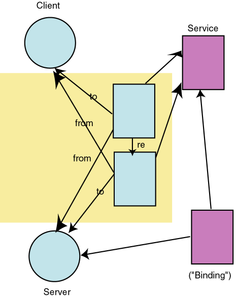
Service


Service is abstract protocol; binding connects to actual server.

Service is abstract protocol, b