Данный документ представляет собой перевод на русский язык Заметки Рабочей Группы W3C от 12 Апреля 2006. Defining N-ary Relations on the Semantic Web, W3C Working Group Note 12 April 2006, английский вариант которой является единственным официальным изданием. |
Copyright © 2006 W3C® (MIT, ERCIM, Keio), All Rights Reserved. W3C liability, trademark and document use rules apply.
В языках Семантической Сети, таких как RDF и OWL, свойство являются двойными отношением: оно используется, чтобы связать два концепта или концепт со значением. Однако, в некоторых случаях, естественный и удобный способ представить определенные концепты - это использовать отношения для связи концепта с более чем одним концептом или значением. Эти отношения называются N-мерными отношениями. Например, мы хотим представить свойства отношения, такие как степень нашей уверенности в этом, четкость или сила отношения, релевантность отношения, и так далее. Другой пример показывающий отношения между множеством концептов, таких как покупатель, продавец, и объект, который был куплен, при описании покупки книги. Этот документ представляет N-мерные отношения в RDF и OWL, и обсуждает, что пользователи должны рассматривать, когда выбирают эти модели.
Этот секция описывает статус этого документа на момент его публикации. Другие документы могут заменять собой этот документ. Список настоящих W3C публикаций и последняя версия этого технического сообщения могут быть найдены в указателе технических сообщений W3C на http://www.w3.org/TR/.
Этот документ является Заметкой Рабочей Группы, сделанной Рабочей Группой Лучшей Практики и Развертывания Семантической Сети, частью Сообщества Семантической Сети W3C. Это документ - один из набора документов, обеспечивающих введение и обзор моделей разработки онтологий, разработанных Специальной Комиссией Разработки Онтологий и Моделей Рабочей Группы SWBPD.
Что касается публикации этой Заметки Рабочей Группы SWBPD, Рабочая Группа закончила работу над этим документом. Изменения предыдущего Рабочего Проекта собраны в приложении. Комментарии к этому документу могут быть посланы на public-swbp-wg@w3.org, почтовую рассылку с общим архивом. Дальнейшее обсуждение по этому материалу может также быть послано на почтовый список Группы Интересующихся Семантической Сетью, semantic-web@w3.org, также с публичным архивом.
Публикация как Заметка Рабочей Группы не подразумевает одобрения W3C Сообществом. Это черновик документа, и может быть обновлен, перемещен или устареть из-за других документов со временем. Неуместно ссылаться на этот документ, также как и на другие, работа над которыми в процессе.
Этот документ произведен группой, работающей в соответствии с Патентной Политикой W3C от 5 Февраля 2004. Этот документ только информативный. W3C поддерживает публичный список всех объявлений патентов , сделанный в соответствии с подлежащими передаче групп; эта страница также включает инструкции для объявления патентов. Человек, который имеет актуальные информацию по патентам, в которых видит содержание Существенных Требований должен объявить информацию в соответствии с секцией 6 Патентной Политики W3C.
В языках Семантической Сети, таких как RDF и OWL, свойства являются двойным отношением: экземпляры свойств связывают два концепта. Часто мы ссылаемся на второй концепт, как на "значение" или оба концепта, как "аргументы" [Смотри замечания к словарю].
Проблема 1: Если экземпляр свойства может связать два концепта, как нам вести дело с ситуациями, где нам нужно описать экземпляры отношений, таких как уверенность, сила, и т.д.?
Проблема 2: Если экземпляр свойства может связать два концепта, как нам представлять отношения между более чем двумя концептами? ("n-мерные отношения")
Проблема 3: Если экземпляр свойства может связать два концепта, как нам представить отношения, в которых один из участников является скорее упорядоченным списком концептов, чем одиночный концепт?
Решения первых двух проблем тесно связано; третья проблема отличается качественно, не смотря на то, что это может быть адоптировано, чтобы соответствовать проблеме первой в определенных случаях. Заметьте, что мы не используем RDF воплощение (reification) в этих шаблонах; причины для этого решения обсуждаются в последней секции.
Формат данных, используемый в этом документе это TURTLE [TURTLE], используется чтобы детально показать каждый триплет. Черепаха позволяет URI-ям быть сокращенными с префиксами:
@prefix dc: <http://purl.org/dc/elements/1.1/> . @prefix : <http://example.org/book/> . :book1 dc:title "Defining N-ary Relations on the Semantic Web" .
Несколько общих вариантов использования подпадают под категорию n-мерных отношений. Здесь показаны несколько примеров:
Кристина и диагнозом Опухоль_Груди_Кристины и
качественное значение вероятности описывает это отношение (очень).Стив имеет два значения двух различных аспектов для отношения имеет_температуру: это
величина, которая высокая и тенденция, которая падает.Джон, сущность
books.example.com и книга Лев_Ленни. Это отношение имеет другие компоненты, такие как
цель (подарок_на_день_рождения) и число ($15).LAX, DFW,
JFK. Заметьте, что порядок аэропортов имеет значение, и указывает порядок, в котором рейс посещает
эти аэропорты.Другой способ подумать о вариантах использования - это как они могут возникнуть в процессе эволюции онтологии.
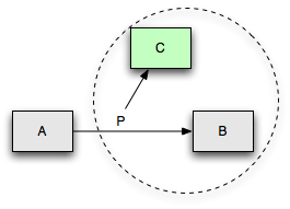
Как говорилось ранее, в языках Семантической Сети, свойства являются двойными отношениями. Каждый экземпляр свойства связывает концепт с другим концептом или значением, как показано ниже.

Мы бы хотели, чтобы другой концепт или простое значение С был частью этого экземпляра свойства:

'P' теперь ссылается на экземпляр отношения между 'A',
'B', и 'C'. (Здесь могли быть и другие концепты 'D', 'E', и
'F'. Однако, для простоты, мы покажем большинство вариантов использования, предполагая одиночный
дополнительный концепт. Таким же способом мы можем обрабатывать большее количество концептов.)
Одно общее решение этой проблемы (шаблон 1) - это представить отношение, скорее как класс
чем свойство. Экземпляры концептов таких классов соответствуют экземплярам свойств. Дополнительные свойства
обеспечивают двойные связи для каждого аргумента отношения. Мы можем моделировать примеры 1,
2, и 3 помимо использования этого шаблона. Например, в
примере 1 экземпляр нового класса Отношение_Диагноза представлял бы факт того,
что Кристине был поставлен диагноз опухоль груди с высокой вероятностью. Аналогично, в
примере 3 экземпляр класса Покупка представлял бы факт того, что Джон купил
книгу "Лев Ленни" на books.com за $15.
Второе решение (шаблон 2) - это представить несколько концептов, участвующих в отношении, как коллекцию или упорядоченный список. Мы используем это решение, когда порядок аргументов в n-мерном отношении является важным в модели, также как и в примере 4 выше.
Комиссия планирует выпустить предложенный словарь для описания класса, представляющего n-мерные отношения, и для описания картирования между n-мерными отношениями в RDF и OWL и других языках. Планируется выпустить замечания к этому словарю.
Мы представляем шаблон, мы создаем новый класс и n новых свойств, чтобы представить n-мерные отношение. Экземпляр отношения, связывающий n концептов, тогда является экземпляром этого класса. Мы рассматриваем три варианта использования для этого шаблона, проиллюстрированных примерами 1-3 выше.
Онтологически, классы, создаваемые в этом методе, часто называются "рейфированными отношениями" (reified relations). Рейфированные отношения играют важную роль во многих онтологиях3 (например Ontoclean/DOLCE, Sowa, GALEN). Однако, сообщества RDF и Topic Map использовали слово "рейфировать", чтобы обозначить разные вещи (смотри замечания ниже). Таким образом, чтобы избежать конфузов, мы не используем термин "рейфикация" в этом документе.
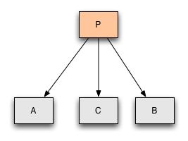
В первом варианте использования, нам необходимо представить дополнительный атрибут, описывающий экземпляр отношения (пример 1, Кристина имеет опухоль груди с высокой вероятностью). Мы создаем концепт, который представляет экземпляр отношения само по себе, со связями субъекта отношения к этому экземпляру и со связями этого экземпляра ко всем участникам, которые представляют дополнительную информацию об этом экземпляре:

Для примера 1, выше (Кристина имеет опухоль груди с высокой вероятностью), концепт Кристина
имеет свойство имеет_диагноз, которое имеет другой объект (_:Отношение_Диагноза_1,
экземпляр класса Отношение_Диагноза) в качестве этого значения:

Концепт _:Отношение_Диагноза_1 здесь представляет одиночный объект, инкапсулирующий оба диагноза
(Опухоль_Груди_Кристины, особенный экземпляр Болезнь) и вероятность диагноза
(HIGH)3. Это содержит всю информацию, содержащуюся в оригинале
3 аргумента: кто был продиагностирован, какой диагноз, и какова его вероятность. Мы используем
пустые узлы в RDF чтобы представить экземпляры отношения.
:Кристина
a :Персона ;
:имеет_диагноз _:Отношение_Диагноза_1 . :_Отношение_Диагноза_1
a :Отношение_Диагноза ;
:вероятность_отношения :ВЫСОКАЯ;
:значение_жиагноза :Опухоль_Груди_Кристины .
Каждый из 3 документов в оригинальном n-мерном отношении— кто диагностируется, какой диагноз, и его
вероятность—дают повод для правдивых двойных отношений. В этом случае, есть три: имеет_диагноз,
значение_диагноза и вероятность_диагноза.4
Определения классов для концептов в этом шаблоне выглядит следующим образом:

Дополнительные метки на связях указывают OWL ограничения на свойства. Мы определяем и
значение_диагноза, и вероятность_диагноза в качестве функциональных свойств, таким образом
требующих, чтобы каждый экземпляр Отношения_Диагноза имел точно одно значение для Болезни
и одно значение для Вероятности.
В RDFS, которая не имеет OWL ограничений функциональных свойств, связи представляют ограничение свойств
rdfs:range. Например, класс Отношение_Диагноза - это диапазон свойства
имеет_диагноз.
Здесь определение класса Отношение_Диагноза в OWL, предполагается, что
оба свойства—значение_диагноза и вероятность_диагноза—описаны, как
функциональные (мы предоставляем полный код примера на OWL и RDFS ниже):
:Отношение_Диагноза
a owl:Class ;
rdfs:subClassOf
[ a owl:Restriction ;
owl:someValuesFrom :Болезнь ;
owl:onProperty :значение_диагноза
] ;
rdfs:subClassOf
[ a owl:Restriction ;
owl:allValuesFrom :Probability_values ;
owl:onProperty :вероятность_диагноза
] .
В определении класса Персона (экземпляром которого является Кристина), мы специфицировали
свойство имеет_диагноз с ограничением диапазона - класс Отношение_Диагноза (экземпляром,
которого является Отношение_Диагноза_1):
:Персона
a owl:Class ;
rdfs:subClassOf
[ a owl:Restriction ;
owl:allValuesFrom :Отношение_Диагноза ;
owl:onProperty :имеет_диагнозbr> ] .
Заметьте, что в обсуждаемом шаблоне, мы не делаем никаких предположений о лучшем способе представить вероятность этого события. Мы просто используем этот пример здесь.
[RDFS]
Мы имеем различные варианты использования в примере 2 выше (Стив имеет температуру, которая высокая, но
падает): В примере с диагнозом, многие увидят взаимоотношение, мы представляли как все еще двойное
отношение между концептом Кристина и диагнозом Опухоль_Груди_Кристины,
который имеет вероятность, ассоциированную с этим. В этом примере отношение между концептом Стив и
объектом, представляющем различные аспекты его температуры. В большинстве подразумеваемых интерпретаций, этот
экземпляр отношения не может рассматриваться, как экземпляр двойного отношения с дополнительно приложенными
атрибутами. Скорее, этот экземпляр отношения, соотносящий Стива и сложный объект, представляющий
различные факты о его температуре. Такие случаи часто возникают в течение эволюции онтологии, когда мы понимаем, что
два отношения нужно свернуть. Например, первоначально, мы могли иметь два свойства—
имеет_уровень_температуры и имеет_тенденцию_температуры—оба связанные в человеческом
понимании. Мы могли тогда понять, что реально эти свойства сложно переплетаются, потому что мы должны говорить о
"температуре, которая приподнятая, но падает".

RDFS и OWL шаблоны, которые выполняют эту интуицию (implement this intuition), однако такие же как и в предыдущем
примере. Класс Персона (экземпляром которого является концепт Стив) имеет свойство
имеет_температуру, которое имеет в качестве диапазона класс отношения Наблюдение_Температуры.
Экземпляры класса Наблюдение_Температуры (такие как _:Наблюдение_Температуры_1 на рисунке)
по очереди имеют свойства для значение_температуры и тенденция_температуры.
[RDFS]
В некоторых случаях, n-мерное взаимоотношение связывает концепты, которые играют различные роли в структуре
без каких-либо одиночных концептов, выступающих как субъект или "владелец" отношения, такого как Покупка,
в примере 3 выше (Джон покупает "Лев Ленни" на book from books.example.com за $15 в подарок на день рождения).
Здесь, отношение явно имеет более чем одного участника, и, во многих контекстах, никто из них не может быть описан
просто одним (primary one). В этом случае, мы создаем концепты, чтобы представить экземпляры отношения со связями
со всеми участниками:

В нашем специфичном примере, представление будет выглядеть следующим образом:

Покупка_15 является экземпляром концепта класса
Покупка, класса представляющего экземпляр отношения:6
:Покупка_1
a :Покупка ;
:имеет_покупателя :Джон ;
:имеет_объект :Лев_Ленни ;
:имее_цель :Подарок_на_День_рождения ; :имеет_число 15 ;
:имеет_продавца :books.example.com .
Следующая диаграмма показывает соответствующие классы и свойства. Для задачи примера, мы указываем, что каждая
покупка имеет точно одного покупателя (Персона), точно одного продавца
(Компания), точно одну сумму и по крайней мере один объект (Объект).

Диаграмма указывает на OWL ограничения. В RDFS стрелки могут рассматриваться как связи rdfs:range.
Класс Покупка описан по правилам OWL (для определения по RDFS смотри RDFS файл ниже):
:Покупка
a owl:Class ;
rdfs:subClassOf
[ a owl:Restriction ;
owl:allValuesFrom :Покупка ;
owl:onProperty :имеет_цель
] ;
rdfs:subClassOf
[ a owl:Restriction ;
owl:cardinality 1 ;
owl:onProperty :имеет_покупателя
] ;
rdfs:subClassOf
[ a owl:Restriction ;
owl:onProperty :имеет_покупателя ;
owl:someValuesFrom :Персона
] ;
rdfs:subClassOf
[ a owl:Restriction ;
owl:cardinality 1 ;
owl:onProperty :имеет_продавца
] ;
rdfs:subClassOf
[ a owl:Restriction ;
owl:onProperty :имеет_продавца ;
owl:someValuesFrom :Компания
] ; rdfs:subClassOf
[ a owl:Restriction ;
owl:onProperty :имеет_объект ;
owl:someValuesFrom :Объект
] .
Заметьте, что представление в OWL следуют из этого шаблона: OWL ограничения по существу являются тройными
отношениями между классами, свойствами, и ограничениями значений. В этом случае, экземпляр класса
Restriction подобен экземпляру Покупка.
[RDFS]
_:Наблюдение_за_Температурой_1,
Покупка_1, и т.д. В большинстве случаев, эти концепты не остаются сами по себе, а просто функционируют
как дополнительные службы для группировки с другими объектами. Поэтому не предполагается работа с различными
именами. Заметьте, что подобный подход принимался в
рейфицирующих объявлениях в RDF.Книга в компаниях из категории
ПродавецКниг (сравни вариант использования 3). Выражая это ограничение,
требуется специальный подкласс класса n-мерного отношения, который представляет комбинацию ограничений.
Например, нам потребуется создать класс Покупка_Книги с соответсвующим диапазоном ограничений для
свойств продавец (allValuesFrom ПродавецКниг) и объект (allValuesFrom
Книга). У нас пропала необходимость строить подробную структуру классов для представления всех возможных
комбинаций. Джон покупает книгу Лев_ленни. Нам может потребоваться иметь экземпляр
инверсного отношения, связывающего книгу Лев_Ленни с персоной, которая купила её. Если мы имеем
простое двойное отношение Джон покупает Лев_Ленни, описание инверсии просто:
мы просто описываем свойство куплен_тем-то как инверсное для покупает::куплен_тем-тоВ отношении покупки, показанном для примера, однако, нам необходимо добавить инверсные отношения между участниками в отношении и самим экземпляром отношения:
a owl:ObjectProperty ;
owl:inverseOf :покупает .
покупателя и объекта покупки, выглядит так:
:покупатель_дляВ определении класса
a owl:ObjectProperty ;
owl:inverseOf :имеет_покупателя . :объект_для
a owl:ObjectProperty ;
owl:inverseOf :имеет_объект .
Персона, мы включаем ограничение allValuesFrom для свойства
покупатель_для, чтобы ограничить значения этого свойства для экземпляров класса Покупка:
:Персона
a owl:Class ;
rdfs:subClassOf
[ a owl:Restriction ;
owl:onProperty :покупатель_для ;
owl:allValuesFrom :Покупка
] .
покупатель_для для концепта Джон, например,
концепт Покупка_1 скорее чем объект или получатель покупки.Некоторые n-мерные отношения неестественно принадлежат каждому из вариантов использования, указанных выше, но более похожи на список или последовательность аргументов. Пример 4, выше (Полет 3177 Объединенных авиалиний посещает следующие аэропорты: LAX, DFW, и JFK,) попадает под эту категорию. Например, отношение между полетом и аэропортами, которые им посещаются, в порядке прибытия воздушного судна в каждый аэропорт. Это отношение могло бы содержать различное число аргументов, и здесь нет естественного способа представить это набором отдельных свойств, связывающих полет с каждым аэропортом. В некоторых случаях, порядок аргументов очень существенен.
В случаях, где едва ли один участник в отношении не имеет особой роли и по существу формирует упорядоченный список,
естественно связать эти аргументы в последовательность, соответствующую некоторому отношению, и соотнести одного
участника к этой последовательности (или первому элеменнту последовательности). Ниже мы показываем пример
использования отношения упорядочения (следующийСегмент) между экземплярами класса
СегментПолета. Каждый сегмент полета имеет свойство для назначения этого сегмента. Заметьте, что мы
добавляем специальный подкласс сегмента полета, ПоследнийСегментПолета, с максимальной кардинальностью 0
для свойства следующийСегмент, чтобы показать конец последовательности.

RDF обеспечивает словари списками — словарь коллекций, который может также использоваться в случаях, где группа аргументов для отношения не играет особой роли. Мы не используем RDF словарь коллекции в этом примере, потому что это менее удобно использовать групповое упорядочение отношения, когда мы представляем что-то более специфичное. В этом примере, мы представляем временный порядок между компонентами.
Мы можем представить онтологию для этого примера на OWL. Заметьте, что использование словаря rdf:List
в OWL, подразумевает использование диалекта OWL Full для онтологии (смотри
соответствующую секцию
OWL руководства для сравнения OWL Full и OWL DL). Следующая онтология на OWL Lite:

:Полет a owl:Class . :последовательность_полета a owl:ObjectProperty , owl:FunctionalProperty ; rdfs:domain :Полет ; rdfs:range :СегментПолета .
:СегментПолета a owl:Class ; rdfs:subClassOf owl:Thing ;
rdfs:subClassOf
[ a owl:Restriction ;
owl:cardinality "1";
owl:onProperty :место_назначения
] ;
rdfs:subClassOf
[ a owl:Restriction ; owl:allValuesFrom :Аэропорт ;
owl:onProperty :место_назначения
] .
:следующий_сегмент
a owl:ObjectProperty , owl:FunctionalProperty ;
rdfs:domain :СегментПолета ;
rdfs:range :СегментПолета .
:ПоследнийСегментПолета a owl:Class ;
rdfs:comment "Последний сегмент полета не имеет следующий_сегмент";
rdfs:subClassOf :СегментПолета ;
rdfs:subClassOf
[ a owl:Restriction ; owl:maxCardinality "0";
owl:onProperty :следующий_сегмент
] .
:Аэропорт
a owl:Class .
:место_назначения a owl:ObjectProperty , owl:FunctionalProperty ;
rdfs:domain :СегментПолета .
[RDFS]
Может быть естественно понимать
RDF рейфикацию
как представление n-мерных отношений. Мы не хотим использовать RDF словарь рейфикации, чтобы представить n-мерные
отношения, в основном, по следующим причинам. Словарь RDF рейфикации разработан, чтобы говорить об
объявлениях—концептов, которые являются экземплярами rdf:Statement. Объявление - это
триплет объекта, предикаты, субъекта и рейфикация в RDF, используются чтобы поместить дополнительную информацию
к этому триплету. Эта информация может включать исходник информации в триплете, например. В n-мерных отношениях,
однако, дополнительные аргументы в отношении, не всегда характеризуют объявление, а скорее предоставляют дополнительную
информацию о самом экземпляре отношения. Таким образом, это более естественно говорить о экземплярах отношения
диагноза или покупки, чем об объявлении. Во всех вариантах использования, которые мы обсуждаем в заметке, необходимо
говорить о экземплярах отношения, а не о объявлениях таких экземпляров.
Мы обычно понимаем языки семантической сети, как состоящие из триплетов формы "Концепт1-Свойство-Концепт2" (традиционно, это было названо триплетом "объект-атрибут-значение", но мы не хотим использовать этот язык здесь, потому что это конфликтует с использованием RDF).
Однако, формально, мы интерпретируем свойства как отношение, то есть наборы упорядоченных пар концептов. Каждый экземпляр отношения - это просто один из этих упорядоченных пар. "Свойство" в каждом триплете качественно отличается от концептов в триплете. Это просто указывает, к какому отношению относится упорядоченная пара, состоящая из двух соответствующих концептов. Мы обычно говорим концепты; мы обычно не говорим упорядоченные пары.
Часто в случаях, как вариант использования 1, мы хотим рассматривать два концепта
отношения, в котором аргументы эквивалентны. Мы можем захватить эту интуицию (capture this intuition) с помощью
использования пустых узлов RDF (то есть,
_:отношение_Диагноза), чтобы представить экземпляры отношения. В
варианте использования 2, мы хотим рассмотреть вероятность того, что здесь могут быть две
отдельные покупки с одинаковыми аргументами. В этом случае, узел должен быть назван, например
Покупка_1.
ВЫСОКАЯ, СРЕДНЯЯ, и НИЗКАЯ):
:Значение_вероятности
a owl:Class ;
owl:equivalentClass
[ a owl:Class ;
owl:oneOf (:ВЫСОКАЯ :СРЕДНЯЯ :НИЗКАЯ)
] .
Есть другие способы представить распределение значений. Пожалуйста обратитесь к замечаниям по Представлению Особых Значений в OWL [Особые Значения]. В версии RDF Schema, мы представляем их просто, как строки, также для простоты.
rdf:value, которое подходяще для
примеров, таких как пример Диагноза здесь. Пока rdf:value не имеет собственного значения, RDF
спецификация одобряет использование этого, как элемента словаря, чтобы идентифицировать "главный" компонент
структурированного значения свойства. Поэтому, в нашем примере, мы сделали значение_диагноза
подсвойством свойства rdf:value, вместо того, чтобы сделать это прямым экземпляром
rdf:Property, чтобы указать, что значение_диагноза действительно является "главным"
компонентом диагноза.Покупка (Покупка_1), чем неименованный пустой узел. В этом примере, может быть две
отдельных покупки с точно такими же аргументами.Авторы хотели бы поблагодарить следующих членов Рабочей Группы за их участие в этом документе: Pat Hayes, Jeremy Carroll, Chris Welty, Michael Uschold, Bernard Vatant. Frank Manola, Ivan Herman, Jamie Lawrence также поучаствовали в работе на документом.
Этот документ - продукт Специальной Комиссии Разработки Онтологий и Шаблонов Рабочей Группы Лучшей Практики и Развертывания Семантической Сети.