This document is also available in these non-normative formats: PDF.
Copyright ©2004 InstallShield Software Corporation, International Business Machines, Inc., Novell, Inc. and Zero G Software, Inc.. This document is available under the W3C Document License. See the W3C Intellectual Rights Notices and Disclaimers for additional information.
The purpose of this specification is to define the schema of an XML document describing the characteristics of an installable unit (IU) of software that are relevant for its deployment, configuration and maintenance. The XML schema is referred to as the Installable Unit Deployment Descriptor or IUDD schema.
IUDDs are intended to describe the aggregation of installable units at all levels of the software stack, including middleware products aggregated together into a platform; and user solutions composed of application-level artifacts which run on such a platform. The XML schema is flexible enough to support the definition of atomic units of software (Smallest Installable Units) as well as complex, multi-platform, heterogeneous solutions.
A solution is any combination of products, components or application artifacts addressing a particular user requirement. This includes what would traditionally be referred to as a product offering (e.g. a database product), as well as a solution offering (e.g. a business integration platform comprising multiple integrated products), or a user application (e.g. a set of application artifacts like J2EE applications and database definitions). All the software constituents of a solution can be represented by a single IUDD as a hierarchy of installable unit aggregates. The top-level aggregation is the root installable unit. In addition to the installable units that comprise a solution, the IUDD also describes the logical topology of targets onto which the solution can be deployed.
By publishing this document, W3C acknowledges that International Business Machines, Inc. and Novell, Inc. have made a formal submission to W3C for discussion. Publication of this document by W3C indicates no endorsement of its content by W3C, nor that W3C has, is, or will be allocating any resources to the issues addressed by it. This document is not the product of a chartered W3C group, but is published as potential input to the W3C Process. Publication of acknowledged Member Submissions at the W3C site is one of the benefits of W3C Membership. Please consult the requirements associated with Member Submissions of section 3.3 of the W3C Patent Policy. Please consult the complete list of acknowledged W3C Member Submissions.
3 Installable Unit Deployment Descriptor Overview
3.1 Deployment architectural pattern
3.4 UML representation of the RootIU type
3.4.8 RootIU.customCheckDefinitions
4.2 Software Life-Cycle Operations
4.2.10 Optional operations: Undo and Commit
5 Installable Unit Deployment Descriptor
5.1.1 Rules for assigning the UUID
5.4 Features and Installation Groups
5.4.5 Scoping of Installation Groups
6.4 Container Installable Unit
7.2.2 Example – Install requirements
7.2.3 Example – Adding Requirements for Configuration
7.2.4 Example – Declaring non exclusive alternatives
7.2.5 Requirements in referenced installable units
8 Variables, Expressions and Conditions
8.1.7 Scoping rules for variables
8.4 Evaluation of variables, checks and conditions
9 Software Smallest Installable Unit
9.1 Installable Unit Definition
9.4 Install Artifacts and IU Lifecycle Operations
9.5.1 Declarative Hosting Environment Restart
10.1 Configuration Artifact Set
10.2 Configuration Artifacts and IU life cycle
11 Temporary Fixes and Updates
11.1 Full update use for Create and Update
11.2 Requirements checking on updates
11.2.1 Target instances selected for the update
11.2.2 Reference to variables in the base IU descriptor
11.2.4 Requirements with multiple alternatives
11.3 Update to an instance with non superseded fixes
11.4 Bundling updates to a federated IU
11.5 Configuration units and the update process
12.5 IU lifecycle operations and prerequisites
12.5.1 Multiple updates with pre-requisites
12.5.2 Updates to an IU federated by an aggregate
13 Installable Unit Signatures
13.1.1 File Signatures Example
13.2 Windows Registry Signatures
13.2.1 Windows Registry signatures examples
13.3.1 Example of generic OS Registry signature
13.4 Signature definitions in a temporary fix
14.4.2 Concrete Action Set Example
15 Resource Properties Definition
18 Root IU Descriptor Validation
A. Solution Module IUDD example
B. Example of a container installable unit
C. Example of features and installation groups
D. Example of update installable unit
The owner of this document is:
|
Marcello Vitaletti |
Autonomic Computing Architecture |
marcello.vitaletti@it.ibm.com |
The authors of this document are:
|
Christine Draper |
IBM Autonomic Computing Architecture |
cdraper@uk.ibm.com |
|
Marcello Vitaletti |
IBM Autonomic Computing Architecture |
marcello.vitaletti@it.ibm.com |
|
Randy George |
IBM Tivoli Architecture |
randyg@us.ibm.com |
|
Julia McCarthy |
IBM SWG Componentization Architecture |
|
|
Devin Poolman |
Zero G Software |
devin.poolman@zerog.com |
|
Tim Miller |
Zero G Software |
tim.miller@ZeroG.com |
|
Art Middlekauff |
InstallShield Software Corp. |
artm@installshield.com |
|
Carlos Montero-Luque |
Novell |
carlos@novell.com |
The purpose of this specification is to define the schema of an XML document describing the characteristics of an installable unit (IU) of software that are relevant for its deployment, configuration and maintenance. The XML schema is referred to as the Installable Unit Deployment Descriptor or IUDD schema.
IUDDs are intended to describe the aggregation of installable units at all levels of the software stack, including middleware products aggregated together into a platform; and user solutions composed of application-level artifacts which run on such a platform. The XML schema is flexible enough to support the definition of atomic units of software (Smallest Installable Units) as well as complex solutions.
A solution is any combination of products, components or application artifacts addressing a particular user requirement. This includes what would traditionally be referred to as a product offering (e.g. a database product), as well as a solution offering (e.g. a business integration platform comprising multiple integrated products), or a user application (e.g. a set of application artifacts like J2EE applications and database definitions). All the software constituents of a solution can be represented by a single IUDD as a hierarchy of installable unit aggregates. The top-level aggregation is the root installable unit. In addition to the installable units that comprise a solution, the IUDD also describes the logical topology of targets onto which the solution can be deployed.
The IUDD provides a unique identification of each installable unit and it supports a declarative specification of dependencies that each IU may have on its hosting environment and on other units of software. This information can be leveraged by common tools and services to reduce the human interactions required for
· the integration of multiple units of software into an aggregated solution;
· building packages that ensure a consistent deployment experience;
· checking that dependencies are satisfied before creating or updating a software instance;
· rapid deployment and configuration with reduced costs;
· checking the integrity of relationships that an IU instance is expected to maintain with other IU instances during its life cycle.
This specification defines
· Smallest Installable Unit (SIU) – the elementary unit of software;
· Configuration Unit (CU) – the elementary unit of configuration;
· Container Installable Unit (CIU) – an aggregated IU that is deployed entirely into a single target hosting environment;
· Solution Module (SM) – an aggregated IU spanning multiple targets;
· Root Installable Unit – the top-level aggregation within an IUDD.
This document does not define how the contents of a root installable unit, including the descriptor, are physically packaged together. This is defined in a separate specification [IUPACK].
This document is intended as a technical specification for people who require an in-depth understanding of the installable unit deployment descriptor. This includes developers of the IUDDs themselves, and developers of the associated tooling and applications for constructing and deploying IUDDs. This document is not intended as an introduction to the concepts of solution deployment or as a tutorial for developers.
The key words “MUST,” “MUST NOT,” “REQUIRED,” “SHALL,” “SHALL NOT,” “SHOULD,” “SHOULD NOT,” “RECOMMENDED,” “MAY,” and “OPTIONAL” are to be interpreted as described in [RFC2119].
The installable unit deployment descriptor (IUDD) is a means for describing the components of a solution, and for providing instructions on how to deploy and configure that solution. The IUDD is a reusable asset that can be deployed onto many different physical topologies, and can be aggregated into larger solutions. It establishes knowledge of the relationships and dependencies between components of the solution, which can then be used for its lifecycle management.
Installable Units (IU) are the key abstraction governing the structure of the IUDD. Within the IUDD, installable units are aggregated in a tree-like hierarchy whose leaf nodes are Smallest Installable Units (SIU) and Configuration Units (CU).
An SIU is limited in scope to describing a unit of software that is targeted to and is entirely contained by the single hosting environment where it is deployed. Analogously, a CU defines the configuration applying to a single resource (target) in the topology.
Container Installable Units (CIU) aggregate SIUs, CUs and other CIUs, again for deployment onto a single hosting environment.
Solution Modules (SM) aggregate SIUs, CUs, CIUs and other solution modules. IUs aggregated in a solution module are typically deployed into multiple hosting environments, possibly located on multiple physical computers.
The IUDD defines a single-rooted installable unit – the root IU – that aggregates one or more installable units of the above types as its base content and may define one or more selectable IUs (features). The root IU represents a “unit of manufacture”. The following elements of information are specifically associated to the root IU:
· Root IU information such as schema version and build date;
· Target topology;
· Features (definitions of selectable IUs within the root IU aggregate);
· Installation Groups (pre-defined groups of feature selections);
· Custom Checks (definitions of custom action code referenced by checks);
· File definitions (these are used to link references to packaged files that are made in various IUDD elements with the files physically bundled in a package and described in a separate package media descriptor; see [IUPACK]).
Other key elements of a RootIU that are also part of any other IU definition are:
· Identity of the whole aggregated IU, and
· Variables.
Figure 1 shows the structure of the IUDD, effectively the structure of the associated root IU definition.

Figure 1: Structure of the root IU definition
Information in the IUDD is independent from the package format, which is covered by a separate specification [IUPACK]. The latter describes how to construct a package including the IUDD and all the other files that may need to be accessed in order to deploy the root IU.
The independence of the IUDD and packaging specifications allows an IU to be composed flexibly, and to make packaging decisions independently from the logical definition of the installable units.
Figure 2 shows the fundamental architectural pattern for solution deployment. An installable unit is the fundamental building block or component from which products or solutions are composed. An installable unit package consists of a descriptor, which describes the content of the installable unit, and one or more artifacts that are to be installed. The installable unit is installed into a hosting environment, which is a container that can accept the artifacts in the installable unit.
This architectural pattern is reusable at all levels of the software stack, from the operating system, through the middleware, up to application artifacts such as EJBs and database tables.

Figure 2: Installable Unit/Hosting Environment design pattern
Figure 3 describes the installable unit types introduced in section 11.

Figure 3: Types of installable unit
The overall process for developing and deploying a solution is illustrated in Figure 4. A solution is developed by application developers and/or product developers; it is then packaged as one or more root installable units, at which point the requirements on the target topology is defined; and distributed to deployers. The deployer makes installation-specific decisions about how the installable unit is to be configured, and the solution depoyment tooling assists in mapping the logical target topology defined in the IUDD onto the physical topology. The solution components (installable units) are then distributed and installed.

Figure 4: Solution development, integration test and deployment
The IUDD schema is implemented by eight schema files. Types defined in each file are identified by a specific prefix, as indicated in the following:
·
iudd.xsd
(prefix: iudd) – See Appendix
E.
This is the main schema file. rootIU is the single global
element defined in iudd.xsd. This element defines
the whole content of an IUDD XML document. This file contains
definitions for the elements of a root IU and for the installable
unit aggregates.
·
siu.xsd
(prefix: siu)
– See Appendix F.
This file contains definitions of the SIU and CU types
·
base.xsd
(prefix: base) – See Appendix
G.
This file contains definitions of basic types, like identity,
variables and check types, as well as types that are re-used by
several derived types.
·
version.xsd
(prefix: vsn)
– See Appendix H.
This file defines normalized string formats for version
information.
·
iudd.relationships
(prefix: rel)
– See Appendix I.
This file contains an enumeration of relationships defined between
resources.
·
resourceTypes.xsd (prefix:
rtype)
– See Appendix J.
This file contains enumerations of resource types.
·
signatures.xsd
(prefix: sigt) – See Appendix
K.
This file contains types defining signatures associated to an
IU.
Artifacts associated to an installable unit (see Section 3.1 above) also have an associated XML descriptor. However, artifacts are referenced from within the IUDD through an identifier of the corresponding file. Since they are not defined inline within the IUDD, the XML schema for artifacts are independent from the IUDD schema files. See Section 14 and Section 15 for a proposed artifact schema.
The class diagram in the following page illustrates the composition relationships of the RootIU class with other types defined in the IUDD schema. The following sections provide an overview of types represented in the diagram. This provides an introduction to the detailed XML schema definitions of those types that are described later in this document.
IUorFixDefinition is the type providing identity information for the root IU. Different elements of this type are applicable depending on the installable unit type (base IU, full or incremental update and temporary fix).
Variables is an aggregate containing the variable definitions associated with the root IU.

ConditionedIU is the generic type describing any contained IU defined within the root IU. Two compositions of this type are defined by a root IU: one is for the base content (installableUnit) while the other is for features (selectableContent).
IUs that can appear in an IU aggregate have an associated condition. The condition is a boolean variable expression. When the condition is false, the IU is not selected for install. IUs defined within the aggregate may have siblings. A sequence number may be associated to the IU to specify the order in which the IU should be processed with respect to its siblings.
The rootInfo element defines characteristics of the root IU instance, such as the schema version on which it is based and the size of all files associated to artifacts defined in this root IU.
A root IU may define zero or more features. Either each feature represents a top-level IUs defined inline within the RootIU or it is a reference to a feature in a referenced, separately packaged IU. In both cases, the IU referred to by the feature definition MUST be defined within the root IU selectable content composite.
The root IU may define zero or more groups of features (installation groups). Each group represents a combination of installable units that could be chosen for a given configuration or role, e.g. minimal versus typical; administrator versus developer versus client.
The root IU topology is a composite of one or more target definitions. A target can be a hosting environment onto which one or more IUs are to be deployed, or it can be a generic resource that is needed for the proper functioning of the solution. Ordinary targets pre-exist the solution deployment. Deployed targets are defined in the topology to represent resources that are created by instantiating an installable unit.
The customCheckDefinitions element includes definitions of check artifacts. Each artifact is a descriptor of actions that need to be performed on a target to establish if the latter satisfies some given requirements. Some of the actions defined in a check artifact may specify the execution of custom code. Multiple checks defined in different IUs may need to reuse the same custom check artifact. For this reason, the identification of check artifacts is factored out in the root IU.
In addition to IUs that are part of the aggregate, the root IU may define requisite IUs, i.e. bundled packaged IUs, which may be installed on a target to satisfy a software requirement.
The files element of the root IU is a composite of File definitions. Each File definition includes a file identifier. Any element within a root IU that is associated to a physical file declares that association by means of a reference to the corresponding file identifier. Examples of elements associated to a physical file are Referenced IUs and bundled requisite IUs. Actions specified within install artifacts (see Section 9.4) may also contain references to physical files that need to be bundled with the root IU. These files need to be defined in the files element.
The following data-flow diagram provides a model for the process involved in a software change. This model is provided as an illustrative example and alternative processes MAY be supported by an implementation of an install runtime. The process is a sequence of five logical activities: Environment Checks, Input, Dependency Check, Change and Register. These activities interact with the target hosting environment, and the installable unit database. The hosting environment (e.g. a configured operating system image) is the actual destination of the software being installed. The installable unit database is the repository holding information about the installable unit configuration for a set of hosting environments within a given scope (for example those on a single machine, or those within a complete administrative domain). The user provides input, in this process, either interactively or via a response file, and that input drives the activity of a software installer program.
Figure 5: Model of the software change management process
The rectangles at the bottom of Figure 5
represent entities defined in this specification:
The rectangle on the left represents the IU descriptor, conforming to the IUDD XML descriptor defined by this specification.
The rectangles on the right side represent artifacts associated to an SIU or to a CU. An SIU or CU may define multiple artifacts, each one associated to a different type of change (operation). Each artifact includes one artifact descriptor defining actions – such as the ones for creating or removing files on an operating system environment. Action definitions in the artifact descriptor are interpreted on the IU’s hosting environment to implement the change, and may reference files that need to be available when the actions are performed.
The following list provides a description of the five logical activities illustrated in Figure 5:
Software deployment has been traditionally designed and implemented as a process by which a software package (artifact) is installed on the running operating system image on one or more physical computers. In general, deployment of a software component (e.g. a database client) on one target needs to be coordinated with deployment of a different software component (e.g. a database server) onto another target.
“Hosting Environment” is a term used to denote the target of a software component with specific characteristics. Therefore, the term “OS hosting environment” is used to denote the hosting environment of traditional software products that are installed on an operating system, while the term “J2EE hosting environment” is used to denote a J2EE application server hosting J2EE applications. Other hosting environment types may be defined, such as RDBMS databases, messaging systems, and other middle-ware.
The following state diagram applies to an instance of any installable unit (SIU or aggregate). During its life-cycle an IU instance makes state transitions as a consequence of Change Management (CM) operations being applied to it. A CM operation MAY require an artifact specifying the actions to be executed on the hosting environment.

Figure 6: State diagram of an installable unit instance.
Error states that result from errors encountered when performing any of the indicated operations are not covered in this specification, and are not shown in the above diagram.
The following sections 4.2.1 to 4.2.10 describe the operations that create an IU instance, apply updates and configuration to that instance and delete the instance when it is no longer needed. The descriptions focus on the meaning of the operation for an SIU. Applying updates to an IU aggregate is discussed in Section 11. Ordering of install, applying to both Create and Update, is defined in Section 12.
The Create operation creates a new instance of an SIU. The Install artifact associated to the SIU, see Section 9.4, defines the actions to be executed on the hosting environment to instantiate the SIU.
The newly created IU instance transitions directly to the Usable state if no InitialConfig artifact is specified and there are no sibling configuration units defined in the same aggregate. Otherwise, the instance enters the Created state and an InitialConfig operation is needed to bring the instance to the Usable state.
On some hosting environments, the operation MAY be used to overwrite an existing instance of the SIU. The end result SHOULD be the same that would be obtained by performing the Create operation after applying the Delete operation to the existing instance.
An SIU may define a new base, an IU update or a temporary fix. An update can be full, in which case it is possible to use if for a fresh install; or incremental, in which case it must be applied to an existing instance. The Create operation can only be performed for an SIU defining a new base or a full update. An SIU defining a temporary fix or an incremental update can only be applied to an existing instance using the Update operation.
The Update operation updates an existing instance. The SIU defining an update or temporary fix contains a declaration of the version range of a base IU instance onto which it can be applied (update base). The Install artifact associated to the SIU, see Section 9.4, defines the actions to be executed on the hosting environment to update the base instance.
After the update, the version of the updated instance is changed to reflect the version specified by the SIU update.
The updated IU instance transitions directly to the Usable state if no Migrate artifact is specified and there are no sibling configuration units defined in the same aggregate. Otherwise, the instance enters the Updated state and the Migrate operation is needed to bring the instance to the Usable state.
The update may be applied in undo-able mode. In this case, any resources (e.g. files) associated to the instance being updated that are being replaced or modified need to be saved, in order to support the roll-back of the update.
SIU updates and fixes may supersede fixes that are already applied to the instance being updated.
The InitialConfig operation applies the initial configuration to an instance of the installable unit that is in the Created state, causing the transition to the Usable state. The operation can only be performed for an SIU defining a new base or a full update. The operation CANNOT be performed for an SIU defining a temporary fix or an incremental update.
The InitConfig artifact associated with the SIU, see Section 9.4, defines actions to be executed on the hosting environment to make a created instance usable. This artifact implements the non repeatable part of the initial configuration.
Sibling configuration units MAY be defined in the same IU aggregate to implement the repeatable part of the initial configuration. These configuration units are applied at the end of the InitialConfig operation, after the InitConfig artifacts have been processed for all SIUs in the whole root IU. See Section 4.3.
The Migrate operation applies configuration to an installable unit instance that is in the Updated state, causing the transition to the Usable state. The operation can only be performed for an SIU defining an update (full or incremental). The operation CANNOT be performed for a fix.
The Migrate artifact associated with the SIU, see Section 9.4, defines actions to be executed on the hosting environment to make an updated instance usable. Actions in the artifact set the configuration by using existing installable unit instance data: the actions may implement the migration of configuration data used in the previous version within the instance being superseded. The Migrate artifact implements the non repeatable part of the configuration process.
Sibling configuration units MAY be defined in the same IU aggregate to capture the repeatable part of the configuration process. These configuration units are applied at the end of the Migrate operation, after the Migrate artifacts have been processed for all SIUs in the whole root IU. See Section 4.3.
The Configure operation applies artifacts associated with configuration units, see Section 10.2, which modify the configuration of a resource (topology target). The operation can be used to re-configure an installable unit instance. The operation can be re-applied multiple times to change the configuration of resources.
The Configure operation SHOULD be supported with two execution modes: full and delta.
In full mode, the operation applies all CUs defined in the base IU, all updates and all of the fixes to the latest level.
In delta mode, the operation can be applied to process either the set of CUs associated to the latest update level or the CUs associated to one of the fixes that were applied to the latest level.
When a full IU is applied as an update to an existing instance, all CUs associated to aggregates of the base that are not obsoleted are replaced, see Section 11.1.
The Verify IU operation performs integrity checking of an installable unit instance with respect to its current state (Created, Updated, Usable). The final state is the same as the initial state unless the integrity checks fail, in which case the unit is put in an error state.
A VerifyInstall artifact MAY be associated to an SIU, see Section 9.4. If specified, the artifact defines actions to be executed on the hosting environment to perform integrity checking of the SIU instance. Some integrity checking MAY be possible on some hosting environments without specifying an artifact.
The VerifyConfig operation uses the VerifyConfig artifact, see Section 10.2, to verify the configuration of a manageable resource.
Some implementations MAY support the repair operation to perform the repair of an installable unit instance that failed a previous verification (VerifyIU). The installable unit instance remains in the error state if there are parts whose state was found in error for which a repair capability is not implemented. The Repair operation has no associated artifact.
The delete operation deletes an existing IU instance from the hosting environment.
The Uninstall artifact associated with the SIU, see Section 9.4, defines the actions to be executed on the hosting environment to remove resources (e.g. files) created as part of the instance.
Some hosting environments MAY support using the install artifact for both the Create and the Delete operation. In that case, the install artifact is processed by the Delete operation to identify resources created during install that need to be removed.
The IU instance may have gone through multiple updates during its lifecycle. The semantic of the Delete operation is that all resources created as part of the IU initial creation and subsequent updates SHOULD be removed, unless they already existed when the instance was first created (or updated) in which case they SHOULD NOT be removed.
Undo support is OPTIONAL. Each hosting environment that can be the target of IU lifecycle operations specifies which operations, if any, can be performed in undoable mode. The number of levels of the Undo stack are also specified by the hosting environment. The release of backup resources MAY be controlled by the explicit invocation of a Commit operation. A hosting environment MAY implement an automatic Commit (e.g. because it does not implement more that a single undoable operation for the same IU instance).
The semantic of the Undo operation is explained below, by contrast to the Delete operation.
The result of applying Undo to an operation is to revert the IU instance to a previous state. For example, applying the Undo after an Update will revert the IU instance to its state prior to the update, while Delete would remove the instance. The Undo applied to a new IU instance after Create would produce the same effect of the Delete operation if the Create did not cause any pre-existing resources (e.g. shared files or registry entry) to be modified. While if the Create did modify or remove some pre-existing resources, these SHOULD be restored by Undo while Delete would leave the modified resources in their current state.
In some cases, restoring the previous state of a shared resource may not be desirable, namely when the resource has been subject to further modifications after the backup copy was created. Also, artifacts may contain actions that cannot be executed in undoable mode. The conditions that MAY limit Undo support on a given hosting environment are specified by each implementation. In particular, actions that can be defined in the install artifacts MAY support the specification of the desired behavior when the action should be undone.
InitialConfig and Migrate artifacts SHOULD only cover the non-repeatable part of an IU instance configuration so that they are NOT normally re-applied.
An implementation MAY support re-applying the InitialConfig and Migrate[1] artifacts on an IU instance that is already in the Usable state. This MAY be done in an attempt to restore a configuration baseline in case of a malfunction, although this MAY generally cause loss of data[2].
Configuration units can be included at any aggregate IU level within the root IU to define the repeatable part of the configuration process. CUs are used to configure resources created by installing the IU and other resources on which the IU is dependent for being usable.
Resources created by installing an IU may be configured by CUs targeted to the same hosting environment where the IU was deployed, or by CUs targeted to resources that were created by the IU install process (see deployed targets in section 5.6.4).
When Configuration Units (CU) are defined in an aggregate IU, that IU cannot be considered Usable before the associated configuration have been applied. However, it SHOULD be possible to apply all configuration units at the end of the Create or Update process, when all the InitConfig and Migrate artifacts have been processed.
See Section 12.5.1 for a motivation of the above rule in a scenario where multiple chained dependencies need to be installed during an Update.
Configuration units are applied the first time during the InitialConfig operation. In this case, configuration units SHOULD be applied after all InitConfig artifacts for all SIUs in the whole root IU have been processed, without requiring the explicit invocation of a separate Configure operation to apply the configuration units.
Configuration units can be successively processed multiple times by invoking the Configure operation to change (or to re-apply) the current configuration.
Consistently, configuration units are applied during the Migrate operation. These configuration units SHOULD be applied after all Migrate artifacts, without requiring the explicit invocation of a separate Configure operation.
Only the new CUs introduced by the update or fix are applied during the Migrate process.
The Create operation leaves an aggregate IU instance directly in the Usable state if the IU descriptor specifies no Configuration Unit for that IU and SIUs under the aggregate specify no InitConfig artifacts. Similarly, the Update operation leaves the IU instance in the Usable state if no CUs are defined for the aggregate and SIUs under the aggregate specify no Migrate artifacts.
The Installable Unit Deployment Descriptor (IUDD) is the XML instance document defining a root IU. The IUDD defines a single instance of the iudd:rootIU element.
A number of attributes must be specified for the root element iudd:rootIU in order to make it possible to locate the schema files. The following XML fragment illustrates these attributes for a simple root IU whose content is targeted exclusively at the operating system hosting environment:
<?xml version="1.0" encoding="UTF-8"?>
<iudd:rootIU xmlns:iudd="http://www.ibm.com/namespaces/autonomic/solutioninstall/IUDD" xmlns:sig="http://www.ibm.com/namespaces/autonomic/solutioninstall/Signatures" xmlns:OSRT="http://www.ibm.com/namespaces/autonomic/OS_RT"
xmlns:xsi="http://www.w3.org/2001/XMLSchema-instance" xsi:schemaLocation="http://www.ibm.com/namespaces/autonomic/solutioninstall/IUDD iudd.xsd "
IUName="MyRootIU" targetRef="MyTargetOperatingSystem">
The name prefix (xmlns:prefix) and schema location (xsi:schemaLocation) are already specified in the main schema file for all the referenced schema files except signatures.xsd and do not need to be specified in the instance document. The prefix and schema location attributes for signatures.xsd need to be specified in the instance document, if the latter includes signatures information.
OSRT is the prefix for the namespace xmlns:OSRT defining operating system resource types. Other namespaces are defined in the resourceTypes.xsd schema file. One or more of these namespaces may need to be added if the topology includes target resources of the corresponding type.
Schema diagrams are included in the following sections to support the description of elements defined in a schema type. These diagrams only show XML schema elements; they do not include a graphical representation of XML schema attributes. The latter are described in the text. The following graphical conventions are used in these diagrams:
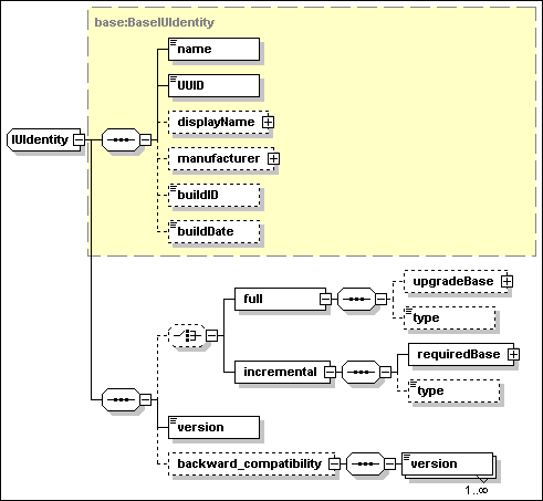
The identity element is required for any installable unit. The element is an instance of base:IUIdentity, which is illustrated by the following diagram.

·
UUID
[type=base:UUID]
UUID is a REQUIRED element. A unique identifier for the IU type is
provided by the union of the UUID and version values.
The UUID type is defined to be compatible with existing standards
dictating the generation and string representation of universal
identifiers. The schema required representation of the UUID is by a
hexBinary XML type of length=16-octets (32 chars). Two categories
of generation algorithms have been considered, which both generate
a 16-byte binary UUID. The first category includes the ISO
compliant algorithms based on the use of IEEE 802 identifiers (MAC
address) for the “space” part, e.g. the DCE-RPC UUID
generator. The second category includes algorithms that make no use
of the MAC address.
Note: the hyphenated string version of the UUID specified by the
ISO standard cannot be used as a value of the base:UUID type. The
value must be obtained as the 16-octects hexadecimal representation
of the binary value (no hyphenation).
·
name
[type=token]
This is a REQUIRED element: both name and
UUID MUST be specified. The value is an internal, not
language sensitive name of the software component represented by
the IU. A name is needed for the following non exclusive
uses:
· Some implementations of a hosting environment[3] MAY NOT support UUIDs. However, since both name and UUID are always available it is not necessary to use multiple IU definitions to deploy the same IU on different hosting environments.
· The IU MAY be installed on a system and be registered in a legacy registry of installed software by some printable name. This element could specify the same printable name in the IU XML descriptor, thus making it possible to identify an instance found in the legacy registry as an instance of the same IU.
· A system providing life-cycle management of installable unit descriptors, e.g. an IUDD library system, needs to provide means by which an installable unit can be referred to by a user-friendly name. As an example: when creating a new version of an existing installable unit, a developer may need to retrieve the UUID of the base version. The base application can be retrieved by searching the library system with the user-friendly name.
·
One
may need to search for different products that have different UUID
yet are all members of a product family. For example, assuming
“MyProduct” version 10 does not declare backward
compatibility with “MyProduct” version 3 the two MAY
have different UUID values (see 5.1.1 below) . A management
application may need to locate all instances of
“MyProduct”, regardless of version. This can be
achieved by a name search if the name of both versions contains a
common sub-string.
·
displayName
[type=base:DisplayElement]
This OPTIONAL element
associates text labels and a description with the corresponding IU.
See Section 17 for a general description of display elements and
their localization.
·
manufacturer
[type=base:DisplayElement]
This OPTIONAL element
specifies the name and description of the IU manufacturer. See
Section 17 for a general description of display elements and their
localization.
·
buildID
[type=token]
This OPTIONAL element is provided to allow
a correlation to a build identifier used in a vendor-specific build
process.
·
buildDate
[type=dateTime]
This OPTIONAL element contains the
build date for the installable unit.
·
version
[type=vsn:VersionString]
This element defines the
IU version. The version value is a string composed of up to four
parts, according to a Version.Release.Modification.Level (V.R.M.L)
scheme. The first and second parts are required
(Version.Release). XML types used in this specifications for
version data are defined in Appendix H.
·
backward_compatibility
[anonymous type – sequence of
vsn:VersionString]
This element defines a sequence of
version elements, each one for a previous version of the same
component, that the current one declares to be backward compatible
with. These previous versions relate to the same UUID: it is not
possible to specify backwards compatibility to a different UUID.
Backwards compatibility implies that any dependency on version
“X” of component “B” stated by a component
“A” CAN be satisfied by a version “Y” of
component “B” that exists in the system if version
“Y” is declared to be backward compatible with version
“X”.
At least the first two parts of the version MUST be specified in
each of these elements. When some of the trailing version parts in
the value of one of these elements are omitted, the IU being
defined is assumed to be backward compatible with any possible
version matching the parts which are specified.
·
full
[anonymous type]
The presence of this element indicates
that the IU can be used for creating a new instance. The OPTIONAL
specification of a upgrade base indicates that it can be used also
as an update to an existing IU instance. See Section 11.
·
incremental
[anonymous type]
The presence of this element indicates
that the IU can only be used as an update to an existing IU
instance. See Section 11.
A new version of an existing installable unit that maintains compatibility to a previous version and that is eligible to satisfy dependencies originally stated for that previous version MUST have the same UUID. In that case, the backward_compatibility element of the IU identity is used to formally declare the backward compatibility with one or more previous versions.
An installable unit that does not retain full backward compatibility with a previous version, MUST still retain the same UUID of a previous level if it can install as a full or incremental update on top of that level.
A new UUID SHOULD be created when the component is first created or in case the component is broken apart and pieces used to reconstruct something different.
A new UUID MAY be also created for a new version which breaks backward compatibility with and cannot be installed as an upgrade to the previous version.
The following XML fragment illustrates the elements of IU identity.
<identity>
<name>Human readable name, possibly used in a native registry</name>
<UUID>12345678901234567890123456789012</UUID>
<displayName>
<defaultLineText key="ST_01">Line text about package</defaultLineText>
<defaultText key="LT_01"> Paragraph text about package</defaultText>
</displayName>
<manufacturer>
<defaultLineText key="ST_02">ACME Software</defaultLineText>
<defaultText key="LT_02">The true ACME Software</defaultText>
</manufacturer>
<buildID>1234XYZ</buildID>
<buildDate>2001-12-31T12:00:00</buildDate>
<version>1.1</version>
<backward_compatibility>
<version>1.0</version>
</backward_compatibility>
</identity>
A temporary fix is an installable unit that is not part of the normal sequence of released versions, although it has a definition similar to that of an ordinary IU. In particular, the identity of a fix is defined by the base:FixIdentity type, illustrated by the following diagram. This type and base:IUIdentity are both derived types of base:BaseIUIdentity. Therefore, a fix repeats the definition of the following elements described in the previous section (the name and UUID elements identify the installable unit to which the fix is intended to be applied)
· name
· UUID
· displayName
· manufacturer
· buildID
· buildDate

Additional elements of the fix identity are described below.
·
incremental/requiredBase
[type=base:RequiredBase]
This is a REQUIRED element
specifying the range of versions (minVersion and maxVersion
elements, both instances of vsn:VersionString) to which this fix
can be applied.
·
fixName [type=NCName]
This is a REQUIRED element
specifying the fix name. This name MUST be unique among all fixes
that apply to installable units with the specified UUID.
·
fixType [anonymous type]
This is an OPTIONAL
element, used to categorize the fix. See Section 9.2.
·
fixDependencies [anonymous type]
This is an
OPTIONAL element, used to express dependencies (pre-requisites,
co-requisites and ex-requisites) among fixes that could be applied
to the same IU instance. This element can only be specified for an
IU deployed to a single target (SIU or CIU). See Section 9.2.
A root installable unit describes a complete “unit of manufacture”, as shipped by the installable unit developer. There is exactly one root IU in an installable unit descriptor.
A root installable unit is a derived type of iudd:AggregatedInstallableUnit, which in turn is a derived type of siu:InstallableUnit. The relationships between these two types are illustrated in the following diagram.

The base type – siu:InstallableUnit – includes a definition of the IU via the group siu:IUorFixDefinition – this can select different contents depending on whether this is an ordinary IU of a temporary fix – and the group base:Variables. A key element in the first group is the IU identity whose elements are described in sections 5.1 and 5.2. Other elements of an IU definition are covered in Section 9 (Software Smallest Installable Unit). Variables are covered in section 8 (Variables, Expressions and Conditions).
The AggregatedInstallableUnit type defines the base content of the root IU, as a set of installableUnit elements. Each element is an instance of type iudd:ConditionedIU, described in Section 6, and may represent any of the following:
· An inline IU aggregate, i.e. a Solution Module (SM) or Container Installable Unit (CIU), respectively described in Sections 6.1 and 6.4.
· An inline leaf node, i.e. a Smallest Installable Unit (SIU) or a Configuration Unit (CU), respectively described in Sections 9 and 10.
· A bundled referenced IU, described in Section 6.2.
· A federated IU, described in Section 6.3.
The other top-level elements of the RootIU type are illustrated in the following diagram.

A root installable unit has the following attributes:
·
IUName [type=ID]
A REQUIRED IUName, which uniquely identifies the IU within the
scope of the descriptor. The value MUST be unique within the
descriptor.
·
targetRef [type=IDREF]
An OPTIONAL targetRef
attribute which if specified MUST refer to one of the targets
defined in the topology. When specified, this attribute implies
that all installable units defined within this root IU MUST be
deployed onto the same target. Consistently with this declaration,
all the installable units that are part of the the root IU MUST
specify the same target.
·
language_bundle [type=token]
An OPTIONAL
attribute which has a default value of “iudd_bundle”.
This is used for the localization of display elements. See Section
17.
A root installable unit has the following elements:
·
selectableContent [anonymous type]
This element
defines the selectable content of the root IU as a set of
installableUnit elements. These are instances of
iudd:ConditionedIU. The inclusion of installable units defined as
part of the base content is determined by the associated
condition. The inclusion of installable units defined by this
element is also dependent on the selection of features. See Section
5.4.
·
features [anonymous type]
The set of features that may be selected. See Section 5.4.
·
rootInfo [anonymous type]
The rootInfo element, which describes the product or offering
contained in the root IU. See Section 5.5.
·
customCheckDefinitions [anonymous type]
The set of custom checks that is used within the root IU and its
embedded (inline) installable units. Custom checks use artifacts
that can be executed on a target (e.g. an operating system) to
check dependencies that are not defined in this schema. See Section
7.3.8.
·
topology [anonymous type]
The target topology onto which the installable unit is to be
deployed. The target topology consists of a set of target
definitions, covering both targets that must be there before the
root IU can be installed, and targets that may be installed as part
of the install of the root IU. See Section 5.6.
·
groups [anonymous type]
The installation groups that the product or offering supports, and
the default installation group that should be selected if no other
selection is made. An installation group defines a set of features
that should be installed together. See Section 5.4.
·
requisites [anonymous type]
The bundled requisite IUs that are shipped with the root IU. These
are referenced IUs that may be used to satisfy unmet dependencies.
See Section 5.7.
·
files [anonymous type]
The set of files that comprise the root IU. These files are given a
file ID by which they can be referenced within the root IU and are
subject to integrity checks. Each file ID MUST be unique within the
root IU. See Section 5.8.
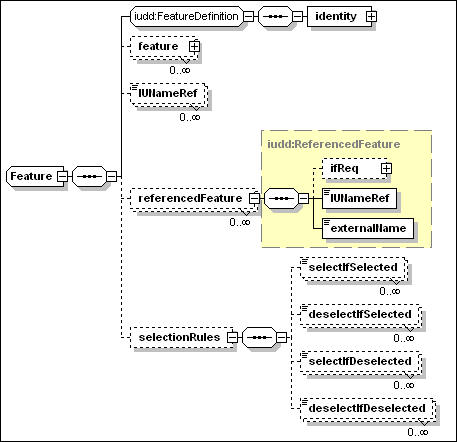
Features provide the means for external (e.g. user) selection of the installable units within the root IU. This is in contrast to conditions, which filter what is installed based on environmental properties.
Installation groups provide a means of specifying recommended selections of features, for example tailored to a particular use, user role or resource constraints. An example of a set of installation groups might be “Custom”, “Typical” and “Full”. An installation group specifies which features the user is able to select from, and which features are selected by default. Optionally, a default installation group can be specified.
Features may be specified as the target of dependency checks. They are identified by a feature name that is unique within the root IU.
|
|

The diagram above illustrates how features are used. The root IU contains IUs, which are partitioned into base content (always installed) and those IUs that are selectable via features. Features contain subfeatures and/or selectable content. The selectable content can be shared between multiple features, but subfeatures are not shared. The features must select the top-level of the content: they cannot arbitrarily select subtrees.
Referenced IUs also contain features, and the aggregating IU needs to specify what features within these referenced IUs should be selected. There are two mechanisms for doing this. First, the referenced IU definition may specify an installation group and may also specify explicit selections within the referenced IU. This will establish the features in the referenced IU that are to be installed when that referenced IU is selected. Second, individual features may federate features within a referenced IU. This will cause the selection of that feature if it is not already selected. Further, it will associate the lifecycle of the referenced feature with the feature federating it, so that if the federating feature is uninstalled and the referenced feature is no longer used, it may also be uninstalled.
The selection of features is controlled as follows:
· As previously identified, what the user can select and the default selections are set via installation groups.
· Some features are identified as “required”. These features are always selected if their parent is selected (a top-level required feature is always selected).
· Features may identify the following selection constraints on other features:
o Select if selected
o Deselect if selected
o Select if deselected
o Deselect if deselected
· Referenced features may express a set of “ifreq” relationships to other features. The referenced feature is only selected if at least one of its “ifreqs” is satisfied. If an “ifreq” is subsequently installed, any features previously selected but not installed because of the “ifreq” should now be installed.
The following illustrates how features and installation groups may be used, e.g. during an interactive install.
If the root IU defines installation groups, the user is presented with the set of installation groups to choose from. If a default installation group is specified, this indicates the initial selection that should be presented. If no installation group is defined, the user may select from any of the features.
Each defined installation group indicates the set of default feature selections, and indicates whether the user can change the selection.
Within an install group, a feature’s selection can be specified as “not changeable”. This means that the selection state of the feature is determined entirely by internal selection rules, and not by user selection. In this case a user should not be allowed to change the feature’s selection state.
The user selects a single install group, and then makes selections from the offered features.
When the user had made their selections, the install program will determine which IUs are to be installed. This will consist of the base content, plus all IUs that are federated by the selected features, plus the IUs that are selected in referenced IUs through the referenced IU definition (see below) or through feature references. These IUs are then filtered based on any conditions: only IUs with no condition or a condition that evaluates to true will be installed.
The features to be selected in referenced IUs are determined as follows:
· An explicit install group can be specified. If so, this install group specifies the default selections.
· If no explicit install group is specified, the default install group specifies the default selections.
· If no explicit or default install group is specified, no features are selected for the referenced IU (unless referenced feature definitions are specified in the root IU, see below).
· Further explicit feature selections can be specified in the referenced IU definition. These are in addition to the selections in the install group. They are not subject to any constraints specified in the install group.
Features selected by feature references are then selected in addition to the selections specified in the referenced IU definition.
Feature selection is illustrated in the example in Section C.
Install group and features selections determine the set of IU that are being installed, but not the order in which these are installed, which is determined by the IU hierarchy, sequence numbers and intra-IU dependencies.
Install group selections and feature selection rules are provided for use by install programs and their implementation is OPTIONAL. It is the responsibility of those components to determine the appropriate behavior if the constraints are violated (e.g. ignore, warn, error).
A feature definition includes the following attributes:
·
featureID [type=ID]
This REQUIRED attribute
provides a unique identifier to reference the feature
definition within the root IU. The value MUST be unique within the
descriptor.
·
required [type=boolean]
If this OPTIONAL
attribute is true, then the feature is always selected if it is
either a top-level feature, or if its parent feature is
selected.
·
type [type=iudd:FeatureType]
The type of this
OPTIONAL attribute is defined as a union of the XML type NCName and
iudd:StandardFeatureType. Therefore, a user defined feature type
can be specified as an NCName value. “Documentation”,
“Language” and “Samples” are the standard
enumerated values defined in iudd:StandardFeatureType.
A feature definition includes the elements illustrated in the following diagram.

·
identity [anonymous type]
This is an instance of
a type containing the following elements
o
name [type=token]
This is a name by which the feature can be registered, and by which
it is possible to reference the feature from an external
descriptor. The value MUST be unique among features defined within
the same root IU.
o
displayName [type=base:DisplayElement]
This OPTIONAL element may be used to associate a language sensitive
name and description to the feature. See Section 17.
·
feature [type=iudd:Feature]
Zero or more feature
elements can be specified, each one describing a child feature. The
parent-child relationship between two features implies that
children SHOULD NOT be selected when their parent is
selected.
·
IUNameRef [type=IDREF]
Zero or more IUNameRef
elements, each one selecting a top-level IU defined as part of the
root IU selectable content.
·
referencedFeature
[type=iudd:ReferencedFeature]
Zero or more
referencedFeature elements, each one referencing a feature within a
referenced IU. See Section 5.4.2.
·
selectionRules [type=anonymous]
Zero or more
selection rules. Each selection
rule identifies the feature name of a different feature within the
root IU, which is the subject of the rule. The possible rules
are:
o
SelectIfSelected
[type=IDREF]
The specified feature is selected if this feature is
selected.
o
DeselectIfSelected [type=IDREF]
The specified feature is deselected if this feature is
selected.
o
SelectIfDeselected [type=IDREF]
The specified feature is selected if this feature is
deselected.
o
DeselectIfDeselected [type=IDREF]
The specified feature is deselected if this feature is
deselected.
A referenced feature is illustrated in the diagram below:

A “referenced feature” defines a selection of a feature in a referenced IU or in a federated IU. A referenced feature has the following elements:
·
IUNameRef [type=IDREF]
This REQUIRED element is
the identifier of the referenced or federated IU that the feature
is in. See Section 6.2 for a definition of referenced IUs,
and Section 6.3 for a definition of federated IUs.
·
externalName [type=token]
The value of this
REQUIRED element MUST match the name of the feature, within the
referenced IU descriptor, that needs to be selected. When the
feature is associated to a federated IU, any IU check in the
federated IU definition MUST identify an IU that has a feature with
the specified name.
·
ifReq [type=anonymous]
This OPTIONAL element can be used to specify one or more
featureIDRef elements. These are references of the IDREF type to
features defined within the same root IU of the feature being
defined. The selection of any of the specified features in the root
IU causes the selection of the feature in the referenced IU. See
Appendix C for an example.
A referenced feature can only refer to a contained referenced IU or a federated IU that is part of the base or of the selectable content. A referenced feature CANNOT refer to a requisite IU.
The following rules apply to feature scope and override.
· Features are defined in the root IU. The featureID must be unique within the descriptor.
· Referenced IUs have a separate namespace for features. The only interaction is via the specification of the selection of a feature within a referenced IU or referenced feature.
An installation group is defined by the iudd:InstallationGroup type. A group defines a set of features that should be installed if the group is selected.

A group definition includes the elements illustrated in the above diagram.
·
groupName [type=token]
This REQUIRED element is the name of the group. The value MUST be
unique within the descriptor.
·
feature [anonymous type]
A list of the feature selections that are to be made as part of the
installation group. A feature selection element consists of the
following attributes:
o
featureIDRef [type=IDREF]
This must be a valid reference to a feature within the root IU.
o
selection [type=iudd:Selection]
This is an enumerated type whose possible values are
“selected” and “not_selected”. This
specifies whether the feature is to be selected or not selected by
default. The default value is “selected”.
o
selectionChangeable [type=boolean]
This element provides an indication of whether the selection is
externally changeable (e.g. by the user or automated install
program). If this indication is “false”, then the
feature’s selection is only changed in response to internal
selection rules. The default value is “true”.
·
description [type=base:DisplayElement]
This is an OPTIONAL human-readable description. See Section 17.
A feature may be a member of multiple groups, or of no groups.
Groups cannot contain other groups.
The use of installation groups is illustrated in the example in Appendix C.
The following rules apply to installation group scope.
· Groups are defined in the root IU. The value of the groupName element must be unique within the descriptor.
· Each referenced IU has a separate namespace for installation groups. The only interaction is via the specification of the selection of an install group within a referenced IU.
The following UML class diagram illustrates features and installation groups.

The information included by the rootInfo element are illustrated in the following diagram.

The rootInfo element is a container for the following elements
·
schemaVersion [type=vsn:VersionString]
This REQUIRED element identifies the version of the schema being
used.
·
build [type=nonNegativeInteger]
This REQUIRED element is the root IU build number. This identifies
the version of the descriptor separately from the version of
installable units that the descriptor contains. A newer (better)
descriptor may be the result of replacing the implementation of a
custom check (external command), or of identifying a previously
unrecognized dependency, or of relaxing a previous dependency
because testing has now validated a wider range of valid
environments. The IU developer is responsible for the decision as
to whether the changes should affect the versioning of an
installable unit.
·
size [type=integer]
This OPTIONAL element defines the size of the root IU, in
Kilo-bytes (1K=1024). The value indicates the amount of disk space
required to store the whole root IU including all descriptors,
files and referenced IUs, in an unpackaged form.
·
bigIcon [anonymous type]
This OPTIONAL element has a REQUIRED attribute – fileIdRef
– of IDREF type. This is a reference to a GIF file containing
a 32x32 icon associated with the root IU.
·
smallIcon [anonymous type]
This OPTIONAL element has a REQUIRED attribute – fileIdRef
– of IDREF type. This is a reference to a GIF file containing
a 16x16 icon associated with the root IU.
·
type [type=NCName]
This OPTIONAL element can be used to categorize the root IU. One
among the following enumerated values can be specified for this
element, to support a componentization strategy:
o Offering
o Assembly
o CommonComponent
The topology definition consists of a set of one or more targets and an OPTIONAL set of deployed targets. Both types define some manageable resource that play a role in the solution being deployed. In particular, deployed targets define resources that are created as a result of deploying the solution.

Targets are described in Section 5.6.1. Deployed targets are described in Section 5.6.4.
A target defines a manageable resource that plays a role in the solution. A target definition MAY be referenced within installable units because
· it represents the installable unit’s hosting environment, or
· it is the target of a property query associated to a variable definition, or
· it is the target on which a check must be performed, or
· it is one end of a binary relationship that must exist between two resources.
The target element is an instance of the iudd:Target type, illustrated in the following diagram.

A target definition is used to identify one or more instances of a given resource type based on scope, selection requirements and validation requirements. A target definition has the following attributes:
·
id [type=ID]
This REQUIRED attribute is used as an identifier for the target.
References to a target MAY be made from within the same root IU
descriptor or they MAY be made in a target map within
another root IU which the current one is contained (or federated)
by. Targets MUST NOT be referenced from referenced installable
units: a target map MAY be used to correlate between targets in
different root IUs. See 5.6.3 for a description of target
maps.
·
type [type=iudd:AnyResourceType]
This REQUIRED
attribute is used to specify the target resource type, e.g. an
operating system type, or a J2EE application server type. The type
of this attribute is defined as a union of the XML type QName and
rtype:RType. Therefore, a user defined resource type is specified
as a QName value. Standard enumerated values for this field are
defined in rtype:Rtype.
A target definition has the following elements:
·
description [type=base:DisplayElement]
This OPTIONAL element allows to associate text labels and a
description with the target. See Section 17 for a general
description of display elements and their localization.
·
scope [anonymous type]
This REQUIRED element identifies how to resolve the target
instances among the ones satisfying the selection
requirements (dependencies and relationships). One of the following
values can be specified (the default target scope value is
one):
o one – the target set MUST be resolved to a single instance;
o all – the target set MUST include every selected instance;
o some – the target set MUST include one or more selected instances.
If scope is one or some and there is more than one match, the deployment application MAY apply some pre-defined policy, select from matching targets based on validation dependencies or interact with the user to make the selection.
·
members [anonymous type]
This OPTIONAL element may be used to set the initial selection of
targets from the union of two or more other targets. The element
includes one or more member elements:
o
member [type=IDREF]
One or more member elements must be specified if the
members element is present. Each element is a reference to a
target that is part of the union being defined.
If any member elements are
present, then the selection dependencies apply only to the union of
the referenced target sets; the final target set SHALL not include
any additional targets (not part of the union) that might match the
selection dependencies. Referenced targets MUST be defined within
the same root IU.
Targets with members are useful when there are platform specific
components in the root IU and components that are platform
independent. As an example, the root IU may include versions
of a platform specific language interpreter for two different
operating systems, each one of the latter being represented by a
topology target. The root IU may also include an installable unit
for scripts that should be installed on instances of both operating
systems, on which the scripts can be run using the language
interpreter. The platform independent IU containing the scripts
could be conveniently associated to a new target which defines each
of the operating system targets as a member target.
·
checks [type=siu:CheckSequence]
The set of checks that SHOULD be performed on this target, and made
available for use in requirements specified on the target and
within any inline IU within the root IU. See Section 7.1 for a
definition of checks.
·
selectionRequirements [anonymous type]
This OPTIONAL element is used to specify the set of
selection requirements that SHOULD be used to select
resource instances in this target set. Requirements are described
in Section 7.2.
Selection requirements and the target scope attribute (one,
some orall) determine the set of instances, for a
logical target, that are expected to play the target’s role
in the solution. Examples: one instance of an operating
system with client runtime code installed to access a database; or
all J2EE application servers that are federated by a cluster
resource. A target scope of some implies that one or
more instances MUST be selected among the ones that satisfy the
selection requirements. When selection requirements are
omitted, the set of potential target instances is determined by the
target type and scope attributes.
Not all targets defined in the topology need to be resolved. As an
example, a target “T” may only be referenced as the
hosting environment of one feature that is not selected. An
implementation SHOULD be able to deploy the solution successfully
even if there are no instances satisfying the selection
requirements for target “T”. In general, an
implementation SHOULD only validate selection requirements for a
target that
o is the hosting environment of at least one IU in the base content, OR
o is the hosting environment of at least one selected feature, OR
o is referenced by checks (see Section 7.1) defined by one base IU or by a selected feature, OR
o is related (transitively) by relationship checks to one or more targets satisfying the previous criteria.
In particular, one or more member targets of a target “U” may be not resolved according to the above criteria. However, there MUST be at least one member target resolved if the target “U” itself needs to be resolved.
·
validationRequirements [anonymous type]
This OPTIONAL element is used to specify the set of
validation requirements that SHOULD be met by any target
instance that have been selected in this target set, in order for
the instance to function in the target’s role within the
solution. Requirements are described in Section 7.2.
A requirement MAY provide information that is needed to modify the
target so that the requirement can be met. Validation requirements
MAY be used to assist in further selection from the target set if
the scope is one or some.
Declaring a requirement in the validation group has a different
effect than declaring the same requirement in the selection group.
In particular the following conditions for install failure are
determined by the target’s scope and requirements:
o
Scope= “one”
Solution install fails if the selected target instance fails
to meet a validation requirement.
o
Scope= “all”
Solution install fails if any selected target instance fails
to meet a validation requirement.
o
Scope= “some”
Install fails on any selected target instance that fails to meet a
validation requirement. However, the solution can be successfully
installed if at least one target instance meets the
requirements.
·
targetMap [type=iudd:TargetMap]
This OPTIONAL element defines a correspondence between this target
and targets defined within referenced IUs. See Section 5.6.3.
The following rules apply to the visibility of target definitions:
· Targets and deployed targets are defined in the topology of the root IU and are available to be referenced by any IU in the package: each one of the targets and deployed targets that are referenced within an IU MUST be declared in the root IU topology.
· Targets and deployed targets MUST have a unique identifier (id) within the descriptor.
· Referenced IUs have a separate namespace for targets. The only interaction is via target maps.
Target maps provide a mechanism to map topology in the top-level root IU to targets into the topology of referenced IUs. A referenced IU MAY contain targets that are not contained in the aggregating root IU, and vice versa.
A selected target SHOULD satisfy the requirements specified in the topology, plus the requirements specified in any selected referenced IU for which a target map to the selected target has been specified. This applies recursively to any referenced IUs within the referenced IU.
The target map is defined within a given target element using the iudd:TargetMap type. The targetMap element has the following attribute:
·
IUNameRef [type=IDREF]
This REQUIRED attribute type identifies the referenced IU, within
the descriptor, that the map refers to.
A target map includes one or more instances of the following element:
·
externalName [type=NCName]
The value of this element must be identical to the target
identifier used in that referencedIU for the mapped target.
The following shows an example of using target maps. In this example, the containing root IU has a topology with only a single target (a J2EE application server). The root IU references two other root IUs (SM1 and SM2), which also have a target of the same type (J2EE Application Server) but which have used different names to refer to that target. When this root IU is deployed, the three targets tSvr, AppServer (in SM1) and tServer (in SM2) SHOULD all resolve to the same physical target.
<topology>
<target id="tSvr" type="J2EE Application Server">
<scope>one</scope>
<targetMap IUNameRef="SM1">
<externalName>AppServer</externalName>
</targetMap>
<targetMap IUNameRef="SM2">
<externalName>tServer</externalName>
</targetMap>
</target>
</topology>
The topology may include the definition of resources, including target hosting environments, that are created during the deployment of the IU, and do not already exist prior to deployment. This allows an IU to be targeted at a hosting environment that has not yet been created. In general, deployed targets are manageable resources that play a role in the solution and that MAY need to be configured using Configuration Units (CU).

Figure 7: Example of a deployed target – initial deployment
In the above diagram, a solution module (SM) consists of an SIU that deploys a hosting environment (J2EE Server), and then deploys a J2EE application into that server. The first step is to specify the initial required topology, which consists of a Linux operating system, and a relational database. The J2EE Server is to be installed into the operating system.
The second step is to specify the deployed topology which will be created by the first SIU, and into which the J2EE application will be deployed. The deployed target definition associates the J2EE server target with the SIU that instantiates the resource.

Figure 8: Example of a deployed target – deploying into the deployed target
Each deployed target definition is an instance of the iudd:DeployedTarget type. This type is illustrated in the following diagram.

A deployed target definition has the following
attributes:
·
id [type=ID]
This REQUIRED attribute is used as an identifier for the
target.
·
type [type=iudd:AnyResourceType]
This REQUIRED
attribute is used to specify the target resource type.
A deployed target definition has the following elements:
·
description [type=base:DisplayElement]
This OPTIONAL element allows to associate text labels and a
description with the target. See Section 17 for a general
description of display elements and their localization.
EITHER (element of a CHOICE)
·
IUNameRef [type=IDREF]
The value of this element is a reference to the IU within the root
IU that will deploy the target resource. The value MUST refer to
the IUName identifier of an IU specified within the base or
selectable contents of the root IU.
OR (element of a schema CHOICE )
·
targetMap [type=iudd:TargetMap]
This element maps the target to a corresponding deployed
target in a referenced IU. Target maps are described in Section
5.6.3.
The requisites element of the root IU identifies bundled requisites that are distributed with the root IU. Bundled requisite IUs are a form of Referenced IUs, see Section 6.2. Note that bundled requisites need to have targeting information, so that it is known where to install the individual SIUs. This means target maps need to be provided in the topology section, for the bundled requisites as well as the aggregated referenced IUs.
Figure 9: Federated and bundled requisite IUs
Figure 9 illustrates a bundled requisite IU, IU “C”, which may be used to satisfy the dependency expressed by IU “A.2”.
A bundled requisite IU can be used to create an instance satisfying the requirement of a contained IU (inline or referenced) or it can be used to create an instance of a federated IU.
In the first case, the bundled requisite IU is referenced via the canBeSatisfiedBy element in a software check or in an IU check within the contained IU. The created instance of the bundled requisite IU MAY be deleted, if it is not shared by other IUs, when the contained IU depending on that instance is deleted.
In the second case, the bundled requisite IU is used to create an instance of the federated IU, if one is NOT found. The created instance of the federated IU is meant to be a shared component and SHOULD NOT be deleted before all parent IUs are deleted.
In general, sharing of an IU MAY be limited by specifying the maximumSharing identity constraint in its definition. See Section 9.1.
The descriptor contains a definition for each file that needs to be available during deployment together with the root IU descriptor. Files in the following categories MUST be defined in this section of the root IU descriptor:
· A file containing the IU deployment descriptor (XML document) of a referenced (or requisite) IU.
· A file containing an artifact (descriptor) referenced in an SIU or CU definition. See Sections 9.3 and 10.1 for a description of artifacts.
· A file referenced within any of the above artifacts.
Multiple file elements can be specified within the files section. These are instances of the iudd:File type, illustrated in the following diagram.

A file element definition has the following attributes:
·
id [type=ID]
This REQUIRED attribute is used as a key to reference the file
element from other types. The value MUST be unique within the
descriptor.
·
compression [type=boolean]
An OPTIONAL
attribute specifying whether the file needs to be
automatically compressed during packaging and automatically
decompressed before use by actions (default is
“true”).
·
charEncoding [type=base:CharacterEncoding]
This is an OPTIONAL attribute. When specified it indicates that the
file contains text in the specified encoding. The code is
identified by the IANA character set name (http://www.iana.org/assignments/character-sets).
A file element definition has the following elements:
·
pathname [type=base:RelativePath]
This REQUIRED element provides the relative path of the file image
relative to a logical source as specified in the IU Package Format
specification (see [IUPACK]). This logical source is the same for
all files defined in the root IU.
·
length [type=integer]
A REQUIRED element specifying the length of the file image as
included in the root IU, in bytes. If the file compression
attribute is specified, this is the length of the compressed
image.
·
checksum [type=base:CheckSum]
A REQUIRED element specifying the checksum of the file image as
included in the root IU. If the file compression attribute is
specified, this is the checksum calculated on the compressed
image
Installable units can be aggregated in a tree-like hierarchy whose leaf nodes are Smallest Installable Units (SIU) and Configuration Units (CU). The following three aggregate types can be defined for installable units:
This IU aggregate type contains installable units that are associated to the same topology target. The whole CIU is deployed onto each instance of the target. Container Installable Units are defined in Section 6.4.
An independently packaged root IU may be aggregated within another root IU by a reference made in the aggregating root IU to the bundle file containing its deployment descriptor (IUDD). An independently packaged root IU is referred to in this specification as a referenced IU. Referenced IUs are described in Section 6.2.
A root IU may be shared by one or more root IUs, in which case it is referred to as a federated IU. This relationship is declared in the federating root IU by means of installable unit checks. Federated IUs are defined in Section 6.3.
The following restriction MUST be satisfied by all of the IU aggregates defined in this specification:
An IU aggregate MUST NOT have two children with the same UUID.
See Section 12.5.1 for a motivation of the above restriction.

A solution module is a type of aggregated installable unit, as described in Section 5.3. Specifically, it is a multi-target installable unit, and therefore SHOULD NOT specify a target reference. The structure of a solution module is illustrated in the above diagram.
Each installableUnit element contained in a solution module is an instance of the type iudd:ConditionedIU, illustrated in the following diagram.

These installable units are either targeted at a single hosting environment (SIU, CIU, containedCIU, federatedCIU, configurationUnit), or at multiple hosting environments (solutionModule, containedIU, federatedIU).
The installableUnit element [type=iudd:ConditionedIU] has the following attributes:
·
targetRef [type=IDREF]
This is an OPTIONAL attribute. If specified the value MUST refer to
one of the targets defined in the topology, see Section 5.6. The
targetRef MUST be specified if the aggregating IU is a multi-target
IU and the conditioned IU is a single-target IU (e.g. a CIU or a
referenced IU with a targetRef attribute on the root IU). If the
aggregating IU is a single-target IU then the targetRef attribute
MAY NOT be specified: if it is specified, it MUST have the same
value as the aggregating IU’s target.
·
condition [type=base:VariableExpression]
This is an OPTIONAL variable expression representing a condition.
The latter determines whether the installable unit should be
installed. The default is “true”. See Section 8.3 for a
description and syntax of conditional expressions.
·
sequenceNumber [type=nonNegativeInteger]
This OPTIONAL attribute can be used to control the order of
install. See Section 12.4.
Each installableUnit element [type=iuddConditionedIU] includes one (XML schema choice) among the following elements:
·
SIU [type=siu:SmallestInstallableUnit]
See Section 9.
·
CIU [type=iudd:ContainerInstallableUnit]
See Section 6.4.
·
containedCIU [type=iudd:ReferencedIU]
This is a single-target referenced IU. See Section 6.2.
·
federatedCIU [type=iudd:FederatedIU]
This is a single-target federated IU. See Section 6.3.
·
configurationUnit [type=siu:ConfigurationUnit]
This element defines a configuration unit. See Section 10.
·
solutionModule [type=iudd:SolutionModule]
This is a nested solution module definition.
·
containedIU [type=iudd:ReferencedIU]
This is a multi-target referenced IU. See Section 6.2.
·
federatedIU [type=iudd:FederatedIU]
This is a multi-target federated IU. See Section 6.3.

A referenced IU is defined by an instance of iudd:ReferencedIU, the type illustrated in the above diagram.
A referenced installable unit has the following attribute:
·
IUName [type=ID]
This is a REQUIRED attribute by which the installable unit MAY be
referenced within the root IU. The value MUST be unique within the
descriptor.
A referenced installable unit has the following elements:
·
fileIdRef [type=IDREF]
This element is REQUIRED. The value is a reference to the file that
contains the descriptor for the referenced installable unit.
·
parameterMaps [type=base:Maps]
This is an OPTIONAL element, defining a set of parameter maps. See
Section 6.2.1 for a definition of parameter maps.
·
featureSelections [anonymous type]
This is an OPTIONAL element, defining a set of feature selections.
It consists of the following elements:
o
externalInstallGroup [type=token]
This element is OPTIONAL. The value SHOULD match the name of an
install group in the referenced IU. If specified, this install
group specifies the initial selections for features within the
referenced IU. Otherwise, the default install group for the
referenced IU is used to determine initial feature selections. If
no explicit or default install group is specified, no features are
selected via group definitions.
o
featureSelection [anonymous type]
Zero or more instances of this element can be specified to provide
OPTIONAL further feature selections. Each selection identifies the
name of the feature in the referenced IU (externalName) and whether
it should be selected or not.
§
externalName [type=token]
This element is REQUIRED. The value SHOULD match the name of a
feature (name [type=token]) defined in the referenced IU.
§
selection [type=iudd:Selection]
This element is REQUIRED. This type allows to specify one of
the following enumerated values: “not_selected” and
“selected”.
·
additionalRequirements [anonymous type]
This element is OPTIONAL. It may be
used to specify additional requirements consisting of
solution-level checks and requirements that are to be applied in
addition to any checks and requirements defined within the
referenced IU, to the specified target. These MAY be used to
further constrain the use of an installable unit: for example to
restrict the install of a J2EE Server to use one specific database
product, where the J2EE Server may be capable of using multiple
database products. They MAY also be used to specify additional
resource requirements: for example, if a diskspace consumption
requirement of 100MB is specified within the referenced IU, and one
of 50MB is specified in the solution module, the overall
requirement for this IU in the context of the solution is 150MB.
These additional requirements do not override checks defined in the
referenced IU, so they MAY NOT be used to specify more permissive
checks. One or more instances of the following target element are
REQUIRED:
o
target [anonymous type]
This element has the following attribute:
§
targetRef [type=IDREF]
The targetRef of the target. This MUST correspond to the target
identifier of a target or deployed target defined in the
descriptor.
Each target definition has the following elements:
§
checks [type=siu:CheckSequence]
The set of checks to be performed on the target. See Section 7.1
for a definition of checks.
§
requirements [anonymous type] (sequence of
siu:Requirement)
The set of requirements to be met on the target. See Section 7.2
for a definition of requirements.
A parameter map maps one or more variables defined within the root IU to parameter variables of a referenced installable unit. Input parameters in the referenced IU that do not have a parameter map SHOULD be initialized with their specified default value. Parameter maps MAY be used to override these default values. These maps SHOULD NOT be used to override the value of queries or derived variables. The type defining maps – base:Maps – is illustrated in the following diagram.

Each map in the set includes the following elements to map a variable in this descriptor into a parameter defined within the referenced IU:
·
internalName [type=IDREF]
This element is REQUIRED. The value SHOULD be a reference to a
variable that is in scope, i.e. that is defined in a parent
aggregate of the referenced IU. See Section 8.1.7 for a definition
of variable scope.
·
externalName [type=NCName]
This element is REQUIRED. The value SHOULD match the name
attribute [type=ID] of a parameter variable defined in the
referenced IU. See Section 8.1.1 for a definition of parameter
variables.
The type base:Maps is also used in different contexts for mapping IUDD variables to artifact variables (see Section 9.5). For this reason the map element includes an attribute – direction – that can be used (only for check artifacts) to specify the direction of the mapping (“in” or “out”). Only the default value (“in”) is appropriate for a map appearing in the context of a referenced IU definition.
During install, if an IU is specified inline, a new dedicated IU instance will be created (unless it is an update or fix IU). However, for a referenced IU, a decision may be taken to share an existing IU instance. Such a shared referenced IU is known as a federated IU. A federated IU is defined by a set of IU checks that identify acceptable IU instances, and a bundled requisite IU (see Section 5.7) that may be used to create a new instance if an existing IU cannot be selected.
Figure 9 illustrates the different possible relationships between contained IUs. IUA.1 and IUA.2 are inline and have HasComponent relationships (i.e. dedicated containment) with SM A. IU B is a referenced IU (i.e. it has its own root IU and a separate descriptor), and also is dedicated. However, IU E is a referenced IU which is federated, which means it may be shared by an external IU such as SM D.
A federated IU is defined by an instance of iudd:FederatedIU, the type illustrated in the following diagram.

A federated installable unit has the following attribute:
·
IUName [type=ID]
This is a REQUIRED attribute by which the installable unit MAY be
referenced within the root IU. The value MUST be unique within the
descriptor.
A federated installable unit defines a set of one or more alternatives:
·
alternative [anonymous type]
This element is REQUIRED. Each alternative is defined by an IU
Check:
o
iu [type=base:IUCheck].
See Section 7.3.6 for a definition of IU checks. Within each IU
Check, the canBeSatisfiedBy element SHOULD be specified and MUST
identify the bundled requisite IU (declared within the requisites
element of the root IU) that could be installed to satisfy the
dependency. The IU Check SHOULD NOT specify the iuNameRef or
featureIDRef elements, which are intended for specifying
internal dependencies.
The reason for allowing a federated IU definition to contain multiple alternatives (IU checks) is that the required function may be provided by each member of a family of related software units that do not share the same UUID (e.g. different types of database).
Two alternatives in the same federated IU definition SHOULD NOT specify the same UUID. This restriction is necessary to support the deployment of bundled updates to federated IUs (see Section 11.4).
Note that contained IUs (referenced or in-line) are dedicated components of their aggregating IU and SHOULD be deleted when their parent is deleted. By contrast, federated IUs are shared components and SHOULD NOT be deleted before all dependent IUs are deleted.
When a referencedFeature definition in a feature that is selected, see Section 5.4.2, is associated to the federated IU, an IU instance MUST have the referenced feature installed to be eligible to satisfy an IU check in the federated IU definition. An implementation MAY deploy a new instance if a bundled requisite is specified via the canBeSatisfiedBy element. Some implementations MAY support installing the requested feature on an existing instance that does not have the feature installed.

The above diagram illustrates elements that are defined in a container installable unit.
The container installable unit is a type of AggregatedInstallableUnit targeted at a single hosting environment. A definition of iudd:AggregatedInstallableUnit is provided in Section 5.3.
A CIU has the following attributes:
·
IUName [type=ID]
This is a REQUIRED attribute by which the installable unit MAY be
referenced within the root IU. The value MUST be unique within the
descriptor.
·
hostingEnvType [type=siu:AnyResourceType]
This OPTIONAL attribute is used to specify the resource type of the
IU target hosting environment, e.g. an operating system type, or a
J2EE application server type. When specified, the value of this
attribute SHOULD be equal to the one specified by the type
attribute of the target onto which the CIU is installed, see
Section 5.6.1. The latter is identified by the targetRef attribute
of the installableUnit element defining this SIU. The IU hosting
environment type may be specified to exploit tooling support for
the prevention of incorrect targeting. The type of this attribute
is defined as a union of the XML type QName and rtype:RType.
Therefore, a user defined resource type can be specified as a QName
value. Standard enumerated values for this field are defined
in rtype:Rtype. When specified, the value of this attribute
SHOULD be equal to the one specified by the hostingEnvType
attribute of the target onto which the CIU is installed. The latter
is identified by the targetRef attribute of the installableUnit
element defining this CIU. by the target identified hosting
environment.
Each installableUnit element in a CIU [type=iudd:ConditionedIU] includes one (XML schema choice) among the following elements:
·
SIU [type=siu:SmallestInstallableUnit]
See Section 9.
·
CIU [type=iudd:ContainerInstallableUnit]
See Section 6.4.
·
containedCIU [type=iudd:ReferencedIU]
This is a single-target referenced IU. See Section 6.2.
·
federatedCIU [type=iudd:FederatedIU]
This is a single-target federated IU. See Section 6.3.
·
configurationUnit [type=siu:ConfigurationUnit]
This element defines a configuration unit. See Section
10.
A CIU CANNOT aggregate any of the multi-target installable unit types defined by iudd:ConditionedIU, although this restriction is not enforced in the schema.
The schema group siu:SingleTargetIUDefinition defines additional elements that are common to a CIU and an SIU, namely signatures, checks and requirements. Checks and requirements are defined in Section 7, while signatures are defined in Section 13.
Section B contains an example of a container installable unit.
A dependency is a requirement that a certain condition involving the results of one or more elementary checks, SHOULD be satisfied by a topology resource. A software dependency is a requirement involving the result of a software check, defined in Section 7.3.5, or the result of an installable unit check, defined in Section 7.3.6.
The IUDD schema implements a separation between checks and requirements. The result of a check may provide information about the target resources and can be used to condition the install behavior. Requirements formally express one or more alternatives, one of which at least MUST be satisfied in order for a component to be installable, or for an instance of a target to be selected.
Checks and requirement MAY be used within the topology target definition, illustrated in Section 5.6.1, to declare the selection and validation criteria for the target.
Single-target installable unit definitions, see Section 6.4, MAY include checks and requirements defining the IU specific dependencies. These MAY be dependencies on the installable unit hosting environment target as well as any other target defined by the topology.
Requirements MAY also be defined for contained referenced IUs, see Section 6.2, in addition to those already stated in the referenced IU descriptor.
Federated IU definitions, see Section 6.3, can be also regarded as one form of software dependency.
The checks that can be performed on a single managed resource fall into several categories, each of which might imply different processing. These distinctions are made either because different syntax or semantics apply to specifying or evaluating the requirement or because greater flexibility is offered to deployment application implementers to evaluate the requirement efficiently. For example, the capacity requirements are distinguished because they require specific syntax and processing.
The IUDD supports the following check categories:
· Capacity of the hosting environment. This specifies a property of the hosting environment, such as processor speed, which must satisfy some minimum or maximum value.
· Consumable resource allocation of the hosting environment. This specifies resource, such as diskspace, that will be consumed by the installation. Consumption requirements are cumulative across installable units.
· Value of named instance properties of the resource or hosting environment.
· Version of a resource, such as the resource software version or the version of a supported standard or protocol.
· Software requirements: the minimum and/or maximum version of software identified by its UUID or name.
· Installable unit requirement: the installation of a given IU.
· Relationship with another manageable resource.
· Custom checks, involving the execution of a defined command.
The element checks is an instance of siu:CheckSequence. It can appear in a target definition (see Section 5.6.1), in a single-target IU definition (see Section 6.4) or in a referenced IU definition (see Section 6.2). The type siu:CheckSequence is defined in the following diagram.

Different types of check are supported: capacity, consumption, property, version, software, iu, relationship and custom.
All checks extend the base class base:Check, which has the following two attributes that can be specified for all types of checks:
·
checkId [type=ID]
This REQUIRED attribute associates a symbolic name to the check.
This name is used to refer to the result of the check in conditions
and requirements. The value MUST be unique within the
descriptor.
·
targetRef [type=IDREF]
This OPTIONAL attribute MAY be used to specify the target on which
the check MUST be performed. If specified, the value MUST
correspond to the target identifier of a target or deployed target
within the descriptor.
The targetRef attribute SHOULD NOT be specified for a check within
a topology target definition, or for a check within a referenced IU
definition. If it is specified, it MUST identify the target in
which the check definition itself is included.
If the targetRef attribute is NOT specified for a check within a
CIU, SIU or federated CIU, the check is applied to the target
hosting environment of the single-target IU in which it is
defined.
The targetRef attribute specified for a check within a
single-target IU MAY identify a target, TR that is
different from the IU target hosting environment, THE.
In that case, either the scope of the target TR is
“one” or there MUST be one or more relationships
connecting the IU target THE to the check target
TR, so that it is possible to navigate these
associations from any instance of THE to a single
corresponding instance of TR.
The following element is defined in the base
class base:Check. It MAY be specified for all types of checks:
·
description [type=base:DisplayElement]
This OPTIONAL element allows to associate text labels and a
description with the check. See Section 17 for a general
description of display elements and their localization.
The supported checks are described in Sections 7.3 (Built-in checks) and 7.3.8 (Custom Check).
The result of a check is a boolean value, which can be referenced through the checkId attribute of the check. References to the results of a check are made in the declaration of requirements, see Section 7.2 below, and in variable expressions, see Section 8.2. In particular, a token $(<checkId>) appearing in a variable expression is expanded to the boolean value (“false” or “true”) that is the result of the check identified by the “<checkId>” value of the checkId attribute.
The following rules apply to check scope.
· Each one of the checks that are referenced within an IU MUST be declared.
· Check identifiers (checkId) MUST be unique within the descriptor. They MUST also be distinct from any variable name within the descriptor.
· The scope of a check defined in an IU is that IU, and any inline IUs that the IU contains.
· The scope of a check defined on a target is any IU that is targeted at that target. Variables definitions at the root IU level MAY reference checks defined within a topology target.
· Referenced IUs have a separate namespace for checks.
Requirements are specified by identifying a set of combinations – alternatives – that must be met. The requirement is met when any one of these alternatives is met. Alternatives MAY have a priority indicator, so that it is possible to determine which alternative should be preferred when more that one satisfies the associated checks.
The check combination in each alternative consists of a list of the checks to be performed, which may either be specified by reference, or included in-line. All of the items in the check combination MUST be satisfied.
Each check reference SHOULD correspond to a check that is within scope, i.e. it is defined within the installable unit on which the requirement is specified; or within a parent of that installable unit; or within the target of the installable unit. It SHOULD NOT refer to a check in a sibling installable unit.
Multiple requirements can be defined within an IU or a target definition. The following criteria determine whether a requirement should be declared in an IU or in the target where the requirement needs to be satisfied:
· A dependency that originates from the IU should usually be declared in the IU and not in the target. This approach implies that if the IU is not selected for install, the requirement is not imposed, and a larger set of target instances is potentially eligible to install the remaining selected IUs.
· A requirement that is not specifically associated to a software unit but is needed for the target to act its role in the solution should be declared at the target level. See 4.5.1 for a discussion of the different implications to declare a requirement for target selection versus validation.
Each requirement element is an instance of siu:Requirement, the type illustrated in the following diagram.

Each requirement defines one or more alternatives. At least one alternative MUST be satisfied for the requirement to be met. The failure to meet any requirement that is defined by an IU should cause the IU installation to fail before any action (with the exception of actions implementing custom checks) is executed, unless the install program provides some form of override policy. Both requirements and alternatives have a description element that can be used to document the intent of the declaration. See Section 17 for a general description of display elements and their localization.
Within each IUDefinition, requirements are specified against targets and installable units using the schema described above. Further solution-level requirements may be specified against referenced IUs, see ReferencedIU in Section 6.2.
A requirement element has the following attributes:
The assumed default, if the attribute is not specified, is “Create”.
Each alternative element, within a requirement, is an instance of an anonymous type with the following attributes:
Each alternative is defined as a sequence of elementary checks whose result should be verified. An elementary check is either referred to by the checkItem element – a reference to a predefined elementary check – or it can be defined inline by the inlineCheck element.
A checkItem element within an alternative has the following attributes:
An inlineCheck element MAY be used instead of a checkItem element to specify a check directly within an alternative element, that is, without making a reference to the result of an elementary check that is performed before the user input phase. An inline check is an instance of the group siu:CheckChoice, already illustrated in Section 7.
Uses relationships are established during install between an installable unit and other software instances that constitute a dependency for the IU being created. The specific relationships being established are determined by the software dependencies declared in the IU and, in case of requirements with multiple alternatives, by the specific alternatives that were satisfied. The alternatives that are satisfied at install time SHOULD continue to be met during the unit’s life-cycle.
The following example assumes that an SIU, implementing a JAVA application can be installed on an operating system hosting environment with the following requirements:
· The SIU requires 0.2 Megabytes (200K) of free disk space.
· The SIU requires 30 Megabytes of temporary disk space during install.
· The OS must be Windows 2000, Windows XP or Red-Hat Linux.
· The required maintenance levels of Windows 2000 are SP3 or SP4.
· Only the versions of Red-Hat between 7.2 and 8.1 are supported
· The DB2 product is required.
· The SIU supported DB2 version on Linux is 7.1
· On Windows the SIU supports any version of DB2 between 7.2 and 8.1.
· The ACME Personal Firewall product (any version) must not be installed on Windows.
· The SIU requires an IBM JRE.
· The SIU supported JRE version on Linux is 1.3.1.
· On Windows the SIU supports any JRE version between 1.3.1 and 1.4.1.
· On Windows the SIU requires the IBM GS Kit v 4.0.2.49.
Here, for the sake of explaining custom checks, it is assumed that the last requirement cannot be checked by means of a standard software check. This situation might occur when the pre-requisite software is deployed by a native installer and signature information is not available to perform its discovery.
Let us assume that the following elementary checks, each one
referred to by the value of the checkId attribute, are defined
within the checks section of the IU definition.
· Permanent_Disk_Space_Check
· Temporary_Disk_Space_Check
· Windows_2000_Check
· Windows_XP_Check
· Linux_Check
· Windows_version_Check
· Linux_version_Check
· db2_for_Windows_Check
· db2_for_Linux_Check
· JRE_for_Windows_Check
· JRE_for_Linux_Check
· ACME_Personal_Firewall_Check
· GSK4_WinRegistry_Check
Each one of these checks is explained in detail in the following sections. With the above assumptions, the SIU requirements can be expressed by the following XML fragment.
<requirement name="Install_Common_Reqmt" operations="Create">
<alternative name="isDiskSpaceAvailable">
<checkItem checkIdRef="Permanent_Disk_Space_Check" />
<checkItem checkIdRef="Temporary_Disk_Space_Check" />
</alternative>
</requirement>
<requirement name="Install_Dependencies_Reqmt" operations="Create">
<alternative name="isLinux_Alternative_Satisfied">
<checkItem checkIdRef="Linux_Check" />
<checkItem checkIdRef="Linux_version_Check" />
<checkItem checkIdRef="db2_for_Linux_Check" />
<checkItem checkIdRef="JRE_for_Linux_Check" />
</alternative>
<alternative name="isWin2K_Alternative_Satisfied">
<checkItem checkIdRef="Windows_2000_Check" />
<checkItem checkIdRef="Windows_version_Check" />
<checkItem checkIdRef="db2_for_Windows_Check" />
<checkItem checkIdRef="JRE_for_Windows_Check" />
<checkItem checkIdRef="ACME_Personal_Firewall_Check" testValue="false" />
</alternative>
<alternative name="isWinXP_Alternative_Satisfied">
<checkItem checkIdRef="Windows_XP_Check" />
<checkItem checkIdRef="db2_for_Windows_Check" />
<checkItem checkIdRef="JRE_for_Windows_Check" />
<checkItem checkIdRef="ACME_Personal_Firewall_Check" testValue="false" />
</alternative>
</requirement>
There are two requirements in the above example that are both declared to apply to the “Create” operation. The first one factors the common requirements (permanent and temporary space) that must be satisfied on any operating system platform. There is a single alternative in this requirement, and it does not have an associated name. The second requirement can be satisfied by any one of the listed alternatives (three). Of the following checks
· Linux_Check,
· Windows_2000_Check and
· Windows_XP_Check
only one is expected to be possibly “true” on a given operating system hosting environment. This fact makes the three alternatives mutually exclusive and it therefore eliminates the need of assigning each alternative a priority.
Some installable units may not need to declare requirements for any operation other than Create. This is the case if it can be assumed that the execution of other operations like Configure or Delete should not require additional resources. In general however, there may be extra consumption resources (such as temporary disk space) that are needed during any of the successive operations (Configure, Verify) that may be performed during the IU life-cycle.
Requirements can be added that list the checks that must be executed when executing one or more operations. In the current example, let assume that there are actions, within this unit of software, executing a configuration program during the Configure operation. Also assume that this configuration program need some temporary disk space to run. A second requirement can be added to the sequence causing the following checks to be executed during Configure:
· Ensure there is enough temporary space for the configuration program to execute. This requires to define a new check (ConfigData_Temp_Space_Check)
The following XML fragment illustrates the added requirement.
<requirement name="Configure_Reqmt" operations="Configure">
<alternative name="isDiskSpaceForConfigureAvailable">
<checkItem checkIdRef="ConfigData_Temp_Space_Check" />
</alternative>
</requirement>
In this example, an SIU MAY initially configure itself to work with one or more database systems: DB_X, DB_Y or DB_Z This situation might be expressed as a requirement with three alternatives, respectively associated to the following variables:
· isDBX_Installed,
· isDBY_Installed, and
· isDBZ_Installed.
DB_X and DB_Y are the preferred choice: there may be Create and InitialConfig artifacts in the SIU that install and initially configure the IU to work with DB_X, DB_Y or both DB_X and DB_Y. The SIU should only install and initially configure the code for working with DB_Z if neither of the other databases are installed.
Multiple artifact sets can be associated to the SIU, see Section 9.3, each one through a different unit element. Each unit element is conditioned, so it is possible to use the results of checks to determine which unit should be processed depending on the environment. Assume now that there are three independent artifact sets associated to the SIU, each one capable of deploying and configuring code to work with one specific database. The units (artifact sets) associated to the above databases are controlled by the following conditions:
·
DB_X unit condition:
“isDBX_Installed”;
·
DB_Y unit condition:
“isDBY_Installed”;
·
DB_Z unit condition:
“isDBZ_Installed AND NOT (isDBX_Installed OR
isDBY_Installed)”.
Declaring a priority for each of the above alternatives is a means to make the installer aware of the unit’s install and configuration intents without any need for the installer to infer the same information from an analysis of the conditions which depend on each alternative variable.
This is obtained by assigning the isDBZ_Installed alternative priority = 1 (the lowest) and by assigning the same and higher priority value – 2 – to the other two alternatives.
<requirement name="ConfigureDatabases" operations="Install">
<alternative name="isDBX_Installed" priority="2">
<checkItem checkVarName="DBX_Check" />
</alternative>
<alternative name="isDBY_Installed" priority="2">
<checkItem checkVarName="DBY_Check" />
</alternative>
<alternative name="isDBZ_Installed" priority="1">
<checkItem checkVarName="DBZ_Check" />
</alternative>
</requirement>
As explained in Section 7.2.1 above, the Uses relationships of the installable unit are determined by the alternatives that are satisfied at install time and that are part of the set with the highest assigned priority value. The selected alternatives SHOULD continue to be satisfied during the entire life-cycle of the installable unit.
A referenced installable unit definition, see Section 6.2, MAY include additional requirements that need to be satisfied by one or more topology targets defined in the aggregating root IU. In that case, both the requirements specified within the referenced IU descriptor and in the aggregating root IU MUST be processed: these additional specifications do NOT override any requirements stated in the referenced IU descriptor. An implementation MAY choose to optimize the checks it performs, e.g. it MAY only perform the most stringent version range check or capacity check; it SHOULD check the total consumption requirement.
Checks described in this Section can be performed without providing user code.

A capacity check is used to check the value of a named property defining some capacity of the target hosting environment. Each hosting environment type should define the set of capacity properties that it supports and the units in which these are expressed.
A capacity check element has the following attributes and elements, in addition to the ones inherited by base:Check.
·
type [anonymous type]
This OPTIONAL attribute may assume one of the following enumerated
values:
o
“minimum” (default)
The value of the named property MUST be equal or exceed the value
specified in the check definition.
o
“maximum”
The value of the named property MUST NOT exceed the value specified
in the check definition.
·
propertyName [type=base:PropertyName]
This REQUIRED element is used to specify the name of a hosting
environment capacity property.
·
value [type=base:VariableExpression]
This REQUIRED element is used to specify the threshold value
(maximum or minimum) of the property. If there are two capacity
checks for the same property and type= “minimum” only
the one with the highest value needs to be considered. If there are
two capacity checks for the same property and type=
“maximum” only the one with the lowest value needs to
be considered.
In the following example, “Processor/CurrentClockSpeed” is assumed[4] to be the name of a property exposing the processor frequency in MegaHertz in the operating system hosting environment, and the check is used to determine whether the processor speed is at least 400Mhz.
<capacity checkId="ProcessorSpeed_Check" type="minimum">
<propertyName>Processor/CurrentClockSpeed</propertyName>
<value>400</value>
</capacity>

A consumption check is used to check the availability of resources to be consumed on the hosting environment. Typical examples of consumption properties on the operating system hosting environment are disk space and memory. The consumption requirement can be temporary or permanent. Multiple consumption requirements for the same property on the same container are automatically cumulated. Each hosting environment type should define the set of consumption properties that it supports and the units in which these are expressed.
A consumption check element has the following attributes and elements, in addition to the ones inherited by base:Check.
·
temporary [type=boolean]
When this OPTIONAL attribute has a value of “true” the
requested quantity of the named property is only needed during
installation. The default value is “false”.
·
propertyName [type=base:PropertyName]
This REQUIRED element is used to specify the name of a hosting
environment consumption property.
·
value [type=base:VariableExpression]
This REQUIRED element is used to specify the consumed amount of the
property. The value of the named consumption property MUST be equal
or exceed the sum of the values specified for the same property
over the installable units being deployed to the same hosting
environment..
“TotalVisibleMemorySize” and “FileSystem/AvailableSpace” are assumed to be the names, in the following example, of properties exposed by the operating system hosting environment which respectively determine the core memory available for applications, in bytes, and available disk space for file allocations. The checks determine if 131072 bytes of memory can be allocated to the IU, when in the running state, and if 30.3 megabytes of temporary disk space are available during installation.
<consumption checkId="Memory_Check">
<propertyName>TotalVisibleMemorySize</propertyName>
<value>131072</value>
</consumption>
<consumption checkId="Temporary_Disk_Space_Check" temporary="true">
<propertyName>FileSystem/AvailableSpace</propertyName>
<value>30</value>
</consumption>
Note that there may be multiple filesystems in the operating system that can satisfy the consumption requirement. The above diskspace check will be satisfied if any of the filesystems can satisfy the requirement. Note, however, that it is the cumulative amount of diskspace that must be satisfied by a single filesystem. If checks may be satisfied by multiple filesystem instances, the requirement should be expressed using the targetRef attribute on each check. Each check would indicate the logical instance of a “Filesystem” resource hosted by the operating system that is to satisfy the check.

A property check is used to check the value of a property defined for a manageable resource. Each resource type should define the set of properties that it supports.
A property check has the following elements, in addition to the ones inherited by base:Check.
·
propertyName [type=base:PropertyName]
This REQUIRED element is used to specify the name of a property
being checked on a target resource.
The property check definition MUST include one of the three following elements (members of a CHOICE)
·
pattern [type=string]
This element provides a string value to be interpreted as a regular
expression. The string value MUST be a valid instance of an XML
pattern facet. The regular expression SHOULD match the property
(string) value.
·
value [type=base:VariableExpression]
The property value MUST be identical to the one provided by this
element.
·
rootOfPath [type=base:VariableExpression]
This element provides a value to be interpreted as the full path
name of a given resource (e.g. a file), in which case the property
specified by the propertyName element should provide the
path name of a unique context for that type of resource (e.g. a
filesystem where files are stored). There is a single target
instance satisfying the check (see an example in the following
section). The name of properties that support this variant of
the check must be obtained from the documentation of each target
resource.
In the following example, “OsType” is assumed to be the name of a property exposing the operating system type according to the definition of the “OperatingSystem” type in CIM 2.8, see [CIM2.8].
<property checkId="Windows_2000_Check">
<propertyName>OsType</propertyName>
<value>Windows 2000</value>
</property>
<property checkId="Windows_XP_Check">
<propertyName>OsType</propertyName>
<value>Windows XP</value>
</property>
<property checkId="Linux_Check">
<propertyName>OsType</propertyName>
<value>LINUX</value>
</property>
In the following example, “root” is assumed to be the property exposed by a file system type of resource, representing the root of path names for all files and directories stored in a file system instance. The following property check is satisfied by the unique instance hosting the directory whose path name is declared by the rootOfPath element.
<property checkId="FileSystem_Check" targetRef="FileSystem_Target">
<propertyName>root</propertyName>
<rootOfPath>$(InstallDirectory)</rootOfPath>
</property>

A version check is used to check the value of a property of a target resource that has the characteristics of a version. The actual names of properties holding version information should be obtained from the documentation of each specific resource.
Any version property associated to a generic resource or hosting environment MUST have values in the range defined for the vsn:GenericVersionString type. The format and comparison rules for version strings are defined in Section 19.
A version check element has the following elements in addition to the ones inherited by base:Check.
·
propertyName [type=base:PropertyName]
This REQUIRED element is used to specify the name of a property
whose values MUST be in the format defined by the
vsn:GenericVersionString type.
At least one of the following two elements MUST be specified.
·
minVersion [type=vsn:GenericVersionString]
This is the minimum value that can pass the version
check.
·
maxVersion [type=vsn:GenericVersionString]
This is the maximum value that can pass the version
check.
In the following example, “version” is assumed to be the name of a property exposing the Windows operating system version and service pack level in a format compatible with vsn:GenericVersionString.
<version checkVarName="Windows_version_Check">
<propertyName>version</propertyName>
<minVersion>5.0.2195.3</minVersion>
<maxVersion>5.0.2195.4</maxVersion>
</version>
It should be noted that for a property to qualify for version identification it MUST be possible to determine which one of two possible values is an antecedent of the other. This MAY be obtained by combining into the version property information that may be associated to different “native” properties. In the above example, information relative to the Windows 2000 release (5.0) and version (2195+ServicePack_4) is arranged in four version parts. A definition of the actual structure of the version property being checked should be obtained from the documentation of each specific resource.
A software check is used to determine whether a software resource is hosted in the target hosting environment. Software resources include software that has been installed by means other than the descriptor defined in this specification. This contrasts with the installable unit check described in the following section, which is intended to determine the presence of a deployed installable unit in the hosting environment.

A software check has the following attributes, in addition to the ones inherited by base:Check.
·
type [type=base:RequisiteType]
This OPTIONAL attribute can assume one of the following two
values:
o
“pre_requisite” (default)
A “pre_requisite” must be installed before the
dependent IU is installed.
o
“requisite”
A “requisite” must be installed before the dependent IU
is Usable.
·
exactRange [type=boolean]
This OPTIONAL attribute determines whether the check may be
satisfied by a backwards-compatible version of the software
resource. This attribute SHOULD NOT be specified – it SHOULD
be ignored if it is specified – when the UUID element is NOT
specified (see below). The value defaults to “false”,
which means that the check CAN be satisfied by a
backwards-compatible version: i.e. the check will be passed when a
newer version than maxVersion is found which declares itself to be
backward compatible with a version level comprised between
minVersion and maxVersion.
A software check has the following elements, in addition to the check description element inherited from base:Check. All the elements are OPTIONAL. However at least one of UUID and name MUST be specified.
·
UUID [type=base:UUID]
The UUID of an installable unit, if one exists, that defines the
required unit of software.
·
name [type=base:PatternOrValue]
The type of this element has an OPTIONAL boolean attribute
– pattern.
o pattern [type=boolean]
When the element does NOT specify this attribute, OR the element does specify the pattern attribute with a value of “false” – “false” is the default – the content string is used to perform an equality comparison test with the name of a software resource hosted by the target.
When the element is
specified with the pattern attribute value of “true”
the string content MUST be a valid instance of an XML pattern facet
and it is interpreted as a regular expression to match the
name associated to an installed unit of software hosted by the
target.
·
minVersion [type=vsn:GenericVersionString]
This is the minimum value that can pass the version
check.
·
maxVersion [type=vsn:GenericVersionString]
This is the maximum value that can pass the version
check.
·
canBeSatisfiedBy [type=IDREF]
Reference to the IUName of a bundled requisite in the root IU, see
Section 5.7. The bundled requisite SHOULD be installed on the
target instance if needed to satisfy a requirement associated to
this check.
A software check MAY specify only the name of the software unit to be checked, OR it MAY specify both the UUID and name.
A software check MAY specify only the UUID of the software unit to be checked, in which case the name of the software resource to be checked SHOULD be retrieved from an IUDD descriptor associated to that resource. See also the following Section 7.3.6 for a definition of installable unit checks.
A software check SHOULD be used when the required software resource MAY NOT have an IUDD or it MAY have been deployed by means of a legacy installer, not enabled to process and register IUDD information. Both UUID and name SHOULD be provided when the IUDD for the software dependency is available, in order to enable the use of a backward compatible hosted resource that MAY have a different name (see below).
Different hosting environments may support different types of software resources (e.g. installed programs in the operating system; J2EE applications in the J2EE environment), or may not host any form of software resource[5].
The software resource may be recorded in a legacy registry that also includes version information. For that reason, the version elements in a software check are instances of the type vsn:GenericVersionString, and NOT of the vsn:VersionString type, which defines a strict V.R.M.L format (see Section 19).
A software check establishes a dependency to a hosted software resource and not to an IU instance.
The UUID information, when specified, SHOULD be used to locate a matching IU descriptor. If an IU descriptor matching the UUID is found whose version and backward compatibility declarations make a corresponding IU instance a candidate to satisfy the software dependency, the name specified in that descriptor is used to perform the search over the hosting environment hosted resources. An exact version matching is required (a backward compatibility declaration is ignored, if present) when the exact_range attribute is specified by the software check. Note that the search on hosted resources would fail if the IU was installed and registered with its UUID but it is not known to the hosting environment by the name specified in the descriptor. The diagram of Figure 10 illustrates the UUID processing. In this example, it causes the selection of a hosted resource with a later version and a different name.

Figure 10: Use of UUID in a software check
<software checkVarName="db2_for_Linux_check">
<UUID>12345678901234567890123456789012</UUID>
<name pattern="true">(DB2|Universal Database)</name>
<minVersion>7.1</minVersion>
</software>
<software checkVarName="db2_for_Windows_check">
<UUID>22345678901234567890123456789012</UUID>
<name pattern="true">(DB2|Universal Database)</name>
<minVersion>7.2</minVersion>
<maxVersion>8.1</maxVersion>
</software>
<software checkVarName="JRE_for_Linux_check">
<UUID>13345678901234567890123456789012</UUID>
<name pattern="true">(IBM+.*J2RE)</name>
<minVersion>1.3.1</minVersion>
<maxVersion>1.3.1</maxVersion>
</software>
<software checkVarName="JRE_for_Windows_check">
<UUID>12445678901234567890123456789012</UUID>
<name pattern="true">(IBM+.*J2RE)</name>
<minVersion>1.3.1</minVersion>
<maxVersion>1.4.1</maxVersion>
</software>
<software checkVarName="ACME_Personal_Firewall_Check">
<name pattern="true">(ACME+.*Personal Firewall)</name>
</software>
The installable unit check differs from the software check (see above section 7.3.5) in that it is intended to perform checks on installable units based on identity and other information declared in their IU descriptor. This information SHOULD be persisted for an IU instance that is created or modified. Ideally, this information would be periodically verified against the actual resources held in hosting environments.
The IU check tests that an instance of a named IU, feature or fix exists within a given hosting environment. If the IU spans hosting environments, this check tests for the existence of any subcomponent within the target hosting environment.

An IU check supports different ways to identify the IU whose availability needs to be checked. In particular, when the IUNameRef OR the featureIdRef element is specified, the IU check is intended to represent an internal dependency check. This type of check does NOT require to be verified against a hosting environment during Create. Note that an internal dependency does NOT cause an implicit selection of a feature or an inline IU: the semantic is that the dependent IU must be selected – if conditioned, the condition MUST be satisfied – for the IU check to be positively verified.
An installable unit check has the same attributes as a software check, defined in the previous Section 7.3.5.
·
type [type=base:RequisiteType]
This OPTIONAL attribute can assume one of the following two
values:
o “pre_requisite” (default)
o “requisite”
·
exactRange [type=boolean]
This OPTIONAL attribute determines whether the check may be
satisfied by a backwards-compatible version of the IU.
An installable unit check inherits a description element from the base type base:Check. The IU check consists of either a standard IU check, an internal IU dependency check, or an internal feature dependency check. These three variants of the check correspond each to an element of an XML schema choice construct, and are separately described below, each in a separate sub-section.
A standard IU check has the following elements, in addition to the check description element inherited from base:Check. All the elements are OPTIONAL. However at least one of UUID and name MUST be specified.
·
UUID [type=base:UUID]
This is the UUID of the installable unit, as defined in the IU
identity.
·
name [type=token]
This is the name of the installable unit, as defined in the IU
identity.
·
minVersion [type=vsn:VersionString]
This is the minimum V.R.M.L. value that can pass the version
check.
·
maxVersion [type=vsn:VersionString]
This is the maximum V.R.M.L. value that can pass the version
check.
·
temporaryFixes [type=base:ListOfIdentifiers]
This is a list of NCName type of items. Each item identifies a
required temporary fix by a value that MUST correspond to the fix
name as specified by the fixName element in the fix
definition.
This element MUST list all the names of fixes that are REQUIRED to
be applied to the IU.
·
features [anonymous type]
If specified, this element contains a sequence of one or more name
elements, each one identifying a required IU feature:
o
name [type=token]
The value of this element MUST correspond to the name element in
the feature identity definition.
·
canBeSatisfiedBy [type=IDREF]
Reference to the IUName of a bundled requisite in the root IU, see
Section 5.7. The bundled requisite SHOULD be installed on the
target instance if needed to satisfy a requirement associated to
this check.
An internal IU check specifies the internal identifier of an IU, within the root IU. The check is verified – i.e. the check result is “true” – if the identified IU is also installed. The identified IU MAY be defined among the selectable contents, in which case the result of the check depends on feature selections, see Section 5.4. The identified IU MAY have an associated condition, in which case the result of the check depends on variables – including parameters, derived variables, check results and requirement alternative results – that MAY be referenced by the condition.
·
IUNameRef [type=IDREF]
This is a reference to the IU that MUST be installed for the check to be verified. The
value MUST match the IUName attribute of an IU within the
descriptor.
An internal feature check specifies the internal identifier of a feature within the root IU. The check is verified – i.e. the check result is “true” – if the identified IU is already installed or is selected to be installed. The identified IU MAY be defined among the selectable contents, in which case the result of the check depends on feature selections, see Section 5.4. The identified IU MAY have an associated condition, in which case the result of the check depends on variables – including parameters, derived variables, check results and requirement alternative results – that MAY be referenced by the condition.
·
featureIDRef [type=IDREF]
This is a reference to a feature that MUST be installed for the check to be verified. The
value MUST match the featureID attribute of a feature defined
within the descriptor.
Relationship checks describe a specific relationship that MUST exist between a target and another manageable resource. The structure of the relationship check is illustrated in the diagram below:

The relationship check inherits the checkId and targetRef attributes from the base type base:Check. In particular, the targetRef attribute identifies the topology target that MUST satisfy the relationship check. The check is specified in two parts.
1.
The identifier of the related target participating in the
relationship.
Exactly one of the following three elements MUST be specified
depending on whether the relationship has an implied direction
(such as Hosts) or is a peer relationship. The referenced target
MUST be defined within the root IU descriptor.
·
source [type=IDREF]
This element indicates that the target identified by the targetRef
attribute of the relationship check is the source of a
directional relationship with a related target identified by this
element.
·
sink [type=IDREF]
This element indicates that the target identified by the targetRef
attribute of the relationship check is the sink of a
directional relationship with a related target identified by this
element.
·
peer [type=IDREF]
This element indicates that the target identified by the targetRef
attribute of the relationship check and the one identified by this
element are in a peer relationship.
2. The name of the required relationship type, specified by the following element.
·
type [type=rel:Relationship]
This element is an instance of rel:Relationship, a type which
defines the range of admissible relationship types. This type is a
union of rel:StandardRelationship – defining a set of
standard association stereotypes – and the Name XML
type. An association stereotype defines a category of associations
(relationships) with a common semantics.
For example, if target A is to be the host of another target B, then the relationship is specified as:
<target id="A" …>
…
<relationship
checkId=”AHostsB”>
<sink>B</sink>
<type>Hosts</type>
</relationship>
…
</target>
Conversely, if target A is to be hosted by target B, then the relationship is specified as:
<target id="A" …>
…
<relationship
checkId=”BHostsA”>
<source>B</source>
<type>Hosts</type>
</relationship>
…
</target>

A custom check defines the execution of a check artifact on a target.
Like any artifact (see Section 9.5) check artifacts may have their variables initialized via a parameter map. The same check artifact could be referenced by multiple custom checks testing different sets of conditions, each set of conditions being associated to the values of variables passed into the artifact. The actual definition of the custom check artifact to be executed is not included within each individual check. Artifacts referenced by custom checks are defined within the root IU element customCheckDefinitions introduced in Section 5.3, and illustrated in the following diagram.

Custom check definitions in the rootIU element are OPTIONAL.
A customCheckArtifact element – instance of siu:CustomCheckArtifact, derived from the siu:Artifact type described in Section 9.5 – includes the same elements that are common to all artifact definitions, namely:
·
fileIdRef [type=IDREF]
This REQUIRED attribute
is a reference to a file element in the root IU defining the
bundled artifact descriptor file. It MUST be a valid reference to a
file element within the root IU files element.
·
type [type=siu:ArtifactFormat]
This OPTIONAL
attribute is used to declare whether the artifact defines actions
or resource property definitions. The supplied default value
(“ActionDefinition”) is appropriate for a custom check
artifact and it SHOULD NOT be overridden with a different value.
This restriction SHOULD be enforced by the implementation; although
it is not enforced by the schema.
·
parameterMaps [type=base:Maps]
This OPTIONAL attribute is used to declare mappings between
variables in the IUDD and variables defined in the artifact. This
is a sequence of map elements, each one associating an IUDD
variable (internalName) to an artifact variable
(externalName). Parameter maps are explained in Section 9.5
for SIU and CU artifacts. Each map element has a direction
attribute. SIU and CU artifacts only support the default value
(“in”) meaning that the IUDD variable is used to
initialize the artifact variable. However, a map associated to a
check artifact can specify the direction attribute to be
“out” thus requiring that the value of the artifact
variable MUST be obtained at the end of the check artifact
execution and used to set the corresponding IUDD
variable.
It is REQUIRED that a check artifact define a “checkResult” variable whose value at the end of the check artifact execution MUST indicate the boolean result (“true” or “false”) of the custom check. A parameter map for the “checkResult” artifact variable SHOULD NOT be defined (the result boolean value is used to set the variable implicitly associated to the check, see Section 7.1.1). As a “side-effect” of executing a custom check with parameter maps specifying the “out” value of the direction attribute, one or more IUDD variables may have their values changed.
While most of the semantic associated to a custom check depends on the above custom check artifact definition, the behavior of the check also depends on the values of IUDD variables that are passed (direction “in”) into the artifact variables. As explained below, the custom check (invocation) allows to specify new values for these IUDD variables, whose change MUST be effective prior to the mapping.
A custom check has the following attribute in addition to the ones inherited from base:Check.
·
artifactIdRef [type=IDREF]
This REQUIRED
attribute is a reference to a custom check command definition. It
MUST be a valid reference to a CustomCheckArtifact element within
the root IU element customCheckdefinitions.
A custom check may include one or more instances of the following element
·
parameter [anonymous type]
The type of this element is derived from base:VariableExpression.
This element is used to to specify a value for a variable which
must be set with the specified value before any parameter map
with direction “in” is processed in the corresponding
check artifact definition. The element includes the following
attribute
o
variableNameRef [type=IDREF]
This attribute is used to identify the variable for which a value
if provided.
Some IUDD variables appearing with direction “in” in the artifact definition may not need to be set for each specific check, i.e they retain the same value across different checks, in which case these variables do not need to be set by a parameter element in the custom check.
Note that implementing software pre-requisite checking through custom checks (external commands) makes it impossible for an implementation to record a relationship between the unit being installed and the pre-requisite software resources.
The following is an example custom check declaration:
<custom artifactIdRef="winRegCustomCheck" checkId="GSK4_Win_Registry_Check">
<parameter variableNameRef="Win_Reg_Hive">HKEY_LOCAL_MACHINE</parameter>
<parameter
variableNameRef="Win_Reg_Key">SOFTWARE\IBM\GSK4\CurrentVersion\Version</parameter>
<parameter variableNameRef="Win_Reg_Type">REG_SZ</parameter>
<parameter variableNameRef="Win_Reg_Value">4.0.2.49</parameter>
</custom>
The above example assumes that “winRegCustomCheck” is the identifier of a check artifact defined in the IU descriptor, checking the value of a specified registry key for equality against a specified value. The check artifact definition corresponding is given below:
<customCheckArtifact artifactId="winRegCustomCheck">
<fileIdRef>WinRegistryCheckArtifact</fileIdRef>
<parameterMaps>
<map>
<internalName>Win_Reg_Hive</internalName>
<externalName>Reg_Hive</externalName>
</map>
<map>
<internalName>Win_Reg_Key</internalName>
<externalName>Reg_Key</externalName>
</map>
<map>
<internalName>Win_Reg_Type</internalName>
<externalName>Reg_Type</externalName>
</map>
<map>
<internalName>Win_Reg_Value</internalName>
<externalName>Reg_Value</externalName>
</map>
</parameterMaps>
</customCheckArtifact>
In this example, the parameter elements in the custom check (invocation) assign values to the four parameter variables that are mapped to artifact variables within the custom check artifact definition.
Variables support late binding of additional information to an IU descriptor. This information may be obtained from user input, from a target property query or from other sources. Variables can be referenced within a schema when defining the value of an attribute or element that is an instance of base:VariableExpression. Symbolic references to a variable are substituted by the variable value when the expression is evaluated. Expressions producing a boolean result value are used in conditions. Conditions MAY be associated to an installable unit definition. They MAY be also associated to expressions within a derived variable definition.
A variable can be one of several types, as described below:
· It is a parameter, provided by user input, response file or from an encapsulating installable unit (see Section 8.1.1).
· It is derived from a variable expression (see Section 8.1.2).
· It is defined as a query against a target (see Section 8.1.3).
· It is defined as a query against an IU instance, returning the IU instance discriminant. This is the value that uniquely identifies an IU instance within a hosting environment, for example, the install location for an IU installed into the operating system (see Section 8.1.4).
· It is specified as a resolved target list (see Section 8.1.5).
· It is specified by an IU update as a variable inheriting its value from a variable that was defined in a previous level of the same IU instance (see Section 8.1.6).
In addition to the above variables, which are explicitly declared, a variable expression MAY contain a reference to the boolean result of a check, see Section 7.1.1, or to the boolean result of a requirement alternative, see Section 7.2.
One or more variables MAY be defined by the element variables within an IU. This is a sequence of one or more variable elements, instances of base:Variable. Each one identifies a named variable that is needed to deploy the installable unit. The variable MAY have a locale-sensitive description.
The above six forms of a variable definition are all represented in the following diagram for the schema type base:Variable

A variable MUST specify the following attribute
·
name [type=ID]
This REQUIRED attribute is an identifier that can be used to refer
to the variable. The value MUST be unique within the
descriptor.
A variable MAY specify the following element
·
description [type=base:DisplayElement]
This OPTIONAL element allows to associate text labels and a
description with this variable. See Section 17 for a general
description of display elements and their localization.
A variable MUST specify one of the six elements defined by the XML schema choice construct. These are defined in the sections below.
The parameter element defines a parameter variable. The value MAY be provided by user input, response file or from an encapsulating installable unit descriptor via a parameter map.
·
parameter [anonymous type]
The following attributes MAY be specified for this
element
o
defaultValue [type=base:VariableExpression]
This OPTIONAL attribute provides a default initial value for the
parameter variable. If no default value is specified, and no value
is provided by user input, response file or parameter map from an
aggregating IU, the value of the parameter variable is undefined.
An error SHOULD be generated when trying to access a parameter with
an undefined value.
o
transient [type=boolean]
This OPTIONAL attribute is used to indicate that this variable
contains information (e.g. a password) that SHOULD NOT be
permanently stored, either because it is transient – the
current value may become invalid – or because the current
value represents sensitive user information. If needed on
successive life-cycle operations associated to a deployed IU
instance, the current value will have to be supplied.
<variable name="installToAllUsers">
<parameter defaultValue="true"/>
</variable>
In the absence of an overriding value, the above definition of a variable named “installToAllUsers” causes the default value (“true”) to be retained.
The derivedVariable element defines a derived variable.
·
derivedVariable [anonymous type]
The element MUST include one or more instances of the following
elements, each one defining a candidate value for this
variable:
o
expression [anonymous type]
The type of this element is derived from base:VariableExpression,
and it includes the following OPTIONAL attributes:
§
condition [type=base:VariableExpression]
This attribute is used to specify a condition for this expression.
If more than one variable expression is provided, each one SHOULD
be qualified using a condition. The value of this expression should
be assigned to the derived variable if this condition is
“true”. The variable expression for this attribute may
include references to the boolean result value of a check or
to the boolean result of a requirement alternative. A derived
variable depending on the outcome of checks and alternatives may be
made available within artifacts, through parameter maps, to
determine the appropriate behavior of actions.
§
priority [type=nonNegativeInteger]
The attribute specifies a priority for this expression. A priority
MUST be specified when multiple expressions are defined. If
multiple expressions have their conditions satisfied, the variable
will be set to contain the value of the expression with the highest
priority value (where “5” is a higher priority than
“1”). Two expressions SHOULD NOT specify the same
priority.
<variable name="install_root">
<derivedVariable>
<expression condition="$(Windows_Check)">C:\Program Files</expression>
<expression condition="$(Linux_Check)">/usr/opt</expression>
</derivedVariable>
</variable>
In the above example, the variable named “install_root” is set to the value “C:\ProgramFiles” or to the value “/us/opt” depending on alternative conditions. In this example, it is assumed that the variable expression associated to each condition is the boolean result (“true” or “false”) of an elementary check. It is also assumed that the two checks cannot be simultaneously satisfied on the same hosting environment, therefore there is no need to specify a priority.
The queryProperty element defines a variable whose value is the result of a query. Queries MAY be specified against a target that resolves to multiple physical instances, based on the scope value (“all” or “some”).
When the variable is defined within a single-target IU and the target T is identical to the IU hosting environment, the IU instance being deployed to a physical instance Ti of the IU target T SHOULD “see” the variable to contain the property value obtained from the same instance.
A query property variable defined within a multi-target IU SHOULD result in a comma-separated list of values when the target resolves to multiple physical instances. All lists associated to different query property variables defined for the same target SHOULD have the value associated to a given target instance in the same position. The ordering of values in the list SHOULD be consistent with the sequence of target identifiers associated to a resolvedTargetList variable defined for the same target, see Section 8.1.5.
·
queryProperty [anonymous type]
This element defines the name of a property to be queried, and
optionally the target on which the query SHOULD be performed.
o
propertyName [type=base:PropertyName]
This REQUIRED attribute defines the name of the property to be
queried.
o
targetRef [type=IDREF]
This OPTIONAL attribute may be used to specify the target on which
the query SHOULD be performed. A variable definition within a
single target IU is NOT REQUIRED to specify the target: if a target
is not specified, the query is performed on the IU target hosting
environment. This attribute SHOULD be specified if the variable
definition is NOT within a single target IU. If the attribute is
specified, the value MUST be a valid reference to a target of a
deployed target within the root IU.
If targetRef is specified for a single target IU and it is
different from the IU target, then EITHER the target has a scope of
“one” OR it SHOULD be possible to navigate
relationships connecting the IU target to the query target so that
one and only one instance of the query target is reached from the
IU target. In the first case, the single target instance SHOULD be
queried. In the second case, the instance of the single target IU
being deployed to an instance “X” of the IU target will
“see” the variable to contain the property value from
the instance “Y” of the query target that is
reached by navigation of the existing relationships.
<variable name="database_name">
<queryProperty property="name" targetRef="tDatabase" />
</variable>
In the above example, a query variable is defined to obtain the name of a database. The example assumes that the topology target “tDatabase” defines a manageable resource that exposes the needed database name via the “name” property.
The queryIUDiscriminant element defines a variable whose value is the IU discriminant of an installed IU instance. The IU instance discriminant is the value that uniquely identifies an IU instance within a hosting environment, for example, the install location for an IU installed into the operating system.
·
queryIUDiscriminant [anonymous type]
This element defines the IU instance to be queried by reference to
an IU check, see Section 7.3.6, within the scope of the IU.
Use of a discriminant variable requires that the specific instance
of an IU satisfying the IU check MUST be identified. When multiple
IU instances satisfy the check, the user or the install runtime
MUST select one instance. The returned discriminant value MUST be
the one associated with the instance that is used within the root
IU to satisfy the check.
The check referenced by a variable defined at the root IU level
MUST be defined within a root IU topology target, as these are the
only checks in scope for a variable in the root IU. However, the
variable MUST not be referenced outside the scope of an IU that is
aimed on that target.
o
iuCheckRef [type=IDREF]
This REQUIRED attribute MUST correspond to the checkId of an IU
check defined in the descriptor: it SHOULD correspond to the
checkId of a check that is in scope, see Section 7.1.1.
<variable name="Linux_JRE_Home">
<queryIUDiscriminant iuCheckRef="JRE_for_Linux_check" />
</variable>
In the above example, the variable named “Linux_JRE_Home” is set to the value of the install location of the installable unit instance satisfying the IU check named “JRE_for_Linux_Check”.
A resolvedTargetList is a variable whose value consists of the manageable resource IDs (handles) of the actual resource or resources corresponding to a specified target. It is assumed that a manageable resource id can be represented by a string that does NOT contain a comma character. Where a target resolves to more than one actual resource, the result is a comma-separated list. In that case, the ordering of identifiers in the list SHOULD be the same applied to the sequence of values of any property query on the same target that produces a list result, see Section 8.1.3.
A typical usage scenario for this capability is when a deployment application delegates some aspects of deployment or configuration. In this case, the hosting environment to which deployment is delegated needs to be aware of the target topology for the components within its domain. Example: an SIU represents a J2EE application that is targeted at TDM – a topology target representing the domain manager of a J2EE administrative domain. However, one of the deployment parameters that needs to be specified for the SIU artifact is the list of servers within the domain onto which the application needs to be deployed. Another topology target TAS is defined in this example to represent the specific set of J2EE application servers in the J2EE domain. A “Hosts” relationship is required between TDM and TAS, and additional requirements may be defined for TAS. A resolvedTargetList variable defined for TAS provides the needed list of servers that the SIU can pass into the artifact using a parameter map, so that it can be processed by the hosting environment TDM.
·
resolvedTargetList [anonymous type]
The resolvedTargetList element defines a variable whose value is
set to contain a list of manageable resource IDs, one for each
selected instance of a topology target identified by the targetRef
attribute.
o
targetRef [type=IDREF]
This REQUIRED attribute is used to specify the target whose
resolved instances are identified by this variable. The value MUST
be a valid reference to a topology target or deployed target in the
root IU.
<variable name="Actual_Targets">
<resolvedTargetList targetRef="Solution_Server" />
</variable>
The inheritedVariable element specifies a variable that SHOULD inherit its value from a variable defined in a previous level of the same IU instance. An inheritedVariable SHOULD only be defined within an IU update or within a temporary fix.
·
inheritedVariable [anonymous type]
This element does NOT specify any content. The name of this
variable, as defined by the corresponding attribute, SHOULD be used
to locate the corresponding persisted value associated with an
existing IU instance.
<variable name="definedInBase">
<inheritedVariable/>
</variable>
The following rules apply to variable scope and override.
1. Variable names MUST be unique within the descriptor.
2. The scope of a variable is the IU in which it is defined, and any inline IUs and CUs that the IU contains.
3. Variables defined in the root IU have global scope within the descriptor. An iuDiscriminant variable defined in the root IU can be referenced only within IUs that are associated to the same target whose check definition is referenced by the variable definition.
4. Referenced IUs have a separate namespace for variables. The only interaction is via parameter maps. An IU aggregating referenced IUs MAY use a parameter map to redefine a variable in the referenced IU.
Some elements of the IUDD schema are instances of base:VariableExpression. The latter is a simple XML type derived by restriction from the XML base string type:
<simpleType name="VariableExpression">
<restriction base="token">
<pattern value="([^$]*($[^(])*($\([a-zA-Z_]+[0-9a-zA-Z_]*\))*)*"/>
</restriction>
</simpleType>
The restriction forces the substring “xxxx” contained within an enclosing substring “$(xxxx)” to be a valid variable identifier, as defined by the type NCName.
The consumer of an element that is an instance of the base:VariableExpression type MUST resolve the variables in the string and substitute each “$(xxxx)” token appearing in the variable expression with the value of the corresponding variable.
A conditional expression MAY appear as the value of a condition attribute in the following schema elements within the IUDD:
· An expression element, defined within the derivedVariable element of a variable definition, see Section 8.1.2;
· An installable unit definition within the base or selectable content of the root IU, see Section 6;
· A unit element within an SIU or CU defining an artifact set, see Section 9.3.
Conditional expressions also appear in artifacts where they are used to condition actions and action groups, see Section 14.
Check variables, property queries and derived variables based on property queries MAY be used in conditions. The use of parameters is permitted but discouraged, as a condition is intended to represent an environmental constraint and not a user selection. Resolved target lists and IU discriminant variables SHOULD NOT be used in conditions.
A condition element is an instance of base:VariableExpression, see Section 8.2. Once variable substitution has occurred in a condition, the resulting conditional expression MUST be a (constant) XPath boolean expression, with the following restrictions:
1. When all the variable substitutions have been completed, the string value of a condition element must be a valid XPath boolean expression. The format of the XPath expressions is defined by the XML Path Language (XPath) Version 1.0 (http://www.w3.org/TR/xpath).
2. The boolean expression to which the condition element reduces after variable substitutions SHOULD NOT contain any of the following:
· Variables References
· Node Sets Expressions, including functions returning a node set.
· Function calls.
These constraints SHOULD be enforced by the tooling and validated by the installer.
condition="('$(win_drive)' != 'C:') and ('$(win_drive)' != 'Z:')"
Note that string literals can appear within single quotes if the conditional expression attribute is enclosed within double quotes, and vice versa. Note that operators like “<” and “>” cannot be directly typed within the conditional expression and MUST be escaped by, for example using < and > respectively. Syntax details are described at http://www.w3.org/TR/xpath.
Any variable that is declared in an installable unit and which is first used in the Create or InitialConfig operations, see Section 4.2, SHOULD have its value set during the operation in which it is first used. The value SHOULD then be saved and restored on successive lifecycle operations.
A variable declared in a configuration unit or that is declared in an installable unit and first used in the Configure operation SHOULD be re-evaluated during each Configure operation. The value MAY be saved for use on successive VerifyConfig operations.
Conditions on IUs SHOULD be evaluated during the Create or Update operation, in order to determine which IUs should be installed. Subsequent life cycle operations SHOULD NOT add or remove an installable unit based on the current evaluation of a condition.
Conditions on configuration units SHOULD be re-evaluated during each Configure and VerifyConfig operation.
All checks SHOULD be re-evaluated in any operation for which their value is needed to evaluate a requirement.
This section defines the Smallest Installable Unit (SIU) of software. This is specified in the schema file siu.xsd. The aggregation of such elementary units into larger aggregates is described in Section 6.
An SIU instance is defined by the siu:SmallestInstallableUnit schema type illustrated in the following diagram.

The SIU definition is an instance of the above type. It includes the following attributes:
·
IUName [type=ID]
This REQUIRED attribute is an identifier of the IU element in the
instance document. It SHOULD NOT be confused with the IU identity
name, see Section 5.1. This attribute MAY be used to refer
to the IU from other elements within the descriptor.
·
hostingEnvType [type=siu:AnyResourceType].
This OPTIONAL attribute specifies the type of the SIU hosting
environment. When specified, the value of this attribute SHOULD be
equal to the one specified by the type attribute of the
target onto which the SIU is installed, see Section 5.6.1. The
latter is identified by the targetRef attribute of the
installableUnit element defining this SIU. The IU hosting
environment type may be specified to exploit tooling support for
the prevention of incorrect targeting. The type of this attribute
is defined as a union of the XML type QName and rtype:Rtype.
Therefore, a user defined hosting environment resource type can be
specified as a QName value. Standard enumerated values for resource
types are defined in rtype:Rtype. Tooling MAY constrain this
attribute to known valid hosting environment types (NOT all
resources are hosting environments).
The schema constructs IUorFixDefinition, SingleTargetIUDefinition and Variables are common to an SIU as well as to other installable unit types defined in Section 6:
The SIU definition includes the following element in addition to the above constructs:
§
condition [type=base:variableExpression]
This OPTIONAL attribute defines a condition that, controls
the selection of the artifact set associated to the unit
element. At most one artifact set will be selected. This attribute
SHOULD NOT be specified when a single unit element is defined. The
attribute MUST be specified when multiple unit elements are
specified, in which case the conditions defined for each of them
SHOULD be constructed so that they are mutually exclusive: if they
are not, then an arbitrary selection between qualified artifact
sets MAY be made.
The main elements of an IU definition are grouped by the siu:IUorFixDefinition XML group. The latter contains information which is applicable to both single-target and multi-target installable units: part of the elements apply to an ordinary IU while other apply to a temporary fix. The following diagram illustrates the part that applies to an ordinary IU (the part of the diagram related to a temporary fix definition is not expanded: it contains only the element fixIdentity, already defined in Section 5.2).

The identity element is defined in Section 5.1. This section describes the other elements that can be specified as part of an IU definition, namely constraints, obsoletedIUs and supersededFixes. Superseded fixes can be specified both in the context of an IU definition and in the context of a fix definition.
o
maximumInstances [type=nonNegativeInteger]
This
OPTIONAL element is the limit to the number of instances of the IU
that can be simultaneously present onto the same instance of a
target hosting environment. The number is unbounded when this
element is NOT specified.
o
maximumSharing [anonymous type]
This OPTIONAL
element is an instance of a complex anonymous type, extending
the XML nonNegativeInteger type. The numeric value of this element
is the maximum number of IU instances that MAY have a dependency on
one instance of this IU. Containment and software dependencies by
other IUs in the same IUDD MUST NOT be considered. Dependencies
from outside of the root IU MUST be considered. These include
simple “Uses” relationships (when this IU satisfies a
software dependency) as well as “Federates”
relationships (when this IU satisfies a federated IU
definition).
The following attribute MAY be used to further restrict the
use of this IU only by instances of an identified set of IUs.
§
sharedBy_List [type=base:ListOfUUIDs]
This OPTIONAL attribute is a list of UUID values
corresponding to IUs whose instances are allowed to make
shared use of this IU (within the sharing limits set by the numeric
value of the element).
o
obsoletedIU [anonymous type]
This element is used to specify the IU to be obsoleted. An
obsoleted IU SHOULD be physically deleted after installing
the IU which contains the obsoletedIU declaration. Deleting
obsoleted IUs at the end of the update process makes it possible to
migrate configuration data that the IU may hold. However,
this implies that there should be no intersection between resources
(files, objects, etc.) deployed by the obsoleted IUs and content
deployed by the updating IU, otherwise some of the new
content would be uninstalled when the obsoleted IU is deleted. If
multiple instances of the obsoleted IU exists within the root IU
instance being updated, these SHOULD be all deleted. This elements
contains an XML choice construct to select one OR the other among
the following two elements:
§
UUID [type=base:UUID]
The UUID to be used to locate the obsoleted IU instances.
§
name [type=token]
The identity name of the obsoleted IU instances.
<constraints>
<maximumInstances>1</maximumInstances>
<maximumSharing sharedBy_List="1234567890...123456789012">100</maximumSharing>
</constraints>
The above sample XML fragment defines constraints for an IU of which there MUST be no more than one instance. It also specifies that there could be a maximum of 100 dependent instances sharing the same instance of the IU. All of these dependent IUs are instances with the specified UUID (the sharedBy_List attribute has only one element).
<obsoletedIUs>
<obsoletedIU>
<UUID>12345678901234567890123456789000</UUID>
</obsoletedIU>
<obsoletedIU>
<UUID>12345678901234567890123456789001</UUID>
</obsoletedIU>
<obsoletedIU>
<name>ThisIUname</name>
</obsoletedIU>
</obsoletedIUs>
The above sample XML fragment defines three obsoleted IUs. The first two are identified by their respective UUID. The last one is identified by its name.
<supersededFixes>PTF012345 PTF123456 PTF234567</supersededFixes>
The above sample XML fragment contains a declaration that three temporary fixes are superseded by the IU or fix whose definition contains the declaration.
A temporary fix is an installable unit that is not part of the normal sequence of released versions. A temporary fix MAY be a root IU, or an SIU, or any other type of installable unit that MAY be defined as part of a root IU. What makes it possible to distinguish a temporary fix from an ordinary IU is the identity. The identity of temporary fixes is described in Section 5.2.
Any IU aggregate, including root IUs, that defines a temporary fix SHOULD only aggregate IUs that are themselves temporary fixes.
When performing an installable unit check that includes checks on temporary fixes, the check MUST list all of the required fix names. See Section 7.3.6. Although one fix may explicitly supersede another fix, there is no concept of the “latest” fix superseding all previous fixes.
A fix MAY consolidate one or more of the current temporary fixes. These are listed by the supersededFixes element, which is described in the context of an IU definition in Section 9.1.3.
Fixes MAY be categorized, by specifying the fixType element in the fix identity.
·
fixType[anonymous type]
This OPTIONAL element may be used to specify one of the following
enumerated values:
o
“InterimFix”
Tested and verified fix available to customers. It may contain
fixes for one or several product defects and fixes for internally
discovered defects. It is typically made available to the
registered users.
o
“TestFix”
A temporary or uncertified fix with limited testing that is
supplied to one or several customers for testing, but is typically
not available for the general public. Typically, this type of fix
has little or no packaging, i.e. may be file
replacements.
o
“ProgramTemporaryFix”
An individual fix that is typically made available to all
customers. A PTF resolves one customer reported problem.
Two temporary fixes applying to the same single-target IU instance MAY be subject to the following relationships, which pose constraints on their installation:
·
ex-requisite
An instance SHOULD NOT have the two fixes simultaneously
applied;
·
co-requisite
An instance SHOULD have the two fixes simultaneously applied OR
none applied;
·
pre-requisite
This is a directional relationship. The fix declaring another fix
as a pre-requisite SHOULD NOT be applied if the latter is NOT
applied first.
In principle, it is possible to express the above relationships using IU checks, see Section 7.3.6. In practice, this results in complex descriptors. For this reason the fix definition includes the fixDependencies element. This element is expanded at the bottom of the following diagram, whose other elements have been described in Section 5.2.
·
fixDependencies [anonymous type]
This OPTIONAL element may be specified to include one or more of
the following elements:
o
pre-requisite_fixes
[type=base:ListOfIdentifiers]
This OPTIONAL element is
used to specify a space separated list of fix names. Every one of
the listed fixes SHOULD be applied before this temporary fix can be
applied.
o
co-requisite_fixes
[type=base:ListOfIdentifiers]
This OPTIONAL element is
used to specify a space separated list of fix names. Every one of
the listed fixes SHOULD be available to be applied with this
temporary fix. The order in which the fixes are physically applied
is NOT specified and it SHOULD be irrelevant. This fix and all the
ones listed by this element SHOULD be applied before the updated IU
achieve the usable state.
o
ex-requisite_fixes
[type=base:ListOfIdentifiers]
This OPTIONAL element is
used to specify a space separated list of fix names. This temporary
fix SHOULD NOT be applied if any of the listed fixes is already
applied to the IU being updated.
<installableUnit>
<SIU IUName="PTF_1" hostingEnvType="OSCT:Operating_System">
<fixIdentity>
<name>MyPDF Reader</name>
<UUID>12345678901234567890123456789012</UUID>
<incremental>
<requiredBase>
<minVersion>5.0.1</minVersion>
<maxVersion>5.0.4</maxVersion>
</requiredBase>
</incremental>
<fixName>PTF123456</fixName>
<fixDependencies>
<pre-requisite_fixes>PTF001234 PTF012345</pre-requisite_fixes>
</fixDependencies>
</fixIdentity>
<unit>
<installArtifacts>
<installArtifact>
<fileIdRef>PTF_1Actions</fileIdRef>
</installArtifact>
</installArtifacts>
</unit>
</SIU>
</installableUnit>
The above sample XML fragment contains a complete definition of a temporary fix SIU. The identity element defines the name and UUID of the IU to which the fix can be applied. The fix name is “PTF123456” and it has fixes “PTF001234” and “PTF012345” as pre-requisites. The unit element describes artifacts associated to this temporary fix SIU.
The unit element in an SIU defines the artifacts to be used when performing life cycle operations on the installable unit, see Section 4.2. An artifact is a descriptor containing the definition of actions to be performed on the hosting environment, or a definition of a set of resource properties to be configured. The separation of the action definition from the declarative IU dependency information permits a supporting implementation where the IU descriptor is interpreted by a generic change management component, whereas the actions are interpreted by a hosting-environment specific component.

The above diagram illustrates the artifact sets. There are two defined sets of artifacts. The first set handles the lifecycle operations that are performed to install an IU. The second set of artifacts handles the operations to configure or reconfigure the IU.
An SIU contains one or more artifacts, each one intended for use with a specific life cycle operation. As an example, an Install artifact is needed for the Create and Update operations, while an Uninstall artifact is needed for Delete. The artifact is REQUIRED to be an XML document, but its exact content beyond that is constrained only by the hosting environment, although this specification does provide recommended formats – the Action Definition and Resource property Definition – that may be extended, see Sections 14 and 15. The intended implementation is that the appropriate artifact is passed to the hosting environment, which then uses the artifact to performing the life cycle operation.
As SIU unit is an instance of siu:InstallArtifactSet, and it describes the artifacts related to the installation of software. Units are also defined for configuration units (CU) units that are instances of siu:ConfigurationArtifactSet, describing artifacts related to configuration. This section describes the artifacts related to installation. Those related to configuration are described in Section 10.
The type siu:InstallArtifactSet is illustrated in the following diagram.

The following OPTIONAL elements are instances of siu:UndoableArtifact – which is an extension of the base type siu:Artifact, defined in Section 9.5, including the following attribute:
o
undoable [type=boolean]
This OPTIONAL attribute – default is “false”
– is used to identify whether the associated life cycle
operation can be performed in an “Undo” mode. Where
supported, an undoable operation supports a rollback operation,
where the installable unit is rolled-back to its state prior to
applying the operation. An implementation SHOULD support at least
the Update operation in “Undo” mode An implementation
MAY support only a single level of undoable Update, in which case
it MAY automatically commit a previous level.
The artifact types described by each one of the elements
illustrated in the above diagram are described in the Section 9.4
below.
·
installArtifact [type=siu:UndoableArtifact].
This OPTIONAL element SHOULD define an Install
artifact.
·
initialConfigArtifact [type=siu:UndoableArtifact]
This OPTIONAL element SHOULD define an InitialConfig
artifact.
·
migrateArtifact [type=siu: UndoableArtifact]
This OPTIONAL element SHOULD define a Migrate artifact.
The following OPTIONAL elements are instances of the siu:Artifact type, described in Section 9.5
·
verifyInstallArtifact [type=siu:InstallArtifact]
This OPTIONAL element SHOULD define a VerifyInstall
artifact.
·
uninstallArtifact [type=siu:InstallArtifact]
This OPTIONAL element SHOULD define an Uninstall
artifact.
Artifacts are either applied to a hosting environment to implement a software life-cycle operation; or they are applied to a manageable resource to set or to verify a specified configuration. Artifacts of the first type will be generally referred to as “install artifacts”, while artifacts of the second type will be referred to as “configuration artifacts”.
Install artifacts are part of the definition of a Smallest Installable Units (SIU) while configuration artifacts are part of the definition of a Configuration Unit (CU). Note that there are no artifacts associated with an IU aggregate.
|
Artifact type |
Description |
|
Install |
If the install artifact is associated to a base SIU (or a full update SIU, see Section 11.1) it can be used by the Create operation to create an instance of the SIU. If the artifact is associated to an update (full or incremental) or to a fix, it can be used by the Update operation to install the update (or the fix) to an existing instance of the required base SIU. A software instance is initially created and then it is possibly modified by successive update operations, each one applying the install artifact associated to an update or fix SIU. Actions defined in the install artifact MAY refer to bundled files provided with the packaged solution. Access to the bundled files referenced by the install artifact is only supported by the Create, Update and Repair operations. Other operations that MAY access the install artifact (Delete, Undo, VerifyIU) do NOT have access to the referenced bundled files. Other artifacts MUST NOT contain references to bundled files.
|
|
InitialConfig |
The initialConfig artifact is used only for a base or a full update SIU, see Section 11.1. A fix or an SIU defining an incremental update MUST NOT specify an initialConfig artifact. The artifact defines actions that are needed to bring a newly created IU instance in the Usable state. When this artifact is specified, the Create operation leaves a newly created instance in the “Created” state, to indicate that a successive InitialConfig operation is needed to bring the instance to the Usable state. Otherwise, the newly created instance transitions directly to the Usable state. Actions defined in the
initialConfig artifact MUST NOT contain references to bundled
files. |
|
Migrate |
The artifact defines actions that are needed to configure an updated IU instance. The migrate artifact is used only for a full update or an incremental update. A fix or an SIU that cannot be used to upgrade a base instance MUST NOT specify a migrate artifact. When this artifact is specified, the Update operation leaves a modified instance in the “Updated” state, to indicate that a successive Migrate operation is needed to bring the instance to the Usable state. Otherwise, the updated instance transitions directly to the Usable state. Actions defined in the migrate
artifact MUST NOT contain references to bundled
files. |
|
VerifyInstall |
The verifyInstall artifact is used by the VerifyIU operation to perform integrity checking of an SIU instance. On some hosting environments the VerifyIU operation MAY process the install artifacts successively applied to the instance by updates and fixes. Access to the actions defined by the install artifact for creating or updating the SIU instance may be exploited to identify resources, created as part of the SIU instance, that need to be verified. As the SIU instance may have passed through multiple updates, the VerifyIU MAY need to examine multiple install artifacts. Some hosting environments MAY allow the SIU definition of the verifyInstall artifact to be a reference to the SIU install artifact. In that case, the VerifyIU operation SHOULD use the install artifact to identify the resources (e.g. files) created as part of the install that need to be verified. Actions defined in the
verifyInstall artifact MUST NOT contain references to bundled
files. |
|
Uninstall |
The uninstall artifact is used by the Delete operation to perform the removal of an SIU or fix. An update or fix that does not introduce new resources as part of an existing instance (only modifies pre-existing resources) SHOULD NOT specify an uninstall artifact. On some hosting environments the Delete operation MAY process the install artifacts successively applied to the instance by updates and fixes. Access to the actions defined by the install artifact for creating or updating the SIU instance may be exploited to identify resources, created as part of the SIU instance, that needs to be removed. As the SIU instance may have passed through multiple updates, the Delete MAY require to examine multiple install artifacts in reverse order. Some hosting environments, MAY allow the SIU definition of the uninstall artifact to be actually a reference to the SIU install artifact. In that case, the Delete operation SHOULD use the install artifact to identify the resources (e.g. files) created as part of the install that need to be removed. Actions defined in the
uninstall artifact MUST NOT contain references to bundled
files. |
As illustrated in the above table, a single artifact can be accessed in the context of different IU lifecycle operations. The following table lists the primary artifact accessed by each operation.
|
Lifecycle Operation |
Artifact Type |
|
Create |
Install artifact |
|
InitialConfig |
InitialConfig artifact |
|
Update |
Install artifact |
|
Migrate |
Migrate artifact |
|
Delete |
[Uninstall artifact] [Install artifact] |
|
VerifyIU |
[VerifyInstall artifact] [Install artifact] |
|
Repair |
[Install artifact] |
|
Undo |
[Install artifact] |
Note that the Undo operation MAY need to access the install artifact to roll-back the last update applied to an instance, but that MAY NOT be required on all hosting environments. Analogously, the Repair operation MAY NOT need to access the install artifacts of the IU instance being repaired. An artifact type between square brackets, in the above table, MAY NOT be accessed by the corresponding operation.
The type siu:Artifact, illustrated by the following diagram, is the base type for all artifacts defined within an artifact set.

The only REQUIRED content of an artifact definition, within the IUDD, is a reference to a bundled file containing the actual artifact. The latter is itself a descriptor of variables and actions or properties that MAY contain references to other bundled files.
An artifact definition has the following attributes:
·
HE_restart_required [type=boolean]
This OPTIONAL attribute – default is “false”
– specifies whether a hosting environment restart (in
case of an operating system hosting environment this would
correspond to a reboot) is REQUIRED after processing the
actions in the artifact. See Section 9.5.1.
An artifact definition has the following elements:
·
fileIdRef
[type=IDREF]
This REQUIRED element is used to identify the bundled file
containing the artifact (XML descriptor). The value MUST be a valid
reference to a bundled file, see Section 5.8.
·
type [type=siu:ArtifactFormat]
This element is OPTIONAL. The assumed value, if the element is NOT
specified, is “ActionDefinition”. The type of
this element is a union of siu:StandardArtifact Format and NCName,
where the former enumerates the names of two standard artifact
formats. Any value in the range of NCName MAY be assigned to the
element to specify a user-defined artifact format.
The standard enumerated values are:
o
“ActionDefinition”.
See Section 14 for a definition of the proposed format for
artifacts of this type.
o
“ResourcePropertiesDefinition”.
See Section 15 for a definition of the proposed format for
artifacts of this type.
·
parameterMaps
[type=base:Maps]
This OPTIONAL elements maps variable names in the descriptor to
variable names that are meaningful in the context of the hosting
environment. The use of these variables is hosting-environment
specific. These MAY be used to initialize variables defined within
the artifact, see Section 14, OR they MAY be used directly by the
hosting environment. In particular, some of the external
variable names, in these maps, MAY identify variables that have a
special meaning to the hosting environment (e.g. install path).
Each map element can be used to specify the following
elements:
o
internalName
[type=IDREF]
This REQUIRED element is a reference to a variable defined within
the IUDD whose value is used to initialize a corresponding artifact
variable identified by the externalName element.
o
externalName
[type=NCName]
This REQUIRED element is used as a reference to avariable defined
within the artifact that MUST be initialized with the value of the
IUDD variable identified by the internalName element.
The map element also includes an attribute – direction – that can be used to specify a reverse mapping where the value of an artifact variable is used to set an IUDD variable. The default value of this attribute (“in”) is appropriate for an SIU or CU artifact, as it corresponds to the above stated semantic of the internalName and externalName mapping. A different value (“out”) can be only specified for a check artifact (see Section 7.3.8). In other terms, there is no provision for variables to be set as a result of executing a SIU or CU artifact.
A restart of the hosting environment runtime, e.g. an operating system reboot, SHOULD NOT be directly invoked by actions in the artifact. The need for a restart of the hosting environment MAY be indicated using the HE_restart_required attribute (default “false”) in the artifact definition. If this attribute is set to “true”, the hosting environment SHOULD be restarted after processing of the artifact has been completed.
The restart is NOT conditioned to the occurrence of specific conditions (e.g. the presence of locked files on an operating system hosting environment). However, the restart MAY be postponed until after further IUs within the same life cycle operation have also been processed within the same hosting environment, provided that none of the IUs with a pending restart are required as pre-requisites.
A pre-requisite IU MUST be brought to the Usable state by performing the pending restart before other dependent installable units can be installed.
In some cases it is possible and preferable to determine the need for a restart while the target hosting environment is processing the artifact. In order to support this capability, a hosting environment MAY provide interfaces – that actions supported within an artifact MAY leverage – to notify the need if a restart. After notification, the restart would be properly sequenced with other pending operations. In that case the requirement for restart SHOULD NOT be normally declared in the artifact definition.
A configuration unit (CU) is an atomic unit of configuration. Like an SIU, a CU can be specified as part of an aggregated installable unit. The following differences exist between a configuration unit and an SIU:
· A CU does NOT have a unique identity and does not represent a distinct entity with a defined lifecycle (e.g. that might be recorded in a registry).
· Configuration units can be targeted NOT only to hosting environments, but also to any type of managed resource.
· The life cycle operations applying configuration units to the target managed resources are described in Section 4.3.
A configuration unit is an instance of siu:ConfigurationUnit, the type illustrated in the following diagram.

A configuration unit has the following attributes:
A configuration unit has the following elements:
·
manufacturer [type=base:DisplayElement]
This
OPTIONAL element allows to specify the name and description of the
CU manufacturer. See Section 17 for a general description of display
elements and their localization.
The type siu:ConfigurationArtifactSet is illustrated in the following diagram.

The following OPTIONAL elements are instances of the type siu:Artifact, defined in Section 9.5. The artifacts described by each one of the elements illustrated in the above diagram are described in the Section 10.2 below.
·
configArtifact [type=siu:Artifact].
This OPTIONAL element SHOULD define a Configure
artifact.
·
verifyConfigArtifact [type=siu:Artifact]
This OPTIONAL element SHOULD define a VerifyConfig
artifact.
Each one of the above artifact declarations MAY include information on its format through the OPTIONAL type element. Standard enumerated values, see Section 9.5, are:
·
“ActionDefinition”
The artifact defines actions to be executed on a target hosting
environment. This format MAY be appropriate for a CU that
configures an IU instance through its hosting environment.
See Section 14 for a definition of the proposed format for
artifacts of this type.
·
“ResourcePropertiesDefinition”
The artifact defines property values. This is the preferred
format to define the configuration of a manageable resource.
See Section 15 for a definition of the proposed format for
artifacts of this type.
The artifacts described in the following table are applied to a manageable resource to set or to verify a specified configuration.
|
Artifact type |
Description |
|
Configure |
The configure artifact is associated to a CU and it defines actions
to configure a resource. The artifact is processed by the Configure
operation acting on a manageable resource. |
|
VerifyConfig |
The verifyConfig artifact is used by the VerifyConfig operation to
verify the configuration of a manageable resource. Actions defined
in the verifyConfig artifact MUST NOT contain references to bundled
files. |
Both fixes and updates are considered to be a form of installable unit, which can occur at any level of aggregation, including as a root IU. Fixes and updates follow a hierarchy that must match the hierarchy of the original root IU, so that a consistent set of rules applies to both fixes and updates.
Only one fix can be defined within an update or fix root IU for each inline IU in the base. Specifically, only one fix per SIU can be defined. The fixName element (see Section 5.2) identifying a fix aggregate IU logically represents all fixes applied to any of the aggregated children IUs[6].
A fix aggregate IU applying to an aggregate in the base that included a referenced or federated IU, may include multiple fixes[7] for that referenced or federated IU. The order of applying multiple fixes to the same referenced IU is determined by sequence numbers or by fix dependencies.

Figure 11: Fixes and updates in an aggregated IU
Figure 11 illustrates the use of fixes and updates. An offering X, consisting of two components A and B, is shipped at Version 5.0.0 and deployed as a fresh install. A subsequent update to X is shipped at version 5.0.1. It contains an incremental update to both A and B, and fixes which apply to those incremental updates.
If an aggregating IU contains an update to a child IU, then that aggregating IU must also be updated. However, a root IU MAY be independently installed and it MAY be federated by multiple aggregating IUs. Fixes and updates applied to the federated IU outside of the context of an aggregating IU would NOT be reflected as an update (version change) of the aggregating IU. This process, MAY cause the dependencies of the aggregating IU to be invalidated, if the dependencies specify a maximum version for the federated IU: an implementation of the deployment system may warn if this is the case. A similar situation MAY occur when a federated IU is updated as part of an aggregated IU, and is also shared by another aggregated IU.
Installable units are categorized as "Full" or "Incremental". A full IU always has a unique version number, and MAY either be a base install, which installs a new version of a product; or an upgrade, which MAY either install a new version, or upgrade an existing a version to a new version. The remainder of this section considers only incremental IUs, and Full IUs that can be applied as updates.
An incremental update IU MAY contain only the subtrees of its original content containing the modified SIUs. An incremental update MAY also introduce new IUs and fixes. It MAY specify that certain IUs have been “obsoleted” and are no longer needed.
A full update MAY totally replace the previous version of the installable unit. Since a full IU MAY be installed independently of an existing base, it MUST include all the content that is part of the required base and that is NOT being obsoleted.
A full IU MUST aggregate only full IUs, or full IUs plus updates and fixes to those IUs. It MUST NOT aggregate an update or fix on its own. However, it MAY contain fixes and updates as bundled requisites.
An incremental update IU MAY aggregate full IUs, update IUs and fixes. However, for each one of the aggregated updates or fixes, the IUs to which these are applied MUST be defined in the IUDD of the base root IU. Each one of these updates or fixes is applied to a corresponding IU instance within the root IU instance being updated. In particular, the update process relies on the restriction stated in Section 6 that an aggregate IU cannot have two children with the same UUID, to associate each IU update to a single instance of its required base that is located within the corresponding aggregation level within the updated root IU, see Section 12.5.1.
A fix is a form of incremental update, but SHOULD only aggregate other fixes.
Characteristics of the fix/update support include:
· It is possible to place requirements on a fix at the SIU or CIU level.
· Fixes and updates are applied in a given context (within their aggregating IU).
· A set of fixes for a solution can be provided, that are to be installed together.
· In-line IUs within a solution cannot be updated by fixes for the same IU in another solution[8].
Elements of the identity definition for installable units are described in Section 5.1. In particular, one of the two elements illustrated in the following diagram MAY be specified to indicate whether the IU is an update to another base IU. When no elements are specified, the IU is assumed by default to be a “full” IU with no upgrade base.

Elements of the identity definition for temporary fixes are defined in Section 5.2. In particular, the element incremental/requiredBase is an instance of base:RequiredBase and it defines the admissible version range for the IU to which the fix can be applied.
A full IU can be used to create a new instance (fresh install) or to upgrade an instance of the associated upgrade base. Therefore, the descriptor of a full update IU can be used by the Create and the Update operations. During the Update operation it MUST be possible to identify IUs, including aggregates, that are already defined in the base descriptor and that SHOULD NOT be installed as part of the update.
A full IU specifying an upgrade base SHOULD declare obsoleted all IUs in the base that are not represented in the full IU descriptor[9]. When used as an update, the full IU establishes a new base, i.e. the history of previous updates applied to an existing IU instance in the upgrade base that is not obsoleted SHOULD be ignored. The IUDD of the full IU and its associated artifacts are used for the life cycle management of any IU instance that is part of the updated root IU after the update.
It is recommended that an update descriptor use the same IUName internal identifier for IUs that are also defined in the base descriptor. If the same IUName internal identifier is used in an update, it SHOULD apply to the corresponding IU in the base. However, there is no requirement to be able to associate the IUName internal identifier with an installed IU instance. As a result, identification of the IU instances MUST be based on UUID.
The following constraint MUST be imposed on IUDD documents to support the above identification method:
An aggregate IU CANNOT include two sibling IUs that have the same UUID.
With the above restriction, identification can proceed top-down from the root IU. When corresponding aggregates have the same version no update is required. Otherwise, for any IU definition in the current aggregate level, the following alternatives may occur:
· An IU found in the update descriptor does not have a UUID match with an IU instance in the corresponding level within the root IU instance being updated. The IU represents new content that MUST be deployed as part of the update, either because:
o although defined in the base IUDD, the IU was not selected in the base due to different feature selections or conditions; OR
o this is a new IU introduced in the update IUDD.
The Create operation is performed to create an instance of the new child IU.
· For the IUs that have a UUID match, the version must be compared:
o A matching version means that an IU was already deployed as part of the base, hence nothing needs to be done.
o When an instance with a lower version is found, the corresponding IU in the update MAY be an update (or fix) to the base instance OR it MAY be a new base that obsoletes the current instance. An Update, or a Delete followed by a Create is performed, depending on which one of the above occurs.
o An instance with an equal or higher version may be found when this is a federated IU that has been updated outside of the context of this aggregating IU. In that case, no update is required.
The IU descriptor of a full update may include CUs within aggregates that are also part of the upgrade base, as well as CUs that belong to new aggregates. When the full IU is applied as an update to an existing instance, it causes CU definitions to be reset, i.e. the CUs that are associated in the full IU to an aggregate that already exists in the base SHOULD replace the old ones and constitute a new base for CUs in that aggregate.
By contrast, CUs defined within an incremental update are simply added to the ones already defined for a corresponding aggregate of the base. An aggregate IU that is an incremental update SHOULD NOT contain a CU with the same CUName internal identifier of a CU defined in the corresponding base IU. If one such CU is defined, the definition SHOULD be ignored – it SHOULD NOT be interpreted as a definition superseding the CU definition in the base.
The sub-set of topology targets specified for the base root IU that are targeted by updates MUST be defined in the topology element of the update root IU. The target “id” attribute, see Section 5.6.1, is used to associate targets in the update with targets in the base. The topology in the update IU MAY include also additional targets, associated to new features. Any IU within the update root IU that defines an update to a base IU must be associated to the same target.
Selection requirements of a target declared in the topology section of the base SHOULD be omitted in the descriptor of an incremental update. If specified, they SHOULD be ignored.
An update is deployed onto the target instances that were selected during install of the base: a candidate target instance that was not selected when the base IU was deployed SHOULD not be targeted by the update. Different implementations may have different methods to determine the range of target instances where the base IU was installed and onto which the update can be applied.
An updated IU – or a new IU that is part of the update – MAY introduce new requirements to be satisfied on a topology target. For example, a new service pack needs to be installed on an operating system target. However, it SHOULD be possible to satisfy the new requirements on all instances of the target that were selected when the base instance was created. This can be achieved for new software requirements by specifying the canBeSatisfiedBy clause in the check.
Requirements on the target that are introduced by a new or updated IU MAY be declared in that IU OR they MAY be defined as additional validation requirements on the corresponding target.
The value of a variable defined within the descriptor of the base IU may have been passed through a parameter map for use by actions defined in the install artifact. The actions in the install artifact of an update IU MAY need this information in order to implement the update in a consistent manner. Therefore, it SHOULD be possible to access the value of a variable defined in a previous level.
Variables defined by an IU and used during install SHOULD retain their value across operations (see 8.4). Moreover, variables defined within multiple updates of the same IU MUST share the same namespace:
· a specific variable declaration – inheritedVariable – can be used within an update to create a reference to a variable declared in some previous level, including the base level (see Section 8.1.6).
· a variable name SHOULD NOT be reused in a new level other than via inheritedVariable. The behavior is undefined if the variable name is re-used, although some implementations MAY detect the error.
An update or fix SHOULD contain a complete definition of its requirements.
Therefore it is expected that some requirements would duplicate the same already expressed in the IU descriptor of the update base. While it is a good practice to use the same internal identifiers for checks, requirements and alternatives that have a correspondence with the ones declared in the update base, this is NOT required.
An update or fix MAY have more stringent requirements on a software dependency (i.e. a dependency associated to a software or an IU check) that was also declared in the base IU. In that case the update MAY include bundled requisite IUs to satisfy those requirements.
An example is as follows. An update is required to IU “B” because of an update being applied to another IU “A”, on which “B” depends. It is desired to ship both updates in a single root IU, in order to apply updates to both IUs at the same time. The synchronized update of an IU and its dependencies can be specified as follows:
· the check specified by IU “BUPD” (update to B) identifies the software dependency by the same UUID (and/or name) and a newer version;
· a bundled requisite IU containing “AUPD” (update to A) is specified by the canBeSatisfiedBy element of the check.
When installing the update, the requisite SHOULD only be applied to upgrade an instance that is already in use by the base IU.
<iu checkId="A_check_in_Bupdate">
<UUID>12345678901234567890123456789012</UUID>
<minVersion>8.1.1</minVersion>
<canBeSatisfiedBy>bundled_A_FixPack</canBeSatisfiedBy>
</iu>
An implementation of the Update operation needs to ensure that, in presence of software dependencies declared in multiple alternatives of a requirement, the same instance of an external software dependency is selected that is already in use by the base. See Section 7.2 for a definition of requirements with alternatives.
To facilitate this, the following assertion is made:
One IU MUST NOT have a dependency on more than one IU instance with a given UUID or name.
If an IU update declares a software dependency to an IU with the same UUID (or name) as a dependency already satisfied in the base, the same instance already in use SHOULD be selected. Because of the above assumptions, the following process can be applied to the evaluation of alternatives for each requirement declared in the IU update:
· Software dependencies that are in use by the IU instance being updated are identified;
· Any software dependency within an alternative that matches a dependency already in use – by UUID or name, not necessarily version – is restricted to be satisfied by the same instance, possibly after applying an update if the corresponding check specifies a newer level – or temporary fixes – and a bundled requisite. See Section 11.4 below;
· If a software dependency in a selected alternative in the base appears in more than one alternative in an update, then this needs to be resolved to one alternative in the update. This resolution MAY be performed automatically, based on criteria such as the number of satisfied dependencies in the alternative, or priority. The resolution MAY also be made by an external decision, e.g. by a user selection.
One application requires one database for its internal use and another one for customer data, and there are separate requirements for each one: the customer data could be on database IUs “dbXX” or “dbYY”, while the private application data should be on “dbZZ” or “dbXX”. When the application is first created, “dbXX” is selected for both customer data and for private data (e.g. because “dbYY” and “dbZZ” were not available or were lower priority alternatives). Where the two requirements are declared in the same IU, the rule stated in the previous section prevents the application to be installed having the same CIU or SIU dependent on two different instances of “dbXX”. Therefore it can assumed that in this case the base IU instance will have two software dependencies satisfied by the same instance of “dbXX”.
The following XML fragments illustrates how the requirements may be defined in the base IU:
<requirements>
<requirement name="customer_data_database" operations="Create">
<alternative name="dbXX_found" priority="2">
<checkItem checkIdRef="db2_check"/>
</alternative>
<alternative name="dbYY_found" priority="1">
<checkItem checkIdRef="oracle_check"/>
</alternative>
</requirement>
<requirement name="private_data_database" operations="Create">
<alternative name="dbZZ_found" priority="2">
<checkItem checkIdRef="db2_check"/>
</alternative>
<alternative name="dbXX_found" priority="1">
<checkItem checkIdRef="oracle_check"/>
</alternative>
</requirement>
</requirements>
An update for the above IU could specify the same requirements for the above databases, apart from a new update level that is required on “dbXX”. At the time when the update is applied, “dbZZ” is found to exist in the system and that is the preferred choice for the application private data. However, the process illustrated in the previous section will still select the “dbXX” alternative on both requirements, because there is one instance of “dbXX” already in use by the required base.
As explained in Section 9.1 for the supersededFixes element of an IU definition, updates and fixes MUST be able to handle superseded fixes. However, nothing can be assumed about the compatibility of an update or a temporary fix with fixes that are already applied to the IU instance being updated, when
· these fixes are NOT listed as being superseded by the update or fix; e.g. because these fixes were released after the update was manufactured
· fixes already applied are NOT listed among fix dependencies, see Section 9.2.1, of a new fix that is being applied.
The following SHOULD apply to fixes identified by the above conditions:
· A fix “B” MAY be applied without rolling-back an applied fix “A” that is not superseded by “B”. However, “B” SHOULD NOT be applied if “A” supersedes “B”.
· When installing an update, full or incremental, all fixes that are NOT listed as superseded by the IU SHOULD be rolled back before processing the update.
· In the previous situation, if there are fixes NOT superseded by the update that cannot be rolled back, the update SHOULD NOT be installed. A new level update will be required, that includes the installed fix among superseded fixes, OR that declares updated fix dependency information.
A federated IU may be defined in an update with the intent to apply maintenance to an IU instance federated by the base IU. The following conditions MUST be met for the update to be possible:
· The federated IU definition appears in the update descriptor in the same relative location with respect to the root IU where the corresponding federated IU appears in the base.
· for each alternative in the base federated IU definition that requires an update, there is an alternative in the update definition whose IU check specifies the same UUID; see Section 6.3 for a definition of federated IUs;
· the canBeSatisfiedBy element of each IU check in the federated IU definition refers to a bundled requisite that can be installed as an update on top of the corresponding IU in the base declaration.
Updates and fixes applied to a root IU instance may introduce new configuration units, which are processed initially during the Migrate process. See Section 4.3. After the Update is applied, CUs associated to obsoleted IUs and superseded fixes are not applicable any more. However, when a Configure operation is re-applied in full mode, see Section 4.2.5, to an IU instance that was subject to one or more incremental updates or fixes, all the configuration units defined in the IU descriptor of the base and the ones defined in the IU descriptors of the updates/fixes are re-applied.
The order in which CUs are applied is determined by depth-first rule and sequence numbers, as discussed in Section 12. As an example, a CU defined with the highest sequence number in a top-level IU will be the last to be applied within that context.
All CU definitions introduced by an incremental update are intended to be incremental. In order to cope with the problem of CUs possibly causing undesired effects, an implementation MAY support selecting CUs that should not be applied during the InitialConfig, Migrate and Configure operations.
As explained in see Section 11.1, applying a full IU update to an existing base has the effect of establishing a new base for configuration units, thus effectively replacing any CUs associated to a non obsoleted IU instance.
The following guidelines illustrate the expected order of evaluation for targets, dependencies and variables. The guidelines are intended to facilitate a consistent interpretation of IUDDs by different management applications.
This section also defines how to determine the order of installation of IUs.
Variables MAY be evaluated on-demand. Variables MUST be evaluated before they are used.
The return from a query MAY be affected by the installation of other IUs. The “nominal” value of a query is its value when the query is performed immediately before the installation of the IU in which it is defined: a query SHOULD NOT be evaluated prior to this point, although it MAY be evaluated any time before first use. To avoid unexpected differences in behavior, its value SHOULD NOT be modified by any installation actions before its first use. Once evaluated, the value of a query SHOULD NOT be re-evaluated.
Variables that are NOT used, e.g. because they are used inside a condition which evalutes to “false”, MAY NOT be evaluated.
The candidates for a given logical target SHOULD satisfy all of the selection dependencies specified in the root IU and in all referenced IUs, recursively, that have a target map for that target. The members of the resolved target list SHOULD satisfy all of the selection and validation dependencies in the root IU and in all referenced IUs, recursively, that have a target map for that target. See Section 5.6.1.
Targets SHOULD only be evaluated if they correspond to hosting environments for selected IUs, to the targets of checks for selected IUs; OR to resources whose existence is required by required relationships of other targets.
Custom checks SHOULD NOT be used in topology requirements, because to evaluate them would typically require installation and execution of code on the candidate targets, and an implementation is not REQUIRED to support this. If an implementation does support this, then variable expressions involving variables based on queries SHOULD NOT be used within the custom check, as the queries may be against targets that have not yet been resolved.
Evaluation of IU checks and software checks SHOULD take into account the list of IUs that are selected for install, as well as the list of IUs that are already installed.
All of the requirements on child IUs and referenced IUs SHOULD be evaluated before installing a given IU.
Order of installation is defined to be depth-first. The schema supports specifying a sequence number on installable units and configuration units. This sequence number can be used to control ordering of immediate children within a parent: child IUs are ordered by increasing sequence number. If an explicit sequence number is not specified, the IU MUST be installed after any IU with a specified sequence number. Where two siblings have the same sequence number, the dependency checker MAY choose to order them as best meets any dependencies, or can install them in parallel.
For the top level of IUs and CUs in a root IU, the sequence numbers span both required content and selectable content. Sequence numbers associated to configuration units are processed during the Configure operation.

Figure 12: Sequencing of install
In the above example, one possible order for completion of install would be: IUG, IUD, IUE, IUF, IUC, IUB. During configuration, the order of configuration would be: CU3, CU1, CU2. Note that IUB completes install after all of its children, although it effectively starts its install prior to its first child (IUD).
The use of sequence numbers is primarily intended for situations where the aggregate consists of a set of tightly coupled inline IUs, where the details of actual dependencies may not be fully understood or may be very numerous. For relatively loosely coupled IUs, the preferred mechanism is to specify internal dependencies within the root IU. In particular, if there are dependencies between different selectable content IUs, these should be expressed using IU checks, because this will allow checking of the consistency of selections and the order of install. However, note that the existence of an internal dependency between the IUs does not cause the implicit selection of a feature containing dependent IUs.
These internal dependencies should be expressed using an IU Check, specifying the internal IU name of the IU that must be installed first, see Section 7.3.6.
The presence of a dependency between two installable units MUST be consistent with the sequencing of their install as determined by their position in the aggregate tree and, if siblings, by their sequence numbers.
An IU “Y” – base install, update or fix – MAY have a pre-requisite (default) or requisite dependency on another IU “X”. That dependency is expressed by an IU check or by a software check. A pre-requisite dependency must be satisfied before install, while a requisite dependency must be satisfied before install is completed. This information may be used by the install runtime in determining the appropriate install order, not only within a root IU, but also between requisites and prerequisites.
The lifecycle operations for an installable unit are described in Section 4.2. This section describes how these lifecycle operations apply to aggregated IUs.
When performing a change management operation on an aggregated IU, the lifecycle operation for each child IU will depend on:
· The lifecycle operation being performed by the root IU.
· Whether the child IU already exists.
· The existence of any prerequisite dependencies.
In particular, a pre-requisite IU “X” that is being created (new instance) MUST be in the Usable state, thus requiring the Create and InitialConfigure operations to be applied, before a dependent IU “Y” can be installed. Analogously, a pre-requisite IU “X” that is being updated MUST be in the Usable state, thus requiring the Update and Migrate operations to be applied, before a dependent IU “Y” can be installed.
For example, consider the update A’ illustrated in the following figure.

Figure 13: Update with new content
In this case all IUs are updates other than IUC and IUF, which are new IUs. This IU can be installed in the context of an Update operation to an existing instance of IU A, the required base onto which IU A’ can be applied. Installing this IU will cause the Update lifecycle operation on IUA, IUB, IUD and IUE; and a Create lifecycle operation on IUC and IUF.
The following principles determine the sequence of operations when installing an update:
· each IU instance to which an update/fix is applied MUST be in the Usable state;
· both new and updated IU instances SHOULD be left in the Usable state at the end of the update process (error conditions are NOT discussed here).
If there are no pre-requisite relationships specified between resources, a lifecycle operation on an aggregated IU will cause its child IUs to perform the same lifecycle operation. In this case, all of the IUs will be brought to the “Created” or “Updated” state, and then to the “Usable” state. The initial creation or update lifecycle operations are initiated from the child IUs according to the sequencing rules described in the previous section. The sequence of lifecycle operations for the above example will be (IU state changes listed at each step between square brackets):
1. IUF.Create [IUF Created, IUC Created]
2. IUD.Update [IUD Updated]
3. IUE.Update[IUE.Usable, IUB Updated]
4. IUF.InitialConfig[F Usable]
5. IUD.Migrate [IUD Usable, B Usable]
6. CU3.Configure [IUC Usable]
7. CU1.Configure
8. CU2.Configure [IUA Usable]
In the above sequence, step 4 does NOT cause IUC to become Usable, because there is a new configuration unit that needs to be applied. As explained in Section 4.3, configuration units define the repeatable part of the initial configuration, and the new CUs introduced by the update are automatically applied at the end of the update process. This is represented by steps 6-8 in the above sequence.
When there are pre-requisite relationships, the prerequisite IU must be in the “Usable” state before a dependent IU can be installed. As an example, let assume that a pre-requisite dependency exists between IUE and IUD. This means that IUD must be fully configured before IUC can be installed. Steps 1-5 in the above sequence would change as follows:
1. IUF.Create [IUF Created, IUC Created]
2. IUD.Update [IUD Updated]
3. IUD.Migrate[IUD Usable]
4. IUE.Update[IUE.Usable, IUB Usable]
5. IUF.InitialConfig[F Usable]
The diagram in Figure 14 illustrates in more detail the case of an aggregate (IU A’) including updates (E’, F’ and F”) to installable units (E and F) within the base IU A.
In this example, the dashed boxes represent a target IU that is being updated when the aggregate update A’ is installed on an existing instance of A.
Multiple incremental updates to the same base can be chained together, as shown in the example for F, F’ and F”. In this example, F” is applied to the instance that is created by applying F’ to F. As a general rule, the presence of a sibling update X’ satisfying the required base definition for an update X” is always restricted to apply to the same instance of X which X’ is applied to. This is consistent with the general rule stated in Section 6 that an IU aggregate cannot have two children with the same UUID.

Figure 14: Multiple updates within the same aggregate
The following general applies to the update process:
The required base specified in update and fix definitions MUST be treated as a pre-requisite type of dependency.
A pre-requisite type of dependency implies that the required resource MUST be in the Usable state before a dependent IU can be installed.
In the above example, F” has a pre-requisite dependency on F’. As a consequence, update and migrate operations (if migration is required) are required to bring F’ to the Usable state before F” can be installed.
A slightly different example is one where the aggregate E is a new IU, itself part of the update. In that case, F should be installed and initially configured before F’ can be applied.
The case in which E and F are IU aggregates containing configuration units can be treated similarly because of the general rule stated in Section 4.3, namely that it SHOULD be possible to apply configuration units after all InitConfig and Migrate artifacts for the whole root IU have been processed. In the above example: it would be possible to install F” on top of the updated instance where F’ has been installed, that is after the F’ Install and Migrate artifacts have been processed, but before any configuration unit that MAY be contained in F’ are applied.
The diagram shown in Figure 15 illustrates the case in which F is a federated IU in the base aggregate (E). In that case, also the updated aggregate (E’) specifies the new required level of the IU (F’) as a federated IU. In this case, the new desired level of the federatedIU for the update is identified by the IU checks in the federated IU definition.

Figure 15: Bundling updates to a federated IU
In order to ship updates to a federated IU within the same update aggregate, the IU check defining the federated IU must contain the canBeSatisfiedBy declaration pointing to a bundled requisite, see Section 7.3.6 for a definition of IU checks.
The following logic SHOULD be applied to deploy bundled updates to an IU instance federated by the base root IU.
· Federated IU instances are located within an aggregation level of the base root IU, corresponding to the one where the updated federated IU definition is located. In the above example, in order to target the federated IU update F’, federated instances associated to the E aggregate will be located.
· The IU check specifed in the update MAY be already satisfied in case the federated IU F has been independently updated, e.g. as part of another root IU in which it is contained. In that case, there is no need to apply any update.
· Where there is one partial match (UUID and name only) and there is a bundled update (canBeSatisfiedBy element in the IU check), the update is applied to the instance, after positive checking that the required base declaration in the bundled update are satisfied by that instance. In the above example: the required base declaration in the bundled update F’ is verified against the federated IU instance F in E. A single matching instance SHOULD be found, consistently with the general rule stated in Section 6 that an IU aggregate cannot have two children with the same UUID.
· Multiple incremental updates to the same federated IU can be also chained together. In the above example, the bundled updates F’ and F” can be applied in sequence to F. As a general rule, the presence within an update (E’) of sibling federated IUs F” and F’ whose IU checks have matching identity is interpreted as the intent to apply the corresponding bundled requisites (F” and F’) to the same instance (F). The order in which the bundled updates are applied is determined by the required-base declarations in their descriptors. Similarly to the case discussed in Section 12.5.1, the required base MUST be usable before the update can be applied.
Installable unit instances may be identified by their identity fields (UUID, version, name). Therefore, the IU identity should be considered as the primary signature of an installable unit. However, an IU instance could also be detected by the presence of specific signatures (files, registry entries, etc.). IU developers are the most reliable source of accurate signature information for an IU, so there is an advantage to have this information readily available from the IU descriptor, instead of having to create this information a-posteriori.
The signature information provided within an IU definition serves the following purposes:
A hosting environment MAY use the IU name, see Section 5.1, and detect an IU instance by the presence of a matching entry in a platform registry, e.g. an operating system registry of installed software products. When the signature information is available, using a specified signature SHOULD be considered the preferred method for reliably detecting an instance.
The signatures element is an OPTIONAL element of an IU Definition, see Section 9.1. This element includes an unbounded sequence of signature elements whose type – sigt:Signature – is abstract. This abstract type defines only one OPTIONAL attribute that is common to all signatures:
Being an instance of an abstract type, each signature element MUST specify a concrete derived type. Different signature types MAY be appropriate on different hosting environments, and could be defined by one or more concrete signature types derived from sigt:Signature. The following signature types are defined for support on an operating system hosting environment:
· FileSignature [type=sigt:FileSignature]
· WindowsRegistrySignature [type=sigt:WindowsRegistrySignature]
· OsRegistrySignature [type=sigt:OsRegistrySignature]
The type sigt:FileSignature is illustrated in the following diagram.

File signatures have the following attributes, in addition to the keySignature attribute inherited from the base abstract type:
·
platform [type=sigt:PlatformType]
This OPTIONAL attribute is used to specify the operating system
platform. Different characteristics may need to be specified
for a file on different platforms. This attribute restricts the use
of the associated file signature to a specific platform. The type
of this attribute is defined as a union of the XML type QName and
rtype:OS_RT. Therefore, a user defined operating system type MAY be
specified as a QName value. Standard enumerated values for the
operating system are defined in rtype:OS_RT.
File signatures have the following elements:
·
fileName [type=string]
This element is REQUIRED. It specifies the name of the file.
·
fileSize [type=nonNegativeInteger]
This element is OPTIONAL. It specifies the size of the file in
bytes. The size of the signature file is not a mandatory element of
the signature, because there MAY be products whose key files are
actually built during install using object-code and libraries
available in the underlying hosting environment and whose size
cannot be pre-determined in advance. In this case, one SHOULD
specify multiple key files in order to increase the reliability of
a matching based only on file names.
·
relativePath [type=base:RelativePath]
This element is OPTIONAL. It is used to specify the file location
with respect to the installable unit’s install location. When
this attribute is specified it is possible to compare the file
actual location with the relative path and determine the IU install
location. The value “.” indicates that the file is
located immediately below the install location directory.
·
checksum [type=base:CheckSum]
This element is OPTIONAL. If specified, the value can be used to
verify the file integrity or to improve the safety of matching. The
element defines the digest of the file in a string format. The
content can be interpreted knowing the hash algorithm type used to
compute the digest. The algorithm is specified by the following
attribute
o
type [anonymous type]
This attribute is OPTIONAL. The default, if the checksum is
specified without a type, is “CRC32”. The decimal
representation is used for a CRC32 checksum. Other possible
enumerated values are:
§ “MD2”
§ “MD5”
§ “SHA-1”
§ “SHA-256”
§ “SHA-584”
§ “SHA-512”
<signature xsi:type="sig:FileSignature" keySignature="true"
platform="OSCT:Windows">
<fileName>myAppLibrary.dll</fileName>
<fileSize>123456789</fileSize>
<relativePath>lib</relativePath>
<checksum type="CRC32">4010203041</checksum>
</signature>
<signature xsi:type="sig:FileSignature" keySignature="true"
platform="OSCT:Linux">
<fileName>myAppLibrary.so</fileName>
<fileSize>121111111</fileSize>
<relativePath>lib</relativePath>
<checksum type="CRC32">4010203042</checksum>
</signature>
<signature xsi:type="sig:FileSignature" keySignature="false"
platform="OSCT:Windows" keyExecutable="true">
<fileName>myAppExecutable.exe</fileName>
<fileSize>234567890</fileSize>
<relativePath>bin</relativePath>
<checksum type="CRC32">4010203043</checksum>
</signature>
<signature xsi:type="sig:FileSignature" keySignature="false"
platform="OSCT:Linux" keyExecutable="true">
<fileName>myAppExecutable</fileName>
<fileSize>234567890</fileSize>
<relativePath>bin</relativePath>
<checksum type="CRC32">4010203044</checksum>
</signature>
The above example illustrates the elements and attributes of a file signature. In particular, a scanner detecting a match for the key file in the first signature with the “C:\MyCompany\MyApplication\lib\myAppLibrary.dll” file, can determine that the file belongs to an instance of that IU. The scanner would be also able to determine, based on the signature relativePath declaration, that “C:\MyCompany\MyApplication” is the IU instance install location.
The type sigt:WindowsRegistrySignature is illustrated in the following diagram.

This type of signature detects entries in the registry of a Microsoft Windows operating system. The only attribute of this type – keySignature – is inherited from the base type sigt:Signature.
The elements are all instances of the string type and define a key to be found in the Windows registry:
·
hive
[type = sigt:WinRegHive]
This element is REQUIRED. It is used to specify the name of the
hive to which the signature key belongs. One of the following
enumerated values MUST be specified
o “HKEY_CLASSES_ROOT”
o “HKEY_CURRENT_USER”
o “HKEY_LOCAL_MACHINE”
o “HKEY_USERS”
o “HKEY_CURRENT_CONFIG”
·
parentKey [type=string]
This REQUIRED element is used to specify the parent key of the
signature key.
·
key [type=string]
This REQUIRED element is used to specify a key whose existence is
part of the signature.
·
valueName
[type=string]
This OPTIONAL element is used to specify the name of the entry. If
omitted, the signature is assumed to refer to the default
entry.
·
data [anonymous type]
This elements is
used to specify the value data content. The element MUST be
specified if the valueName element is specified. Content is
specified by one of the following nested data elements:
o regDword [type=int]
o regString [type=string]
o
regMultistring
This is a sequence of one or more of
the following elements.
§ regString [type=string]
o regBinary [type=hexBinary]
o regExpandString [type=string]
The following XML fragments illustrate Windows registry signatures.
<signature xsi:type="sig:WindowsRegistrySignature" keySignature="true">
<hive>HKEY_LOCAL_MACHINE</hive>
<parentKey>SOFTWARE</parentKey>
<key>Adobe/Acrobat Reader/5.0</key>
</signature>
<signature xsi:type="sig:WindowsRegistrySignature" keySignature="true">
<hive>HKEY_LOCAL_MACHINE</hive>
<parentKey>SOFTWARE</parentKey>
<key>IBM/GSK4/CurrentVersion</key>
<valueName>Version</valueName>
<data>
<regString>4.0.2.49</regString>
</data>
</signature>
This type is similar in structure to the Windows Registry signature type. However the intent is to be able to define the registry information for generic operating system registries. The primary use of this registry based signature is to be able to identify installed legacy software without having to perform a full file-system scan, which can take a considerable amount of time.

OS generic registry signatures have the following attribute, in addition to the keySignature attribute inherited from the base abstract type:
·
platform [type=sigt:PlatformType]
This OPTIONAL attribute is used to specify the operating system
platform. See Section 13.1 above, for a description of the
same attribute in a file signature.
The
elements are all instances of the XML string type.
The following list includes, for the specified operating systems,
the platform type (between square brackets), the source of this
information (e.g. “rpm” on Linux) and the names of the
supported key values:
· IBM AIX [OSRT:IBMAIX] (lslpp)
o FileSet
o
Description
· SUN Solaris [OSRT:SunSolaris] (pkginfo)
o NAME
o
PKGINST
· HP HPUX [ OSRT:HPUX] (swlist)
o tag
o
product
· Linux [ OSRT:Linux] (rpm)
o package_name
o
NAME
<signature xsi:type="sig:OsRegistrySignature" keySignature="true" platform="OSRT:Linux">
<key>package_name</key>
<data>abiword-2.0.99.0.20031031-1.i386</data>
</signature>
A temporary fix MAY include a declaration of signatures for the following purposes:
· Applying the fix MAY cause a signature (e.g. a file signature) that had been declared for the fixed IU to become out of date. A software scanner using the original signature would fail to detect an IU instance after the fix has been applied. A signature declared in the temporary fix definition that provides updated values for a corresponding signature item (file, registry entry, etc.) in the fixed IU can be used to detect both the base IU and the fix.
· A temporary fix that does not modify any key signature of the base IU MAY define one or more signatures for itself, by which a software scanner could detect the presence of the fix. In case of a file signature, the scanner MAY be able to determine the install location of the IU to which the fix has been applied.
This section proposes a standard format for an artifact containing action definitions. A standard format has advantages in terms of consistency and potential reuse across different hosting environments, both of the artifacts defined using the standard format, and of the implementation code that processes the artifacts and implements the action. Further, for certain categories of hosting environment (e.g. operating system, J2EE, RDBMS), it is proposed that a set of standard actions should be defined. These actions will differ by hosting environment category. It is also expected that there will be additional actions that are either specific to a particular product, or that are provided by different install product vendors, and so it is recommended that an implementation support the pluggability of different action sets.
The schema for the action definition format – action.xsd, see Appendix L – is independent from the main schema files. A complete schema for actions supported by a hosting environment, e.g. the operating system, would be provided as a further schema file. This would provide concrete types for each of the abstract schema types defined in action.xsd.
The content of an action definition artifact is a single element, of type action:Artifact. The content of this element is illustrated below:

An Artifact may contain a set of Variables, see Section 14.1 and BuiltInVariables, see Section 0. The other elements of an Artifact are as follows.
|
Element |
Description/Use |
|
artifactType |
type = base:ArtifactType – use=optional The artifact type is one of: Install, InitialConfig, Update, Migrate, VerifyInstall, Uninstall, Configure, VerifyConfig, and CustomCheck. It defaults to Install. The artifact type is used to determine how to process the artifact. For example, an Install artifact may be used to uninstall an IU, by undoing each of the actions in the definition. It may also be used to verify an IU, by checking that the relevant actions have been applied.
|
|
hostingEnv |
type=siu:AnyResourceType – use=optional
This element specifies the type of
hosting environment to which the artifact can be applied. |
|
artifactSchemaVersion |
Type=vsn:VersionString This element specifies the version of the schema, which is fixed.
|
|
requiredActionSet |
Type=action:RequiredActionSet – use=optional This element specifies an action set from which the actions in this artifact derive. See Section 14.3.
|
|
actionGroup |
Type=action:UnitActionGroup (abstract) This element specifies a set of actions to be performed, see Section 14.4
|

Variables of the following types can be defined within artifacts:
· parameter
· derivedVariable
· result (no variable content is specified in its definition).
The first two are as described in Section 8.1.1 and in Section 8.1.2, respectively. The result type is used to hold the result of an action, which can then be used in subsequent actions. Variables defined within an artifact cannot be used to modify variables defined in the IUDD where the artifact is referenced, or in a different artifact.
In actions that consume variable values, the action definition must provide a means to specify how these variables are used within the action. Similarly, in actions that provide result variables, the action definition must provide a means to specify how variables can be set from the action results.
Built-in variable types may be defined for a given hosting environment action set. These variable types allow the definition of a variable instance in an artifact that takes a value returned from a “function like” expression, to be evaluated by the hosting environment.
The builtInVariables element defines an OPTIONAL set of variables of abstract type BuiltInVariable. Each variable has a required name attribute of type NCName.

Concrete derived types for a buil-in variable need to be defined for each hosting environment.
The following schema fragment illustrates how a concrete built-in variable may be defined.
<complexType name="OsBuiltInVariable">
<complexContent>
<extension base="action:BuiltInVariable">
<choice>
<element name="systemVariableValue">
<complexType>
<attribute name="sysVarName" type="base:VariableExpression"/>
</complexType>
</element>
…
</extension>
</complexContent>
</complexType>
The schema defines OSBuiltInVariable, which extends action:BuiltInVariable.
The semantic of the built-in variable is to return the value of the specified system environment variable. The following XML fragment illustrates how the above built-in variable may be used.
<builtInVariables>
<variable xsi:type="osac:OsBuiltInVariable" name="ProgramFilesDir">
<systemVariableValue sysVarName="ProgramFiles" />
</variable>
</builtInVariables>
As illustrated in the above example, the non abstract type of the action group must be specified for the unit element via the xsi:type attribute. In this example, the variable is chosen to be an instance of osac:OsBuiltInVariable. The example defines a variable named ProgramFilesDir, which is set to the value of the ProgramFiles system variable.
The requiredActionSet element of the artifact supports pluggability of action sets for any hosting environment. The requiredActionSet may be used to declare the action sets that are required by a specific artifact, for the artifact to be deployable. An implementation MAY perform a check to determine if the artifact can be handled by a hosting environment, before invoking the associated change management operation to apply the artifact to the hosting environment.
Two action sets may 'overlap' and define a common subset of actions. Therefore, in order to unambiguously associate an action to a definition of the required action set implementation, all action instances derived from action:BaseAction contain a reference to the implementing action set through the actionSetIdRef attribute.

The elements of the RequiredActionSet are defined in the following table:
|
Element |
Description/Use |
|
UUID |
type = base:UUID – use=required This element is a globally unique UUID that identifies the action set.
|
|
name |
type=token– use=optional This element is used to specify the name of the action set.
|
|
Attribute |
Description/Use |
|
actionSetId |
Type=ID – use=required This attribute is used to associate an action in the artifact to a defined action set.
|
An action artifact MAY include multiple action groups. Each group is a container for actions that is controlled by a condition. The element actionGroup is an instance of the abstract type action:UnitActionGroup. This type only defines the following condition attribute:
|
Attribute |
Description/Use |
|
condition |
type = base:ConditionalExpression – use=optional – default=”true”
This attribute, inherited from the base type, is used to specify a conditional expression. The action group is ignored when the result that is obtained by evaluating the condition is “false”.
|
All actions defined in an artifact SHOULD be derived from the base type action:baseAction.
![]()
The following attributes are inherited by all actions:
|
Attribute |
Description/Use |
|
Condition |
type = base:ConditionalExpression – use=optional – default=”true”
This attribute is used to specify a conditional expression. The action is ignored when the result that is obtained by evaluating the condition is “false”.
|
|
actionSetIdRef |
type=NCName – use=optional
This optional attribute is used to qualify the action set from which this action is derived. If it is not specified, a hosting-environment specific mechanism for resolving the appropriate action set MAY be applied. This mechanism SHOULD by default select actions from the standard set defined for the hosting environment.
|
The following element is inherited by all actions:
|
Element |
Description/Use |
|
displayName |
type=base:DisplayElement – optional
Description of the action. Example of usage: the short_default_text element for the current locale may be used as a label of the corresponding object in an IDE GUI. See Section 17 for a general description of display elements and their localization.
|
The following schema fragment illustrates how a concrete action set may be defined.
<complexType name="OsActionGroup">
<complexContent>
<extension base="action:UnitActionGroup">
<sequence>
<element name="actions">
<complexType>
<choice maxOccurs="unbounded">
<group ref="osac:OsActionChoice" />
</choice>
</complexType>
</element>
</sequence>
</extension>
</complexContent>
</complexType>
A type is defined which extends the UnitActionGroup abstract type. It specifies that an OSActionGroup contains a set of actions defined in OSActionChoice.
<complexType name="OsActionChoice">
<choice maxOccurs="unbounded">
<element name="addDirectory" type="osac:AddDirectoryAction"/>
…
</choice>
</complexType>
<complexType name="AddDirectoryAction">
<complexContent>
<extension base="action:BaseAction">
<sequence>
<element name="directory" type="command:DirectoryDefinition"/>
</sequence>
</extension>
</complexContent>
</complexType>
AddDirectoryAction is one of the actions defined in OSActionChoice. This action extends the action:BaseAction abstract type. It contains a definition of the directory to be added.
The following XML document illustrates what an artifact conforming to the SI action definition format may look like.
<?xml version="1.0" encoding="UTF-8"?>
<action:artifact
xmlns:action="http://www.ibm.com/namespaces/autonomic/solutioninstall/action"
xmlns:OSRT="http://www.ibm.com/namespaces/autonomic/OS_RT"
xmlns:osac="http://www.ibm.com/namespaces/autonomic/solutioninstall/OsActions"
xmlns:xsi="http://www.w3.org/2001/XMLSchema-instance"
xsi:schemaLocation="http://www.ibm.com/namespaces/autonomic/solutioninstall/OsActions osActions.xsd">
The namespace of the concrete action definition schema (osac) and the namespace for the relevant resource types are defined.
<artifactType>Install</artifactType>
This is an Install artifact. It may be used to drive the following IU lifecycle operations: Create, VerifyIU, Delete, Repair.
<artifactSchemaVersion>1.2.0</artifactSchemaVersion>
<requiredActionSet actionSetId="osIBMBase">
<UUID>12345678901234567890123456789012</UUID>
<name>com.ibm.solutioninstall.ostp.BaseActionSet</name>
</requiredActionSet>
Information is provided to allow implementations to identify the action set from which the actions derive.
<actionGroup xsi:type="osac:OsActionGroup">
<actions>
…
<addDirectory actionSetIdRef="osIBMBase">
<directory create="true" delta_compressed="true">
<location>/usr/local</location>
<name>MyProduct</name>
<source descend_dirs="true">
<source_archive format="jar">
<fileIdRef>file_00097</fileIdRef>
</source_archive>
</source>
<directory create="true">
<name>Docs</name>
<file>
<name>Readme.First</name>
<source>
<fileIdRef>file_0099</fileIdRef>
</source>
</file>
</directory>
</directory>
</addDirectory>
</actions>
</actionGroup>
</action:artifact>
As illustrated in the above example, the non abstract type of the action group must be specified for the unit element via the xsi:type attribute. In this example, the group is chosen to be an instance of osac:OsActionGroup.
The format of the resource properties definition artifact is shown below. This artifact format SHOULD be supported for both Config and VerifyConfig operations. Other artifact formats MAY be supported.
<?xml version="1.0" encoding="UTF-8"?>
<schema xmlns="http://www.w3.org/2001/XMLSchema"
targetNamespace="http://www.ibm.com/namespaces/autonomic/solutioninstall/config"
xmlns:config="http://www.ibm.com/namespaces/autonomic/solutioninstall/config">
<element name="configArtifact" type="config:ConfigArtifact"></element>
<complexType name="ConfigArtifact">
<sequence>
<element name="propertyValues">
<complexType>
<sequence>
<any maxOccurs="unbounded" minOccurs="0" processContents="skip" namespace="##any"></any>
</sequence>
</complexType>
</element>
</sequence>
</complexType>
</schema>
The resource properties definition artifact consists of an outermost delimiting element – propertyValues – followed by an unbounded sequence of any element. The elements MUST correspond to properties exposed by the target resource, with the element values specifying the values that are to be set or verified.
For example, a resource properties definition artifact might contain the following:
<?xml version="1.0" encoding="UTF-8"?>
<config:configArtifact xmlns:config="http://www.ibm.com/namespaces/autonomic/solutioninstall/config" xmlns:xsi="http://www.w3.org/2001/XMLSchema-instance" xsi:schemaLocation="http://www.ibm.com/namespaces/autonomic/solutioninstall/config config.xsd ">
<propertyValues>
<NumberOfLicensedUsers>5</NumberOfLicensedUsers>
</propertyValues>
</config:configArtifact>
This would set the number of licensed users to 5, or validate this value. Multiple property values MAY be specified, and these properties MAY be structured.
For properties which may have multiple instances, if any instance of that property is specified, all instances of that property are replaced with the set of instances specified in the resource properties definition artifact.
Variable substitutions SHOULD be supported. Any expression of the form $(varName), where “varName” matches the “externalName” element of a parameter map entry, SHOULD be substituted with the corresponding “internalName” element value in the parameter map. See Section 9.5.Variable substitution SHOULD be performed before the artifact is applied to the managed resource being configured.
An SIU defines sets (units) of install artifacts, each one potentially including references to five bundled artifact descriptor files (see Section 14). Analogously, each unit in a CU may reference two bundled artifact descriptor files. In some cases, it may be desirable to reduce the number of individual (small) files that are bundled in a package. In order to address this requirement without changing the current definition of SIU and CIU units, a general format is introduced to support the definition of multiple artifact descriptors in the same XML instance document (single file). This format is defined by an independent XML schema describing the aggregation of multiple artifacts.

The element artifactSchemaVersion is used to specify the version of the schema being used. One instance document may contain any number of the following elements:
An iu element is an instance of the anonymous type illustrated in the following diagram.

A fix element is an instance of the anonymous type illustrated in the following diagram.

A cu element is an instance of the anonymous type illustrated in the following diagram.

A check element is an instance of the anonymous type illustrated in the following diagram.

Each one of the OPTIONAL elements under iu, fix, cu and check illustrated in the above diagrams are instances of the type ma:ArtifactDefinition. This type defines a choice among two elements – ActionDefinition and ResourceProperties Definition – as illustrated in the following diagram:

The first element is an instance of action:Artifact, described in Section 14. The second element is an instance of config:ConfigArtifact, described in Section 15.
For artifacts defining actions – instances of action:Artifact – the artifactType element (instance of action:Artifact) SHOULD match the value of the type element that is specified by the referencing artifact element – instance of siu:Artifact – within the SIU or CU unit element, see Section 9.
Textual information may be associated to several types defined in the schema. This is possible because those types include one or more elements that are instances of the base:DisplayElement type. This type is illustrated by the following diagram.

The element provides the ability to specify the following text elements
·
defaultLineText [type=string]
This element MUST be specified. It should provide text suitable for
display in a single row, e.g. in a table. 200 characters is
the maximum length of the text string that can be
specified.
·
defaultText [type=string]
This element is OPTIONAL and has no restriction of length with
respect to the base XML string type. It should provide text
suitable for display as one or more paragraphs.
·
defaultTooltip [type=string]
This element is OPTIONAL and has a length limit of 60 characters.
It should provide text suitable for display as a short line or a UI
tooltip.
The text specified in the above elements is the default text and it is always available through the descriptor. Translated text MAY be available in a resource bundle. Therefore, each of the above elements MUST specify the following attribute for binding to the text in the resource bundle:
·
key [type=NCName]
This element is required. The value can be used to retrieve the
corresponding translated text from the resource bundle.
The resource bundle, if present, is defined by the language_bundle attribute of the rootIU element, see Section 5.3. When the language_bundle element is not specified, the default “iudd_bundle” is used. The value of this attribute provides the base name for the bundle files, one for each language. These are text files in the Java property file format, as described by the java.util.PropertyResourceBundle class in the JAVA SDK documentation.
This section summarizes the validation rules within the schema.
The following identifiers must be unique within the descriptor:
The following constraints must be respected on references to identifiers within the descriptor:
The key uniqueness and key reference constraints described in this section are not all represented in the schema. An implementor of tooling for the IU descriptor may provide additional validation to enforce these constraints.
Version information is defined in the IUDD schema in one of the two following string formats:
The above types are defined in the schema file version.xsd reproduced in Appendix H.
The vsn:GenericVersionString representation is designed to accommodate multi-part, multi-type version representations (for example, version 5.0 Build 2195 service pack 3 and version 6.0.2600.0000CO). This representation accomplishes the “interpret liberally” design guideline. The VRML representation accommodates numeric major/minor version representation (for example, version 1.3). The VRML representation accomplishes the “generate strictly” design guideline.
To compare versions, each version part (a version part is the version substring between separators, which are ignored for version comparison) is evaluated from left to right using either numeric or alphabetic comparison (alphabetic comparison MUST use a non-Unicode, locale-insensitive, case-insensitive collating sequence). For version parts that consist of a number followed by a letter, the numeric part is compared first: a version part “4a” is greater than a version part “4”. Comparison stops when the version parts are different (in this case, the greater version is the one with the greater version part), when no corresponding version part exists in one of the versions being compared (in this case, the greater version is the one with remaining version part(s)) or when the versions are equal.
|
[RFC2119] |
|
Key words for use in RFCs to Indicate Requirement Levels. Network Working Group – Request for Comments: 2119 – S. Bradner - Harvard University – March 1997 http://www.ietf.org/rfc/rfc2119.txt
|
|
[IUPACK] |
|
Installable Unit Package Format. IBM Autonomic Computing – ACAB.SD.0403
|
|
[CIM2.8] |
|
CIM Schema: Version 2.8.1 http://www.dmtf.org/standards/cim/cim_schema_v28
|
A. Solution Module IUDD example
This is a sample IUDD where root IU content is a solution module aggregate.
<?xml version="1.0" encoding="UTF-8"?>
<iudd:rootIU
xmlns:iudd="http://www.ibm.com/namespaces/autonomic/solutioninstall/IUDD"
xmlns:xsi="http://www.w3.org/2001/XMLSchema-instance"
xmlns:OSRT="http://www.ibm.com/namespaces/autonomic/OS_RT"
xmlns:J2EERT="http://www.ibm.com/namespaces/autonomic/J2EE_RT"
xmlns:RDBRT="http://www.ibm.com/namespaces/autonomic/RDB_RT"
xsi:schemaLocation="http://www.ibm.com/namespaces/autonomic/solutioninstall/IUDD iudd.xsd"
IUName="MySoln">
<identity>
<name>My Solution</name>
<UUID>11111123456789012345678901234567</UUID>
<displayName>
<defaultLineText key="ST_01">My Solution</defaultLineText>
</displayName>
<manufacturer>
<defaultLineText key="ST_02">IBM</defaultLineText>
</manufacturer>
<buildID>MyApp_5.1.abc</buildID>
<buildDate>2001-12-31T12:00:00</buildDate>
<version>1.0.1</version>
</identity>
The root IU identity information includes a name, UUID and version.
<variables>
<variable name="BusinessServers">
<resolvedTargetList>
<targetRef>tBusinessSvr</targetRef>
</resolvedTargetList>
</variable>
</variables>
The root IU has one variable, which is set to the list of resolved targets for the business servers. The value of this variable is a comma-separated list of the manageable resource IDs.
<installableUnit>
<containedIU IUName="myApp">
<fileIdRef>MyAppDescriptor</fileIdRef>
<parameterMaps>
<map>
<internalName>BusinessServers</internalName>
<externalName>TargetServerList</externalName>
</map>
</parameterMaps>
</containedIU>
</installableUnit>
The root IU contains two IUs. The first is a J2EE application, which is packaged in a referenced IU. The list of application servers within the cell onto which the application is to be deployed is passed into the IU as a parameter. The targeting of this referenced IU will be handled through target maps, see the tCell target.
<installableUnit targetRef="tDatabase">
<SIU IUName="myAppTable">
<identity>
<name>My App Table</name>
<UUID>0F000F000F000F000F000F000F000F00</UUID>
<version>1.0.1</version>
</identity>
<unit>
<installArtifacts>
<installArtifact>
<fileIdRef>MyAppTableArtifact</fileIdRef>
</installArtifact>
<uninstallArtifact>
<fileIdRef>MyAppTableArtifact</fileIdRef>
</uninstallArtifact>
</installArtifacts>
</unit>
</SIU>
</installableUnit>
The second is an inline SIU, which will install a database table. The SIU is targeted at the tDatabase target.
<rootInfo>
<schemaVersion>1.2.0</schemaVersion>
<build>157</build>
<size>0</size>
</rootInfo>
Addional root IU information is provided.
<topology>
<target id="tCell" type="J2EERT:J2EE_Domain">
<selectionRequirements>
<requirement name="dr1">
<alternative name="alt_1">
<inlineCheck>
<property checkId="IsWebSphereCell">
<propertyName>productName</propertyName>
<value>IBM WebSphere Application Server</value>
</property>
</inlineCheck>
</alternative>
</requirement>
</selectionRequirements>
<targetMap IUNameRef="myApp">
<externalName>J2EEDomain</externalName>
</targetMap>
</target>
The topology is described. The first target is a WebSphere cell. A target map is specified, to map this target into the target named “J2EEDomain” within the referenced IU. The EAR file will be installed into this target.
<target id="tBusinessSvr" type="J2EERT:J2EE_Server">
<scope>one</scope>
<selectionRequirements>
<requirement name="dr_3">
<alternative name="alt_3" priority="0">
<inlineCheck>
<property checkId="IsWASServer">
<propertyName>productName</propertyName>
<value>IBM WebSphere Application Server</value>
</property>
</inlineCheck>
<inlineCheck>
<version checkId="WASVersion">
<propertyName>version</propertyName>
<minVersion>5.1</minVersion>
</version>
</inlineCheck>
<inlineCheck>
<relationship checkId="IsComponentOfCell">
<source>tCell</source>
<type>HasComponent</type>
</relationship>
</inlineCheck>
</alternative>
</requirement>
</selectionRequirements>
</target>
The second target is a subset of the servers in the cell. The relationship check specifies that they must be components of the cell; the scope of some indicates that a selection may be made from the candidates, for example by the user. These servers must be at least WAS Version 5.1.
When specifying a relationship check, care needs to be paid to the target with which it is associated. The target should be the one that is being selected based on the relationship check. In this example, the requirement is to select application servers that are components of the selected cell. The intent is not to select a set of application servers and then validate whether they are in the same cell.
<target id="tOperatingSys" type=" OSRT:Operating_System">
<selectionRequirements>
<requirement name="dr_6">
<alternative name="alt_6" priority="0">
<inlineCheck>
<relationship checkId="IsServerOS">
<sink>tBusinessSvr</sink>
<type>Hosts</type>
</relationship>
</inlineCheck>
</alternative>
</requirement>
</selectionRequirements>
<validationRequirements>
<requirement name="dr_5">
<alternative name="alt_5" priority="0">
<inlineCheck>
<software checkId="OracleDriverInstalled">
<UUID>11111123456789012345678901234567</UUID>
<minVersion>7.2</minVersion>
<canBeSatisfiedBy>OracleDriver</canBeSatisfiedBy>
</software>
</inlineCheck>
</alternative>
</requirement>
</validationRequirements>
<targetMap IUNameRef="OracleDriver">
<externalName>OS</externalName>
</targetMap>
</target>
The fourth target is the operating systems that the application servers in the third target are running on. The validation requirement tests whether an Oracle driver is installed. If the driver is not installed, the canBeSatisfiedBy reference identifies an IU that will satisfy the dependency, if installed on the operating system, as indicated by the targetMap.
<target id="tDatabase" type="RDBRT:Database">
<scope>one</scope>
<selectionRequirements>
<requirement name="dr_7">
<alternative name="alt_7">
<inlineCheck>
<relationship checkId="UsedByCell">
<source>tCell</source>
<type>Uses</type>
</relationship>
</inlineCheck>
</alternative>
</requirement>
</selectionRequirements>
</target>
</topology>
The fourth target is a database that is being used by the cell.
<requisites>
<referencedIU IUName="OracleDriver">
<fileIdRef>OracleDriverIUDD</fileIdRef>
</referencedIU>
</requisites>
The root IU ships with the Oracle driver that is one of its bundled requisites.
<files>
<file id="MyAppDescriptor">
<pathname>solution/referenced/myApp/IUDD.xml</pathname>
<length>5011</length>
<checksum type="MD5">1234567890azsxqwedcrfvtgnyhbuij123</checksum>
</file>
<file id="MyAppTableDDL">
<pathname>solution/artifact/myAppTable/myAppTable.ddl</pathname>
<length>5249</length>
<checksum type="MD5">5555567890azsxqwedcrfvtgnyhbuij123</checksum>
</file>
<file id="MyAppTableArtifact">
<pathname>solution/artifacts/myAppTable/Artifact.xml</pathname>
<length>5432</length>
<checksum type="MD5">5555567890azsxqwedcrfvtgnyhbuij123</checksum>
</file>
<file id="OracleDriverIUDD">
<pathname>solution/requisites/oracle8.1.1.0/driver/IUDD.xml</pathname>
<length>5249</length>
<checksum type="MD5">5555567890azsxqwedcrfvtgnyhbuij123</checksum>
</file>
</files>
</iudd:rootIU>
The root IU defines the following files:
· The IUDD for the J2EE application
· The DDL file containing the table definition
· The artifact descriptor for the table
· The IUDD for the Oracle Driver
B. Example of a container installable unit
This is a sample IUDD where root IU content is a CIU aggregate.
<?xml version="1.0" encoding="UTF-8"?>
<iudd:rootIU
xmlns:iudd="http://www.ibm.com/namespaces/autonomic/solutioninstall/IUDD"
xmlns:xsi="http://www.w3.org/2001/XMLSchema-instance"
xmlns:OSRT="http://www.ibm.com/namespaces/autonomic/OS_RT"
xsi:schemaLocation="http://www.ibm.com/namespaces/autonomic/solutioninstall/IUDD iudd.xsd "
IUName="MyAggregatedCIU" targetRef="os" >
<identity>
<name>My Aggregated CIU</name>
<UUID>41111111111111111111111111111110</UUID>
<version>1.0</version>
</identity>
This example is a root container installable unit, targeted at the operating system.
<installableUnit sequenceNumber="1">
<containedCIU IUName="xxx">
<fileIdRef>xxx_iudd</fileIdRef>
</containedCIU>
</installableUnit>
The base content of the CIU is a referenced CIU “xxx”. This IU has a sequence number of “1”, which means it must be installed before any of the other top-level IUs (which do not have a sequence number).
<selectableContent>
<installableUnit>
<containedCIU IUName="yyy">
<fileIdRef>yyy_iudd</fileIdRef>
</containedCIU>
</installableUnit>
<installableUnit>
<containedCIU IUName="zzz">
<fileIdRef>zzz_iudd</fileIdRef>
</containedCIU>
</installableUnit>
<installableUnit>
The selectable content of the CIU includes two referenced CIUs, “yyy” and “zzz”.
The selectable content of the CIU also includes an inline CIU, which contains two referenced CIUs, “ttt” and “vvv”.
<CIU IUName="tttvvv">
<identity>
<name>token</name>
<UUID>0F000F000F000F000F000F000F000F00</UUID>
<version>1.0</version>
</identity>
<installableUnit sequenceNumber="2">
<containedCIU IUName="ttt">
<fileIdRef>ttt_iudd</fileIdRef>
<additionalRequirements>
<target>
<requirements>
<requirement name="ttt_additionalReqt">
<alternative name="isDiskSpaceAvailable">
<inlineCheck>
<consumption checkId="tttDiskSpace">
<propertyName>Filesystem/availableSpace</propertyName>
<value>10</value>
</consumption>
</inlineCheck>
</alternative>
</requirement>
</requirements>
</target>
</additionalRequirements>
</containedCIU>
</installableUnit>
Additional requirements are specified for “ttt”; specifically, that an additional 10MB of diskspace is required.
<installableUnit sequenceNumber="1">
<federatedCIU IUName="fedvvv">
<alternative name="alt_55">
<iu checkId="isVVVInstalled">
<name>Component VVV</name>
<minVersion>1.1.3</minVersion>
<canBeSatisfiedBy>vvv</canBeSatisfiedBy>
</iu>
</alternative>
</federatedCIU>
</installableUnit>
</CIU>
</installableUnit>
“vvv” is a federated CIU, meaning that an existing instance may be reused, providing it satisfies the specified requirements. If not, the bundled requisite IU should be installed.
CIU “vvv” must be installed before CIU “ttt”. This use of sequence numbers should not bypass the use of expressed dependencies – i.e. if “ttt” has a prereq on “vvv”, that should be expressed within the “ttt” descriptor and that information should be used to determine sequence information. However, if this dependency is not identified, at the aggregate level it may be necessary to use sequence numbers to force installation to occur in an order that is known to lead to a reliable install.
<installableUnit>
<containedCIU IUName="www">
<fileIdRef>www_iudd</fileIdRef>
</containedCIU>
</installableUnit>
</selectableContent>
The selectable content of the CIU includes a third referenced CIU, “www”.
<features>
…
</features>
See Section C for a description of the use of features in this example.
<rootInfo>
<schemaVersion>1.2.0</schemaVersion>
<build>1</build>
</rootInfo>
Additional information is provided for the root IU.
<topology>
<target type="OSRT:Operating_System" id="os"></target>
</topology>
A single target is defined. The author of the IU has not constrained it beyond it being an operating system. Further constraints on this target would be defined within the referenced CIUs that are part of this CIU.
<groups>
…
</groups>
See Section C for a description of the use of groups in this example.
<requisites>
<referencedIU IUName="vvv">
<fileIdRef>vvv_iudd</fileIdRef>
</referencedIU>
</requisites>
A bundled requisite IU is defined to satisfy the need for the federated IU above. Note that this IU must be a CIU, and will be targeted at the same OS target as all of the other contained IUs.
<files>
<file id="ttt_iudd">
<pathname>myciu/referenced/TTT/IUDD.xml</pathname>
<length>0</length>
<checksum>checksum</checksum>
</file>
<file id="vvv_iudd">
<pathname>myciu/referenced/VVV/IUDD.xml</pathname>
<length>0</length>
<checksum>checksum</checksum>
</file>
<file id="www_iudd">
<pathname>myciu/referenced/WWW/IUDD.xml</pathname>
<length>0</length>
<checksum>checksum</checksum>
</file>
<file id="xxx_iudd">
<pathname>myciu/referenced/XXX/IUDD.xml</pathname>
<length>0</length>
<checksum>checksum</checksum>
</file>
<file id="yyy_iudd">
<pathname>myciu/referenced/YYY/IUDD.xml</pathname>
<length>0</length>
<checksum>checksum</checksum>
</file>
<file id="zzz_iudd">
<pathname>myciu/referenced/ZZZ/IUDD.xml</pathname>
<length>0</length>
<checksum>checksum</checksum>
</file>
</files>
</iudd:rootIU>
Files are defined for all of the descriptors of all of the referenced IUs within this CIU.
C. Example of features and installation groups
This section builds on the example described in Section B.
The example CIU defines four top-level features, Feature A, Feature B, Feature B Plus and Samples.
<features>
<feature featureID="AFeature">
<identity>
<name>Feature A</name>
</identity>
<feature featureID="A1Feature">
<identity>
<name>Feature A1</name>
</identity>
<feature featureID="A11Feature" required="true">
<identity>
<name>Feature A1.1</name>
</identity>
<IUNameRef>yyy</IUNameRef>
<IUNameRef>tttvvv</IUNameRef>
</feature>
<feature featureID="A12Feature">
<identity>
<name>Feature A1.2</name>
</identity>
<IUNameRef>zzz</IUNameRef>
</feature>
</feature>
</feature>
Feature A has two levels of nested features. Feature A1.1 contains CIUs “yyy” and “tttvvv”. Feature A1.2 contains CIU “zzz”. Note that the contents of the features must be top-level IUs within the selectable content, so it would be invalid if a feature contained “xxx” or “ttt”.
Feature A1.1 is required, i.e. it must be selected if Feature A1 is selected.
<feature featureID="BFeature">
<identity>
<name>Feature B</name>
</identity>
<IUNameRef>www</IUNameRef>
<selectionRules>
<deselectIfSelected>BFeaturePlus</deselectIfSelected>
</selectionRules>
</feature>
<feature featureID="BFeaturePlus">
<identity>
<name>Feature B Plus</name>
</identity>
<IUNameRef>www</IUNameRef>
<IUNameRef>tttvvv</IUNameRef>
<selectionRules>
<deselectIfSelected>BFeature</deselectIfSelected>
</selectionRules>
</feature>
Features B and B Plus has two levels of nested features. Feature A1.1 contains CIUs “yyy” and “tttvvv”. These two features are mutually exclusive, so if one is selected, the other is deselected.
<feature featureID="Samples">
<identity>
<name>Samples</name>
</identity>
<referencedFeature>
<IUNameRef>xxx</IUNameRef>
<externalName>Samples</externalName>
</referencedFeature>
<referencedFeature>
<ifReq>
<featureIDRef>A11Feature</featureIDRef>
</ifReq>
<IUNameRef>yyy</IUNameRef>
<externalName>Samples</externalName>
</referencedFeature>
</feature>
</features>
The Samples feature contains the “Samples” feature of the “xxx” CIU. It also contains the “Samples” feature of the “yyy” feature, but only if Feature A1.1 is selected. Note the following scenarios:
If a user installs A1.1 but not Samples, and then subsequently installs Samples, then yyy Samples should be installed.
If a user installs Samples but not A1.1, and then subsequently installs A1.1, then yyy samples should be installed.
If a user installs Samples and A1.1, and then uninstalls A1.1, then yyy samples should be uninstalled.
The example CIU has two installation groups, Typical and Custom. The default installation group is Typical.
<groups>
<group>
<groupName>Typical</groupName>
<feature featureIDRef="A1Feature" selectionChangeable="false" selection="selected" />
</group>
<group>
The Typical group selects Feature A1, which causes Feature A1.1 to be selected, because it is marked as “required”. The user cannot change the selection of Feature A1.1, but does have the option of selecting Feature A1.2.
<groupName>Custom</groupName>
<feature featureIDRef="AFeature" selection="selected" />
<feature featureIDRef="BFeature" selection="selected" />
<feature featureIDRef="BFeaturePlus" selection="not_selected" />
<feature featureIDRef="Samples" selection="not_selected" />
</group>
<default>Typical</default>
</groups>
The Custom group allows the user to select from Features A, B, B Plus and Samples. Features A and B are by initially selected, and Features B Plus and Samples are not. The user can change any of the selections of these features, or their subfeatures, subject to selection rules.
D. Example of update installable unit
This is a sample IUDD where root IU content is a CIU aggregate defining an update.
This section describes an incremental update IU that updates the CIU in Section Bxml version="1.0" encoding="UTF-8"?>
<iudd:rootIU
xmlns:iudd="http://www.ibm.com/namespaces/autonomic/solutioninstall/IUDD"
xmlns:xsi="http://www.w3.org/2001/XMLSchema-instance"
xmlns:OSRT="http://www.ibm.com/namespaces/autonomic/OS_RT"
xsi:schemaLocation="http://www.ibm.com/namespaces/autonomic/solutioninstall/IUDD iudd.xsd "
IUName="MyAggregatedCIU" targetRef="os">
<identity>
<name>My Aggregated CIU</name>
<UUID>41111111111111111111111111111110</UUID>
<incremental>
<requiredBase>
<minVersion>1.0.0</minVersion>
</requiredBase>
<type>FixPack</type>
</incremental>
<version>1.0.2</version>
</identity>
This is an incremental update IU which can update versions 1.0.0 and 1.0.1.
<obsoletedIUs>
<obsoletedIU>
<!-- www should be uninstalled -->
<name>WWW Component</name>
<version>1.0</version>
</obsoletedIU>
</obsoletedIUs>
Any existing 1.0 “www” IU instance within the IU to be updated should be uninstalled, because it is obsoleted.
<installableUnit sequenceNumber="1">
<!-- this must be an update -->
<containedCIU IUName="xxx">
<fileIdRef>xxx_iudd</fileIdRef>
</containedCIU>
</installableUnit>
The existing IU “xxx” is updated.
<selectableContent>
<installableUnit>
<CIU IUName="tttvvv">
<identity>
<name>token</name>
<UUID>0F000F000F000F000F000F000F000F00</UUID>
<version>1.0.3</version>
</identity>
<installableUnit>
<federatedCIU IUName="fedvvv">
<alternative name=" alt_77">
<iu checkId="isVVVInstalled">
<name>Component VVV</name>
<minVersion>1.1.3</minVersion>
<canBeSatisfiedBy>vvv</canBeSatisfiedBy>
</iu>
</alternative>
</federatedCIU>
</installableUnit>
</CIU>
</installableUnit>
The existing IU “vvv” is updated, and so its parent “tttvvv” is also updated. IU “ttt” is not updated.
<installableUnit>
<containedCIU IUName="aaa">
<!-- This must be a full IU -->
<fileIdRef>aaa_iudd</fileIdRef>
</containedCIU>
</installableUnit>
</selectableContent>
A new “aaa” IU is defined.
<features>
<feature featureID="BFeature">
<identity>
<name>Feature B</name>
</identity>
<IUNameRef>aaa</IUNameRef>
<selectionRules>
<deselectIfSelected>BFeaturePlus</deselectIfSelected>
</selectionRules>
</feature>
<feature featureID="BFeaturePlus">
<identity>
<name>Feature B Plus</name>
</identity>
<IUNameRef>aaa</IUNameRef>
<IUNameRef>tttvvv</IUNameRef>
<selectionRules>
<deselectIfSelected>BFeature</deselectIfSelected>
</selectionRules>
</feature>
</features>
The “aaa” IU replaces “www” in both Feature B and B Plus. If either of these features are installed, then “aaa” should be installed and linked to the features.
<rootInfo>
<schemaVersion>1.2.0</schemaVersion>
<build>1</build>
</rootInfo>
<topology>
<target type="OSRT:Operating_System" id="os"></target>
</topology>
<requisites>
<referencedIU IUName="vvv">
<fileIdRef>vvv_iudd</fileIdRef>
</referencedIU>
</requisites>
The update for the “vvv” IU is contained in a referenced descriptor.
<files>
<file id="aaa_iudd">
<pathname>myciu/referenced/AAA/IUDD.xml</pathname>
<length>0</length>
<checksum>checksum</checksum>
</file>
<file id="vvv_iudd">
<pathname>myciu/referenced/VVV/IUDD.xml</pathname>
<length>0</length>
<checksum>checksum</checksum>
</file>
<file id="xxx_iudd">
<pathname>myciu/referenced/XXX/IUDD.xml</pathname>
<length>0</length>
<checksum>checksum</checksum>
</file>
</files>
</iudd:rootIU>
<?xml version="1.0" encoding="UTF-8"?>
< schema targetNamespace ="http://www.ibm.com/namespaces/autonomic/solutioninstall/IUDD "xmlns:base ="http://www.ibm.com/namespaces/autonomic/solutioninstall/BASE " xmlns ="http://www.w3.org/2001/XMLSchema " xmlns:siu ="http://www.ibm.com/namespaces/autonomic/solutioninstall/SIU "xmlns:command ="http://www.ibm.com/namespaces/autonomic/solutioninstall/command "xmlns:rtype ="http://www.ibm.com/namespaces/autonomic/solutioninstall/ResourceTypes " xmlns:vsn ="http://www.ibm.com/namespaces/autonomic/common/version "xmlns:iudd ="http://www.ibm.com/namespaces/autonomic/solutioninstall/IUDD "elementFormDefault ="unqualified "attributeFormDefault ="unqualified " version ="1.2.1 ">
< annotation>
< documentation> ACAB.SD0402 - Installable Unit Deployment Descriptor (IUDD) - Copyright (C) 2003,2004 IBM Corporation. All rights reserved</ documentation>
</ annotation>
< import namespace ="http://www.ibm.com/namespaces/autonomic/solutioninstall/BASE "schemaLocation ="base.xsd "/>
< import namespace ="http://www.ibm.com/namespaces/autonomic/solutioninstall/SIU "schemaLocation ="siu.xsd "/>
< import namespace ="http://www.ibm.com/namespaces/autonomic/solutioninstall/ResourceTypes "schemaLocation ="resourceTypes.xsd "/>
< import namespace ="http://www.ibm.com/namespaces/autonomic/common/version "schemaLocation ="version.xsd "/>
<!-- ##### Root IU #############-->
< element name ="rootIU " type ="iudd:RootIU ">
< key name ="fileKey ">
< selector xpath ="files/file "/>
< field xpath ="@id "/>
</ key>
< keyref name ="fileIdRef " refer ="iudd:fileKey ">
< selector xpath =".//fileIdRef "/>
< field xpath =". "/>
</ keyref>
< keyref name ="bigIconFileIdRef " refer ="iudd:fileKey ">
< selector xpath ="rootInfo/bigIcon "/>
< field xpath ="@fileIdRef "/>
</ keyref>
< keyref name ="smallIconFileIdRef " refer ="iudd:fileKey ">
< selector xpath ="rootInfo/smallIcon "/>
< field xpath ="@fileIdRef "/>
</ keyref>
< key name ="customCheckArtifactKey ">
< selector xpath ="customCheckDefinitions/* "/>
< field xpath ="@artifactId "/>
</ key>
< keyref name ="customCheckIdRef " refer ="iudd:customCheckArtifactKey ">
< selector xpath =".//custom "/>
< field xpath ="@artifactIdRef "/>
</ keyref>
< key name ="AllButRootIUNameKey ">
< selector xpath =".//referencedIU | .//SIU | .//containedCIU | .//federatedCIU | .//containedIU | .//federatedIU | .//solutionModule | .//CIU | .//configurationUnit "/>
< field xpath ="@IUName | @CUName"/>
</ key>
< key name ="AllCUNameKey ">
< selector xpath =".//configurationUnit "/>
< field xpath ="@CUName "/>
</ key>
< keyref name ="AllCUNameKeyRef " refer ="iudd:AllCUNameKey ">
< selector xpath =".//config "/>
< field xpath ="CUNameRef "/>
</ keyref>
< key name ="referencedIUNameKey ">
< selector xpath =".//referencedIU | .//containedCIU | .//containedIU "/>
< field xpath ="@IUName "/>
</ key>
< key name ="referencedAggregatedIUNameKey ">
< selector xpath =".//containedCIU | .//containedIU | .//federatedCIU | .//federatedIU | .//referencedIU"/>
< field xpath ="@IUName "/>
</ key>
< keyref name ="referencedIUAttrNameKeyRef " refer ="iudd:referencedIUNameKey ">
< selector xpath =".//targetMap "/>
< field xpath ="@IUNameRef "/>
</ keyref>
< keyref name ="referencedAggregatedIUNameKeyRef " refer ="iudd:referencedAggregatedIUNameKey ">
< selector xpath =".//referencedFeature "/>
< field xpath ="IUNameRef "/>
</ keyref>
< key name ="requisiteIUNameKey ">
< selector xpath =".//referencedIU "/>
< field xpath ="@IUName "/>
</ key>
< keyref name ="iuRequisiteIUNameKeyRef " refer ="iudd:requisiteIUNameKey ">
< selector xpath =".//canBeSatisfiedBy "/>
< field xpath =". "/>
</ keyref>
< key name ="selectableIUNameKey ">
< selector xpath ="selectableContent/installableUnit/* "/>
< field xpath ="@IUName "/>
</ key>
< keyref name ="selectableIUElementNameKeyRef " refer ="iudd:selectableIUNameKey ">
< selector xpath =".//feature/IUNameRef "/>
< field xpath =". "/>
</ keyref>
< key name ="AllVariableNameKey ">
< selector xpath =".//variables/variable | .//checks/* | .//inlineCheck/* | .//alternative/iu "/>
< field xpath ="@name | @checkId"/>
</ key>
< key name ="targetKey ">
< selector xpath =".//topology/target | .//topology/deployedTarget "/>
< field xpath ="@id "/>
</ key>
< keyref name ="targetRef " refer ="iudd:targetKey ">
< selector xpath =".//targetRef "/>
< field xpath =". "/>
</ keyref>
< keyref name ="relnSourceRef " refer ="iudd:targetKey ">
< selector xpath =".//relationship/source "/>
< field xpath =". "/>
</ keyref>
< keyref name ="relnSinkRef " refer ="iudd:targetKey ">
< selector xpath =".//relationship/sink "/>
< field xpath =". "/>
</ keyref>
< keyref name ="relnPeerRef " refer ="iudd:targetKey ">
< selector xpath =".//relationship/peer "/>
< field xpath =". "/>
</ keyref>
< key name ="groupKey ">
< selector xpath ="groups/group "/>
< field xpath ="groupName "/>
</ key>
< keyref name ="groupRef " refer ="iudd:groupKey ">
< selector xpath ="groups/default "/>
< field xpath =". "/>
</ keyref>
< key name ="reqtKey ">
< selector xpath =".//requirement "/>
< field xpath ="@name "/>
</ key>
< key name ="altKey ">
< selector xpath =".//requirement/alternative "/>
< field xpath ="@name "/>
</ key>
</ element>
< complexType name ="RootIU ">
< complexContent>
< extension base ="iudd:AggregatedInstallableUnit ">
< sequence>
< element name ="selectableContent " minOccurs ="0 ">
< complexType>
< sequence>
< element name ="installableUnit " type ="iudd:ConditionedIU " maxOccurs ="unbounded "/>
</ sequence>
</ complexType>
</ element>
< element name ="features " minOccurs ="0 ">
< complexType>
< sequence>
< element name ="feature " type ="iudd:Feature " maxOccurs ="unbounded "/>
</ sequence>
</ complexType>
</ element>
< element name ="rootInfo ">
< complexType>
< sequence>
< element name ="schemaVersion ">
< simpleType>
< restriction base ="vsn:VersionString ">
< enumeration value ="1.2.1 "/>
</ restriction>
</ simpleType>
</ element>
< element name ="build " type ="nonNegativeInteger "/>
< element name ="size " type ="integer " minOccurs ="0 "/>
< element name ="bigIcon " minOccurs ="0 ">
< complexType>
< attribute name ="fileIdRef " type ="IDREF "/>
</ complexType>
</ element>
< element name ="smallIcon " minOccurs ="0 ">
< complexType>
< attribute name ="fileIdRef " type ="IDREF "/>
</ complexType>
</ element>
< element name ="type " minOccurs ="0 ">
< simpleType>
< restriction base ="NCName ">
< enumeration value ="Offering "/>
< enumeration value ="Assembly "/>
< enumeration value ="CommonComponent "/>
</ restriction>
</ simpleType>
</ element>
</ sequence>
</ complexType>
</ element>
< element name ="customCheckDefinitions " minOccurs ="0 " maxOccurs ="unbounded ">
< complexType>
< sequence>
< element name ="customCheckArtifact " type ="siu:CustomCheckArtifact " maxOccurs ="unbounded "/>
</ sequence>
</ complexType>
</ element>
< element name ="topology ">
< complexType>
< sequence>
< element name ="target " type ="iudd:Target " maxOccurs ="unbounded "/>
< element name ="deployedTarget " type ="iudd:DeployedTarget " minOccurs ="0 " maxOccurs ="unbounded "/>
</ sequence>
</ complexType>
</ element>
< element name ="groups " minOccurs ="0 ">
< complexType>
< sequence>
< element name ="group " type ="iudd:InstallationGroup " maxOccurs ="unbounded "/>
< element name ="default " type ="token " minOccurs ="0 "/>
</sequence>
</complexType>
</element>
<elementname="requisites"minOccurs="0">
<complexType>
<sequence>
< element name ="referencedIU " type ="iudd:ReferencedIU " maxOccurs ="unbounded "/>
</ sequence>
</ complexType>
</ element>
< element name ="files ">
< complexType>
< sequence>
< element name ="file " type ="iudd:File " maxOccurs ="unbounded "/>
</ sequence>
</ complexType>
</ element>
</ sequence>
< attribute name ="targetRef " type ="IDREF " use ="optional "/>
< attribute name ="language_bundle " type ="token " use ="optional " default ="iudd_bundle "/>
</ extension>
</ complexContent>
</ complexType>
< complexType name ="ReferencedIU ">
< sequence>
< element name ="fileIdRef " type ="IDREF "/>
< element name ="parameterMaps " type ="base:Maps " minOccurs ="0 "/>
< element name ="featureSelections " minOccurs ="0 ">
< complexType>
< sequence>
< element name ="externalInstallGroup " type ="token " minOccurs ="0 "/>
< element name ="featureSelection " minOccurs ="0 " maxOccurs ="unbounded ">
< complexType>
< sequence>
< element name ="externalName " type ="token "/>
< element name ="selection " type ="iudd:Selection "/>
</ sequence>
</ complexType>
</ element>
</ sequence>
</ complexType>
</ element>
< element name ="additionalRequirements " minOccurs ="0 ">
< complexType>
< sequence>
< element name ="target " maxOccurs ="unbounded ">
< complexType>
< sequence>
< element name ="checks " type ="siu:CheckSequence " minOccurs ="0 "/>
< element name ="requirements " minOccurs ="0 ">
< complexType>
< sequence>
< element name ="requirement " type ="siu:Requirement " maxOccurs ="unbounded "/>
</ sequence>
</ complexType>
</ element>
</ sequence>
< attribute name ="targetRef " type ="IDREF "/>
</complexType>
</element>
</sequence>
</complexType>
</element>
</ sequence>
< attribute name ="IUName " type ="ID " use ="required "/>
</ complexType>
< complexType name ="ReferencedFeature ">
< sequence>
< element name ="ifReq " minOccurs ="0 ">
< complexType>
< sequence>
< element name ="featureIDRef " type ="IDREF " maxOccurs ="unbounded "/>
</ sequence>
</ complexType>
</ element>
< element name ="IUNameRef " type ="IDREF "/>
< element name ="externalName " type ="token "/>
</ sequence>
</ complexType>
< complexType name ="FederatedIU ">
< sequence>
< element name ="alternative " maxOccurs ="unbounded ">
< complexType>
< sequence>
< element name ="iu " type ="base:IUCheck "/>
</ sequence>
</ complexType>
</ element>
</ sequence>
< attribute name ="IUName " type ="ID " use ="required "/>
</ complexType>
<!-- ##### Aggregated Installable Units - base types #####-->
< group name ="SingleTargetIU ">
< choice>
< element name ="SIU " type ="siu:SmallestInstallableUnit "/>
< element name ="CIU " type ="iudd:ContainerInstallableUnit "/>
< element name ="containedCIU " type ="iudd:ReferencedIU "/>
< element name ="federatedCIU " type ="iudd:FederatedIU "/>
< element name ="configurationUnit " type ="siu:ConfigurationUnit "/>
</ choice>
</ group>
< complexType name ="ConditionedIU ">
< choice>
< group ref ="iudd:SingleTargetIU "/>
< element name ="solutionModule " type ="iudd:SolutionModule "/>
< element name ="containedIU " type ="iudd:ReferencedIU "/>
< element name ="federatedIU " type ="iudd:FederatedIU "/>
</ choice>
< attribute name ="targetRef " type ="IDREF " use ="optional "/>
< attribute name ="condition " type ="base:VariableExpression " use ="optional "/>
< attribute name ="sequenceNumber " type ="nonNegativeInteger "/>
</ complexType>
< complexType name ="AggregatedInstallableUnit " abstract ="true ">
<complexContent>
<extensionbase="siu:InstallableUnit">
<sequence>
<elementname="installableUnit"type="iudd:ConditionedIU"minOccurs="0"maxOccurs="unbounded"/>
</sequence>
</extension>
</complexContent>
</complexType>
<!--##### Solution Module Installable Unit #####-->
<complexTypename="SolutionModule">
<complexContent>
<extensionbase="iudd:AggregatedInstallableUnit"/>
</complexContent>
</complexType>
<!--##### Container Installable Unit #####################-->
<complexTypename="ContainerInstallableUnit">
<complexContent>
<extensionbase="iudd:AggregatedInstallableUnit">
<sequence>
<groupref="siu:SingleTargetIUDefinition"/>
</sequence>
<attributename="hostingEnvType"type="siu:AnyResourceType"/>
</extension>
</complexContent>
</complexType>
<!--##### TARGET #####################-->
<complexTypename="Target">
<sequence>
<elementname="description"type="base:DisplayElement"minOccurs="0"/>
<elementname="scope"default="one"minOccurs="0">
< simpleType>
< restriction base ="NCName ">
< enumeration value ="one "/>
< enumeration value ="some "/>
< enumeration value ="all "/>
</ restriction>
</ simpleType>
</ element>
< element name ="members " minOccurs ="0 ">
< complexType>
< sequence>
< element name ="member " type ="IDREF " maxOccurs ="unbounded "/>
</ sequence>
</ complexType>
</ element>
< element name ="checks " type ="siu:CheckSequence " minOccurs ="0 "/>
< element name ="selectionRequirements " minOccurs ="0 ">
< complexType>
< sequence>
< element name ="requirement " type ="siu:Requirement " maxOccurs ="unbounded "/>
</ sequence>
</ complexType>
</ element>
< element name ="validationRequirements " minOccurs ="0 ">
< complexType>
< sequence>
< element name ="requirement " type ="siu:Requirement " maxOccurs ="unbounded "/>
</ sequence>
</ complexType>
</ element>
< element name ="targetMap " type ="iudd:TargetMap " minOccurs ="0 " maxOccurs ="unbounded "/>
</ sequence>
< attribute name ="id " type ="ID " use ="required "/>
< attribute name ="type " type ="siu:AnyResourceType " use ="required "/>
</ complexType>
< complexType name ="DeployedTarget ">
< sequence>
< element name ="description " type ="base:DisplayElement " minOccurs ="0 "/>
< choice>
< element name ="IUNameRef " type ="IDREF "/>
< element name ="targetMap " type ="iudd:TargetMap "/>
</ choice>
</ sequence>
< attribute name ="id " type ="ID " use ="required "/>
< attribute name ="type " type ="siu:AnyResourceType " use ="required "/>
</ complexType>
< complexType name ="TargetMap ">
< sequence>
< element name ="externalName " type ="NCName " maxOccurs ="unbounded "/>
</ sequence>
< attribute name ="IUNameRef " type ="IDREF " use ="required "/>
</ complexType>
<!-- ##### Files ########################-->
< complexType name ="File ">
< sequence>
< element name ="pathname " type ="base:RelativePath "/>
< element name ="length " type ="integer "/>
< element name ="checksum " type ="base:CheckSum "/>
</ sequence>
< attribute name ="id " type ="ID " use ="required "/>
< attribute name ="compression " type ="boolean " use ="optional " default ="true "/>
< attribute name ="charEncoding " type ="base:CharacterEncoding " use ="optional "/>
</ complexType>
<!-- ##### GROUPS & FEATURES ############-->
< simpleType name ="Selection ">
< restriction base ="NCName ">
< enumeration value ="not_selected "/>
< enumeration value ="selected "/>
</ restriction>
</ simpleType>
< complexType name ="InstallationGroup ">
< sequence>
< element name ="groupName " type ="token "/>
< element name ="feature " maxOccurs ="unbounded ">
< complexType>
< attribute name ="featureIDRef " type ="IDREF " use ="required "/>
< attribute name ="selection " type ="iudd:Selection " default ="selected "/>
< attribute name ="selectionChangeable " type ="boolean " default ="true "/>
</ complexType>
</ element>
< element name ="description " type ="base:DisplayElement " minOccurs ="0 "/>
</ sequence>
</ complexType>
< complexType name ="Feature ">
< sequence>
< group ref ="iudd:FeatureDefinition "/>
< element name ="feature " type ="iudd:Feature " minOccurs ="0 " maxOccurs ="unbounded "/>
< element name ="IUNameRef " type ="IDREF " minOccurs ="0 " maxOccurs ="unbounded "/>
< element name ="referencedFeature " type ="iudd:ReferencedFeature " minOccurs ="0 " maxOccurs ="unbounded "/>
< element name ="selectionRules " minOccurs ="0 ">
< complexType>
< sequence>
< element name ="selectIfSelected " type ="IDREF " minOccurs ="0 " maxOccurs ="unbounded "/>
< element name ="deselectIfSelected " type ="IDREF " minOccurs ="0 " maxOccurs ="unbounded "/>
< element name ="selectIfDeselected " type ="IDREF " minOccurs ="0 " maxOccurs ="unbounded "/>
< element name ="deselectIfDeselected " type ="IDREF " minOccurs ="0 " maxOccurs ="unbounded "/>
</ sequence>
</ complexType>
</ element>
</ sequence>
< attribute name ="featureID " type ="ID " use ="required "/>
< attribute name ="required " type ="boolean " default ="false "/>
< attribute name ="type " type ="iudd:FeatureType "/>
</ complexType>
< group name ="FeatureDefinition ">
< sequence>
< element name ="identity ">
< complexType>
< sequence>
< element name ="name " type ="token "/>
< element name ="displayName " type ="base:DisplayElement " minOccurs ="0 "/>
</ sequence>
</ complexType>
</ element>
</ sequence>
</ group>
< simpleType name ="FeatureType ">
< unionmemberTypes ="NCName iudd:StandardFeatureType"/>
</ simpleType>
< simpleType name ="StandardFeatureType ">
< restriction base ="NCName ">
< enumeration value ="Documentation "/>
< enumeration value ="Language "/>
< enumeration value ="Samples "/>
</ restriction>
</ simpleType>
</ schema>
<?xml version="1.0" encoding="UTF-8"?>
< schema targetNamespace ="http://www.ibm.com/namespaces/autonomic/solutioninstall/SIU "xmlns:rtype ="http://www.ibm.com/namespaces/autonomic/solutioninstall/ResourceTypes " xmlns:vsn ="http://www.ibm.com/namespaces/autonomic/common/version " xmlns:siu ="http://www.ibm.com/namespaces/autonomic/solutioninstall/SIU "xmlns:base ="http://www.ibm.com/namespaces/autonomic/solutioninstall/BASE "xmlns:sigt ="http://www.ibm.com/namespaces/autonomic/solutioninstall/Signatures " xmlns ="http://www.w3.org/2001/XMLSchema "elementFormDefault ="unqualified "attributeFormDefault ="unqualified " version ="1.2.1 ">
< annotation>
< documentation> ACAB.SD0402 - Installable Unit Deployment Descriptor (IUDD) - Copyright (C) 2003,2004 IBM Corporation. All rights reserved</ documentation>
</ annotation>
< import namespace ="http://www.ibm.com/namespaces/autonomic/solutioninstall/Signatures "schemaLocation ="signatures.xsd "/>
< import namespace ="http://www.ibm.com/namespaces/autonomic/solutioninstall/ResourceTypes "schemaLocation ="resourceTypes.xsd "/>
< import namespace ="http://www.ibm.com/namespaces/autonomic/solutioninstall/BASE "schemaLocation ="base.xsd "/>
< import namespace ="http://www.ibm.com/namespaces/autonomic/common/version "schemaLocation ="version.xsd "/>
<!-- ##### IU Definition #########################-->
< group name ="IUDefinition ">
< sequence>
< element name ="identity " type ="base:IUIdentity ">
< annotation>
<documentation>Installable Unit Identity</documentation>
</annotation>
</element>
<elementname="constraints"minOccurs="0">
<annotation>
<documentation>Sharing and multiplicity constraints</documentation>
</annotation>
<complexType>
<sequence>
<elementname="maximumInstances"type="nonNegativeInteger"minOccurs="0"/>
< element name ="maximumSharing " minOccurs ="0 ">
< complexType>
< simpleContent>
< extension base ="nonNegativeInteger ">
< attribute name ="sharedBy_List " type ="base:ListOfUUIDs " use ="optional "/>
</ extension>
</ simpleContent>
</ complexType>
</ element>
</ sequence>
</ complexType>
</ element>
< element name ="obsoletedIUs " minOccurs ="0 ">
< complexType>
< sequence>
< element name ="obsoletedIU " maxOccurs ="unbounded ">
< complexType>
< choice>
< element name ="name " type ="token "/>
< element name ="UUID " type ="base:UUID "/>
</ choice>
</ complexType>
</ element>
</ sequence>
</ complexType>
</ element>
</ sequence>
</ group>
< group name ="FixDefinition ">
< sequence>
< element name ="fixIdentity " type ="base:FixIdentity "/>
</ sequence>
</ group>
< group name ="IUorFixDefinition ">
< sequence>
< choice>
< sequence>
< group ref ="siu:IUDefinition "/>
</ sequence>
< sequence>
< group ref ="siu:FixDefinition "/>
</ sequence>
</ choice>
< element name ="supersededFixes " type ="base:ListOfIdentifiers " minOccurs ="0 ">
< annotation>
< documentation> These are fix names for this UUID</ documentation>
</ annotation>
</ element>
</ sequence>
</ group>
< group name ="CUDefinition ">
< sequence>
< element name ="displayName " type ="base:DisplayElement " minOccurs ="0 "/>
< element name ="manufacturer " type ="base:DisplayElement " minOccurs ="0 "/>
< element name ="checks " type ="siu:CheckSequence " minOccurs ="0 "/>
< element name ="requirements " minOccurs ="0 ">
< complexType>
< sequence>
< element name ="requirement " type ="siu:Requirement " maxOccurs ="unbounded "/>
</ sequence>
</ complexType>
</ element>
</ sequence>
</ group>
<!-- ##### Smallest Installable Unit ################-->
< complexType name ="InstallableUnit ">
< sequence>
< group ref ="siu:IUorFixDefinition "/>
< group ref ="base:Variables "/>
</ sequence>
< attribute name ="IUName " type ="ID " use ="required "/>
</ complexType>
< group name ="SingleTargetIUDefinition ">
< sequence>
<elementname="signatures"minOccurs="0">
<complexType>
<sequence>
<elementname="signature"type="sigt:Signature"maxOccurs="unbounded"/>
</sequence>
</complexType>
</element>
<elementname="checks"type="siu:CheckSequence"minOccurs="0"/>
<elementname="requirements"minOccurs="0">
<complexType>
<sequence>
<elementname="requirement"type="siu:Requirement"maxOccurs="unbounded"/>
</sequence>
</complexType>
</element>
</sequence>
</group>
<complexTypename="SmallestInstallableUnit">
<complexContent>
<extensionbase="siu:InstallableUnit">
< sequence>
< group ref ="siu:SingleTargetIUDefinition "/>
< element name ="unit " type ="siu:InstallArtifactSet " maxOccurs ="unbounded "/>
</ sequence>
< attribute name ="hostingEnvType " type ="siu:AnyResourceType "/>
</ extension>
</ complexContent>
</ complexType>
< complexType name ="ConfigurationUnit ">
< sequence>
< group ref ="siu:CUDefinition "/>
< group ref ="base:Variables "/>
< element name ="unit " type ="siu:ConfigurationArtifactSet " maxOccurs ="unbounded "/>
</ sequence>
< attribute name ="CUName " type ="ID " use ="required "/>
< attribute name ="resourceType " type ="siu:AnyResourceType "/>
</ complexType>
<!-- ##### CHECKS ###########################-->
< complexType name ="CustomCheck ">
<complexContent>
<extensionbase="base:Check">
< sequence>
< element name ="parameter " minOccurs ="0 " maxOccurs ="unbounded ">
< complexType>
< annotation>
< documentation> Setting a parameter of a custom check</ documentation>
</annotation>
<simpleContent>
<extensionbase="base:VariableExpression">
< attribute name ="variableNameRef " type ="IDREF " use ="required "/>
</extension>
</simpleContent>
</complexType>
</element>
</sequence>
< attribute name ="artifactIdRef " type ="IDREF " use ="required "/>
</ extension>
</ complexContent>
</ complexType>
< complexType name ="CustomCheckArtifact ">
< complexContent>
< extension base ="siu:Artifact ">
< attribute name ="artifactId " type ="ID " use ="required "/>
</ extension>
</ complexContent>
</ complexType>
< group name ="CheckChoice ">
< choice>
< element name ="capacity " type ="base:CapacityCheck "/>
< element name ="consumption " type ="base:ConsumptionCheck "/>
< element name ="property " type ="base:PropertyCheck "/>
< element name ="version " type ="base:VersionCheck "/>
< element name ="software " type ="base:SoftwareCheck "/>
< element name ="iu " type ="base:IUCheck "/>
< element name ="relationship " type ="base:RelationshipCheck "/>
< element name ="custom " type ="siu:CustomCheck "/>
</ choice>
</ group>
< complexType name ="CheckSequence ">
< sequence minOccurs ="0 " maxOccurs ="unbounded ">
< group ref ="siu:CheckChoice "/>
</ sequence>
</ complexType>
<!-- ##### REQUIREMENTS #####################-->
< complexType name ="Requirement ">
< sequence>
< element name ="description " type ="base:DisplayElement " minOccurs ="0 "/>
< element name ="alternative " maxOccurs ="unbounded ">
< annotation>
<documentation>conditions in .OR.</documentation>
</annotation>
<complexType>
<annotation>
<documentation>conditions in .AND.</documentation>
</annotation>
<sequence>
<elementname="description"type="base:DisplayElement"minOccurs="0"/>
<choicemaxOccurs="unbounded">
< element name ="checkItem ">
< complexType>
< attribute name ="checkIdRef " type ="IDREF " use ="required "/>
< attribute name ="testValue " type ="boolean " use ="optional " default ="true "/>
</ complexType>
</ element>
< element name ="inlineCheck ">
< complexType>
< group ref ="siu:CheckChoice "/>
< attribute name ="testValue " type ="boolean " use ="optional " default ="true "/>
</ complexType>
</ element>
</ choice>
</ sequence>
< attribute name ="name " type ="ID " use ="required "/>
< attribute name ="priority " type ="nonNegativeInteger " use ="optional "/>
</ complexType>
</ element>
</ sequence>
< attribute name ="name " type ="ID " use ="required "/>
< attribute name ="operations " type ="base:ListOfOperations " default ="Create "/>
</ complexType>
<!-- ##### ARTIFACTS #####################-->
< complexType name ="InstallArtifactSet ">
< sequence>
< element name ="installArtifacts ">
< complexType>
< sequence>
< element name ="installArtifact " type ="siu:UndoableArtifact " minOccurs ="0 "/>
< element name ="initialConfigArtifact " type ="siu:UndoableArtifact " minOccurs ="0 "/>
< element name ="migrateArtifact " type ="siu:UndoableArtifact " minOccurs ="0 "/>
< element name ="verifyInstallArtifact " type ="siu:Artifact " minOccurs ="0 "/>
< element name ="uninstallArtifact " type ="siu:Artifact " minOccurs ="0 "/>
</ sequence>
</ complexType>
</ element>
</ sequence>
< attribute name ="condition " type ="base:VariableExpression " use ="optional " default ="true "/>
</ complexType>
< complexType name ="ConfigurationArtifactSet ">
< sequence>
< element name ="configArtifacts ">
< complexType>
< sequence>
< element name ="configArtifact " type ="siu:Artifact " minOccurs ="0 "/>
< element name ="verifyConfigArtifact " type ="siu:Artifact " minOccurs ="0 "/>
</ sequence>
</ complexType>
</ element>
</ sequence>
< attribute name ="condition " type ="base:VariableExpression " use ="optional " default ="true "/>
</ complexType>
< complexType name ="Artifact ">
< sequence>
< element name ="fileIdRef " type ="IDREF "/>
<elementname="type"type="siu:ArtifactFormat"default="ActionDefinition"minOccurs="0">
<annotation>
<documentation>ActionDefinition, ResourcePropertiesDefinition, ...</documentation>
</annotation>
</element>
<elementname="parameterMaps"type="base:Maps"minOccurs="0">
<annotation>
<documentation>Provide/Override value of artifact parameter variables</documentation>
</annotation>
</ element>
</ sequence>
< attribute name ="HE_restart_required " type ="boolean " use ="optional " default ="false ">
< annotation>
< documentation> If enabled, this attribute indicates that a hosting environment restart (e.g. OS reboot)is needed after processing actions in this artifact.</ documentation>
</ annotation>
</ attribute>
</ complexType>
< complexType name ="UndoableArtifact ">
< complexContent>
< extension base ="siu:Artifact ">
< attribute name ="undoable " type ="boolean " use ="optional " default ="false "/>
</ extension>
</ complexContent>
</ complexType>
< simpleType name ="ArtifactFormat ">
< unionmemberTypes ="NCName siu:StandardArtifactFormat"/>
</ simpleType>
< simpleType name ="StandardArtifactFormat ">
< restriction base ="NCName ">
< enumeration value ="ActionDefinition "/>
< enumeration value ="ResourcePropertiesDefinition "/>
</ restriction>
</ simpleType>
<!-- ##### HE Types #####################-->
< simpleType name ="AnyResourceType ">
< unionmemberTypes ="rtype:RType QName"/>
</ simpleType>
</ schema>
<?xml version="1.0" encoding="UTF-8"?>
< schema targetNamespace ="http://www.ibm.com/namespaces/autonomic/solutioninstall/BASE "xmlns:base ="http://www.ibm.com/namespaces/autonomic/solutioninstall/BASE " xmlns ="http://www.w3.org/2001/XMLSchema " xmlns:vsn ="http://www.ibm.com/namespaces/autonomic/common/version " xmlns:rel ="http://www.ibm.com/namespaces/autonomic/solutioninstall/Relationships "elementFormDefault ="unqualified "attributeFormDefault ="unqualified " version ="1.2.1 ">
< import namespace ="http://www.ibm.com/namespaces/autonomic/solutioninstall/Relationships "schemaLocation ="relationships.xsd "/>
< import namespace ="http://www.ibm.com/namespaces/autonomic/common/version "schemaLocation ="version.xsd "/>
< annotation>
< documentation> ACAB.SD0402 - Installable Unit Deployment Descriptor (IUDD) - Copyright (C) 2003,2004 IBM Corporation. All rights reserved</ documentation>
</ annotation>
<!-- ##### DISPLAY ELEMENTS ########################-->
< simpleType name ="LineOfText ">
< restriction base ="string ">
< maxLength value ="200 "/>
</ restriction>
</ simpleType>
< simpleType name ="TooltipText ">
< restriction base ="string ">
< maxLength value ="60 "/>
</ restriction>
</ simpleType>
< complexType name ="DisplayElement ">
< sequence>
< element name ="defaultLineText ">
< complexType>
< simpleContent>
< extension base ="base:LineOfText ">
< attribute name ="key " type ="NCName " use ="required "/>
</extension>
</simpleContent>
</complexType>
</element>
<elementname="defaultText"minOccurs="0">
<complexType>
<simpleContent>
<extensionbase="string">
< attribute name ="key " type ="NCName " use ="required "/>
</extension>
</simpleContent>
</complexType>
</element>
<elementname="defaultTooltip"minOccurs="0">
<complexType>
<simpleContent>
<extensionbase="base:TooltipText">
< attribute name ="key " type ="NCName " use ="required "/>
</extension>
</simpleContent>
</complexType>
</element>
</sequence>
</complexType>
<!--##### IDENTIFIERS AND EXPRESSIONS ###############-->
<simpleTypename="ListOfIdentifiers">
<listitemType="NCName"/>
</simpleType>
<simpleTypename="ListOfIDREFs">
<listitemType="IDREF"/>
</simpleType>
<simpleTypename="VariableExpression">
< restriction base ="token ">
< pattern value ="([^$]*($[^(])*($\([a-zA-Z_]+[0-9a-zA-Z_]*\))*)* "/>
</ restriction>
</ simpleType>
< simpleType name ="UUID ">
< restriction base ="hexBinary ">
< length value ="16 "/>
</ restriction>
</ simpleType>
< simpleType name ="ListOfUUIDs ">
< list itemType ="base:UUID "/>
</ simpleType>
<!-- ##### Generic PropertyName ###################-->
< simpleType name ="PropertyName ">
< restriction base ="string "/>
</ simpleType>
<!-- ##### VARIABLES ##############################-->
< complexType name ="Variable ">
< sequence>
< choice>
< element name ="parameter ">
< complexType>
< attribute name ="defaultValue " type ="base:VariableExpression " use ="optional "/>
< attribute name ="transient " type ="boolean " use ="optional " default ="false "/>
</ complexType>
</ element>
< element name ="derivedVariable ">
< complexType>
< sequence>
< element name ="expression " maxOccurs ="unbounded ">
< complexType>
< simpleContent>
< extension base ="base:VariableExpression ">
< attribute name ="condition " type ="base:VariableExpression " use ="optional "/>
< attribute name ="priority " type ="nonNegativeInteger " use ="optional "/>
</extension>
</simpleContent>
</complexType>
</element>
</sequence>
</ complexType>
</ element>
< element name ="queryProperty ">
< complexType>
< attribute name ="property " type ="base:PropertyName " use ="required "/>
< attribute name ="targetRef " type ="IDREF " use ="optional "/>
</complexType>
</element>
<elementname="queryIUDiscriminant">
< complexType>
< attribute name ="iuCheckRef " type ="IDREF " use ="required "/>
</ complexType>
</ element>
< element name ="resolvedTargetList ">
< complexType>
< attribute name ="targetRef " type ="IDREF "/>
</ complexType>
</ element>
< element name ="inheritedVariable "/>
</ choice>
< element name ="description " type ="base:DisplayElement " minOccurs ="0 "/>
</ sequence>
< attribute name ="name " type ="ID " use ="required "/>
</ complexType>
< group name ="Variables ">
< sequence>
< element name ="variables " minOccurs ="0 ">
< complexType>
< sequence>
< element name ="variable " type ="base:Variable " maxOccurs ="unbounded "/>
</ sequence>
</ complexType>
</ element>
</ sequence>
</ group>
<!-- ##### IDENTITY##################################-->
< complexType name ="BaseIUIdentity ">
< sequence>
< element name ="name " type ="token "/>
< element name ="UUID " type ="base:UUID "/>
< element name ="displayName " type ="base:DisplayElement " minOccurs ="0 "/>
< element name ="manufacturer " type ="base:DisplayElement " minOccurs ="0 "/>
< element name ="buildID " type ="token " minOccurs ="0 "/>
< element name ="buildDate " type ="dateTime " minOccurs ="0 "/>
</ sequence>
</ complexType>
< complexType name ="RequiredBase ">
< sequence>
< element name ="minVersion " type ="vsn:VersionString " minOccurs ="0 "/>
< element name ="maxVersion " type ="vsn:VersionString " minOccurs ="0 "/>
</ sequence>
</ complexType>
< complexType name ="IUIdentity ">
<complexContent>
<extensionbase="base:BaseIUIdentity">
< sequence>
< choice minOccurs ="0 ">
< element name ="full ">
< complexType>
< sequence>
< element name ="upgradeBase " type ="base:RequiredBase " minOccurs ="0 "/>
< element name ="type " minOccurs ="0 ">
< simpleType>
< restriction base ="NCName ">
< enumeration value ="BaseInstall "/>
< enumeration value ="ManufacturingRefresh "/>
< enumeration value ="RecommendedServiceUpgrade "/>
</ restriction>
</ simpleType>
</ element>
</ sequence>
</ complexType>
</ element>
< element name ="incremental ">
< complexType>
< sequence>
< element name ="requiredBase " type ="base:RequiredBase "/>
< element name ="type " minOccurs ="0 ">
< simpleType>
< restriction base ="NCName ">
< enumeration value ="FixPack "/>
< enumeration value ="RefreshPack "/>
< enumeration value ="DeltaFixPack "/>
< enumeration value ="CriticalDeltaFixPack "/>
< enumeration value ="CriticalFixPack "/>
</ restriction>
</ simpleType>
</ element>
</ sequence>
</ complexType>
</ element>
</ choice>
< element name ="version " type ="vsn:VersionString "/>
< element name ="backward_compatibility " minOccurs ="0 ">
< complexType>
< sequence>
< element name ="version " type ="vsn:VersionString " maxOccurs ="unbounded "/>
</ sequence>
</complexType>
</element>
</sequence>
</extension>
</complexContent>
</complexType>
<complexTypename="FixIdentity">
<complexContent>
<extensionbase="base:BaseIUIdentity">
<sequence>
<elementname="incremental">
<complexType>
<sequence>
<elementname="requiredBase"type="base:RequiredBase"/>
</sequence>
</complexType>
</element>
<elementname="fixName"type="NCName"/>
<elementname="fixType"minOccurs="0">
<simpleType>
<restrictionbase="NCName">
<enumerationvalue="InterimFix"/>
<enumerationvalue="TestFix"/>
<enumerationvalue="ProgramTemporaryFix"/>
</restriction>
</simpleType>
</element>
<elementname="fixDependencies"minOccurs="0">
<complexType>
<sequence>
<elementname="pre-requisite_fixes"type="base:ListOfIdentifiers"minOccurs="0"/>
<element name="co-requisite_fixes"type="base:ListOfIdentifiers"minOccurs="0"/>
<elementname="ex-requisite_fixes"type="base:ListOfIdentifiers"minOccurs="0"/>
</sequence>
</complexType>
</element>
</sequence>
</extension>
</complexContent>
</complexType>
<!-- ##### CHECKS ###############################-->
< complexType name ="Check ">
< sequence>
< element name ="description " type ="base:DisplayElement " minOccurs ="0 "/>
</ sequence>
< attribute name ="checkId " type ="ID " use ="required "/>
< attribute name ="targetRef " type ="IDREF " use ="optional "/>
</ complexType>
< complexType name ="CapacityCheck ">
< complexContent>
< extension base ="base:Check ">
< sequence>
< element name ="propertyName " type ="base:PropertyName "/>
< element name ="value " type ="base:VariableExpression "/>
</ sequence>
< attribute name ="type " use ="optional " default ="minimum ">
< simpleType>
< restriction base ="NCName ">
< enumeration value ="maximum "/>
< enumeration value ="minimum "/>
</ restriction>
</ simpleType>
</ attribute>
</ extension>
</ complexContent>
</ complexType>
< complexType name ="ConsumptionCheck ">
< complexContent>
< extension base ="base:Check ">
< sequence>
< element name ="propertyName " type ="base:PropertyName "/>
< element name ="value " type ="base:VariableExpression "/>
</ sequence>
< attribute name ="temporary " type ="boolean " use ="optional " default ="false "/>
</ extension>
</ complexContent>
</ complexType>
< complexType name ="PropertyCheck ">
< complexContent>
< extension base ="base:Check ">
< sequence>
< element name ="propertyName " type ="base:PropertyName "/>
< choice>
< element name ="pattern " type ="string "/>
< element name ="value " type ="base:VariableExpression "/>
< element name ="rootOfPath " type ="base:VariableExpression "/>
</ choice>
</ sequence>
</ extension>
</ complexContent>
</ complexType>
< complexType name ="VersionCheck ">
< complexContent>
< extension base ="base:Check ">
< sequence>
< element name ="propertyName " type ="base:PropertyName "/>
< element name ="minVersion " type ="vsn:GenericVersionString " minOccurs ="0 "/>
< element name ="maxVersion " type ="vsn:GenericVersionString " minOccurs ="0 "/>
</ sequence>
</ extension>
</ complexContent>
</ complexType>
< simpleType name ="RequisiteType ">
< restriction base ="NCName ">
< enumeration value ="requisite "/>
< enumeration value ="pre_requisite "/>
</ restriction>
</ simpleType>
< complexType name ="PatternOrValue ">
< simpleContent>
< extension base ="string ">
< attribute name ="pattern " type ="boolean " use ="optional " default ="false "/>
</ extension>
</ simpleContent>
</ complexType>
< complexType name ="SoftwareCheck ">
< complexContent>
< extension base ="base:Check ">
< sequence>
< element name ="UUID " type ="base:UUID " minOccurs ="0 "/>
< element name ="name " type ="base:PatternOrValue " minOccurs ="0 "/>
< element name ="minVersion " type ="vsn:GenericVersionString " minOccurs ="0 "/>
< element name ="maxVersion " type ="vsn:GenericVersionString " minOccurs ="0 "/>
< element name ="canBeSatisfiedBy " type ="IDREF " minOccurs ="0 "/>
</ sequence>
< attribute name ="type " type ="base:RequisiteType " use ="optional " default ="pre_requisite "/>
< attribute name ="exact_range " type ="boolean " use ="optional " default ="false "/>
</ extension>
</ complexContent>
</ complexType>
< complexType name ="IUCheck ">
< complexContent>
< extension base ="base:Check ">
< sequence>
< choice>
< sequence>
< element name ="UUID " type ="base:UUID " minOccurs ="0 "/>
< element name ="name " type ="token " minOccurs ="0 "/>
< element name ="minVersion " type ="vsn:VersionString " minOccurs ="0 "/>
< element name ="maxVersion " type ="vsn:VersionString " minOccurs ="0 "/>
< element name ="temporaryFixes " type ="base:ListOfIdentifiers " minOccurs ="0 "/>
< element name ="features " minOccurs ="0 ">
< complexType>
< choice maxOccurs ="unbounded ">
< element name ="name " type ="token "/>
</ choice>
</ complexType>
</ element>
< element name ="canBeSatisfiedBy " type ="IDREF " minOccurs ="0 "/>
</ sequence>
< element name ="IUNameRef " type ="IDREF "/>
< element name ="featureIDRef " type ="IDREF "/>
</ choice>
</ sequence>
< attribute name ="type " type ="base:RequisiteType " use ="optional " default ="pre_requisite "/>
< attribute name ="exact_range " type ="boolean " use ="optional " default ="false "/>
</ extension>
</ complexContent>
</ complexType>
< complexType name ="RelationshipCheck ">
< complexContent>
< extension base ="base:Check ">
< sequence>
< choice>
< element name ="source " type ="IDREF "/>
< element name ="sink " type ="IDREF "/>
< element name ="peer " type ="IDREF "/>
</ choice>
< element name ="type " type ="rel:Relationship "/>
</ sequence>
</ extension>
</ complexContent>
</ complexType>
<!-- ##### IU LIFECYCLE OPERATIONS ########################-->
< simpleType name ="Operation ">
< restriction base ="NCName ">
< enumeration value ="Create "/>
< enumeration value ="Update "/>
< enumeration value ="Undo "/>
< enumeration value ="InitialConfig "/>
< enumeration value ="Migrate "/>
< enumeration value ="Configure "/>
< enumeration value ="VerifyConfig "/>
< enumeration value ="VerifyIU "/>
< enumeration value ="Repair "/>
< enumeration value ="Delete "/>
</ restriction>
</ simpleType>
< simpleType name ="ListOfOperations ">
< list itemType ="base:Operation "/>
</ simpleType>
< simpleType name ="ArtifactType ">
< restriction base ="NCName ">
< enumeration value ="Install "/>
< enumeration value ="InitialConfig "/>
< enumeration value ="Migrate "/>
< enumeration value ="VerifyInstall "/>
< enumeration value ="Uninstall "/>
< enumeration value ="Configure "/>
< enumeration value ="VerifyConfig "/>
< enumeration value ="CustomCheck "/>
</ restriction>
</ simpleType>
<!-- ##### IDENTITY CONSTRAINTS ##################-->
< complexType name ="IdentityConstraint ">
< simpleContent>
< extension base ="base:ListOfIDREFs ">
< attribute name ="constraintName " type ="ID "/>
</ extension>
</ simpleContent>
</ complexType>
<!-- ##### UTILITY ################################-->
< simpleType name ="nonNegativeDecimal ">
< restriction base ="decimal ">
< minInclusive value ="0 "/>
</ restriction>
</ simpleType>
< simpleType name ="CharacterEncoding ">
< restriction base ="string ">
< maxLength value ="40 "/>
</ restriction>
</ simpleType>
< complexType name ="CheckSum ">
< simpleContent>
< extension base ="string ">
< attribute name ="type " use ="optional " default ="CRC32 ">
< simpleType>
< restriction base ="NCName ">
< enumeration value ="CRC32 "/>
< enumeration value ="MD2 "/>
< enumeration value ="MD5 "/>
< enumeration value ="SHA_1 "/>
< enumeration value ="SHA_256 "/>
< enumeration value ="SHA_384 "/>
< enumeration value ="SHA_512 "/>
</ restriction>
</ simpleType>
</ attribute>
</ extension>
</ simpleContent>
</ complexType>
< complexType name ="Maps ">
< sequence>
< element name ="map " maxOccurs ="unbounded ">
< complexType>
< sequence>
< element name ="internalName " type ="IDREF "/>
< element name ="externalName " type ="NCName "/>
</ sequence>
< attribute name ="direction " default ="in ">
< simpleType>
< restriction base ="string ">
< enumeration value ="in "/>
< enumeration value ="out "/>
</ restriction>
</ simpleType>
</attribute>
</complexType>
</element>
</sequence>
</complexType>
< simpleType name ="RelativePath ">
< restriction base ="string ">
< pattern value ="([^\s/]+([\s]+[^\s/]+)*)(/([^\s/]+([\s]+[^\s/]+)*))* "/>
</ restriction>
</ simpleType>
</ schema>
<?xml version="1.0" encoding="UTF-8"?>
< schema targetNamespace ="http://www.ibm.com/namespaces/autonomic/common/version " xmlns:vsn ="http://www.ibm.com/namespaces/autonomic/common/version " xmlns ="http://www.w3.org/2001/XMLSchema "elementFormDefault ="unqualified "attributeFormDefault ="unqualified " version ="1.0.0.0 ">
< annotation>
< documentation> ACAB.DS0316 - Copyright (C) 2003 IBM Corporation. All rights reserved</ documentation>
</ annotation>
<!-- ##### VERSION ##################################-->
< simpleType name ="VersionString ">
< restriction base ="string ">
< pattern value ="([0-9]{1,9})(\.[0-9]{1,9}){1,3} "/>
</ restriction>
</ simpleType>
< simpleType name ="GenericVersionString ">
< restriction base ="string ">
< maxLength value ="200 "/>
<patternvalue="([0-9a-zA-Z]+(([\+_ \-]*)+[0-9a-zA-Z]+)*)+(\.([0-9a-zA-Z]+(([\+_ \-]*)+[0-9a-zA-Z]+)*)){0,99}"/>
</ restriction>
</ simpleType>
</ schema>
<?xml version="1.0" encoding="UTF-8"?>
< schema targetNamespace ="http://www.ibm.com/namespaces/autonomic/solutioninstall/Relationships " xmlns ="http://www.w3.org/2001/XMLSchema " xmlns:rel ="http://www.ibm.com/namespaces/autonomic/solutioninstall/Relationships "elementFormDefault ="unqualified "attributeFormDefault ="unqualified " version ="1.2.1 ">
< annotation>
< documentation> Standard relationships enumeration - Annex to the ACAB.SD0402 - Copyright (C) 2003, 2004 IBM Corporation. All rights reserved</ documentation>
</ annotation>
< simpleType name ="Relationship ">
< unionmemberTypes ="Name rel:StandardRelationship"/>
</ simpleType>
< simpleType name ="StandardRelationship ">
< restriction base ="NCName ">
< enumeration value ="Uses "/>
< enumeration value ="Hosts "/>
< enumeration value ="HasComponent "/>
< enumeration value ="Federates "/>
< enumeration value ="HasMember "/>
< enumeration value ="ImplementedBy "/>
< enumeration value ="Deploys "/>
< enumeration value ="Virtualizes "/>
< enumeration value ="Supersedes "/>
< enumeration value ="Fixes "/>
</ restriction>
</ simpleType>
</ schema>
<?xml version="1.0" encoding="UTF-8"?>
< schema targetNamespace ="http://www.ibm.com/namespaces/autonomic/solutioninstall/ResourceTypes "xmlns:RDBRT ="http://www.ibm.com/namespaces/autonomic/RDB_RT "xmlns:WSRT ="http://www.ibm.com/namespaces/autonomic/WS_RT "xmlns:J2EERT ="http://www.ibm.com/namespaces/autonomic/J2EE_RT "xmlns:OSRT ="http://www.ibm.com/namespaces/autonomic/OS_RT "xmlns:rtype ="http://www.ibm.com/namespaces/autonomic/solutioninstall/ResourceTypes " xmlns ="http://www.w3.org/2001/XMLSchema "elementFormDefault ="unqualified "attributeFormDefault ="unqualified " version ="1.2.1 ">
< annotation>
< documentation> Annex to the ACAB.CT0302 "Autonomic Computing Resource Type - Content Specification" - Copyright (C) 2003, 2004 IBM Corporation. All rights reserved</ documentation>
</ annotation>
<!-- ##### All Resource Types ##############-->
< simpleType name ="RType ">
< unionmemberTypes ="rtype:OS_RT rtype:J2EE_RT rtype:WS_RT rtype:RDB_RT"/>
</ simpleType>
<!-- ##### Operating System Resource Types ######################-->
< simpleType name ="OS_RT ">
< restriction base ="QName ">
< enumeration value ="OSRT:RedHatLinux "/>
< enumeration value ="OSRT:SuSELinux "/>
< enumeration value ="OSRT:TurboLinux "/>
< enumeration value ="OSRT:UnitedLinux "/>
< enumeration value ="OSRT:MandrakeLinux "/>
< enumeration value ="OSRT:SlackwareLinux "/>
< enumeration value ="OSRT:SunSolaris "/>
< enumeration value ="OSRT:IBMAIX "/>
< enumeration value ="OSRT:HPUX "/>
< enumeration value ="OSRT:NovellNetware "/>
< enumeration value ="OSRT:IBMzOS "/>
< enumeration value ="OSRT:IBMMVS "/>
< enumeration value ="OSRT:IBMOS400 "/>
< enumeration value ="OSRT:MicrosoftWindows_98 "/>
< enumeration value ="OSRT:MicrosoftWindows_ME "/>
< enumeration value ="OSRT:MicrosoftWindows_NT_Workstation "/>
< enumeration value ="OSRT:MicrosoftWindows_NT_Server "/>
< enumeration value ="OSRT:MicrosoftWindows_2000_Workstation "/>
< enumeration value ="OSRT:MicrosoftWindows_2000_Server "/>
< enumeration value ="OSRT:MicrosoftWindows_2000_AdvancedServer "/>
< enumeration value ="OSRT:MicrosoftWindows_XP_Home "/>
< enumeration value ="OSRT:MicrosoftWindows_XP_Professional "/>
< enumeration value ="OSRT:MicrosoftWindows_2003_Server "/>
< enumeration value ="OSRT:MicrosoftWindows_2003_AdvancedServer "/>
< enumeration value ="OSRT:MACOS "/>
< enumeration value ="OSRT:FreeBSD "/>
< enumeration value ="OSRT:UnixWare "/>
< enumeration value ="OSRT:OpenServer "/>
< enumeration value ="OSRT:Tru64UNIX "/>
< enumeration value ="OSRT:ReliantUNIX "/>
< enumeration value ="OSRT:MicrosoftWinCE "/>
< enumeration value ="OSRT:MicrosoftXPE "/>
< enumeration value ="OSRT:PalmOS "/>
< enumeration value ="OSRT:Symbian "/>
< enumeration value ="OSRT:Windows "/>
< enumeration value ="OSRT:Windows-Win32 "/>
< enumeration value ="OSRT:UNIX "/>
< enumeration value ="OSRT:POSIX "/>
< enumeration value ="OSRT:Linux "/>
< enumeration value ="OSRT:Operating_System "/>
< enumeration value ="OSRT:Windows_NT "/>
< enumeration value ="OSRT:Windows_2000 "/>
< enumeration value ="OSRT:Windows_XP "/>
< enumeration value ="OSRT:Windows_2003 "/>
< enumeration value ="OSRT:OS_Language_Runtime "/>
< enumeration value ="OSRT:OS_Device_Driver "/>
< enumeration value ="OSRT:OS_Software "/>
< enumeration value ="OSRT:OS_Process "/>
< enumeration value ="OSRT:OS_Thread "/>
< enumeration value ="OSRT:OS_TCPIP_port "/>
</ restriction>
</ simpleType>
<!-- ##### J2EE Domain Component Types ##########################-->
< simpleType name ="J2EE_RT ">
< restriction base ="QName ">
< enumeration value ="J2EERT:IBMWebSphereApplicationServer "/>
< enumeration value ="J2EERT:BEAWebLogicApplicationServer "/>
< enumeration value ="J2EERT:OracleApplicationServer "/>
< enumeration value ="J2EERT:SunONEApplicationServer "/>
< enumeration value ="J2EERT:ApacheTomCatApplicationServer "/>
< enumeration value ="J2EERT:JBossApplicationServer "/>
< enumeration value ="J2EERT:WebModule "/>
< enumeration value ="J2EERT:EJBModule "/>
< enumeration value ="J2EERT:Application "/>
< enumeration value ="J2EERT:MailProvider "/>
< enumeration value ="J2EERT:MailSession "/>
< enumeration value ="J2EERT:URLProvider "/>
< enumeration value ="J2EERT:URL "/>
< enumeration value ="J2EERT:JDBCProvider "/>
< enumeration value ="J2EERT:DataSource "/>
< enumeration value ="J2EERT:J2CConnectionFactory "/>
< enumeration value ="J2EERT:JMSProvider "/>
< enumeration value ="J2EERT:JMSConnectionFactory "/>
< enumeration value ="J2EERT:Server "/>
< enumeration value ="J2EERT:ResourceFactory "/>
< enumeration value ="J2EERT:J2EE_Domain "/>
</ restriction>
</ simpleType>
<!-- ##### WebSphere Application Server Resource Types ##########################-->
< simpleType name ="WS_RT ">
< restriction base ="QName ">
< enumeration value ="WSRT:WS_Domain "/>
< enumeration value ="WSRT:DeploymentTarget "/>
< enumeration value ="WSRT:DeployableObject "/>
< enumeration value ="WSRT:ServerCluster "/>
</ restriction>
</ simpleType>
<!-- ##### RDB Resource Types ################################-->
< simpleType name ="RDB_RT ">
< restriction base ="QName ">
< enumeration value ="RDBRT:IBMDB2UDB "/>
< enumeration value ="RDBRT:Informix "/>
< enumeration value ="RDBRT:Sybase "/>
< enumeration value ="RDBRT:Oracle "/>
< enumeration value ="RDBRT:MicrosoftSQL "/>
< enumeration value ="RDBRT:RDB_NodeGroup "/>
< enumeration value ="RDBRT:RDB "/>
< enumeration value ="RDBRT:RDB_Application "/>
< enumeration value ="RDBRT:RDB_Connection "/>
< enumeration value ="RDBRT:RDB_Instance "/>
< enumeration value ="RDBRT:RDB_Table "/>
< enumeration value ="RDBRT:RDB_Tablespace "/>
< enumeration value ="RDBRT:RDB_Tablespace_Container "/>
< enumeration value ="RDBRT:RDB_Database "/>
< enumeration value ="RDBRT:RDB_Node "/>
< enumeration value ="RDBRT:RDB_APPC_Node "/>
< enumeration value ="RDBRT:RDB_APPCLU_Node "/>
< enumeration value ="RDBRT:RDB_APPN_Node "/>
< enumeration value ="RDBRT:RDB_NETBIOS_Node "/>
< enumeration value ="RDBRT:RDB_TCPIP_Node "/>
< enumeration value ="RDBRT:RDB_LDAP_Node "/>
< enumeration value ="RDBRT:RDB_Local_Node "/>
</ restriction>
</ simpleType>
</ schema>
<?xml version="1.0" encoding="UTF-8"?>
< schema targetNamespace ="http://www.ibm.com/namespaces/autonomic/solutioninstall/Signatures " xmlns ="http://www.w3.org/2001/XMLSchema "xmlns:sigt ="http://www.ibm.com/namespaces/autonomic/solutioninstall/Signatures "xmlns:base ="http://www.ibm.com/namespaces/autonomic/solutioninstall/BASE "xmlns:rtype ="http://www.ibm.com/namespaces/autonomic/solutioninstall/ResourceTypes "elementFormDefault ="unqualified "attributeFormDefault ="unqualified " version ="1.2.1 ">
< import namespace ="http://www.ibm.com/namespaces/autonomic/solutioninstall/BASE "schemaLocation ="base.xsd "/>
< import namespace ="http://www.ibm.com/namespaces/autonomic/solutioninstall/ResourceTypes "schemaLocation ="resourceTypes.xsd "/>
< annotation>
< documentation> ACAB.SD0402 - Installable Unit Deployment Descriptor (IUDD) - Copyright (C) 2003,2004 IBM Corporation. All rights reserved</ documentation>
</ annotation>
<!-- ##### Abstract Signature ##########################-->
< complexType name ="Signature " abstract ="true ">
< attribute name ="keySignature " type ="boolean " use ="optional " default ="true "/>
</ complexType>
<!-- ##### OS Signatures #############################-->
< simpleType name ="PlatformType ">
< unionmemberTypes ="rtype:OS_RT QName"/>
</ simpleType>
< complexType name ="FileSignature ">
< complexContent>
< extension base ="sigt:Signature ">
< sequence>
< element name ="fileName " type ="string "/>
< element name ="fileSize " type ="nonNegativeInteger " minOccurs ="0 "/>
< element name ="relativePath " type ="base:RelativePath " minOccurs ="0 "/>
< element name ="checksum " type ="base:CheckSum " minOccurs ="0 "/>
</ sequence>
< attribute name ="platform " type ="sigt:PlatformType " use ="optional "/>
< attribute name ="keyExecutable " type ="boolean " use ="optional " default ="false "/>
</ extension>
</ complexContent>
</ complexType>
< complexType name ="OsRegistrySignature ">
< complexContent>
< extension base ="sigt:Signature ">
< sequence>
< element name ="key " type ="string "/>
< element name ="data " type ="string "/>
</ sequence>
< attribute name ="platform " type ="sigt:PlatformType " use ="optional "/>
</ extension>
</ complexContent>
</ complexType>
< complexType name ="WindowsRegistrySignature ">
<complexContent>
<extensionbase="sigt:Signature">
< sequence>
< element name ="hive " type ="sigt:WinRegHive "/>
< element name ="parentKey " type ="string "/>
< element name ="key " type ="string ">
< annotation>
< documentation> Check existence of key</ documentation>
</ annotation>
</ element>
< element name ="valueName " type ="string " minOccurs ="0 ">
< annotation>
< documentation> Check existence of value</ documentation>
</ annotation>
</ element>
< element name ="data " minOccurs ="0 ">
< annotation>
< documentation> Check value data if specified</ documentation>
</ annotation>
< complexType>
< choice>
< element name ="regDword " type ="int "/>
< element name ="regString " type ="string "/>
< element name ="regMultiString ">
< complexType>
< sequence>
< element name ="regString " type ="string " maxOccurs ="unbounded "/>
</ sequence>
</ complexType>
</ element>
< element name ="regBinary " type ="hexBinary "/>
< element name ="regExpandString " type ="string "/>
</ choice>
</complexType>
</element>
</sequence>
</extension>
</complexContent>
</ complexType>
< simpleType name ="WinRegHive ">
< restriction base ="NCName ">
< enumeration value ="HKEY_CLASSES_ROOT "/>
< enumeration value ="HKEY_CURRENT_USER "/>
< enumeration value ="HKEY_LOCAL_MACHINE "/>
< enumeration value ="HKEY_USERS "/>
< enumeration value ="HKEY_CURRENT_CONFIG "/>
</ restriction>
</ simpleType>
</ schema>
<?xml version="1.0" encoding="UTF-8"?>
< schema targetNamespace ="http://www.ibm.com/namespaces/autonomic/solutioninstall/action " xmlns ="http://www.w3.org/2001/XMLSchema "xmlns:base ="http://www.ibm.com/namespaces/autonomic/solutioninstall/BASE " xmlns:siu ="http://www.ibm.com/namespaces/autonomic/solutioninstall/SIU "xmlns:action ="http://www.ibm.com/namespaces/autonomic/solutioninstall/action " xmlns:vsn ="http://www.ibm.com/namespaces/autonomic/common/version "xmlns:rtype ="http://www.ibm.com/namespaces/autonomic/solutioninstall/ResourceTypes "elementFormDefault ="unqualified "attributeFormDefault ="unqualified " version ="1.2.1 ">
< annotation>
< documentation> ACAB.SD0402 - Installable Unit Deployment Descriptor (IUDD) - Copyright (C) 2003,2004 IBM Corporation. All rights reserved</ documentation>
</ annotation>
< import namespace ="http://www.ibm.com/namespaces/autonomic/solutioninstall/BASE "schemaLocation ="base.xsd "/>
< import namespace ="http://www.ibm.com/namespaces/autonomic/solutioninstall/SIU "schemaLocation ="siu.xsd "/>
< import namespace ="http://www.ibm.com/namespaces/autonomic/solutioninstall/ResourceTypes "schemaLocation ="resourceTypes.xsd "/>
< import namespace ="http://www.ibm.com/namespaces/autonomic/common/version "schemaLocation ="version.xsd "/>
< element name ="artifact " type ="action:Artifact "/>
<!-- ##### Action Groups #####################-->
< complexType name ="Artifact ">
< sequence>
< element name ="artifactType " type ="base:ArtifactType " default ="Install " minOccurs ="0 "/>
< element name ="hostingEnv " type ="siu:AnyResourceType " minOccurs ="0 "/>
< element name ="artifactSchemaVersion ">
< simpleType>
< restriction base ="vsn:VersionString ">
< enumeration value ="1.2.1 "/>
</ restriction>
</ simpleType>
</ element>
< group ref ="action:Variables "/>
< group ref ="action:BuiltInVariables "/>
< element name ="requiredActionSet " type ="action:RequiredActionSet " minOccurs ="0 " maxOccurs ="unbounded "/>
< element name ="actionGroup " type ="action:UnitActionGroup " minOccurs ="0 " maxOccurs ="unbounded "/>
</ sequence>
</ complexType>
< complexType name ="UnitActionGroup " abstract ="true ">
< sequence/>
< attribute name ="condition " type ="base:VariableExpression " use ="optional " default ="true "/>
</ complexType>
<!-- ##### VARIABLES #####################-->
< complexType name ="Variable ">
< sequence>
< choice minOccurs ="0 ">
< element name ="parameter ">
< complexType>
< attribute name ="defaultValue " type ="string " use ="optional "/>
</ complexType>
</ element>
< element name ="derivedVariable ">
< complexType>
< sequence>
< element name ="expression " maxOccurs ="unbounded ">
< complexType>
< simpleContent>
< extension base ="base:VariableExpression ">
< attribute name ="condition " type ="base:VariableExpression " use ="optional "/>
< attribute name ="priority " type ="nonNegativeInteger " use ="optional "/>
</extension>
</simpleContent>
</complexType>
</element>
</sequence>
</ complexType>
</ element>
</ choice>
< element name ="description " type ="base:DisplayElement " minOccurs ="0 "/>
</ sequence>
< attribute name ="name " type ="ID " use ="required "/>
</ complexType>
< group name ="Variables ">
< sequence>
< element name ="variables " minOccurs ="0 ">
< complexType>
< sequence>
< element name ="variable " type ="action:Variable " maxOccurs ="unbounded "/>
</ sequence>
</ complexType>
</ element>
</ sequence>
</ group>
< complexType name ="BuiltInVariable " abstract ="true ">
< attribute name ="name " type ="ID " use ="required "/>
</ complexType>
< group name ="BuiltInVariables ">
< sequence>
< element name ="builtInVariables " minOccurs ="0 ">
< complexType>
< sequence>
< element name ="variable " type ="action:BuiltInVariable " maxOccurs ="unbounded "/>
</ sequence>
</ complexType>
</ element>
</ sequence>
</ group>
<!-- ##### REQUIRED ACTION SET #####################-->
< complexType name ="RequiredActionSet ">
< sequence>
< element name ="UUID " type ="base:UUID "/>
< element name ="name " type ="token " minOccurs ="0 "/>
</ sequence>
< attribute name ="actionSetId " type ="ID " use ="required "/>
</ complexType>
<!-- ##### BASIC ACTIONS #####################-->
< complexType name ="BaseAction ">
< sequence>
< element name ="displayName " type ="base:DisplayElement " minOccurs ="0 "/>
</ sequence>
< attribute name ="condition " type ="base:VariableExpression " use ="optional "/>
< attribute name ="actionSetIdRef " type ="IDREF " use ="optional "/>
</ complexType>
</ schema>
<?xml version="1.0" encoding="UTF-8"?>
<schematargetNamespace="http://www.ibm.com/namespaces/autonomic/solutioninstall/config"xmlns:config="http://www.ibm.com/namespaces/autonomic/solutioninstall/config"xmlns="http://www.w3.org/2001/XMLSchema"version="1.2.1">
< annotation>
< documentation> ACAB.SD0402 - Installable Unit Deployment Descriptor (IUDD) - Copyright (C) 2003,2004 IBM Corporation. All rights reserved</ documentation>
</ annotation>
< element name ="configArtifact " type ="config:ConfigArtifact "/>
< complexType name ="ConfigArtifact ">
< sequence>
< element name ="propertyValues ">
< complexType>
< sequence>
< any/>
</ sequence>
</ complexType>
</ element>
</ sequence>
</ complexType>
</ schema>
<?xml version="1.0" encoding="UTF-8"?>
< schema targetNamespace ="http://www.ibm.com/namespaces/autonomic/solutioninstall/multiartifact "xmlns:rtype ="http://www.ibm.com/namespaces/autonomic/solutioninstall/ResourceTypes " xmlns:vsn ="http://www.ibm.com/namespaces/autonomic/common/version "xmlns:config ="http://www.ibm.com/namespaces/autonomic/solutioninstall/config "xmlns:action ="http://www.ibm.com/namespaces/autonomic/solutioninstall/action "xmlns:osac ="http://www.ibm.com/namespaces/autonomic/solutioninstall/OsActions "xmlns:base ="http://www.ibm.com/namespaces/autonomic/solutioninstall/BASE " xmlns:ma ="http://www.ibm.com/namespaces/autonomic/solutioninstall/multiartifact " xmlns ="http://www.w3.org/2001/XMLSchema "elementFormDefault ="unqualified "attributeFormDefault ="unqualified " version ="1.2.1 ">
< annotation>
< documentation> ACAB.SD0402 - Installable Unit Deployment Descriptor (IUDD) - Copyright (C) 2003,2004 IBM Corporation. All rights reserved</ documentation>
</ annotation>
< import namespace ="http://www.ibm.com/namespaces/autonomic/solutioninstall/BASE "schemaLocation ="base.xsd "/>
< import namespace ="http://www.ibm.com/namespaces/autonomic/solutioninstall/action "schemaLocation ="action.xsd "/>
< import namespace ="http://www.ibm.com/namespaces/autonomic/solutioninstall/config "schemaLocation ="config.xsd "/>
< import namespace ="http://www.ibm.com/namespaces/autonomic/common/version "schemaLocation ="version.xsd "/>
< element name ="multiartifact " type ="ma:MultiArtifact "/>
<!-- ##### Action Groups #####################-->
< complexType name ="MultiArtifact ">
< sequence>
< element name ="artifactSchemaVersion " type ="vsn:VersionString " fixed ="1.2.0 "/>
< element name ="iu " minOccurs ="0 " maxOccurs ="unbounded ">
< complexType>
< sequence>
< element name ="UUID " type ="base:UUID "/>
< element name ="version " type ="vsn:VersionString "/>
< element name ="installArtifact " type ="ma:ArtifactDefinition " minOccurs ="0 "/>
< element name ="initialConfigArtifact " type ="ma:ArtifactDefinition " minOccurs ="0 "/>
< element name ="migrateArtifact " type ="ma:ArtifactDefinition " minOccurs ="0 "/>
< element name ="verifyInstallArtifact " type ="ma:ArtifactDefinition " minOccurs ="0 "/>
< element name ="uninstallArtifact " type ="ma:ArtifactDefinition " minOccurs ="0 "/>
</ sequence>
</ complexType>
</ element>
< element name ="fix " minOccurs ="0 " maxOccurs ="unbounded ">
< complexType>
< sequence>
< element name ="UUID " type ="base:UUID "/>
< element name ="fixName " type ="NCName "/>
< element name ="installArtifact " type ="ma:ArtifactDefinition " minOccurs ="0 "/>
< element name ="initialConfigArtifact " type ="ma:ArtifactDefinition " minOccurs ="0 "/>
< element name ="migrateArtifact " type ="ma:ArtifactDefinition " minOccurs ="0 "/>
< element name ="verifyInstallArtifact " type ="ma:ArtifactDefinition " minOccurs ="0 "/>
< element name ="uninstallArtifact " type ="ma:ArtifactDefinition " minOccurs ="0 "/>
</ sequence>
</ complexType>
</ element>
< element name ="cu " minOccurs ="0 " maxOccurs ="unbounded ">
< complexType>
< sequence>
< element name ="CUNameRef " type ="NCName "/>
< element name ="configArtifact " type ="ma:ArtifactDefinition " minOccurs ="0 "/>
< element name ="verifyConfigArtifact " type ="ma:ArtifactDefinition " minOccurs ="0 "/>
</ sequence>
</ complexType>
</ element>
< element name ="check " minOccurs ="0 " maxOccurs ="unbounded ">
< complexType>
< sequence>
< element name ="artifactIdRef " type ="NCName "/>
< element name ="checkArtifact " type ="ma:ArtifactDefinition " minOccurs ="0 "/>
</ sequence>
</ complexType>
</ element>
</ sequence>
</ complexType>
< complexType name ="ArtifactDefinition ">
< choice>
< element name ="ActionDefinition " type ="action:Artifact "/>
< element name ="ResourcePropertiesDefinition " type ="config:ConfigArtifact "/>
</ choice>
</ complexType>
</ schema>
[1] Note that unlike InitialConfig the Migrate operation generally depends on the availability of previous data to migrate, which might not be available after the operation was first completed on the IU instance.
[2] Example: InitialConfig may create a data base table that gets corrupted. Re-applying InitialConfig would re-create the table (if the artifact logic allows that) but would generally cause data to be lost.
[3] Such environments, e.g. J2EE applications servers, MAY impose restrictions that make it impossible to install two units of software with the same name. In that case, the IU name can be thought of as a surrogate of a UUID, although the risk exists that two independently developed units of software be accidentally given the same name.
[4] In general, the names of properties used in the examples are purely indicative of a plausible name for the property being checked. The actual names of properties exposed by a given manageable resource should be obtained from the manageable resource documentation.
[5] A generalized “hosted resource check” MAY be defined in a future specification.
[6] It is possible to use the same fixName value for all the inline fixes defined within a top-level IU.
[7] A fix (or update) to a referenced IU in the base MUST be defined as a referenced IU, i.e. it is not possible to use an inline IU to update a referenced IU.
[8] Fixes applied to an IU within a root IU may require corresponding fixes to other IUs in the root IU. They may not be generally applicable to the same IU within a different root IU.
[9] Otherwise, an instance created by the full IU via fresh install would be structurally different from an instance created by applying the full IU as an update to an instance of the upgrade base.