId)
                                           throws DOMException;

    public Document createDocument(String namespaceURI, 
                                   String qualifiedName, 
                                   DocumentType doctype)
                                   throws DOMException;

    public Object getFeature(String feature, 
                             String version);

}

org/w3c/dom/DocumentFragment.java:

package org.w3c.dom;

public interface DocumentFragment extends Node {
}

org/w3c/dom/Document.java:

package org.w3c.dom;

public interface Document extends Node {
    public DocumentType getDoctype();

    public DOMImplementation getImplementation();

    public Element getDocumentElement();

    public Element createElement(String tagName)
                                 throws DOMException;

    public DocumentFragment createDocumentFragment();

    public Text createTextNode(String data);

    public Comment createComment(String data);

    public CDATASection createCDATASection(String data)
                                           throws DOMException;

    public ProcessingInstruction createProcessingInstruction(String target, 
                                                             String data)
                                                             throws DOMException;

    public Attr createAttribute(String name)
                                throws DOMException;

    public EntityReference createEntityReference(String name)
                                                 throws DOMException;

    public NodeList getElementsByTagName(String tagname);

    public Node importNode(Node importedNode, 
                           boolean deep)
                           throws DOMException;

    public Element createElementNS(String namespaceURI, 
                                   String qualifiedName)
                                   throws DOMException;

    public Attr createAttributeNS(String namespaceURI, 
                                  String qualifiedName)
                                  throws DOMException;

    public NodeList getElementsByTagNameNS(String namespaceURI, 
                                           String localName);

    public Element getElementById(String elementId);

    public String getInputEncoding();

    public String getXmlEncoding();

    public boolean getXmlStandalone();
    public void setXmlStandalone(boolean xmlStandalone)
                                  throws DOMException;

    public String getXmlVersion();
    public void setXmlVersion(String xmlVersion)
                                  throws DOMException;

    public boolean getStrictErrorChecking();
    public void setStrictErrorChecking(boolean strictErrorChecking);

    public String getDocumentURI();
    public void setDocumentURI(String documentURI);

    public Node adoptNode(Node source)
                          throws DOMException;

    public DOMConfiguration getDomConfig();

    public void normalizeDocument();

    public Node renameNode(Node n, 
                           String namespaceURI, 
                           String qualifiedName)
                           throws DOMException;

}

org/w3c/dom/Node.java:

package org.w3c.dom;

public interface Node {
    // NodeType
    public static final short ELEMENT_NODE              = 1;
    public static final short ATTRIBUTE_NODE            = 2;
    public static final short TEXT_NODE                 = 3;
    public static final short CDATA_SECTION_NODE        = 4;
    public static final short ENTITY_REFERENCE_NODE     = 5;
    public static final short ENTITY_NODE               = 6;
    public static final short PROCESSING_INSTRUCTION_NODE = 7;
    public static final short COMMENT_NODE              = 8;
    public static final short DOCUMENT_NODE             = 9;
    public static final short DOCUMENT_TYPE_NODE        = 10;
    public static final short DOCUMENT_FRAGMENT_NODE    = 11;
    public static final short NOTATION_NODE             = 12;

    public String getNodeName();

    public String getNodeValue()
                           throws DOMException;
    public void setNodeValue(String nodeValue)
                           throws DOMException;

    public short getNodeType();

    public Node getParentNode();

    public NodeList getChildNodes();

    public Node getFirstChild();

    public Node getLastChild();

    public Node getPreviousSibling();

    public Node getNextSibling();

    public NamedNodeMap getAttributes();

    public Document getOwnerDocument();

    public Node insertBefore(Node newChild, 
                             Node refChild)
                             throws DOMException;

    public Node replaceChild(Node newChild, 
                             Node oldChild)
                             throws DOMException;

    public Node removeChild(Node oldChild)
                            throws DOMException;

    public Node appendChild(Node newChild)
                            throws DOMException;

    public boolean hasChildNodes();

    public Node cloneNode(boolean deep);

    public void normalize();

    public boolean isSupported(String feature, 
                               String version);

    public String getNamespaceURI();

    public String getPrefix();
    public void setPrefix(String prefix)
                               throws DOMException;

    public String getLocalName();

    public boolean hasAttributes();

    public String getBaseURI();

    // DocumentPosition
    public static final short DOCUMENT_POSITION_DISCONNECTED = 0x01;
    public static final short DOCUMENT_POSITION_PRECEDING = 0x02;
    public static final short DOCUMENT_POSITION_FOLLOWING = 0x04;
    public static final short DOCUMENT_POSITION_CONTAINS = 0x08;
    public static final short DOCUMENT_POSITION_CONTAINED_BY = 0x10;
    public static final short DOCUMENT_POSITION_IMPLEMENTATION_SPECIFIC = 0x20;

    public short compareDocumentPosition(Node other)
                                         throws DOMException;

    public String getTextContent()
                                         throws DOMException;
    public void setTextContent(String textContent)
                                         throws DOMException;

    public boolean isSameNode(Node other);

    public String lookupPrefix(String namespaceURI);

    public boolean isDefaultNamespace(String namespaceURI);

    public String lookupNamespaceURI(String prefix);

    public boolean isEqualNode(Node arg);

    public Object getFeature(String feature, 
                             String version);

    public Object setUserData(String key, 
                              Object data, 
                              UserDataHandler handler);

    public Object getUserData(String key);

}

org/w3c/dom/NodeList.java:

package org.w3c.dom;

public interface NodeList {
    public Node item(int index);

    public int getLength();

}

org/w3c/dom/NamedNodeMap.java:

package org.w3c.dom;

public interface NamedNodeMap {
    public Node getNamedItem(String name);

    public Node setNamedItem(Node arg)
                             throws DOMException;

    public Node removeNamedItem(String name)
                                throws DOMException;

    public Node item(int index);

    public int getLength();

    public Node getNamedItemNS(String namespaceURI, 
                               String localName)
                               throws DOMException;

    public Node setNamedItemNS(Node arg)
                               throws DOMException;

    public Node removeNamedItemNS(String namespaceURI, 
                                  String localName)
                                  throws DOMException;

}

org/w3c/dom/CharacterData.java:

package org.w3c.dom;

public interface CharacterData extends Node {
    public String getData()
                                  throws DOMException;
    public void setData(String data)
                                  throws DOMException;

    public int getLength();

    public String substringData(int offset, 
                                int count)
                                throws DOMException;

    public void appendData(String arg)
                           throws DOMException;

    public void insertData(int offset, 
                           String arg)
                           throws DOMException;

    public void deleteData(int offset, 
                           int count)
                           throws DOMException;

    public void replaceData(int offset, 
                            int count, 
                            String arg)
                            throws DOMException;

}

org/w3c/dom/Attr.java:

package org.w3c.dom;

public interface Attr extends Node {
    public String getName();

    public boolean getSpecified();

    public String getValue();
    public void setValue(String value)
                            throws DOMException;

    public Element getOwnerElement();

    public TypeInfo getSchemaTypeInfo();

    public boolean isId();

}

org/w3c/dom/Element.java:

package org.w3c.dom;

public interface Element extends Node {
    public String getTagName();

    public String getAttribute(String name);

    public void setAttribute(String name, 
                             String value)
                             throws DOMException;

    public void removeAttribute(String name)
                                throws DOMException;

    public Attr getAttributeNode(String name);

    public Attr setAttributeNode(Attr newAttr)
                                 throws DOMException;

    public Attr removeAttributeNode(Attr oldAttr)
                                    throws DOMException;

    public NodeList getElementsByTagName(String name);

    public String getAttributeNS(String namespaceURI, 
                                 String localName)
                                 throws DOMException;

    public void setAttributeNS(String namespaceURI, 
                               String qualifiedName, 
                               String value)
                               throws DOMException;

    public void removeAttributeNS(String namespaceURI, 
                                  String localName)
                                  throws DOMException;

    public Attr getAttributeNodeNS(String namespaceURI, 
                                   String localName)
                                   throws DOMException;

    public Attr setAttributeNodeNS(Attr newAttr)
                                   throws DOMException;

    public NodeList getElementsByTagNameNS(String namespaceURI, 
                                           String localName)
                                           throws DOMException;

    public boolean hasAttribute(String name);

    public boolean hasAttributeNS(String namespaceURI, 
                                  String localName)
                                  throws DOMException;

    public TypeInfo getSchemaTypeInfo();

    public void setIdAttribute(String name, 
                               boolean isId)
                               throws DOMException;

    public void setIdAttributeNS(String namespaceURI, 
                                 String localName, 
                                 boolean isId)
                                 throws DOMException;

    public void setIdAttributeNode(Attr idAttr, 
                                   boolean isId)
                                   throws DOMException;

}

org/w3c/dom/Text.java:

package org.w3c.dom;

public interface Text extends CharacterData {
    public Text splitText(int offset)
                          throws DOMException;

    public boolean isElementContentWhitespace();

    public String getWholeText();

    public Text replaceWholeText(String content)
                                 throws DOMException;

}

org/w3c/dom/Comment.java:

package org.w3c.dom;

public interface Comment extends CharacterData {
}

org/w3c/dom/TypeInfo.java:

package org.w3c.dom;

public interface TypeInfo {
    public String getTypeName();

    public String getTypeNamespace();

    // DerivationMethods
    public static final int DERIVATION_RESTRICTION    = 0x00000001;
    public static final int DERIVATION_EXTENSION      = 0x00000002;
    public static final int DERIVATION_UNION          = 0x00000004;
    public static final int DERIVATION_LIST           = 0x00000008;

    public boolean isDerivedFrom(String typeNamespaceArg, 
                                 String typeNameArg, 
                                 int derivationMethod);

}

org/w3c/dom/UserDataHandler.java:

package org.w3c.dom;

public interface UserDataHandler {
    // OperationType
    public static final short NODE_CLONED               = 1;
    public static final short NODE_IMPORTED             = 2;
    public static final short NODE_DELETED              = 3;
    public static final short NODE_RENAMED              = 4;
    public static final short NODE_ADOPTED              = 5;

    public void handle(short operation, 
                       String key, 
                       Object data, 
                       Node src, 
                       Node dst);

}

org/w3c/dom/DOMError.java:

package org.w3c.dom;

public interface DOMError {
    // ErrorSeverity
    public static final short SEVERITY_WARNING          = 1;
    public static final short SEVERITY_ERROR            = 2;
    public static final short SEVERITY_FATAL_ERROR      = 3;

    public short getSeverity();

    public String getMessage();

    public String getType();

    public Object getRelatedException();

    public Object getRelatedData();

    public DOMLocator getLocation();

}

org/w3c/dom/DOMErrorHandler.java:

package org.w3c.dom;

public interface DOMErrorHandler {
    public boolean handleError(DOMError error);

}

org/w3c/dom/DOMLocator.java:

package org.w3c.dom;

public interface DOMLocator {
    public int getLineNumber();

    public int getColumnNumber();

    public int getByteOffset();

    public int getUtf16Offset();

    public Node getRelatedNode();

    public String getUri();

}

org/w3c/dom/DOMConfiguration.java:

package org.w3c.dom;

public interface DOMConfiguration {
    public void setParameter(String name, 
                             Object value)
                             throws DOMException;

    public Object getParameter(String name)
                               throws DOMException;

    public boolean canSetParameter(String name, 
                                   Object value);

    public DOMStringList getParameterNames();

}

org/w3c/dom/CDATASection.java:

package org.w3c.dom;

public interface CDATASection extends Text {
}

org/w3c/dom/DocumentType.java:

package org.w3c.dom;

public interface DocumentType extends Node {
    public String getName();

    public NamedNodeMap getEntities();

    public NamedNodeMap getNotations();

    public String getPublicId();

    public String getSystemId();

    public String getInternalSubset();

}

org/w3c/dom/Notation.java:

package org.w3c.dom;

public interface Notation extends Node {
    public String getPublicId();

    public String getSystemId();

}

org/w3c/dom/Entity.java:

package org.w3c.dom;

public interface Entity extends Node {
    public String getPublicId();

    public String getSystemId();

    public String getNotationName();

    public String getInputEncoding();

    public String getXmlEncoding();

    public String getXmlVersion();

}

org/w3c/dom/EntityReference.java:

package org.w3c.dom;

public interface EntityReference extends Node {
}

org/w3c/dom/ProcessingInstruction.java:

package org.w3c.dom;

public interface ProcessingInstruction extends Node {
    public String getTarget();

    public String getData();
    public void setData(String data)
                                   throws DOMException;

}

05 February 2004

Appendix H: ECMAScript Language Binding

This appendix contains the complete ECMAScript [ECMAScript] binding for the Level 3 Document Object Model Core definitions.

H.1 ECMAScript Binding Extension

This section defines the DOMImplementationRegistry object, discussed in Bootstrapping, for ECMAScript.

Objects that implements the DOMImplementationRegistry interface
DOMImplementationRegistry is a global variable which has the following functions:
getDOMImplementation(features)
This method returns the first registered object that implements the DOMImplementation interface and has the desired features, or null if none is found.
The features parameter is a String. See also DOMImplementationSource.getDOMImplementation().
getDOMImplementationList(features)
This method returns a DOMImplementationList list of registered object that implements the DOMImplementation interface and has the desired features.
The features parameter is a String. See also DOMImplementationSource.getDOMImplementationList().

H.2 Other Core interfaces

Properties of the DOMException Constructor function:
DOMException.INDEX_SIZE_ERR
The value of the constant DOMException.INDEX_SIZE_ERR is 1.
DOMException.DOMSTRING_SIZE_ERR
The value of the constant DOMException.DOMSTRING_SIZE_ERR is 2.
DOMException.HIERARCHY_REQUEST_ERR
The value of the constant DOMException.HIERARCHY_REQUEST_ERR is 3.
DOMException.WRONG_DOCUMENT_ERR
The value of the constant DOMException.WRONG_DOCUMENT_ERR is 4.
DOMException.INVALID_CHARACTER_ERR
The value of the constant DOMException.INVALID_CHARACTER_ERR is 5.
DOMException.NO_DATA_ALLOWED_ERR
The value of the constant DOMException.NO_DATA_ALLOWED_ERR is 6.
DOMException.NO_MODIFICATION_ALLOWED_ERR
The value of the constant DOMException.NO_MODIFICATION_ALLOWED_ERR is 7.
DOMException.NOT_FOUND_ERR
The value of the constant DOMException.NOT_FOUND_ERR is 8.
DOMException.NOT_SUPPORTED_ERR
The value of the constant DOMException.NOT_SUPPORTED_ERR is 9.
DOMException.INUSE_ATTRIBUTE_ERR
The value of the constant DOMException.INUSE_ATTRIBUTE_ERR is 10.
DOMException.INVALID_STATE_ERR
The value of the constant DOMException.INVALID_STATE_ERR is 11.
DOMException.SYNTAX_ERR
The value of the constant DOMException.SYNTAX_ERR is 12.
DOMException.INVALID_MODIFICATION_ERR
The value of the constant DOMException.INVALID_MODIFICATION_ERR is 13.
DOMException.NAMESPACE_ERR
The value of the constant DOMException.NAMESPACE_ERR is 14.
DOMException.INVALID_ACCESS_ERR
The value of the constant DOMException.INVALID_ACCESS_ERR is 15.
DOMException.VALIDATION_ERR
The value of the constant DOMException.VALIDATION_ERR is 16.
DOMException.TYPE_MISMATCH_ERR
The value of the constant DOMException.TYPE_MISMATCH_ERR is 17.
Objects that implement the DOMException interface:
Properties of objects that implement the DOMException interface:
code
This property is a Number.
Objects that implement the DOMStringList interface:
Properties of objects that implement the DOMStringList interface:
length
This read-only property is a Number.
Functions of objects that implement the DOMStringList interface:
item(index)
This function returns a String.
The index parameter is a Number.
Note: This object can also be dereferenced using square bracket notation (e.g. obj[1]). Dereferencing with an integer index is equivalent to invoking the item function with that index.
contains(str)
This function returns a Boolean.
The str parameter is a String.
Objects that implement the NameList interface:
Properties of objects that implement the NameList interface:
length
This read-only property is a Number.
Functions of objects that implement the NameList interface:
getName(index)
This function returns a String.
The index parameter is a Number.
getNamespaceURI(index)
This function returns a String.
The index parameter is a Number.
contains(str)
This function returns a Boolean.
The str parameter is a String.
containsNS(namespaceURI, name)
This function returns a Boolean.
The namespaceURI parameter is a String.
The name parameter is a String.
Objects that implement the DOMImplementationList interface:
Properties of objects that implement the DOMImplementationList interface:
length
This read-only property is a Number.
Functions of objects that implement the DOMImplementationList interface:
item(index)
This function returns an object that implements the DOMImplementation interface.
The index parameter is a Number.
Note: This object can also be dereferenced using square bracket notation (e.g. obj[1]). Dereferencing with an integer index is equivalent to invoking the item function with that index.
Objects that implement the DOMImplementationSource interface:
Functions of objects that implement the DOMImplementationSource interface:
getDOMImplementation(features)
This function returns an object that implements the DOMImplementation interface.
The features parameter is a String.
getDOMImplementationList(features)
This function returns an object that implements the DOMImplementationList interface.
The features parameter is a String.
Objects that implement the DOMImplementation interface:
Functions of objects that implement the DOMImplementation interface:
hasFeature(feature, version)
This function returns a Boolean.
The feature parameter is a String.
The version parameter is a String.
createDocumentType(qualifiedName, publicId, systemId)
This function returns an object that implements the DocumentType interface.
The qualifiedName parameter is a String.
The publicId parameter is a String.
The systemId parameter is a String.
This function can raise an object that implements the DOMException interface.
createDocument(namespaceURI, qualifiedName, doctype)
This function returns an object that implements the Document interface.
The namespaceURI parameter is a String.
The qualifiedName parameter is a String.
The doctype parameter is an object that implements the DocumentType interface.
This function can raise an object that implements the DOMException interface.
getFeature(feature, version)
This function returns an object that implements the Object interface.
The feature parameter is a String.
The version parameter is a String.
Objects that implement the DocumentFragment interface:
Objects that implement the DocumentFragment interface have all properties and functions of the Node interface.
Objects that implement the Document interface:
Objects that implement the Document interface have all properties and functions of the Node interface as well as the properties and functions defined below.
Properties of objects that implement the Document interface:
doctype
This read-only property is an object that implements the DocumentType interface.
implementation
This read-only property is an object that implements the DOMImplementation interface.
documentElement
This read-only property is an object that implements the Element interface.
inputEncoding
This read-only property is a String.
xmlEncoding
This read-only property is a String.
xmlStandalone
This property is a Boolean and can raise an object that implements the DOMException interface on setting.
xmlVersion
This property is a String and can raise an object that implements the DOMException interface on setting.
strictErrorChecking
This property is a Boolean.
documentURI
This property is a String.
domConfig
This read-only property is an object that implements the DOMConfiguration interface.
Functions of objects that implement the Document interface:
createElement(tagName)
This function returns an object that implements the Element interface.
The tagName parameter is a String.
This function can raise an object that implements the DOMException interface.
createDocumentFragment()
This function returns an object that implements the DocumentFragment interface.
createTextNode(data)
This function returns an object that implements the Text interface.
The data parameter is a String.
createComment(data)
This function returns an object that implements the Comment interface.
The data parameter is a String.
createCDATASection(data)
This function returns an object that implements the CDATASection interface.
The data parameter is a String.
This function can raise an object that implements the DOMException interface.
createProcessingInstruction(target, data)
This function returns an object that implements the ProcessingInstruction interface.
The target parameter is a String.
The data parameter is a String.
This function can raise an object that implements the DOMException interface.
createAttribute(name)
This function returns an object that implements the Attr interface.
The name parameter is a String.
This function can raise an object that implements the DOMException interface.
createEntityReference(name)
This function returns an object that implements the EntityReference interface.
The name parameter is a String.
This function can raise an object that implements the DOMException interface.
getElementsByTagName(tagname)
This function returns an object that implements the NodeList interface.
The tagname parameter is a String.
importNode(importedNode, deep)
This function returns an object that implements the Node interface.
The importedNode parameter is an object that implements the Node interface.
The deep parameter is a Boolean.
This function can raise an object that implements the DOMException interface.
createElementNS(namespaceURI, qualifiedName)
This function returns an object that implements the Element interface.
The namespaceURI parameter is a String.
The qualifiedName parameter is a String.
This function can raise an object that implements the DOMException interface.
createAttributeNS(namespaceURI, qualifiedName)
This function returns an object that implements the Attr interface.
The namespaceURI parameter is a String.
The qualifiedName parameter is a String.
This function can raise an object that implements the DOMException interface.
getElementsByTagNameNS(namespaceURI, localName)
This function returns an object that implements the NodeList interface.
The namespaceURI parameter is a String.
The localName parameter is a String.
getElementById(elementId)
This function returns an object that implements the Element interface.
The elementId parameter is a String.
adoptNode(source)
This function returns an object that implements the Node interface.
The source parameter is an object that implements the Node interface.
This function can raise an object that implements the DOMException interface.
normalizeDocument()
This function has no return value.
renameNode(n, namespaceURI, qualifiedName)
This function returns an object that implements the Node interface.
The n parameter is an object that implements the Node interface.
The namespaceURI parameter is a String.
The qualifiedName parameter is a String.
This function can raise an object that implements the DOMException interface.
Properties of the Node Constructor function:
Node.ELEMENT_NODE
The value of the constant Node.ELEMENT_NODE is 1.
Node.ATTRIBUTE_NODE
The value of the constant Node.ATTRIBUTE_NODE is 2.
Node.TEXT_NODE
The value of the constant Node.TEXT_NODE is 3.
Node.CDATA_SECTION_NODE
The value of the constant Node.CDATA_SECTION_NODE is 4.
Node.ENTITY_REFERENCE_NODE
The value of the constant Node.ENTITY_REFERENCE_NODE is 5.
Node.ENTITY_NODE
The value of the constant Node.ENTITY_NODE is 6.
Node.PROCESSING_INSTRUCTION_NODE
The value of the constant Node.PROCESSING_INSTRUCTION_NODE is 7.
Node.COMMENT_NODE
The value of the constant Node.COMMENT_NODE is 8.
Node.DOCUMENT_NODE
The value of the constant Node.DOCUMENT_NODE is 9.
Node.DOCUMENT_TYPE_NODE
The value of the constant Node.DOCUMENT_TYPE_NODE is 10.
Node.DOCUMENT_FRAGMENT_NODE
The value of the constant Node.DOCUMENT_FRAGMENT_NODE is 11.
Node.NOTATION_NODE
The value of the constant Node.NOTATION_NODE is 12.
Node.DOCUMENT_POSITION_DISCONNECTED
The value of the constant Node.DOCUMENT_POSITION_DISCONNECTED is 0x01.
Node.DOCUMENT_POSITION_PRECEDING
The value of the constant Node.DOCUMENT_POSITION_PRECEDING is 0x02.
Node.DOCUMENT_POSITION_FOLLOWING
The value of the constant Node.DOCUMENT_POSITION_FOLLOWING is 0x04.
Node.DOCUMENT_POSITION_CONTAINS
The value of the constant Node.DOCUMENT_POSITION_CONTAINS is 0x08.
Node.DOCUMENT_POSITION_CONTAINED_BY
The value of the constant Node.DOCUMENT_POSITION_CONTAINED_BY is 0x10.
Node.DOCUMENT_POSITION_IMPLEMENTATION_SPECIFIC
The value of the constant Node.DOCUMENT_POSITION_IMPLEMENTATION_SPECIFIC is 0x20.
Objects that implement the Node interface:
Properties of objects that implement the Node interface:
nodeName
This read-only property is a String.
nodeValue
This property is a String, can raise an object that implements the DOMException interface on setting and can raise an object that implements the DOMException interface on retrieval.
nodeType
This read-only property is a Number.
parentNode
This read-only property is an object that implements the Node interface.
childNodes
This read-only property is an object that implements the NodeList interface.
firstChild
This read-only property is an object that implements the Node interface.
lastChild
This read-only property is an object that implements the Node interface.
previousSibling
This read-only property is an object that implements the Node interface.
nextSibling
This read-only property is an object that implements the Node interface.
attributes
This read-only property is an object that implements the NamedNodeMap interface.
ownerDocument
This read-only property is an object that implements the Document interface.
namespaceURI
This read-only property is a String.
prefix
This property is a String and can raise an object that implements the DOMException interface on setting.
localName
This read-only property is a String.
baseURI
This read-only property is a String.
textContent
This property is a String, can raise an object that implements the DOMException interface on setting and can raise an object that implements the DOMException interface on retrieval.
Functions of objects that implement the Node interface:
insertBefore(newChild, refChild)
This function returns an object that implements the Node interface.
The newChild parameter is an object that implements the Node interface.
The refChild parameter is an object that implements the Node interface.
This function can raise an object that implements the DOMException interface.
replaceChild(newChild, oldChild)
This function returns an object that implements the Node interface.
The newChild parameter is an object that implements the Node interface.
The oldChild parameter is an object that implements the Node interface.
This function can raise an object that implements the DOMException interface.
removeChild(oldChild)
This function returns an object that implements the Node interface.
The oldChild parameter is an object that implements the Node interface.
This function can raise an object that implements the DOMException interface.
appendChild(newChild)
This function returns an object that implements the Node interface.
The newChild parameter is an object that implements the Node interface.
This function can raise an object that implements the DOMException interface.
hasChildNodes()
This function returns a Boolean.
cloneNode(deep)
This function returns an object that implements the Node interface.
The deep parameter is a Boolean.
normalize()
This function has no return value.
isSupported(feature, version)
This function returns a Boolean.
The feature parameter is a String.
The version parameter is a String.
hasAttributes()
This function returns a Boolean.
compareDocumentPosition(other)
This function returns a Number.
The other parameter is an object that implements the Node interface.
This function can raise an object that implements the DOMException interface.
isSameNode(other)
This function returns a Boolean.
The other parameter is an object that implements the Node interface.
lookupPrefix(namespaceURI)
This function returns a String.
The namespaceURI parameter is a String.
isDefaultNamespace(namespaceURI)
This function returns a Boolean.
The namespaceURI parameter is a String.
lookupNamespaceURI(prefix)
This function returns a String.
The prefix parameter is a String.
isEqualNode(arg)
This function returns a Boolean.
The arg parameter is an object that implements the Node interface.
getFeature(feature, version)
This function returns an object that implements the Object interface.
The feature parameter is a String.
The version parameter is a String.
setUserData(key, data, handler)
This function returns an object that implements the any type interface.
The key parameter is a String.
The data parameter is an object that implements the any type interface.
The handler parameter is an object that implements the UserDataHandler interface.
getUserData(key)
This function returns an object that implements the any type interface.
The key parameter is a String.
Objects that implement the NodeList interface:
Properties of objects that implement the NodeList interface:
length
This read-only property is a Number.
Functions of objects that implement the NodeList interface:
item(index)
This function returns an object that implements the Node interface.
The index parameter is a Number.
Note: This object can also be dereferenced using square bracket notation (e.g. obj[1]). Dereferencing with an integer index is equivalent to invoking the item function with that index.
Objects that implement the NamedNodeMap interface:
Properties of objects that implement the NamedNodeMap interface:
length
This read-only property is a Number.
Functions of objects that implement the NamedNodeMap interface:
getNamedItem(name)
This function returns an object that implements the Node interface.
The name parameter is a String.
setNamedItem(arg)
This function returns an object that implements the Node interface.
The arg parameter is an object that implements the Node interface.
This function can raise an object that implements the DOMException interface.
removeNamedItem(name)
This function returns an object that implements the Node interface.
The name parameter is a String.
This function can raise an object that implements the DOMException interface.
item(index)
This function returns an object that implements the Node interface.
The index parameter is a Number.
Note: This object can also be dereferenced using square bracket notation (e.g. obj[1]). Dereferencing with an integer index is equivalent to invoking the item function with that index.
getNamedItemNS(namespaceURI, localName)
This function returns an object that implements the Node interface.
The namespaceURI parameter is a String.
The localName parameter is a String.
This function can raise an object that implements the DOMException interface.
setNamedItemNS(arg)
This function returns an object that implements the Node interface.
The arg parameter is an object that implements the Node interface.
This function can raise an object that implements the DOMException interface.
removeNamedItemNS(namespaceURI, localName)
This function returns an object that implements the Node interface.
The namespaceURI parameter is a String.
The localName parameter is a String.
This function can raise an object that implements the DOMException interface.
Objects that implement the CharacterData interface:
Objects that implement the CharacterData interface have all properties and functions of the Node interface as well as the properties and functions defined below.
Properties of objects that implement the CharacterData interface:
data
This property is a String, can raise an object that implements the DOMException interface on setting and can raise an object that implements the DOMException interface on retrieval.
length
This read-only property is a Number.
Functions of objects that implement the CharacterData interface:
substringData(offset, count)
This function returns a String.
The offset parameter is a Number.
The count parameter is a Number.
This function can raise an object that implements the DOMException interface.
appendData(arg)
This function has no return value.
The arg parameter is a String.
This function can raise an object that implements the DOMException interface.
insertData(offset, arg)
This function has no return value.
The offset parameter is a Number.
The arg parameter is a String.
This function can raise an object that implements the DOMException interface.
deleteData(offset, count)
This function has no return value.
The offset parameter is a Number.
The count parameter is a Number.
This function can raise an object that implements the DOMException interface.
replaceData(offset, count, arg)
This function has no return value.
The offset parameter is a Number.
The count parameter is a Number.
The arg parameter is a String.
This function can raise an object that implements the DOMException interface.
Objects that implement the Attr interface:
Objects that implement the Attr interface have all properties and functions of the Node interface as well as the properties and functions defined below.
Properties of objects that implement the Attr interface:
name
This read-only property is a String.
specified
This read-only property is a Boolean.
value
This property is a String and can raise an object that implements the DOMException interface on setting.
ownerElement
This read-only property is an object that implements the Element interface.
schemaTypeInfo
This read-only property is an object that implements the TypeInfo interface.
isId
This read-only property is a Boolean.
Objects that implement the Element interface:
Objects that implement the Element interface have all properties and functions of the Node interface as well as the properties and functions defined below.
Properties of objects that implement the Element interface:
tagName
This read-only property is a String.
schemaTypeInfo
This read-only property is an object that implements the TypeInfo interface.
Functions of objects that implement the Element interface:
getAttribute(name)
This function returns a String.
The name parameter is a String.
setAttribute(name, value)
This function has no return value.
The name parameter is a String.
The value parameter is a String.
This function can raise an object that implements the DOMException interface.
removeAttribute(name)
This function has no return value.
The name parameter is a String.
This function can raise an object that implements the DOMException interface.
getAttributeNode(name)
This function returns an object that implements the Attr interface.
The name parameter is a String.
setAttributeNode(newAttr)
This function returns an object that implements the Attr interface.
The newAttr parameter is an object that implements the Attr interface.
This function can raise an object that implements the DOMException interface.
removeAttributeNode(oldAttr)
This function returns an object that implements the Attr interface.
The oldAttr parameter is an object that implements the Attr interface.
This function can raise an object that implements the DOMException interface.
getElementsByTagName(name)
This function returns an object that implements the NodeList interface.
The name parameter is a String.
getAttributeNS(namespaceURI, localName)
This function returns a String.
The namespaceURI parameter is a String.
The localName parameter is a String.
This function can raise an object that implements the DOMException interface.
setAttributeNS(namespaceURI, qualifiedName, value)
This function has no return value.
The namespaceURI parameter is a String.
The qualifiedName parameter is a String.
The value parameter is a String.
This function can raise an object that implements the DOMException interface.
removeAttributeNS(namespaceURI, localName)
This function has no return value.
The namespaceURI parameter is a String.
The localName parameter is a String.
This function can raise an object that implements the DOMException interface.
getAttributeNodeNS(namespaceURI, localName)
This function returns an object that implements the Attr interface.
The namespaceURI parameter is a String.
The localName parameter is a String.
This function can raise an object that implements the DOMException interface.
setAttributeNodeNS(newAttr)
This function returns an object that implements the Attr interface.
The newAttr parameter is an object that implements the Attr interface.
This function can raise an object that implements the DOMException interface.
getElementsByTagNameNS(namespaceURI, localName)
This function returns an object that implements the NodeList interface.
The namespaceURI parameter is a String.
The localName parameter is a String.
This function can raise an object that implements the DOMException interface.
hasAttribute(name)
This function returns a Boolean.
The name parameter is a String.
hasAttributeNS(namespaceURI, localName)
This function returns a Boolean.
The namespaceURI parameter is a String.
The localName parameter is a String.
This function can raise an object that implements the DOMException interface.
setIdAttribute(name, isId)
This function has no return value.
The name parameter is a String.
The isId parameter is a Boolean.
This function can raise an object that implements the DOMException interface.
setIdAttributeNS(namespaceURI, localName, isId)
This function has no return value.
The namespaceURI parameter is a String.
The localName parameter is a String.
The isId parameter is a Boolean.
This function can raise an object that implements the DOMException interface.
setIdAttributeNode(idAttr, isId)
This function has no return value.
The idAttr parameter is an object that implements the Attr interface.
The isId parameter is a Boolean.
This function can raise an object that implements the DOMException interface.
Objects that implement the Text interface:
Objects that implement the Text interface have all properties and functions of the CharacterData interface as well as the properties and functions defined below.
Properties of objects that implement the Text interface:
isElementContentWhitespace
This read-only property is a Boolean.
wholeText
This read-only property is a String.
Functions of objects that implement the Text interface:
splitText(offset)
This function returns an object that implements the Text interface.
The offset parameter is a Number.
This function can raise an object that implements the DOMException interface.
replaceWholeText(content)
This function returns an object that implements the Text interface.
The content parameter is a String.
This function can raise an object that implements the DOMException interface.
Objects that implement the Comment interface:
Objects that implement the Comment interface have all properties and functions of the CharacterData interface.
Properties of the TypeInfo Constructor function:
TypeInfo.DERIVATION_RESTRICTION
The value of the constant TypeInfo.DERIVATION_RESTRICTION is 0x00000001.
TypeInfo.DERIVATION_EXTENSION
The value of the constant TypeInfo.DERIVATION_EXTENSION is 0x00000002.
TypeInfo.DERIVATION_UNION
The value of the constant TypeInfo.DERIVATION_UNION is 0x00000004.
TypeInfo.DERIVATION_LIST
The value of the constant TypeInfo.DERIVATION_LIST is 0x00000008.
Objects that implement the TypeInfo interface:
Properties of objects that implement the TypeInfo interface:
typeName
This read-only property is a String.
typeNamespace
This read-only property is a String.
Functions of objects that implement the TypeInfo interface:
isDerivedFrom(typeNamespaceArg, typeNameArg, derivationMethod)
This function returns a Boolean.
The typeNamespaceArg parameter is a String.
The typeNameArg parameter is a String.
The derivationMethod parameter is a Number.
Properties of the UserDataHandler Constructor function:
UserDataHandler.NODE_CLONED
The value of the constant UserDataHandler.NODE_CLONED is 1.
UserDataHandler.NODE_IMPORTED
The value of the constant UserDataHandler.NODE_IMPORTED is 2.
UserDataHandler.NODE_DELETED
The value of the constant UserDataHandler.NODE_DELETED is 3.
UserDataHandler.NODE_RENAMED
The value of the constant UserDataHandler.NODE_RENAMED is 4.
UserDataHandler.NODE_ADOPTED
The value of the constant UserDataHandler.NODE_ADOPTED is 5.
Objects that implement the UserDataHandler interface:
Functions of objects that implement the UserDataHandler interface:
handle(operation, key, data, src, dst)
This function has no return value.
The operation parameter is a Number.
The key parameter is a String.
The data parameter is an object that implements the any type interface.
The src parameter is an object that implements the Node interface.
The dst parameter is an object that implements the Node interface.
Properties of the DOMError Constructor function:
DOMError.SEVERITY_WARNING
The value of the constant DOMError.SEVERITY_WARNING is 1.
DOMError.SEVERITY_ERROR
The value of the constant DOMError.SEVERITY_ERROR is 2.
DOMError.SEVERITY_FATAL_ERROR
The value of the constant DOMError.SEVERITY_FATAL_ERROR is 3.
Objects that implement the DOMError interface:
Properties of objects that implement the DOMError interface:
severity
This read-only property is a Number.
message
This read-only property is a String.
type
This read-only property is a String.
relatedException
This read-only property is an object that implements the Object interface.
relatedData
This read-only property is an object that implements the Object interface.
location
This read-only property is an object that implements the DOMLocator interface.
Objects that implement the DOMErrorHandler interface:
Functions of objects that implement the DOMErrorHandler interface:
handleError(error)
This function returns a Boolean.
The error parameter is an object that implements the DOMError interface.
Objects that implement the DOMLocator interface:
Properties of objects that implement the DOMLocator interface:
lineNumber
This read-only property is a Number.
columnNumber
This read-only property is a Number.
byteOffset
This read-only property is a Number.
utf16Offset
This read-only property is a Number.
relatedNode
This read-only property is an object that implements the Node interface.
uri
This read-only property is a String.
Objects that implement the DOMConfiguration interface:
Properties of objects that implement the DOMConfiguration interface:
parameterNames
This read-only property is an object that implements the DOMStringList interface.
Functions of objects that implement the DOMConfiguration interface:
setParameter(name, value)
This function has no return value.
The name parameter is a String.
The value parameter is an object that implements the any type interface.
This function can raise an object that implements the DOMException interface.
getParameter(name)
This function returns an object that implements the any type interface.
The name parameter is a String.
This function can raise an object that implements the DOMException interface.
canSetParameter(name, value)
This function returns a Boolean.
The name parameter is a String.
The value parameter is an object that implements the any type interface.
Objects that implement the CDATASection interface:
Objects that implement the CDATASection interface have all properties and functions of the Text interface.
Objects that implement the DocumentType interface:
Objects that implement the DocumentType interface have all properties and functions of the Node interface as well as the properties and functions defined below.
Properties of objects that implement the DocumentType interface:
name
This read-only property is a String.
entities
This read-only property is an object that implements the NamedNodeMap interface.
notations
This read-only property is an object that implements the NamedNodeMap interface.
publicId
This read-only property is a String.
systemId
This read-only property is a String.
internalSubset
This read-only property is a String.
Objects that implement the Notation interface:
Objects that implement the Notation interface have all properties and functions of the Node interface as well as the properties and functions defined below.
Properties of objects that implement the Notation interface:
publicId
This read-only property is a String.
systemId
This read-only property is a String.
Objects that implement the Entity interface:
Objects that implement the Entity interface have all properties and functions of the Node interface as well as the properties and functions defined below.
Properties of objects that implement the Entity interface:
publicId
This read-only property is a String.
systemId
This read-only property is a String.
notationName
This read-only property is a String.
inputEncoding
This read-only property is a String.
xmlEncoding
This read-only property is a String.
xmlVersion
This read-only property is a String.
Objects that implement the EntityReference interface:
Objects that implement the EntityReference interface have all properties and functions of the Node interface.
Objects that implement the ProcessingInstruction interface:
Objects that implement the ProcessingInstruction interface have all properties and functions of the Node interface as well as the properties and functions defined below.
Properties of objects that implement the ProcessingInstruction interface:
target
This read-only property is a String.
data
This property is a String and can raise an object that implements the DOMException interface on setting.

Note: In addition of having DOMConfiguration parameters exposed to the application using the setParameter and getParameter, those parameters are also exposed as ECMAScript properties on the DOMConfiguration object. The name of the parameter is converted into a property name using a camel-case convention: the character '-' (HYPHEN-MINUS) is removed and the following character is being replaced by its uppercase equivalent.

05 February 2004

Appendix I: Acknowledgements

Many people contributed to the DOM specifications (Level 1, 2 or 3), including participants of the DOM Working Group and the DOM Interest Group. We especially thank the following:

Andrew Watson (Object Management Group), Andy Heninger (IBM), Angel Diaz (IBM), Arnaud Le Hors (W3C and IBM), Ashok Malhotra (IBM and Microsoft), Ben Chang (Oracle), Bill Smith (Sun), Bill Shea (Merrill Lynch), Bob Sutor (IBM), Chris Lovett (Microsoft), Chris Wilson (Microsoft), David Brownell (Sun), David Ezell (Hewlett-Packard Company), David Singer (IBM), Dimitris Dimitriadis (Improve AB and invited expert), Don Park (invited), Elena Litani (IBM), Eric Vasilik (Microsoft), Gavin Nicol (INSO), Ian Jacobs (W3C), James Clark (invited), James Davidson (Sun), Jared Sorensen (Novell), Jeroen van Rotterdam (X-Hive Corporation), Joe Kesselman (IBM), Joe Lapp (webMethods), Joe Marini (Macromedia), Johnny Stenback (Netscape/AOL), Jon Ferraiolo (Adobe), Jonathan Marsh (Microsoft), Jonathan Robie (Texcel Research and Software AG), Kim Adamson-Sharpe (SoftQuad Software Inc.), Lauren Wood (SoftQuad Software Inc., former Chair), Laurence Cable (Sun), Mark Davis (IBM), Mark Scardina (Oracle), Martin Dürst (W3C), Mary Brady (NIST), Mick Goulish (Software AG), Mike Champion (Arbortext and Software AG), Miles Sabin (Cromwell Media), Patti Lutsky (Arbortext), Paul Grosso (Arbortext), Peter Sharpe (SoftQuad Software Inc.), Phil Karlton (Netscape), Philippe Le Hégaret (W3C, W3C Team Contact and former Chair), Ramesh Lekshmynarayanan (Merrill Lynch), Ray Whitmer (iMall, Excite@Home, and Netscape/AOL, Chair), Rezaur Rahman (Intel), Rich Rollman (Microsoft), Rick Gessner (Netscape), Rick Jelliffe (invited), Rob Relyea (Microsoft), Scott Isaacs (Microsoft), Sharon Adler (INSO), Steve Byrne (JavaSoft), Tim Bray (invited), Tim Yu (Oracle), Tom Pixley (Netscape/AOL), Vidur Apparao (Netscape), Vinod Anupam (Lucent).

Thanks to all those who have helped to improve this specification by sending suggestions and corrections (Please, keep bugging us with your issues!).

Many thanks to Andrew Clover, Petteri Stenius, Curt Arnold, Glenn A. Adams, Christopher Aillon, Scott Nichol, François Yergeau, Anjana Manian, Susan Lesch, and Jeffery B. Rancier for their review and comments of this document.

Special thanks to the DOM Conformance Test Suites contributors: Fred Drake, Mary Brady (NIST), Rick Rivello (NIST), Robert Clary (Netscape), with a special mention to Curt Arnold.

I.1 Production Systems

This specification was written in XML. The HTML, OMG IDL, Java and ECMAScript bindings were all produced automatically.

Thanks to Joe English, author of cost, which was used as the basis for producing DOM Level 1. Thanks also to Gavin Nicol, who wrote the scripts which run on top of cost. Arnaud Le Hors and Philippe Le Hégaret maintained the scripts.

After DOM Level 1, we used Xerces as the basis DOM implementation and wish to thank the authors. Philippe Le Hégaret and Arnaud Le Hors wrote the Java programs which are the DOM application.

Thanks also to Jan Kärrman, author of html2ps, which we use in creating the PostScript version of the specification.

05 February 2004

Glossary

Editors:
Arnaud Le Hors, W3C
Robert S. Sutor, IBM Research (for DOM Level 1)

Some of the following term definitions have been borrowed or modified from similar definitions in other W3C or standards documents. See the links within the definitions for more information.

16-bit unit
The base unit of a DOMString. This indicates that indexing on a DOMString occurs in units of 16 bits. This must not be misunderstood to mean that a DOMString can store arbitrary 16-bit units. A DOMString is a character string encoded in UTF-16; this means that the restrictions of UTF-16 as well as the other relevant restrictions on character strings must be maintained. A single character, for example in the form of a numeric character reference, may correspond to one or two 16-bit units.
ancestor
An ancestor node of any node A is any node above A in a tree model, where "above" means "toward the root."
API
An API is an Application Programming Interface, a set of functions or methods used to access some functionality.
anonymous type name
An anonymous type name is an implementation-defined, globally unique qualified name provided by the processor for every anonymous type declared in a schema.
child
A child is an immediate descendant node of a node.
client application
A [client] application is any software that uses the Document Object Model programming interfaces provided by the hosting implementation to accomplish useful work. Some examples of client applications are scripts within an HTML or XML document.
COM
COM is Microsoft's Component Object Model [COM], a technology for building applications from binary software components.
convenience
A convenience method is an operation on an object that could be accomplished by a program consisting of more basic operations on the object. Convenience methods are usually provided to make the API easier and simpler to use or to allow specific programs to create more optimized implementations for common operations. A similar definition holds for a convenience property.
data model
A data model is a collection of descriptions of data structures and their contained fields, together with the operations or functions that manipulate them.
descendant
A descendant node of any node A is any node below A in a tree model, where "below" means "away from the root."
document element
There is only one document element in a Document. This element node is a child of the Document node. See Well-Formed XML Documents in XML [XML 1.0].
document order
There is an ordering, document order, defined on all the nodes in the document corresponding to the order in which the first character of the XML representation of each node occurs in the XML representation of the document after expansion of general entities. Thus, the document element node will be the first node. Element nodes occur before their children. Thus, document order orders element nodes in order of the occurrence of their start-tag in the XML (after expansion of entities). The attribute nodes of an element occur after the element and before its children. The relative order of attribute nodes is implementation-dependent.
ECMAScript
The programming language defined by the ECMA-262 standard [ECMAScript]. As stated in the standard, the originating technology for ECMAScript was JavaScript [JavaScript]. Note that in the ECMAScript binding, the word "property" is used in the same sense as the IDL term "attribute."
element
Each document contains one or more elements, the boundaries of which are either delimited by start-tags and end-tags, or, for empty elements by an empty-element tag. Each element has a type, identified by name, and may have a set of attributes. Each attribute has a name and a value. See Logical Structures in XML [XML 1.0].
information item
An information item is an abstract representation of some component of an XML document. See the [XML Information Set] for details.
logically-adjacent text nodes
Logically-adjacent text nodes are Text or CDATASection nodes that can be visited sequentially in document order or in reversed document order without entering, exiting, or passing over Element, Comment, or ProcessingInstruction nodes.
hosting implementation
A [hosting] implementation is a software module that provides an implementation of the DOM interfaces so that a client application can use them. Some examples of hosting implementations are browsers, editors and document repositories.
HTML
The HyperText Markup Language (HTML) is a simple markup language used to create hypertext documents that are portable from one platform to another. HTML documents are SGML documents with generic semantics that are appropriate for representing information from a wide range of applications. [HTML 4.01]
inheritance
In object-oriented programming, the ability to create new classes (or interfaces) that contain all the methods and properties of another class (or interface), plus additional methods and properties. If class (or interface) D inherits from class (or interface) B, then D is said to be derived from B. B is said to be a base class (or interface) for D. Some programming languages allow for multiple inheritance, that is, inheritance from more than one class or interface.
interface
An interface is a declaration of a set of methods with no information given about their implementation. In object systems that support interfaces and inheritance, interfaces can usually inherit from one another.
language binding
A programming language binding for an IDL specification is an implementation of the interfaces in the specification for the given language. For example, a Java language binding for the Document Object Model IDL specification would implement the concrete Java classes that provide the functionality exposed by the interfaces.
local name
A local name is the local part of a qualified name. This is called the local part in Namespaces in XML [XML Namespaces].
method
A method is an operation or function that is associated with an object and is allowed to manipulate the object's data.
model
A model is the actual data representation for the information at hand. Examples are the structural model and the style model representing the parse structure and the style information associated with a document. The model might be a tree, or a directed graph, or something else.
namespace prefix
A namespace prefix is a string that associates an element or attribute name with a namespace URI in XML. See namespace prefix in Namespaces in XML [XML Namespaces].
namespace URI
A namespace URI is a URI that identifies an XML namespace. This is called the namespace name in Namespaces in XML [XML Namespaces]. See also sections 1.3.2 " DOM URIs" and 1.3.3 " XML Namespaces" regarding URIs and namespace URIs handling and comparison in the DOM APIs.
namespace well-formed
A node is a namespace well-formed XML node if it is a well-formed node, and follows the productions and namespace constraints. If [XML 1.0] is used, the constraints are defined in [XML Namespaces]. If [XML 1.1] is used, the constraints are defined in [XML Namespaces 1.1].
object model
An object model is a collection of descriptions of classes or interfaces, together with their member data, member functions, and class-static operations.
parent
A parent is an immediate ancestor node of a node.
partially valid
A node in a DOM tree is partially valid if it is well formed (this part is for comments and processing instructions) and its immediate children are those expected by the content model. The node may be missing trailing required children yet still be considered partially valid.
qualified name
A qualified name is the name of an element or attribute defined as the concatenation of a local name (as defined in this specification), optionally preceded by a namespace prefix and colon character. See Qualified Names in Namespaces in XML [XML Namespaces].
read only node
A read only node is a node that is immutable. This means its list of children, its content, and its attributes, when it is an element, cannot be changed in any way. However, a read only node can possibly be moved, when it is not itself contained in a read only node.
root node
The root node is a node that is not a child of any other node. All other nodes are children or other descendants of the root node.
schema
A schema defines a set of structural and value constraints applicable to XML documents. Schemas can be expressed in schema languages, such as DTD, XML Schema, etc.
sibling
Two nodes are siblings if they have the same parent node.
string comparison
When string matching is required, it is to occur as though the comparison was between 2 sequences of code points from [Unicode].
token
An information item such as an XML Name which has been tokenized.
tokenized
The description given to various information items (for example, attribute values of various types, but not including the StringType CDATA) after having been processed by the XML processor. The process includes stripping leading and trailing white space, and replacing multiple space characters by one. See the definition of tokenized type.
well-formed
A node is a well-formed XML node if its serialized form, without doing any transformation during its serialization, matches its respective production in [XML 1.0] or [XML 1.1] (depending on the XML version in use) with all well-formedness constraints related to that production, and if the entities which are referenced within the node are also well-formed. If namespaces for XML are in use, the node must also be namespace well-formed.
XML
Extensible Markup Language (XML) is an extremely simple dialect of SGML which is completely described in this document. The goal is to enable generic SGML to be served, received, and processed on the Web in the way that is now possible with HTML. XML has been designed for ease of implementation and for interoperability with both SGML and HTML. [XML 1.0]

05 February 2004

References

For the latest version of any W3C specification please consult the list of W3C Technical Reports available at http://www.w3.org/TR.

K.1 Normative references

[ECMAScript]
ECMAScript Language Specification, Third Edition. European Computer Manufacturers Association, Standard ECMA-262, December 1999. This version of the ECMAScript Language is available from http://www.ecma-international.org/.
[ISO/IEC 10646]
ISO/IEC 10646-2000 (E). Information technology - Universal Multiple-Octet Coded Character Set (UCS) - Part 1: Architecture and Basic Multilingual Plane, as, from time to time, amended, replaced by a new edition or expanded by the addition of new parts. [Geneva]: International Organization for Standardization, 2000. See also International Organization for Standardization, available at http://www.iso.ch, for the latest version.
[Java]
The Java Language Specification, J. Gosling, B. Joy, and G. Steele, Authors. Addison-Wesley, September 1996. Available at http://java.sun.com/docs/books/jls
[OMG IDL]
"OMG IDL Syntax and Semantics" defined in The Common Object Request Broker: Architecture and Specification, version 2, Object Management Group. The latest version of CORBA version 2.0 is available at http://www.omg.org/technology/documents/formal/corba_2.htm.
[Unicode]
The Unicode Standard, Version 4, ISBN 0-321-18578-1, as updated from time to time by the publication of new versions. The Unicode Consortium, 2000. See also Versions of the Unicode Standard, available at http://www.unicode.org/unicode/standard/versions, for latest version and additional information on versions of the standard and of the Unicode Character Database.
[XML 1.0]
Extensible Markup Language (XML) 1.0 (Third Edition), T. Bray, J. Paoli, C. M. Sperberg-McQueen, E. Maler, and F. Yergeau, Editors. World Wide Web Consortium, 4 February 2004, revised 10 February 1998 and 6 October 2000. This version of the XML 1.0 Recommendation is http://www.w3.org/TR/2004/REC-xml-20040204. The latest version of XML 1.0 is available at http://www.w3.org/TR/REC-xml.
[XML 1.1]
XML 1.1, T. Bray, and al., Editors. World Wide Web Consortium, 4 February 2004. This version of the XML 1.1 Recommendation is http://www.w3.org/TR/2004/REC-xml11-20040204. The latest version of XML 1.1 is available at http://www.w3.org/TR/xml11.
[XML Base]
XML Base, J. Marsh, Editor. World Wide Web Consortium, June 2001. This version of the XML Base Recommendation is http://www.w3.org/TR/2001/REC-xmlbase-20010627. The latest version of XML Base is available at http://www.w3.org/TR/xmlbase.
[XML Information Set]
XML Information Set (Second Edition), J. Cowan and R. Tobin, Editors. World Wide Web Consortium, 4 February 2004, revised 24 October 2001. This version of the XML Information Set Recommendation is http://www.w3.org/TR/2004/REC-xml-infoset-20040204. The latest version of XML Information Set is available at http://www.w3.org/TR/xml-infoset.
[XML Namespaces]
Namespaces in XML, T. Bray, D. Hollander, and A. Layman, Editors. World Wide Web Consortium, 14 January 1999. This version of the Namespaces in XML Recommendation is http://www.w3.org/TR/1999/REC-xml-names-19990114. The latest version of Namespaces in XML is available at http://www.w3.org/TR/REC-xml-names.
[XML Namespaces 1.1]
Namespaces in XML 1.1, T. Bray, D. Hollander, A. Layman, and R. Tobin, Editors. World Wide Web Consortium, 4 February 2004. This version of the Namespaces in XML 1.1 Recommendation is http://www.w3.org/TR/2004/REC-xml-names11-20040204. The latest version of Namespaces in XML 1.1 is available at http://www.w3.org/TR/xml-names11/.
[XML Schema Part 1]
XML Schema Part 1: Structures, H. Thompson, D. Beech, M. Maloney, and N. Mendelsohn, Editors. World Wide Web Consortium, 2 May 2001. This version of the XML Part 1 Recommendation is http://www.w3.org/TR/2001/REC-xmlschema-1-20010502. The latest version of XML Schema Part 1 is available at http://www.w3.org/TR/xmlschema-1.
[XPointer]
XPointer Framework, P. Grosso, E. Maler, J. Marsh, and N. Walsh., Editors. World Wide Web Consortium, 25 March 2003. This version of the XPointer Framework Recommendation is http://www.w3.org/TR/2003/REC-xptr-framework-20030325/. The latest version of XPointer Framework is available at http://www.w3.org/TR/xptr-framework/.

K.2 Informative references

[Canonical XML]
Canonical XML Version 1.0, J. Boyer, Editor. World Wide Web Consortium, 15 March 2001. This version of the Canonical XML Recommendation is http://www.w3.org/TR/2001/REC-xml-c14n-20010315. The latest version of Canonical XML is available at http://www.w3.org/TR/xml-c14n.
[COM]
The Microsoft Component Object Model, Microsoft Corporation. Available at http://www.microsoft.com/com.
[CORBA]
The Common Object Request Broker: Architecture and Specification, version 2. Object Management Group. The latest version of CORBA version 2.0 is available at http://www.omg.org/technology/documents/formal/corba_2.htm.
[DOM Level 1]
DOM Level 1 Specification, V. Apparao, et al., Editors. World Wide Web Consortium, 1 October 1998. This version of the DOM Level 1 Recommendation is http://www.w3.org/TR/1998/REC-DOM-Level-1-19981001. The latest version of DOM Level 1 is available at http://www.w3.org/TR/REC-DOM-Level-1.
[DOM Level 2 Core]
Document Object Model Level 2 Core Specification, A. Le Hors, et al., Editors. World Wide Web Consortium, 13 November 2000. This version of the DOM Level 2 Core Recommendation is http://www.w3.org/TR/2000/REC-DOM-Level-2-Core-20001113. The latest version of DOM Level 2 Core is available at http://www.w3.org/TR/DOM-Level-2-Core.
[DOM Level 3 Events]
Document Object Model Level 3 Events Specification, P. Le Hégaret, T. Pixley, Editors. World Wide Web Consortium, November 2003. This version of the Document Object Model Level 3 Events specification is http://www.w3.org/TR/2003/NOTE-DOM-Level-3-Events-20031107. The latest version of Document Object Model Level 3 Events is available at http://www.w3.org/TR/DOM-Level-3-Events.
[DOM Level 3 Load and Save]
Document Object Model Level 3 Load and Save Specification, J. Stenback, A. Heninger, Editors. World Wide Web Consortium, February 2004. This version of the DOM Level 3 Load and Save specification is http://www.w3.org/TR/2004/PR-DOM-Level-3-LS-20040205. The latest version of DOM Level 3 Load and Save is available at http://www.w3.org/TR/DOM-Level-3-LS.
[DOM Level 2 HTML]
Document Object Model Level 2 HTML Specification, J. Stenback, et al., Editors. World Wide Web Consortium, 9 January 2003. This version of the Document Object Model Level 2 HTML Recommendation is http://www.w3.org/TR/2003/REC-DOM-Level-2-HTML-20030109. The latest version of Document Object Model Level 2 HTML is available at http://www.w3.org/TR/DOM-Level-2-HTML.
[DOM Level 3 Validation]
Document Object Model Level 3 Validation Specification, B. Chang, J. Kesselman, R. Rahman, Editors. World Wide Web Consortium, 27 January 2003. This version of the DOM Level 3 Validation Recommendation is http://www.w3.org/TR/2004/REC-DOM-Level-3-Val-20040127/. The latest version of DOM Level 3 Validation is available at http://www.w3.org/TR/DOM-Level-3-Val.
[DOM Level 3 XPath]
Document Object Model Level 3 XPath Specification, R. Whitmer, Editor. World Wide Web Consortium, March 2003. This version of the Document Object Model Level 3 XPath specification is http://www.w3.org/TR/2003/CR-DOM-Level-3-XPath-20030331. The latest version of Document Object Model Level 3 XPath is available at http://www.w3.org/TR/DOM-Level-3-XPath.
[HTML 4.01]
HTML 4.01 Specification, D. Raggett, A. Le Hors, and I. Jacobs, Editors. World Wide Web Consortium, 17 December 1997, revised 24 April 1998, revised 24 December 1999. This version of the HTML 4.01 Recommendation is http://www.w3.org/TR/1999/REC-html401-19991224. The latest version of HTML 4 is available at http://www.w3.org/TR/html4.
[Java IDL]
Java IDL. Sun Microsystems. Available at http://java.sun.com/products/jdk/idl/
[JavaScript]
JavaScript Resources. Netscape Communications Corporation. Available at http://devedge.netscape.com/central/javascript/
[JScript]
JScript Resources. Microsoft. Available at http://msdn.microsoft.com/library/en-us/script56/html/js56jslrfjscriptlanguagereference.asp
[MathML 2.0]
Mathematical Markup Language (MathML) Version 2.0 (Second Edition), D. Carlisle, P. Ion, R. Miner, N. Poppelier, Editors. World Wide Web Consortium, 21 October 2001, revised 21 February 2001. This version of the Math 2.0 Recommendation is http://www.w3.org/TR/2003/REC-MathML2-20031021. The latest version of MathML 2.0 is available at http://www.w3.org/TR/MathML2.
[MIDL]
MIDL Language Reference. Microsoft. Available at http://msdn.microsoft.com/library/default.asp?url=/library/en-us/midl/midl/midl_language_reference.asp.
[IETF RFC 2396]
Uniform Resource Identifiers (URI): Generic Syntax, T. Berners-Lee, R. Fielding, L. Masinter, Authors. Internet Engineering Task Force, August 1998. Available at http://www.ietf.org/rfc/rfc2396.txt.
[SAX]
Simple API for XML, D. Megginson and D. Brownell, Maintainers. Available at http://www.saxproject.org/.
[SVG 1.1]
Scalable Vector Graphics (SVG) 1.1 Specification, J. Ferraiolo, 藤沢 淳 (FUJISAWA Jun), and D. Jackson, Editors. World Wide Web Consortium, 14 January 2003. This version of the SVG 1.1 Recommendation is http://www.w3.org/TR/2003/REC-SVG11-20030114/. The latest version of SVG 1.1 is available at http://www.w3.org/TR/SVG.
[XPath 1.0]
XML Path Language (XPath) Version 1.0, J. Clark and S. DeRose, Editors. World Wide Web Consortium, 16 November 1999. This version of the XPath 1.0 Recommendation is http://www.w3.org/TR/1999/REC-xpath-19991116. The latest version of XPath 1.0 is available at http://www.w3.org/TR/xpath.

05 February 2004

Index

"canonical-form" 1, 2 "cdata-sections" 1, 2 "check-character-normalization" 1, 2
"comments" 1, 2 "datatype-normalization" 1, 2 "element-content-whitespace" 1, 2
"entities" 1, 2 "error-handler" 1, 2, 3, 4 "infoset"
"namespace-declarations" 1, 2 "namespaces" 1, 2, 3, 4 "normalize-characters" 1, 2, 3, 4, 5
"schema-location" "schema-type" 1, 2 "split-cdata-sections" 1, 2
"validate" 1, 2, 3 "validate-if-schema" 1, 2 "well-formed" 1, 2
 
16-bit unit 1, 2, 3, 4, 5, 6, 7, 8, 9, 10
 
adoptNode ancestor 1, 2, 3, 4 anonymous type name 1, 2
API 1, 2, 3, 4, 5, 6, 7 appendChild appendData
Attr ATTRIBUTE_NODE attributes
 
baseURI byteOffset
 
Canonical XML 1, 2 canSetParameter CDATA_SECTION_NODE
CDATASection CharacterData child 1, 2, 3
childNodes client application 1, 2 cloneNode
columnNumber COM 1, 2, 3, 4, 5 Comment
COMMENT_NODE compareDocumentPosition contains 1, 2
containsNS convenience 1, 2, 3 CORBA 1, 2
createAttribute createAttributeNS createCDATASection
createComment createDocument createDocumentFragment
createDocumentType createElement createElementNS
createEntityReference createProcessingInstruction createTextNode
 
data 1, 2 data model 1, 2 deleteData
DERIVATION_EXTENSION DERIVATION_LIST DERIVATION_RESTRICTION
DERIVATION_UNION descendant 1, 2, 3, 4, 5, 6, 7 doctype
Document document element 1, 2, 3 document order 1, 2, 3, 4, 5, 6
DOCUMENT_FRAGMENT_NODE DOCUMENT_NODE DOCUMENT_POSITION_CONTAINED_BY
DOCUMENT_POSITION_CONTAINS DOCUMENT_POSITION_DISCONNECTED DOCUMENT_POSITION_FOLLOWING
DOCUMENT_POSITION_IMPLEMENTATION_SPECIFIC DOCUMENT_POSITION_PRECEDING DOCUMENT_TYPE_NODE
documentElement DocumentFragment DocumentType
documentURI DOM Level 1 1, 2 DOM Level 2 Core 1, 2, 3, 4
DOM Level 2 HTML 1, 2, 3, 4, 5, 6 DOM Level 3 Events 1, 2 DOM Level 3 Load and Save 1, 2, 3, 4, 5, 6
DOM Level 3 Validation 1, 2, 3 DOM Level 3 XPath 1, 2 domConfig
DOMConfiguration DOMError DOMErrorHandler
DOMException DOMImplementation DOMImplementationList
DOMImplementationSource DOMLocator DOMObject
DOMString DOMSTRING_SIZE_ERR DOMStringList
DOMTimeStamp DOMUserData
 
ECMAScript 1, 2, 3, 4, 5 Element 1, 2, 3, 4, 5, 6 ELEMENT_NODE
entities Entity ENTITY_NODE
ENTITY_REFERENCE_NODE EntityReference
 
firstChild
 
getAttribute getAttributeNode getAttributeNodeNS
getAttributeNS getDOMImplementation getDOMImplementationList
getElementById getElementsByTagName 1, 2 getElementsByTagNameNS 1, 2
getFeature 1, 2 getName getNamedItem
getNamedItemNS getNamespaceURI getParameter
getUserData
 
handle handleError hasAttribute
hasAttributeNS hasAttributes hasChildNodes
hasFeature HIERARCHY_REQUEST_ERR hosting implementation 1, 2
HTML 1, 2 HTML 4.01 1, 2, 3, 4, 5, 6, 7, 8, 9, 10, 11, 12, 13, 14, 15, 16
 
IETF RFC 2396 1, 2 implementation importNode
INDEX_SIZE_ERR information item 1, 2 inheritance 1, 2
inputEncoding 1, 2 insertBefore insertData
interface 1, 2 internalSubset INUSE_ATTRIBUTE_ERR
INVALID_ACCESS_ERR INVALID_CHARACTER_ERR INVALID_MODIFICATION_ERR
INVALID_STATE_ERR isDefaultNamespace isDerivedFrom
isElementContentWhitespace isEqualNode isId
ISO/IEC 10646 1, 2, 3 isSameNode isSupported
item 1, 2, 3, 4
 
Java 1, 2 Java IDL 1, 2 JavaScript 1, 2, 3
JScript 1, 2
 
language binding 1, 2 lastChild length 1, 2, 3, 4, 5, 6
lineNumber live 1, 2, 3 local name 1, 2, 3, 4, 5, 6, 7, 8, 9, 10, 11, 12, 13
localName location logically-adjacent text nodes 1, 2, 3
lookupNamespaceURI lookupPrefix
 
MathML 2.0 1, 2 message method 1, 2
MIDL 1, 2 model 1, 2
 
name 1, 2 NamedNodeMap NameList
namespace prefix 1, 2, 3, 4, 5, 6 namespace URI 1, 2, 3, 4, 5, 6, 7, 8, 9, 10, 11, 12, 13, 14, 15, 16, 17, 18, 19, 20, 21, 22 namespace well-formed 1, 2
NAMESPACE_ERR namespaceURI nextSibling
NO_DATA_ALLOWED_ERR NO_MODIFICATION_ALLOWED_ERR Node
NODE_ADOPTED NODE_CLONED NODE_DELETED
NODE_IMPORTED NODE_RENAMED NodeList
nodeName nodeType nodeValue
normalize normalizeDocument NOT_FOUND_ERR
NOT_SUPPORTED_ERR Notation NOTATION_NODE
notationName notations
 
object model 1, 2, 3 OMG IDL 1, 2, 3, 4 ownerDocument
ownerElement
 
parameterNames parent 1, 2 parentNode
partially valid 1, 2 prefix previousSibling
PROCESSING_INSTRUCTION_NODE ProcessingInstruction publicId 1, 2, 3
 
qualified name 1, 2, 3, 4, 5, 6, 7, 8, 9, 10, 11, 12, 13, 14
 
read only node 1, 2, 3, 4, 5, 6, 7, 8, 9, 10 relatedData relatedException
relatedNode removeAttribute removeAttributeNode
removeAttributeNS removeChild removeNamedItem
removeNamedItemNS renameNode replaceChild
replaceData replaceWholeText root node 1, 2
 
SAX 1, 2 schema 1, 2, 3 schemaTypeInfo 1, 2
setAttribute setAttributeNode setAttributeNodeNS
setAttributeNS setIdAttribute setIdAttributeNode
setIdAttributeNS setNamedItem setNamedItemNS
setParameter setUserData severity
SEVERITY_ERROR SEVERITY_FATAL_ERROR SEVERITY_WARNING
sibling 1, 2, 3 specified splitText
strictErrorChecking string comparison 1, 2, 3 substringData
SVG 1.1 1, 2, 3 SYNTAX_ERR systemId 1, 2, 3
 
tagName target Text
TEXT_NODE textContent token 1, 2
tokenized 1, 2 type TYPE_MISMATCH_ERR
TypeInfo typeName typeNamespace
 
Unicode 1, 2, 3, 4, 5 uri UserDataHandler
utf16Offset
 
VALIDATION_ERR value
 
well-formed 1, 2, 3 wholeText WRONG_DOCUMENT_ERR
 
XML 1, 2 XML 1.0 1, 2, 3, 4, 5, 6, 7, 8, 9, 10, 11, 12, 13, 14, 15, 16, 17, 18, 19 XML 1.1 1, 2, 3, 4, 5, 6, 7, 8, 9
XML Base 1, 2 XML Information Set 1, 2, 3, 4, 5, 6, 7 XML Namespaces 1, 2, 3, 4, 5, 6, 7, 8, 9, 10, 11, 12, 13, 14, 15, 16, 17, 18, 19, 20, 21, 22, 23, 24, 25
XML Namespaces 1.1 1, 2, 3, 4, 5 XML Schema Part 1 1, 2, 3, 4, 5, 6, 7, 8 xmlEncoding 1, 2
xmlStandalone xmlVersion 1, 2 XPath 1.0
XPointer 1, 2, 3