Copyright © NaNN W3C® (MIT, ERCIM, Keio), All Rights Reserved. W3C liability, trademark and document use rules apply.
In Semantic Web languages, such as RDF and OWL, a property is a binary relation: it is used to link two individuals or an individual and a value. However, in some cases, the natural and convenient way to represent certain concepts is to use relations to link an individual to more than just one individual or value. These relations are called n-ary relations. For example, we may want to represent properties of a relation, such as our certainty about it, severity or strength of a relation, relevance of a relation, and so on. Another example is representing relations among multiple individuals, such as a buyer, a seller, and an object that was bought when describing a purchase of a book. This document presents ontology patterns for representing n-ary relations in RDF and OWL and discusses what users must consider when choosing these patterns.
This section describes the status of this document at the time of its publication. Other documents may supersede this document. A list of current W3C publications and the latest revision of this technical report can be found in the W3C technical reports index at http://www.w3.org/TR/.
This document is intended to be a part of a larger document that will provide an introduction and overview of all ontology design patterns produced by the Semantic Web Best Practices and Deployment Working Group. The task force plans to produce a suggested vocabulary for describing that a class represents an n-ary relation and for defining mappings between n-ary relations in RDF and OWL and other languages. A note on this vocabulary is forthcoming.
This document is a W3C Working Draft and is expected to change. The SWBPD WG does not expect this document to become a Recommendation. Rather, after further development, review and refinement, it will be published and maintained as a WG Note.
This document is a Public Working Draft. We encourage public comments. Please send comments to public-swbp-wg@w3.org [archive and include the text "[comment]" in the subject of your message.
This document was produced by a group operating under the 5 February 2004 W3C Patent Policy. The group does not expect this document to become a W3C Recommendation. This document is informative only. W3C maintains a public list of any patent disclosures made in connection with the deliverables of the group; that page also includes instructions for disclosing a patent. An individual who has actual knowledge of a patent which the individual believes contains Essential Claim(s) must disclose the information in accordance with section 6 of the W3C Patent Policy.
Publication as a draft does not imply endorsement by the W3C Membership. This document is a draft and may be updated, replaced or made obsolete by other documents at any time. It is inappropriate to cite this document as other than work in progress.
In Semantic Web languages, such as RDF and OWL, a property is a binary relation: instances of properties link two individuals. Often we refer to the second individual as the "value" or to both both individuals as "arguments" [See note on vocabulary].
Issue 1: If property instances can link only two individuals, how do we deal with cases where we need to describe the instances of relations, such as its certainty, strength, etc?
Issue 2: If instances of properties can link only two individuals, how do we represent relations among more than two individuals? ("n-ary relations")
Issue 3: If instances of properties can link only two individuals, how do we represent relations in which one of the participants is an ordered list of individuals rather than a single individual?
The solutions to the first two problems are closely linked; the third problem is fundamentally different, although it can be adapted to meet issue one in special cases. Note that we don't use RDF reification in these patterns; the reasons for this decision are discussed in the final section.
The data format used in this document is Turtle [Turtle], used to show each triple explicitly. Turtle allows URIs to be abbreviated with prefixes:
@prefix dc: <http://purl.org/dc/elements/1.1/> . @prefix : <http://example.org/book/> . :book1 dc:title "Defining N-ary Relations on the Semantic Web" .
Several common use cases fall under the category of n-ary relations. Here are some examples:
Christine and diagnosis
Breast_Tumor_Christine and there is a qualitative probability
value describing this relation (high).Steve has two values for two
different aspects of a has_temperature relation: its magnitude
is high and its trend is falling.John, entity books.example.com
and the book Lenny_the_Lion participate. This relation has other
components as well such as the purpose (birthday_gift) and the
amount ($15).LAX, DFW,
JFK. Note that the order of the airports is important and indicates
the order in which the flight visits these airports.Another way to think about the use cases is how they might occur in the evolution of an ontology.
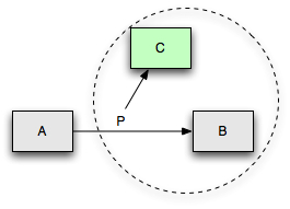
As we describer earlier, in Semantic Web Languages, properties are binary relations. Each instance of a property links an individual to another individual or a value as shown below.

We would like to have another individual or simple value C to
be part of this relation instance:

'P' now refers to an instance of a relation among 'A',
'B', and 'C'. (There might be other individuals 'D',
'E', and 'F'. However, for simplicity, we will illustrate
most of our use cases assuming a single additional individual. We can handle
more individuals in exactly the same way.)
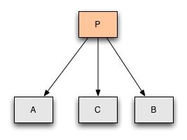
One common solution to this problem (pattern 1) is
to represent the relation as a class rather than a property. Individual instances
of such classes correspond to instances of the relation. Additional properties
provide binary links to each argument of the relation. We can model examples
1, 2, and 3
above using this pattern. For instance, in the example 1
the instance of a new class Diagnosis_Relation would represent
the fact that Christine has been diagnosed with a breast tumor with high probability.
Similarly, in the example 3 the instance of a class
Purchase would represent the fact that John bought the book "Lenny
the Lion" from books.com for $15.
The second solution (pattern 2) is to represent several individuals participating in the relation as a collection or an ordered list. We use this solution when the order of the arguments of the n-ary relation is important in the model, as in the example 4 above.
The task force plans to produce a suggested vocabulary for describing that a class represents an n-ary relation and for defining mappings between n-ary relations in RDF and OWL and other languages. A note on this vocabulary is forthcoming.
We present a pattern where we create a new class and n new properties to represent an n-ary relation. An instance of the relation linking the n individuals is then an instance of this class. We consider three use cases for this pattern, illustrated by examples 1-3 above.
Ontologically the classes created in this way are often called "reified relations". Reified relations play important roles in many ontologies3 (e.g. Ontoclean/DOLCE, Sowa, GALEN). However, the RDF and Topic Map communities have each used the word "reify" to mean other things (see the note below). Therefore, to avoid confusion, we do not use the term "reification" in this document.
In the first use case, we need to represent an additional attribute describing a relation instance (example 1, Christine has breast tumor with high probability). We create an individual that represents the relation instance itself, with links from the subject of the relation to this instance and with links from this instance to all participants that represent additional information about this instance:

For the example 1 above (Christine has breast tumor with high probability),
the individual Christine has a property has_diagnosis
that has another object (_:Diagnosis_Relation_1, an
instance of the class Diagnosis_Relation) as its value:

The individual _:Diagnosis_Relation_1 here represents a single
object encapsulating both the diagnosis (Breast_Tumor_Christine,
a specific instance of Disease) and the probability of the diagnosis
(HIGH)3. It contains all the information held
in the original 3 arguments: who is being diagnosed, what the diagnosis is,
and what the probability is. We use blank
nodes in RDF to represent instances of a relation.
:Christine
a :Person ;
:has_diagnosis _:Diagnosis_Relation_1 . :_Diagnosis_relation_1
a :Diagnosis_Relation ;
:diagnosis_probability :HIGH;
:diagnosis_value :Breast_Tumor_Christine .
Each of the 3 arguments in the original n-ary relation—who is being
diagnosed, what the diagnosis is, and what the probability is—gives rise
to a true binary relationship. In this case, there are three: has_diagnosis,
diagnosis_value and diagnosis_probability.4
The class definitions for the individuals in this pattern look as follows:

The additional labels on the links indicate the OWL restrictions on the properties.
We define both diagnosis_value and diagnosis_probability
as functional properties, thus requiring that each instance of Diagnosis_Relation
has exactly one value for Disease and one value for Probability.
In RDFS, which does not have the OWL restrictions or functional properties,
the links represent rdfs:range constraints on the properties. For
example, the class Diagnosis_Relation is the range of the property
has_diagnosis.
Here is a definition of the class Diagnosis_Relation in OWL, assuming that both
properties—diagnosis_value and
diagnosis_probability—are defined as functional (we
provide full code for the example in OWL and RDFS below):
:Diagnosis_Relation
a owl:Class ;
rdfs:subClassOf
[ a owl:Restriction ;
owl:someValuesFrom :Disease ;
owl:onProperty :diagnosis_value
] ;
rdfs:subClassOf
[ a owl:Restriction ;
owl:allValuesFrom :Probability_values ;
owl:onProperty :diagnosis_probability
] .
In the definition of the Person class (of which the individual
Christine is an instance), we specify a property has_diagnosis
with the range restriction going to the Diagnosis_Relation class
(of which Diagnosis_Relation_1 is an instance):
:Person
a owl:Class ;
rdfs:subClassOf
[ a owl:Restriction ;
owl:allValuesFrom :Diagnosis_Relation ;
owl:onProperty :has_diagnosis
] .
Note that in discussing this pattern, we are not making any suggestion on the best way to represent probability pf an event. We simply use it as an example here.
[RDFS]
We have a different use case in the example 2 above (Steve has temperature,
which is high, but falling): In the example with the diagnosis, many will
view the relationship we were representing as in a fact still a binary
relation between the individual Christine and the diagnosis Breast_Tumor_Christine
that has a probability associated with it. The relation in this example is between
the individual Steve and the object representing different aspects
of the temperature he has. In most intended interpretations, this instance of
a relation cannot be viewed as an instance of a binary relation with additional
attributes attached to it. Rather, it is a relation instance relating the individual
Steve and the complex object representing different facts about
his temperature. Such cases often come about in the course of evolution of an
ontology when we realize that two relations need to be collapsed. For example,
initially, we might have had two properties—has_temperature_level
and has_temperature_trend—both relating to people. We might
then have realized that these properties really are inextricably intertwined
because we need to talk about "temperatures that are elevated but falling."

The RDFS and OWL patterns that implement this intuition are however the same
as in the previous example. A class Person (of which the individual
Steve is an instance) has a property has_temperature
which has as a range the relation class Temperature_Observation. Instances
of the class Temperature_Observation (such as _:Temperature_Observation_1
in the figure) in turn have properties for temperature_value and
temperature_trend.
[RDFS]
In some cases, the n-ary relationship links individuals that play different
roles in a structure without any single individual standing out as the subject
or the "owner" of the relation, such as Purchase in the example
3 above (John buys a "Lenny the Lion" book from books.example.com for $15
as a birthday gift). Here, the relation explicitly has more than one participant,
and, in many contexts, none of them can be considered a primary one. In this
case, we create an individual to represent the relation instance with links
to all participants:

In our specific example, the representation will look as follows:

Purchase_15 is an individual instance of the Purchase
class representing an instance of a relation:6
:Purchase_1
a :Purchase ;
:has_buyer :John ;
:has_object :Lenny_The_Lion ;
:has_purpose :Birthday_Gift ; :has_amount 15 ;
:has_seller :books.example.com .
The following diagram shows the corresponding classes and properties. For
the sake of the example, we specify that each purchase has exactly one
buyer (a Person), exactly one seller
(a Company), exactly one amount and at least one
object (an Object).

The diagram refers to OWL restrictions. In RDFS the arrows can be treated
as rdfs:range links.
The class Purchase is defined as follows in OWL (see the RDFS
file below for the definition in RDFS):
:Purchase
a owl:Class ;
rdfs:subClassOf
[ a owl:Restriction ;
owl:allValuesFrom :Purpose ;
owl:onProperty :has_purpose
] ;
rdfs:subClassOf
[ a owl:Restriction ;
owl:cardinality 1 ;
owl:onProperty :has_buyer
] ;
rdfs:subClassOf
[ a owl:Restriction ;
owl:onProperty :has_buyer ;
owl:someValuesFrom :Person
] ;
rdfs:subClassOf
[ a owl:Restriction ;
owl:cardinality 1 ;
owl:onProperty :has_seller
] ;
rdfs:subClassOf
[ a owl:Restriction ;
owl:onProperty :has_seller ;
owl:someValuesFrom :Company
] ; rdfs:subClassOf
[ a owl:Restriction ;
owl:onProperty :has_object ;
owl:someValuesFrom :Object
] .
Note that representation of OWL restrictions themselves follows this pattern:
an OWL restriction is essentially a ternary relation between a class, a property,
and a restriction value. In this case, an instance of the Restriction
class is similar to the instance of Purchase.
[RDFS]
_:Temperature_Observation_1, Purchase_1,
etc. In most cases, these individuals do not stand on their own but merely
function as auxiliaries to group together other objects. Hence a distinguishing
name serves no purpose. Note that a similar approach is taken when reifying
statements in RDF.Book
from companies in the category Bookseller (cf. use
case 3). Expressing this constraint requires a special subclass of the
n-ary relation class that represents the combination of restrictions. For
instance, we will have to create a class Book_Purchase with the
corresponding range restrictions for the property seller (allValuesFrom
Bookseller) and object (allValuesFrom Book).
We end up having to build an explicit lattice of classes to represent all
the possible combinations. John buying the Lenny_The_Lion
book. We may want to have an instance of an inverse relation pointing from
the Lenny_The_Lion book to the person who bought it. If we had
a simple binary relation John buys Lenny_The_Lion,
defining an inverse is simple: we simply define a property is_bought_by
as an inverse of buys::is_bought_byWith the purchase relation represented as an instance, however, we need to add inverse relations between participants in the relation and the instance relation itself:
a owl:ObjectProperty ;
owl:inverseOf :buys .
buyer
and object of a purchase, look as follows::is_buyer_forIn the definition of the class
a owl:ObjectProperty ;
owl:inverseOf :has_buyer . :is_object_for
a owl:ObjectProperty ;
owl:inverseOf :has_object .
Person, we include an allValuesFrom
restriction on the property is_buyer_for, to restrict the values
for this property to instances of the class Purchase::Person
a owl:Class ;
rdfs:subClassOf
[ a owl:Restriction ;
owl:onProperty :is_buyer_for ;
owl:allValuesFrom :Purchase
] .
is_buyer_for for
the individual John, for example, is the individual Purchase_1
rather than the object or recipient of the purchase.Some n-ary relations do not naturally fall into either of the use cases above, but are more similar to a list or sequence of arguments. The example 4 above (United Airlines flight 3177 visits the following airports: LAX, DFW, and JFK) falls into this category. In this example, the relation holds between the flight and the airports it visits, in the order of the arrival of the aircraft at each airport in turn. This relation might hold between many different numbers of arguments, and there is no natural way to break it up into a set of distinct properties relating the flight to each airport. At the same time, the order of the arguments is highly meaningful.
In cases where all but one participant in a relation do not have a specific
role and essentially form an ordered list, it is natural to connect these arguments
into a sequence according to some relation, and to relate the one participant
to this sequence (or the first element of the sequence). We represent the example
below using an ordering relation (nextSegment) between instances
of the FlightSegment class. Each flight segment has a property
for the destination of that segment. Note that we add a special subclass of
flight segment, FinalFlightSegment, with a maximum cardinality
of 0 on the nextSegment property, to indicate the end of the sequence.

RDF supplies a vocabulary for lists — the collection vocabulary, which can also be used in cases where a group of arguments to the relation have no special role. We do not use the RDF collection vocabulary in this example, because it is less practical to use a generic ordering relation when we are representing something more specific. In this example, we represent a temporal order among constituents.
We can represent the ontology for this example in OWL. Note that using the
rdf:List vocabulary in OWL would have put the ontology in OWL Full
(see the corresponding
section of the OWL Guide for the comparison
of OWL Full and OWL DL). The following ontology is in OWL Lite:

:Flight a owl:Class . :flight_sequence a owl:ObjectProperty , owl:FunctionalProperty ; rdfs:domain :Flight ; rdfs:range :FlightSegment .
:FlightSegment a owl:Class ; rdfs:subClassOf owl:Thing ;
rdfs:subClassOf
[ a owl:Restriction ;
owl:cardinality "1";
owl:onProperty :destination
] ;
rdfs:subClassOf
[ a owl:Restriction ; owl:allValuesFrom :Airport ;
owl:onProperty :destination
] .
:next_segment
a owl:ObjectProperty , owl:FunctionalProperty ;
rdfs:domain :FlightSegment ;
rdfs:range :FlightSegment .
:FinalFlightSegment a owl:Class ;
rdfs:comment "The last flight segment has no next_segment";
rdfs:subClassOf :FlightSegment ;
rdfs:subClassOf
[ a owl:Restriction ; owl:maxCardinality "0";
owl:onProperty :next_segment
] .
:Airport
a owl:Class .
:destination a owl:ObjectProperty , owl:FunctionalProperty ;
rdfs:domain :FlightSegment .
[RDFS]
It may be natural to think of RDF reification
when representing n-ary relations. We do not want to use the RDF reification
vocabulary to represent n-ary relations in general for the following reasons.
The RDF reification vocabulary is designed to talk about statements—individuals
that are instances of rdf:Statement. A statement is a object, predicate,
subject triple and reification in RDF is used to put additional information
about this triple. This information may include the source of the information
in the triple, for example. In n-ary relations, however, additional arguments
in the relation do not usually characterize the statement but rather provide
additional information about the relation instance itself. Thus, it is more
natural to talk about instances of a diagnosis relation or a purchase rather
than about a statement. In the use cases that we discussed in the note, the
intent is to talk about instances of a relation, not about statements about
such instances.
We usually think of semantic web languages as consisting of triples of the form "Individual1-Property-Individual2" (Traditionally, these have been termed "object-attribute-value" triples, but we do not use this language here because it conflicts with RDF usage.)
However, formally, we interpret properties as representing relations, i.e. sets of ordered pairs of individuals. Each instance of a relation is just one of those ordered pairs. The "Property" in each triple is fundamentally different from the individuals in the triple. It merely indicates to which relation the ordered pair consisting of the two individuals belongs. We normally name individuals; we do not normally name the ordered pairs.
Often in cases such as use case 1, we wish to regard
two instances of the relation that have the same argument as equivalent. We
can capture this intuition by using RDF blank
nodes (e.g., _:Diagnosis_relation) to represent relation instances.
In use case 2, we wish to consider the possibility that
there might be two distinct purchases with identical arguments. In that case,
the node should be named, e.g. Purchase_1.
HIGH, MEDIUM, and LOW):
:Probability_values
a owl:Class ;
owl:equivalentClass
[ a owl:Class ;
owl:oneOf (:HIGH :MEDIUM :LOW)
] .
There are other ways to represent partitions of values. Please refer to a note on Representing Specified Values in OWL [Specified Values]. In RDF Schema version, we represent them simply as strings, also for simplicity reasons.
rdf:value
that is appropriate in examples such as the Diagnosis example here. While
rdf:value has no meaning on its own, the RDF specification encourages
its use as a vocabulary element to identify the "main" component of a structured
value of a property. Therefore, in our example, we made diagnosis_value
a subproperty of rdf:value property instead of making it a direct
instance of rdf:Property to indicate that diagnosis_value
is indeed the "main" component of a diagnosis.Purchase (Purchase_1) rather than an
anonymous blank node here. In this example, there might be two distinct purchases
with exactly the same arguments. The editors would like to thank the following Working Group members for their contributions to this document: Pat Hayes, Jeremy Carroll, Chris Welty, Michael Uschold, Bernard Vatant. Frank Manola, Ivan Herman, Jamie Lawrence have also contributed to the document.
This document is a product of the Ontology Engineering and Patterns Task Force of the Semantic Web Best Practices and Deployment Working Group.