W3C

DeviceOrientation Event Specification

W3C Candidate Recommendation 18 August 2016

This Version:
https://www.w3.org/TR/2016/CR-orientation-event-20160818/
Latest Published Version:
https://www.w3.org/TR/orientation-event/
Latest Editor's Draft:
https://w3c.github.io/deviceorientation/spec-source-orientation.html
Previous version:
https://www.w3.org/TR/2011/WD-orientation-event-20111201/
Editors:
Rich Tibbett, Opera Software ASA
Tim Volodine, Google, Inc
Steve Block, Google, Inc (until July 2012)
Andrei Popescu, Google, Inc (until July 2012)
Participate:
We are on GitHub
File a bug
Commit history
Mailing list

Abstract

This specification defines several new DOM events that provide information about the physical orientation and motion of a hosting device.

Status of This Document

This section describes the status of this document at the time of its publication. Other documents may supersede this document. A list of current W3C publications and the latest revision of this technical report can be found in the W3C technical reports index at https://www.w3.org/TR/.

This document was published by the Geolocation Working Group as a Candidate Recommendation. If you wish to make comments regarding this document, please send them to public-geolocation@w3.org (subscribe, archives). All feedback is welcome.

A diff-marked version of this document from the previous draft is available for comparison purposes.

W3C publishes a Candidate Recommendation to indicate that the document is believed to be stable and to encourage implementation by the developer community. This Candidate Recommendation is expected to advance to Proposed Recommendation no earlier than 15 September 2016.

For this specification to exit the Candidate Recommendation stage, two independent implementations will be required to pass each test in the DeviceOrientation test suite.

Please see the Working Group's implementation report.

Publication as a Candidate Recommendation does not imply endorsement by the W3C Membership. This is a draft document and may be updated, replaced or obsoleted by other documents at any time. It is inappropriate to cite this document as other than work in progress.

This document was produced by a group operating under the 5 February 2004 W3C Patent Policy. W3C maintains a public list of any patent disclosures made in connection with the deliverables of the group; that page also includes instructions for disclosing a patent. An individual who has actual knowledge of a patent which the individual believes contains Essential Claim(s) must disclose the information in accordance with section 6 of the W3C Patent Policy.

This document is governed by the 1 September 2015 W3C Process Document.

1 Conformance requirements

All diagrams, examples, and notes in this specification are non-normative, as are all sections explicitly marked non-normative. Everything else in this specification is normative.

The key words "MUST", "MUST NOT", "REQUIRED", "SHOULD", "SHOULD NOT", "RECOMMENDED", "MAY", and "OPTIONAL" in the normative parts of this document are to be interpreted as described in RFC2119. For readability, these words do not appear in all uppercase letters in this specification. [RFC2119]

Requirements phrased in the imperative as part of algorithms (such as "strip any leading space characters" or "return false and abort these steps") are to be interpreted with the meaning of the key word ("must", "should", "may", etc) used in introducing the algorithm.

Conformance requirements phrased as algorithms or specific steps may be implemented in any manner, so long as the end result is equivalent. (In particular, the algorithms defined in this specification are intended to be easy to follow, and not intended to be performant.)

User agents may impose implementation-specific limits on otherwise unconstrained inputs, e.g. to prevent denial of service attacks, to guard against running out of memory, or to work around platform-specific limitations.

Implementations that use ECMAScript to implement the APIs defined in this specification must implement them in a manner consistent with the ECMAScript Bindings defined in the Web IDL specification, as this specification uses that specification's terminology. [WEBIDL]

The events introduced by this specification implement the Event interface defined in the DOM4 Specification, [DOM4]. Implementations must therefore support this specification.

2 Introduction

This section is non-normative.

This specification provides several new DOM events for obtaining information about the physical orientation and movement of the hosting device. The information provided by the events is not raw sensor data, but rather high-level data which is agnostic to the underlying source of information. Common sources of information include gyroscopes, compasses and accelerometers.

The first DOM event provided by the specification, deviceorientation, supplies the physical orientation of the device, expressed as a series of rotations from a local coordinate frame.

The second DOM event provided by this specification, devicemotion, supplies the acceleration of the device, expressed in Cartesian coordinates in a coordinate frame defined in the device. It also supplies the rotation rate of the device about a local coordinate frame. Where practically possible, the event should provide the acceleration of the device's center of mass.

Finally, the specification provides a compassneedscalibration DOM event, which is used to inform Web sites that a compass being used to provide data for one of the above events is in need of calibration.

The following code extracts illustrate basic use of the events.

Registering to receive deviceorientation events:

      window.addEventListener("deviceorientation", function(event) {
          // process event.alpha, event.beta and event.gamma
      }, true);
   

A device lying flat on a horizontal surface with the top of the screen pointing West has the following orientation:

      {alpha: 90,
       beta: 0,
       gamma: 0};
   

To get the compass heading, one would simply subtract alpha from 360 degrees. As the device is turned on the horizontal surface, the compass heading is (360 - alpha).

A user is holding the device in their hand, with the screen in a vertical plane and the top of the screen pointing upwards. The value of beta is 90, irrespective of what alpha and gamma are.

A user facing a compass heading of alpha degrees is holding the device in their hand, with the screen in a vertical plane and the top of the screen pointing to their right. The orientation of the device is:

      {alpha: 270 - alpha,
       beta: 0,
       gamma: 90};
   

Showing custom UI to instruct the user to calibrate the compass:

      window.addEventListener("compassneedscalibration", function(event) {
          alert('Your compass needs calibrating! Wave your device in a figure-eight motion');
          event.preventDefault();
      }, true);
   

Registering to receive devicemotion events:

      window.addEventListener("devicemotion", function(event) {
          // Process event.acceleration, event.accelerationIncludingGravity,
          // event.rotationRate and event.interval
      }, true);
   

A device lying flat on a horizontal surface with the screen upmost has an acceleration of zero and the following value for accelerationIncludingGravity:

      {x: 0,
       y: 0,
       z: 9.81};
   

A device in free-fall, with the screen horizontal and upmost, has an accelerationIncludingGravity of zero and the following value for acceleration:

      {x: 0,
       y: 0,
       z: -9.81};
   

A device is mounted in a vehicle, with the screen in a vertical plane, the top uppermost and facing the rear of the vehicle. The vehicle is travelling at speed v around a right-hand bend of radius r. The device records a positive x component for both acceleration and accelerationIncludingGravity. The device also records a negative value for rotationRate.gamma:

      {acceleration: {x: v^2/r, y: 0, z: 0},
       accelerationIncludingGravity: {x: v^2/r, y: 0, z: 9.81},
       rotationRate: {alpha: 0, beta: 0, gamma: -v/r*180/pi} };
   

3 Scope

This section is non-normative.

This specification is limited to providing DOM events for retrieving information describing the physical orientation and motion of the hosting device. The intended purpose of this API is to enable simple use cases such as those in Section 6.2. The scope of this specification does not include providing utilities to manipulate this data, such as transformation libraries. Nor does it include providing access to low sensor data, or direct control of these sensors.

4 Description

4.1 deviceorientation Event

User agents implementing this specification must provide a new DOM event, named deviceorientation. The corresponding event must be of type DeviceOrientationEvent and must fire on the window object. Registration for, and firing of the deviceorientation event must follow the usual behavior of DOM4 Events, [DOM4].

User agents must also provide an event handler IDL attribute [HTML5] named ondeviceorientation on the window object. The type of the corresponding event handler event type must be deviceorientation.

    partial interface Window {
      attribute EventHandler ondeviceorientation;
    };

    [Constructor(DOMString type, optional DeviceOrientationEventInit eventInitDict)]
    interface DeviceOrientationEvent : Event {
      readonly attribute double? alpha;
      readonly attribute double? beta;
      readonly attribute double? gamma;
      readonly attribute boolean absolute;
    };

    dictionary DeviceOrientationEventInit : EventInit {
      double? alpha = null;
      double? beta = null;
      double? gamma = null;
      boolean absolute = false;
    };
 

The alpha attribute must return the value it was initialized to. When the object is created, this attribute must be initialized to null.

The beta attribute must return the value it was initialized to. When the object is created, this attribute must be initialized to null.

The gamma attribute must return the value it was initialized to. When the object is created, this attribute must be initialized to null.

The absolute attribute must return the value it was initialized to. When the object is created, this attribute must be initialized to false.

The event should fire whenever a significant change in orientation occurs. The definition of a significant change in this context is left to the implementation, though a maximum threshold for change of one degree is recommended. Implementations may also fire the event if they have reason to believe that the page does not have sufficiently fresh data.

The alpha, beta and gamma attributes of the event must specify the orientation of the device in terms of the transformation from a coordinate frame fixed on the Earth to a coordinate frame fixed in the device. The coordinate frames must be oriented as described below.

The Earth coordinate frame is a 'East, North, Up' frame at the user's location. It has the following 3 axes, where the ground plane is tangent to the spheriod of the World Geodetic System 1984 [WGS84], at the user's location.

For a mobile device such as a phone or tablet, the device coordinate frame is defined relative to the screen in its standard orientation, typically portrait. This means that slide-out elements such as keyboards are not deployed, and swiveling elements such as displays are folded to their default position. If the orientation of the screen changes when the device is rotated or a slide-out keyboard is deployed, this does not affect the orientation of the coordinate frame relative to the device. Users wishing to detect these changes in screen orientation may be able to do so with the existing orientationchange event. For a laptop computer, the device coordinate frame is defined relative to the integrated keyboard.

The transformation from the Earth coordinate frame to the device coordinate frame must use the following system of rotations.

Rotations must use the right-hand convention, such that positive rotation around an axis is clockwise when viewed along the positive direction of the axis. Starting with the two frames aligned, the rotations are applied in the following order:

  1. Rotate the device frame around its z axis by alpha degrees, with alpha in [0, 360).

    start orientation
    Device in the initial position, with Earth (XYZ) and body (xyz) frames aligned.
    rotation about z axis
    Device rotated through angle alpha about z axis, with previous locations of x and y axes shown as x0 and y0.
  2. Rotate the device frame around its x axis by beta degrees, with beta in [-180, 180).

    rotation about x axis
    Device rotated through angle beta about new x axis, with previous locations of y and z axes shown as y0 and z0.
  3. Rotate the device frame around its y axis by gamma degrees, with gamma in [-90, 90).

    rotation about y axis
    Device rotated through angle gamma about new y axis, with previous locations of x and z axes shown as x0 and z0.

Thus the angles alpha, beta and gamma form a set of intrinsic Tait-Bryan angles of type Z-X'-Y''. [EULERANGLES] Note that this choice of angles follows mathematical convention, but means that alpha is in the opposite sense to a compass heading. It also means that the angles do not match the roll-pitch-yaw convention used in vehicle dynamics.

The deviceorientation event tries to provide relative values for the three angles (relative to some arbitrary orientation), based on just the accelerometer and the gyroscope. The implementation can still decide to provide absolute orientation if relative is not available or the resulting data is more accurate. In either case, the absolute property must be set accordingly to reflect the choice.

Implementations that are unable to provide all three angles must set the values of the unknown angles to null. If any angles are provided, the absolute property must be set appropriately. If an implementation can never provide orientation information, the event should be fired with the alpha, beta and gamma attributes set to null.

4.2 deviceorientationabsolute Event

User agents implementing this specification must provide a new DOM event, named deviceorientationabsolute. The corresponding event must be of type DeviceOrientationEvent and must fire on the window object. Registration for, and firing of the deviceorientationabsolute event must follow the usual behavior of DOM4 Events, [DOM4].

User agents must also provide an event handler IDL attribute [HTML5] named ondeviceorientationabsolute on the window object. The type of the corresponding event handler event type must be deviceorientationabsolute.

The deviceorientationabsolute event is completely analogous to the deviceorientation event, except additional sensors like the magnetometer can be used to provide an absolute orientation. The absolute property must be set to true. If an implementation can never provide absolute orientation information, the event should be fired with the alpha, beta and gamma attributes set to null.

4.3 compassneedscalibration Event

User agents implementing this specification must provide a new DOM event, named compassneedscalibration that uses the Event interface defined in the DOM4 Events specification [DOM4]. This event must fire on the window object. Registration for, and firing of the compassneedscalibration event must follow the usual behavior of DOM4 Events [DOM4].

User agents must also provide an event handler IDL attribute [HTML5] named oncompassneedscalibration on the window object. The type of the corresponding event must be compassneedscalibration.

This event must be fired when the user agent determines that a compass used to obtain orientation data is in need of calibration. Furthermore, user agents should only fire the event if calibrating the compass will increase the accuracy of the data provided by the deviceorientation event.

The default action of this event should be for the user agent to present the user with details of how to calibrate the compass. The event must be cancelable, so that web sites can provide their own alternative calibration UI.

4.4 devicemotion Event

User agents implementing this specification must provide a new DOM event, named devicemotion. The corresponding event must be of type DeviceMotionEvent and must fire on the window object. Registration for, and firing of the devicemotion event must follow the usual behavior of DOM4 Events, [DOM4].

User agents must also provide an event handler IDL attribute [HTML5] named ondevicemotion on the window object. The type of the corresponding event handler event type must be devicemotion.

    partial interface Window {
      attribute EventHandler ondevicemotion;
    };

    [NoInterfaceObject]
    interface DeviceAcceleration {
      readonly attribute double? x;
      readonly attribute double? y;
      readonly attribute double? z;
    };

    [NoInterfaceObject]
    interface DeviceRotationRate {
      readonly attribute double? alpha;
      readonly attribute double? beta;
      readonly attribute double? gamma;
    };

    [Constructor(DOMString type, optional DeviceMotionEventInit eventInitDict)]
    interface DeviceMotionEvent : Event {
      readonly attribute DeviceAcceleration? acceleration;
      readonly attribute DeviceAcceleration? accelerationIncludingGravity;
      readonly attribute DeviceRotationRate? rotationRate;
      readonly attribute double? interval;
    };

    dictionary DeviceAccelerationInit {
      double? x = null;
      double? y = null;
      double? z = null;
    };

    dictionary DeviceRotationRateInit {
      double? alpha = null;
      double? beta = null;
      double? gamma = null;
    };

    dictionary DeviceMotionEventInit : EventInit {
      DeviceAccelerationInit? acceleration;
      DeviceAccelerationInit? accelerationIncludingGravity;
      DeviceRotationRateInit? rotationRate;
      double? interval = null;
    };
 

The acceleration attribute must return the value it was initialized to. When the object is created, this attribute must be initialized to null.

The accelerationIncludingGravity attribute must return the value it was initialized to. When the object is created, this attribute must be initialized to null.

The rotationRate attribute must return the value it was initialized to. When the object is created, this attribute must be initialized to null.

The interval attribute must return the value it was initialized to. When the object is created, this attribute must be initialized to 0.

In the DeviceMotionEvent events fired by the user agent, the following requirements must apply:

The acceleration attribute must be initialized with the acceleration of the hosting device relative to the Earth frame, expressed in the body frame, as defined in section 4.1. The acceleration must be expressed in meters per second squared (m/s2).

Implementations that are unable to provide acceleration data without the effect of gravity (due, for example, to the lack of a gyroscope) may instead supply the acceleration including the effect of gravity. This is less useful in many applications but is provided as a means of providing best-effort support. In this case, the accelerationIncludingGravity attribute must be initialized with the acceleration of the hosting device, plus an acceleration equal and opposite to the acceleration due to gravity. Again, the acceleration must be given in the body frame defined in section 4.1 and must be expressed in meters per second squared (m/s2).

The rotationRate attribute must be initialized with the rate of rotation of the hosting device in space. It must be expressed as the rate of change of the angles defined in section 4.1 and must be expressed in degrees per second (deg/s).

The interval attribute must be initialized with the interval at which data is obtained from the underlying hardware and must be expressed in milliseconds (ms). It must be a constant, to simplify filtering of the data by the Web application.

Implementations that are unable to provide all attributes must initialize the values of the unknown attributes to null. If an implementation can never provide motion information, the event should be fired with all attributes set to null.

5 Security and privacy considerations

This section is non-normative.

The API defined in this specification can be used to obtain information from hardware sensors like accelerometer, gyroscope, etc. The provided information is currently considered not sensitive enough to warrant specific sensor permission grants. However there have been academic efforts to exploit hardware specific sensor bias for fingerprinting purposes [FINGERPRINT]. Some researchers claim to be able to detect user touch actions with some reliability from sensor data [TOUCH]. In light of that implementations may consider permissions or visual indicators to signify the use of sensors by the page. Furthermore to minimize privacy risks, the chance of fingerprinting and other attacks the implementations should take into consideration the following suggestions:

Additionally, implementing these items will also have a beneficial impact on the battery life of mobile devices.

6 Use-Cases and Requirements

6.1 Use-Cases

6.1.1 Controlling a game

A gaming Web application monitors the device's orientation and interprets tilting in a certain direction as a means to control an on-screen sprite.

6.1.2 Gesture recognition

A Web application monitors the device's acceleration and applies signal processing in order to recognize certain specific gestures. For example, using a shaking gesture to clear a web form.

6.1.3 Mapping

A mapping Web application uses the device's orientation to correctly align the map with reality.

6.2 Requirements

6.2.1 The specification must provide data that describes the physical orientation in space of the device.

6.2.2 The specification must provide data that describes the motion in space of the device.

6.2.3 The specification must allow Web applications to register for changes in the device's orientation.

6.2.4 The specification must be agnostic to the underlying sources of orientation and motion data.

6.2.5 The specification must use the existing DOM event framework.

A. Examples

A.1 Calculating compass heading

This section is non-normative.

The following worked example is intended as an aid to users of the DeviceOrientation event.

Section 2 provided an example of using the DeviceOrientation event to obtain a compass heading when the device is held with the screen horizontal. This example shows how to determine the compass heading that the user is 'facing' when holding the device with the screen approximately vertical in front of them. An application of this is an augmented-reality system.

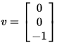
More precisely, we wish to determine the compass heading of the horizontal component of a vector which is orthogonal to the device's screen and pointing out of the back of the screen.

If v represents this vector in the rotated device body frame xyz, then v is as follows. v = [0; 0; -1]

The transformation of v due to the rotation about the z axis can be represented by the following rotation matrix. Z = [cos(alpha) -sin(alpha) 0; sin(alpha) cos(alpha) 0; 0 0 1]

The transformation of v due to the rotation about the x axis can be represented by the following rotation matrix. X = [1 0 0; 0 cos(beta) -sin(beta); 0 sin(beta) cos(beta)]

The transformation of v due to the rotation about the y axis can be represented by the following rotation matrix. Y = [cos(gamma) 0 sin(gamma); 0 1 0; -sin(gamma) 0 cos(gamma)]

If R represents the full rotation matrix of the device in the earth frame XYZ, then since the initial body frame is aligned with the earth, R is as follows. R = ZXY = [[cos(alpha) cos(gamma)-sin(alpha) sin(beta) sin(gamma), -cos(beta) sin(alpha), cos(gamma) sin(alpha) sin(beta)+cos(alpha) sin(gamma)], [cos(gamma) sin(alpha)+cos(alpha) sin(beta) sin(gamma), cos(alpha) cos(beta), sin(alpha) sin(gamma)-cos(alpha) cos(gamma) sin(beta)], [-cos(beta) sin(gamma), sin(beta), cos(beta) cos(gamma)]]

If v' represents the vector v in the earth frame XYZ, then since the initial body frame is aligned with the earth, v' is as follows. v' = Rv v' = [-cos(alpha)sin(gamma)-sin(alpha)sin(beta)cos(gamma); -sin(alpha)sin(gamma)+cos(alpha)sin(beta)cos(gamma); -cos(beta)cos(gamma)]

The compass heading θ is given by theta = atan((v'_x)/(v'_y)) = atan((-cos(alpha)sin(gamma)-sin(alpha)sin(beta)cos(gamma))/(-sin(alpha)sin(gamma)+cos(alpha)sin(beta)cos(gamma)))

provided that β and γ are not both zero.

The compass heading calculation above can be represented in JavaScript as follows to return the correct compass heading when the provided parameters are defined, not null and represent absolute values.

var degtorad = Math.PI / 180; // Degree-to-Radian conversion

function compassHeading( alpha, beta, gamma ) {

  var _x = beta  ? beta  * degtorad : 0; // beta value
  var _y = gamma ? gamma * degtorad : 0; // gamma value
  var _z = alpha ? alpha * degtorad : 0; // alpha value

  var cX = Math.cos( _x );
  var cY = Math.cos( _y );
  var cZ = Math.cos( _z );
  var sX = Math.sin( _x );
  var sY = Math.sin( _y );
  var sZ = Math.sin( _z );

  // Calculate Vx and Vy components
  var Vx = - cZ * sY - sZ * sX * cY;
  var Vy = - sZ * sY + cZ * sX * cY;

  // Calculate compass heading
  var compassHeading = Math.atan( Vx / Vy );

  // Convert compass heading to use whole unit circle
  if( Vy < 0 ) {
    compassHeading += Math.PI;
  } else if( Vx < 0 ) {
    compassHeading += 2 * Math.PI;
  }

  return compassHeading * ( 180 / Math.PI ); // Compass Heading (in degrees)

}

As a consistency check, if we set γ = 0, then theta = atan(-sin(alpha)sin(beta)/cos(alpha)sin(beta)) = -alpha

as expected.

Alternatively, if we set β = 90, then theta = atan((-cos(alpha)sin(gamma)-sin(alpha)cos(gamma))/(-sin(alpha)sin(gamma)+cos(alpha)cos(gamma))) theta = atan(-sin(alpha+gamma)/cos(alpha+gamma)) = -(alpha+gamma)

as expected.

A.2 Alternate device orientation representations

This section is non-normative.

Describing orientation using Tait-Bryan angles can have some disadvantages such as introducing gimbal lock [GIMBALLOCK]. Depending on the intended application it can be useful to convert the Device Orientation values to other rotation representations.

The first alternate orientation representation uses rotation matrices. By combining the component rotation matrices provided in the worked example above we can represent the orientation of the device body frame as a combined rotation matrix.

If R represents the rotation matrix of the device in the earth frame XYZ, then since the initial body frame is aligned with the earth, R is as follows. R = ZXY = [[cos(alpha) cos(gamma)-sin(alpha) sin(beta) sin(gamma), -cos(beta) sin(alpha), cos(gamma) sin(alpha) sin(beta)+cos(alpha) sin(gamma)], [cos(gamma) sin(alpha)+cos(alpha) sin(beta) sin(gamma), cos(alpha) cos(beta), sin(alpha) sin(gamma)-cos(alpha) cos(gamma) sin(beta)], [-cos(beta) sin(gamma), sin(beta), cos(beta) cos(gamma)]]

The above combined rotation matrix can be represented in JavaScript as follows provided passed parameters are defined, not null and represent absolute values.

var degtorad = Math.PI / 180; // Degree-to-Radian conversion

function getRotationMatrix( alpha, beta, gamma ) {

  var _x = beta  ? beta  * degtorad : 0; // beta value
  var _y = gamma ? gamma * degtorad : 0; // gamma value
  var _z = alpha ? alpha * degtorad : 0; // alpha value

  var cX = Math.cos( _x );
  var cY = Math.cos( _y );
  var cZ = Math.cos( _z );
  var sX = Math.sin( _x );
  var sY = Math.sin( _y );
  var sZ = Math.sin( _z );

  //
  // ZXY rotation matrix construction.
  //

  var m11 = cZ * cY - sZ * sX * sY;
  var m12 = - cX * sZ;
  var m13 = cY * sZ * sX + cZ * sY;

  var m21 = cY * sZ + cZ * sX * sY;
  var m22 = cZ * cX;
  var m23 = sZ * sY - cZ * cY * sX;

  var m31 = - cX * sY;
  var m32 = sX;
  var m33 = cX * cY;

  return [
    m11,    m12,    m13,
    m21,    m22,    m23,
    m31,    m32,    m33
  ];

};

Another alternate representation of device orientation data is as Quaternions. [QUATERNIONS]

If q represents the unit quaternion of the device in the earth frame XYZ, then since the initial body frame is aligned with the earth, q is as follows. q = [[q_w], [q_x], [q_y], [q_z]] = [[cos(beta)cos(gamma)cos(alpha) - sin(beta)sin(gamma)sin(alpha)], [sin(beta)cos(gamma)cos(alpha) - cos(beta)sin(gamma)sin(alpha)], [cos(beta)sin(gamma)cos(alpha) + sin(beta)cos(gamma)sin(alpha)], [cos(beta)cos(gamma)sin(alpha) + sin(beta)sin(gamma)cos(alpha)]]

The above quaternion can be represented in JavaScript as follows provided the passed parameters are defined, are absolute values and those parameters are not null.

var degtorad = Math.PI / 180; // Degree-to-Radian conversion

function getQuaternion( alpha, beta, gamma ) {

  var _x = beta  ? beta  * degtorad : 0; // beta value
  var _y = gamma ? gamma * degtorad : 0; // gamma value
  var _z = alpha ? alpha * degtorad : 0; // alpha value

  var cX = Math.cos( _x/2 );
  var cY = Math.cos( _y/2 );
  var cZ = Math.cos( _z/2 );
  var sX = Math.sin( _x/2 );
  var sY = Math.sin( _y/2 );
  var sZ = Math.sin( _z/2 );

  //
  // ZXY quaternion construction.
  //

  var w = cX * cY * cZ - sX * sY * sZ;
  var x = sX * cY * cZ - cX * sY * sZ;
  var y = cX * sY * cZ + sX * cY * sZ;
  var z = cX * cY * sZ + sX * sY * cZ;

  return [ w, x, y, z ];

}

We can check that a Unit Quaternion has been constructed correctly using Lagrange's four-square theorem q_w^2 * q_x^2 * q_y^2 * q_z^2 = 1

as expected.

 

Acknowledgments

Lars Erik Bolstad, Dean Jackson, Claes Nilsson, George Percivall, Doug Turner, Matt Womer

References

[DOM4]
DOM4, See http://dvcs.w3.org/hg/domcore/raw-file/tip/Overview.html
[EULERANGLES]
(Non-normative) Euler Angles, See http://en.wikipedia.org/wiki/Euler_angles
[FINGERPRINT]
(Non-normative) Mobile Device Identification via Sensor Fingerprinting, 6 Aug 2014. See http://arxiv.org/abs/1408.1416
[GIMBALLOCK]
(Non-normative) Gimbal Lock, See http://en.wikipedia.org/wiki/Gimbal_Lock
[HTML5]
HTML5, See https://www.w3.org/TR/2014/REC-html5-20141028/
[QUATERNIONS]
(Non-normative) Quaternions, See http://en.wikipedia.org/wiki/Quaternion
[RFC2119]
Key words for use in RFCs to Indicate Requirement Levels, Scott Bradner. Internet Engineering Task Force, March 1997. See http://www.ietf.org/rfc/rfc2119.txt
[SECURE-CONTEXTS]
Secure Contexts, World Wide Web Consortium, 2 February 2016. See https://w3c.github.io/webappsec-secure-contexts/
[TOUCH]
(Non-normative) TouchSignatures: Identification of User Touch Actions and PINs Based on Mobile Sensor Data via JavaScript, 12 Feb 2016. See http://arxiv.org/abs/1602.04115
[WEBIDL]
Web IDL, Cameron McCormack, Editor. World Wide Web Consortium, 19 December 2008. See http://dev.w3.org/2006/webapi/WebIDL
[WGS84]
National Imagery and Mapping Agency Technical Report 8350.2, Third Edition. National Imagery and Mapping Agency, 3 January 2000. See http://earth-info.nga.mil/GandG/publications/tr8350.2/wgs84fin.pdf
.